Rombo dos Juros Negativos

Já está no ar a estratégia da Ruston SF que foi batizada de Rombo dos juros Negativos

Caro leitor, nem só de Empiricus vive o homem, mas de toda inteligência que sai da boca, digo, da mente, dos analistas financeiros, e para ser franco, essa foi genial. Acompanhe esse review da estratégia Rombo dos Juros Negativos,criada pela Ruston SF.

O que é Rombo dos Juros Negativos?

A Ruston SF identificou um grupo de jovens empreendedores, que aprenderam a usar empresas conhecidas do mercado, de forma não ortodoxa, e fazer com que a compra de imóveis, saísse, acredite, com juros negativo.

Juros Negativo

Juros negativo é quando o financiamento do imóvel, tem uma taxa menor que o custo, é como se um banco, parcelasse um imóvel para você, sem juros, e ainda pagasse uma comissão pela sua compra.
A estratégia usa uma engenhosa dinâmica financeira, usando financiamentos, cartas de crédito, imóveis previamente selecionados, e no final, não há juros, ou melhor, há ganhos.

O que esses jovens fazem de fato com essa estratégia?

Uma parte dessa turma de garotos de trinta anos ou menos, aprendeu essa técnica já tem algum tempo, cerca de oito anos, e uma parte deles especializou em comprar imóveis, outra se especializou em vender esses créditos, e outra em vender os ativos envolvidos no meio da transação.

A estratégia de Juros Negativo funciona?

Pela primeira vez, uma empresa mostra publicamente um extrato oficial do número de créditos vendidos ou comercializados. E um grande número de clientes já foi atendido ao longo desse tempo, totalizando mais de 348 milhões de reais em negócios, em extrato de negócio de instituições financeiras, e isso na fase Offline, ou seja, sem divulgar na web. E eles esperam alcançar 100 milhões por Mês, e fechar 2023 com 1.2 bilhões de negócios.

Porque divulgar um negócio na web que já funcionava tão bem offline? Foi o que perguntamos para os idealizadores.

Segundo André Ruston, um dos maiores especialistas em aprovação de empréstimos do Brasil, a aceleração dos negócios se deve a uma possível mudança na nova legislação do país.

“O fato é que existe muita possibilidade de mudança legislativa sobre a lei dos imóveis, da posse e do uso, como já foi mencionada pelo futuro ministro da Fazenda, Fernando Haddad. Com a possibilidade de mudança, pode ser que haja mudança nas possibilidades de transferência de crédito, que hoje são possíveis. Atualmente, você tanto pode transferir um crédito, como pode vende-lo com excelente margem de lucro, de até 1000%, além disso, esse processo de obtenção de crédito, atualmente é uma blindagem patrimonial forçada, quem entra por esse caminho por exemplo, pode ter 1, 2, 3, 100 milhões de reais não bloqueáveis pela justiça. Porque o crédito fica sob custódia e em nome da instituição financeira, até que o imóvel seja transferido, e isso permite que o detentor do crédito, possa vender, transferir antes, receber as comissões da maneira que combinar, e estar a salvo, e isso porque a Lei diz que assim pode ser.”

Mas segundo André Ruston, o processo exige paciência para evoluir no país.

“Esse é um método não ortodoxo, então ainda não é fácil explicar como funciona, porque o cliente ainda está acostumado a ir ao banco, a maior parte dos nossos esforços é o de educar o mercado, um dos caminhos mais simples efetivos que encontramos foi colocar clientes satisfeito em contato com futuros clientes potenciais, e permitir uma conversa franca. E permitir que os melhores players do mercado, deem aulas simulando cenários, e mostrando aos clientes potenciais, como usar corretamente as empresas para chegar no objetivo final. Assim o cliente potencial tem uma visão clara do mercado e suas possibilidades, antes de se endividar desnecessariamente em um banco.”

Aqui na nossa equipe, torcemos para que tudo corra bem. A Ruston SF tem mais de 10 anos de trajetória, e um histórico sólido de atuação.

O que significa matrícula no empréstimo consignado?

A matrícula no empréstimo consignado é uma das principais informações a fim de realizar uma pesquisa de margem consignável, contudo, muitas pessoas desconhecem esse fato ou até mesmo nem sabem o que é uma matrícula.

Para você que é aposentado ou pensionista do INSS a matrícula a qual estamos nos referindo nada mais é que seu número de benefício. Por tanto se você está estranhando alguém te pedindo o número da matrícula, saiba que a informação que na verdade estão querendo é o número do benefício.

Geralmente a instituição financeira ou o agente de correspondente não irá pedir o número da matrícula quando se deparar com um aposentado ou pensionista do INSS. Por conhecer o mercado e os trejeitos, muito provavelmente vai solicitar do jeito mais usual que seria o “número do benefício”.

Já em órgãos públicos como SIAPE, ou Prefeituras o servidor já está mais acostumado e a forma correta é pedir a matrícula mesmo.

A matrícula é um número de identificação do aposentado, pensionista ou servidor, ao qual está ligado a um controle interno.

A matrícula estabelece o tipo de vínculo com o órgão,por exemplo no INSS a matrícula indica se o segurado tem condições de fazer um empréstimo consignado ou não.

Em condições específicas o segurado não está habilitado para contratar um empréstimo consignado devido a natureza da sua matrícula.

Igualmente ao CPF a matrícula no empréstimo consignado é a base principal para coletar as seguintes informações:

  • Margem consignável
  • Cadastro Interno

Margem Consignável

Para realizar um cálculo de margem a matrícula é fundamental, pelo fato de um CPF poder ter mais de uma matrícula o dado principal deixa de ser o CPF e sim a matrícula.

Acessando a matrícula é possível saber qual é a margem consignável e em casos específicos como prefeituras e governos qual foi a margem definida para aquele convênio, o mais comum é 30% para empréstimos e 5% para cartões. Mas isso não é regra geral e muda conforme o convênio.

Algumas prefeituras e governos possuem um sistema de consignação que utilizam para gerir o empréstimo consignado junto aos seus colaboradores e beneficiários, este sistema usa como base de dados a matrícula, sem ela não é possível identificar o cadastro e com isso invalida qualquer acesso à informação:

Òrgãos como o SIAPE por exemplo tem um sistema mais seguro por não permitir que nenhuma ação seja realizada na matrícula dos seus colaboradores sem que o mesmo autorize pelo sistema.

Toda e qualquer consignação na folha depende da matrícula, pois a mesma está vinculada a um pagamento ao qual será o responsável pelo desconto em folha da parcela contratada.

Passei a receber pensão do meu cônjuge vou herdar os empréstimos dele?

É uma pergunta bem comum, e tem relação direta a matrícula, mas a resposta é NÃO, você não vai herdar os descontos em folha.

Cada matrícula está ligada a uma pessoa, quando ocorre infelizmente um óbito é gerada uma matrícula nova, e não é herdado os débitos do originador.

A composição da taxa do empréstimo consignado bem como a lei que rege as condições de contratação que é a lei 10.820 bem como portarias internas que variam conforme o convênio, não preveem a herança de dívidas por parte de familiares, herdeiros legais ou beneficiários de pensão a assumir dívidas.

A cobrança às vezes existe mas de forma velada, e pela falta de informação a instituição leva um tempo para entender o motivo pelo qual o desconto parou de ocorrer.

Cadastro Interno

Somente através da matrícula é possível acessar o cadastro interno junto ao convênio, e isto é importante porque além dos dados pessoais e cadastrais se tem acesso a natureza da matrícula, por exemplo, se é uma pensão, aposentadoria, auxílio doença, servidor público efetivo, contratado, temporário e etc.

Cuidados

Como pode perceber a matrícula no empréstimo consignado é uma das informações mais importantes a serem analisadas, e por este motivo é de supra importância que seja guardada a sete chaves, ou seja, não divulgue a ninguém.

Obviamente quando for contratar um empréstimo consignado será necessário informar, mas mesmo assim recomendamos que tome os seguintes cuidados:

Somente informe a instituições financeiras que conheça ou a agentes de crédito habilitados.

Correspondentes ou agentes de correspondentes também podem ter acesso desde que confirme sua idoneidade ou cadastro junto ao banco central.

Nunca informe seus dados pessoais a terceiros e guarde o número de sua matrícula em local seguro.

Conclusão

Percebeu o significado da matrícula no empréstimo consignado e sua importância? Portanto a nossa recomendação é que guarde essa informação o mais seguro possível e entenda que o sigilo nesses casos é muito importante para sua segurança financeira.

O INSS bem como alguns órgãos são alvo de quadrilhas que buscam esses dados a fim de comercializar ou fazer empréstimos em nome de terceiros sem seu conhecimento, por isso cuidado é importante com essa informação.

Caso tenha dúvidas em relação a algum assunto relacionado a este post ou a empréstimo consignado, deixe suas dúvida aqui que ajudamos a esclarecer.

Drogaria São Paulo é uma boa rede de Farmácia?

A Drogaria São Paulo é uma boa rede de Farmácias? pode estar se perguntando, afinal de contas em São Paulo existe uma em cada esquina.

Em um mundo cada vez mais polarizado é importante repensar atualmente quais redes nós consumidores iremos fortalecer com nossa presença. Comprar em empresas comprometidas com a sociedade é extremamente importante para que possa ser construída uma sociedade séria e mais capaz de gerar valores positivos não somente as pessoas como ao planeta.

Em face à pergunta colocada por este post gostaria de compartilhar a minha experiência com a DROGARIA SÃO PAULO.

Experiência pessoal

Estive na rede Drogaria São Paulo, localizada na av. Benedito de Andrade,81 – Pirituba – São Paulo no dia 30/05/2019 por volta das 10:30 da noite, onde minhas últimas palavras foram “Adeus”, apesar de diversas situações já posicionadas em situações que vão de falta de consciência ambiental, ignorar distanciamento social e falta de máscara pela equipe em plena PANDEMIA do COVID 19, descaso, assédio comercial, retirar produto pago da sacola e reter na loja sem meu conhecimento, agora eles estão falando um valor no balcão e informando outro valor no caixa.

Ao ser informado no balcão sobre o valor de R$ 5,84 (aproximadamente) levei o produto ao caixa e tive a surpresa do produto estar a R$ 20,00 ao questionar o Caixa, o mesmo solicitou ao atendente que confirma-se o valor e o mesmo GRITOU do fundo da loja “O produto está no meu sistema a R$ 5,84 (Não me lembro bem os centavos)”, o caixa insistiu a Farmacêutica que pela postura acredito ser a responsável pela loja naquele momento, a mesma GRITOU para que o mesmo cancela-se o cupom e tenta-se novamente, o mesmo repetiu o procedimento e mais uma vez o valor não se confirmou o mesmo, neste momento olhei para traz e a Farmacêutica já não estava mais no balcão e o Caixa insistiu que não poderia fazer mais nada, em face de estar em exposição só de entrar em um ambiente totalmente inadequado considerando uma PANDEMIA e pela arquitetura da farmácia apresentar riscos a minha saúde, acabei cedendo e pagando o valor de mais de R$ 20,00 por um produto cujo valor tinha me sido informado a um pouco mais de R$ 5.

Tomei esta decisão de reclamar sobre a Drogaria São Paulo, porque em primeiro lugar acredito que mais de 100 anos de história mereça uma resposta, e aproveitar para externar todo o meu descontentamento em relação à rede.

Uma relação de mais de 20 anos não se acaba em 5 minutos, e acredito de verdade que terei uma resposta que explique todas as afirmações que estarei fazendo a partir de agora:

Falta de consciência ambiental na Drogaria São Paulo?

Gostaria realmente entender o porque toda vez que um cliente compra mesmo que seja uma aspirina seja impresso praticamente 30 cm de papel com o CPF do cliente o que já é um risco caso esse papel caia indevidamente em mão erradas assim expondo seus clientes, e a quantidade de lixo que isso gera, em relação a tais questionamentos gostaria das seguintes respostas:

  • Qual o posicionamento da empresa com questões ambientais?
  • Existe uma ação de reflorestamento do lixo gerado por vocês?
  • Qual a posição da empresa em relação ao aquecimento global?
  • A empresa se preocupa com a exposição dos seus clientes ao solicitar que seja dito em alto e bom tom o CPF e que seja impresso o número de um documento tão importante?
  • O papel cujo CPF é impresso e geralmente fica retido no caixa é desprezado de qual forma? Existe um processo de incineração?

Ignorar distanciamento social e falta de máscara pela equipe em plena PANDEMIA

Uma das coisa que mais me deixou chocado nos últimos tempos foi a falta de consciência em relação aos cuidados necessários contra a COVID 19, infelizmente minha rotina semanal envolve ir a farmácia pelo menos 3 a 4 vezes na semana, vai ver por isso tenho tido presenciado na rede DROGARIA SÃO PAULO, constantes atitudes de falta de cuidados, desde funcionários tossindo em cima de clientes, falta de utilização de máscaras, luvas e ao serem confrontados com tais situações apenas informam que a REDE DROGARIA SÃO PAULO, não havia liberado as máscaras aos seus colaboradores, em face de tais acontecimentos, gostaria da seguintes respostas:

  • Sabidamente a falta de máscaras foi um problema no começo da PANDEMIA, contudo os lucros estão acima da segurança dos seus colaboradores, clientes e demais pessoas que acessam suas lojas?
  • Existe uma fiscalização efetiva por parte da coordenadoria em relação a utilização dos equipamentos de segurança?
  • Os lucros estão acima da vida humana?
  • Existe riscos ao ir a REDE DROGARIA SÃO PAULO, por falta de zelo por parte da equipe de limpeza?
  • Quais medidas de higiene foram tomadas para manter seu estabelecimento aberto sem que fosse um risco a saúde pública?
  • O processo de limpeza foi reforçado nas lojas?Se foi existem provas a respeito?

Descaso

Voltando ao dia 30 de Maio de 2020 às 10:30 PM, ao se dirigir ao Caixa, ao invés da “Gerente” se preocupar com o cliente que no caso era eu que se dirigia ao caixa a mesma deu ordens para que se fecha-se o estacionamento, durante aproximadamente 5 minutos fiquei parado ao CAIXA vazio tento a “GERENTE” e “ATENDENTE” paradas no fundo da loja me vendo em pé aguardando o caixa voltar, em face dessas afirmativas gostaria das seguintes respostas:

  • Qual seria o procedimento correto?
  • Qual a prioridade?
  • Existe alguma preocupação com o cliente estar em um ambiente insalubre por tempo desnecessário?

Assédio Comercial

Praticamente todas vez que você vai ao CAIXA o mesmo lhe aborda oferecendo um produto ao qual não está precisando? Desde balas, sabonetes e até refrigerantes, em face a tais afirmações gostaria das seguintes respostas:

  • Existe alguma vantagem por parte do governo para sua atividade estar ligada a uma atividade essencial?
  • Existe alguma vantagem oferecida ao setor por sua atividade estar ligada a prestação de serviços?
  • Qual é a orientação da empresa em relação a oferta de produtos por parte do CAIXA?
  • Os funcionários da DROGARIA SÃO PAULO acumulão funções? Como por exemplo Caixa e vendas?
  • Existem metas aos CAIXAS para vendas de Produtos?
  • Qual a preocupação da Farmácia com relação a economia de seus clientes em não adquirir produtos que não precisam?
  • Porque é vendido balas em farmácias?
  • Porque vendem refrigerantes?
  • Porque vendem bombons?
  • Os produtos como refrigerantes, bombons e balas fazem bem à saúde?
  • Qual é a postura da rede em relação a manutenção da saúde da sociedade?

Retirar produto pago da sacola e reter na loja sem meu conhecimento

Durante muitos anos frequentei a Loja da Drogaria São Paulo da Avenida Paula Ferreira, em Pirituba, São Paulo, e devido a duas oportunidades que comprei medicamentos e quando cheguei em casa e os mesmos não estavam na sacola e ao retornar os encontrei em cima da mesa do CAIXA e o mesmo com sorriso amarelo me devolveu, gostaria das seguintes respostas:

  • Existe controle de estoque na rede DROGARIA SÃO PAULO?
  • Quando sobra produtos quais os procedimentos?
  • Existem câmeras apontadas para os CAIXAS a fim de apurar desvio de conduta?
  • Qual nome é dado para quem tira um produto da sacola ao qual já foi pago pelo cliente?
  • Qual seria o comportamento correto da gerência em acusar tais fatos?

Fidelidade

Como já mencionado a cima, eu era cliente da DROGARIA SÃO PAULO a aproximadamente 20 anos, como uma grande quantidade de pessoas que dão o voto de confiança a vossa empresa, gostaria das seguintes respostas:

  • Qual é a contrapartida dada pela a DROGARIA SÃO PAULO para clientes como eu que são clientes a anos?
  • Existe algum plano de vantagens ou incentivos para que os clientes fiéis continuem indo a DROGARIA SÃO PAULO?
  • Qual é o posicionamento da empresa em relação a sociedade em geral?
  • Quais ações realizadas para a manutenção da sua carteira fiel de clientes?

Gostaria muito das respostas, afinal de contas foram em torno de 20 anos de convivência semanal com atendentes, caixas e gerentes da REDE, contudo gostaria de salientar que devido a polaridade atual de uma sociedade que toma partido sem que seja avaliado a integridade dos fatos estarei replicando tais questionamentos bem como minha reclamação ao meu blog pessoal, e carta ao ministério público para que seja apurado tais afirmações acima, a fim de contribuir positivamente ao GRUPO DROGARIA SÃO PAULO, com o único e exclusivo objetivo de melhoras vossos serviços e alinhar vosso posicionamento para que ele seja público e explícito o que os clientes contribuem com a sociedade em geral sendo clientes da DROGARIA SÃO PAULO, ao invés de valorizar outras redes que talvez estejam mais alinhadas e comprometidas com a sociedade.

A resposta por parte da Drogaria São Paulo poderá ser acompanhada pelo link do reclameaqui clicando aqui

O que é empréstimo consignado?

O empréstimo consignado é uma modalidade de crédito onde as parcelas são descontadas diretamente da folha de pagamento e para isso é necessário que a instituição financeira tenha convênio com a empresa, órgão ou entidade. Com o desconto em folha o risco financeiro da operação é menor fazendo com que as taxas de juros sejam menores.

Os prazos podem variar conforme acordo, em convênios como o INSS por exemplo, o parcelamento pode chegar em até 84 meses.

Como toda e qualquer operação financeira o empréstimo consignado está sob fiscalização do banco central e as instituições financeiras devem prestar conta sobre a forma, método, taxa de juros e demais obrigações as quais o banco central estabelece.

O empréstimo consignado deve ser observado em 4 aspectos básicos:

  • Regras gerais
  • Normas internas
  • Política de crédito
  • Legislação atual

Regras gerais

As regras gerais são as estabelecidas ao setor junto ao banco central as quais se enquadram na concessão de crédito. As obrigações junto ao consumidor bem como as obrigações mútuas permanecem. Mesmo havendo sérias discussões em relação a capacidade do consumidor em optar pelo não pagamento, o sistema financeiro entende que crédito concedido é obrigação de pagamento.

Normas internas

A normas internas são estabelecidas pelas empresas, entidades, órgãos e etc, as normas são um conjunto de regras que visam proteger os consumidores, de abusos e ou condições que possam gerar fragilidade financeira ou problemas de segurança.

Um exemplo disso é o INSS que determina um conjunto de regras a serem seguidas pelas instituições financeiras. Os chamados normativos podem determinar:

  • Quantidade de parcelas máximas
  • Margem consignável
  • Taxa de juros máxima aceitável
  • Tipo de empregado ou convênio
  • Entre outras situações

Em especial a taxa de juros é um colegiado em conjunto com o banco que estabelecem um acordo entre as partes.

A margem consignável para o empréstimo consignado até o momento deste post é de 30% para empréstimos e 5% para cartões.

O tipo de empregado ou convênio são os pré requisitos para estar habilitado a fazer um empréstimo consignado, como por exemplo quem tem menos de 6 meses de carteira assinada ou quem recebe pelo INSS mas se trata de um benefício assistencial. Nestes casos existem normas internas que são definidas pelo convênio e devem estar alinhadas com as leis vigentes que podem estabelecer quem pode um não contratar o empréstimo consignado.

Política de crédito

A política de crédito é um mecanismo de proteção ao sistema financeiro, e está livre para ser arbitrado desde que não haja com preconceito, exclusão, promova parcialidade ou preferência.

Não se nega crédito por condição sexual, visual, raça, cor ou condição social. Em casos que você tenha notado tal comportamento poderá entrar em contato com o Banco Central e demais órgãos de jurisdição e solicitar reparo, através de ação legal ou acordo entre as partes.

A política de crédito pode interferir nas seguintes condições:

  • Idade mínima e máxima
  • Comprometimento de renda
  • Limite de crédito
  • Cadastro de pagador
  • Risco a própria pessoa
  • Situação cadastral
  • Reclamante recorrente
  • Litígio em curso

Uma base de cálculo para a política de idade é a chamada régua mutuária, muito utilizada pelas seguradoras, tem como objetivo apresentar dados estatísticos da estimativa de vida de um grupo de pessoas, que pode ser considerado a região, condição social e demais fatores. A instituição financeira utiliza esses dados para minimizar riscos, por exemplo, emprestar R$ 10.000,00 a uma pessoa de 100 anos com um prazo para pagar de 84 meses.

No exemplo citado acima muito provavelmente por uma pessoa no brasil ter a expectativa de vida de 75 anos, é bem difícil se emprestar tal valor em um prazo tão longo a uma pessoa de 100 anos.

O banco central não interfere nesses casos, ou seja, se você tem mais de 75 anos e se sente excluído saiba que tal condição é uma definição de regras para a saúde financeira e manutenção do crédito no Brasil. Nestes casos infelizmente não se tem o que fazer.

Particularmente e ao longo de mais de 20 anos atuando no mercado já me deparei com diversos casos assim, e mesmo me certificando que a pessoa em questão apesar de uma idade superior a média, era saudável e em alguns casos estava melhor do que eu (risos), infelizmente não se tinha o que fazer.

Pessoas especiais também não podem fazer empréstimos e ou contratar seguros, regra estabelecida em lei. Mesmo em casos onde o representante legal tenha o acesso, administração de recursos provenientes de pensão, aposentadoria ou se a lesão que causou a condição especial foi posterior, o crédito não pode ser liberado.

O litígio em curso é a condição do reclamante ao qual contesta um empréstimo supostamente concedido sem a sua permissão que mantém em curso uma ação na justiça, nestes casos o crédito também pode ser negado.

O comprometimento de renda pode ser englobado não somente aos definidos pelo empréstimo consignado como os 30% mas também as operações de empréstimo pessoal e ou demais parcelamentos em uma instituição financeira.

Por exemplo se tiver um financiamento de veículo pela BV e a mesa de crédito entender que a soma do seu financiamento de veículos poderá interferir na sua capacidade de pagamento, o crédito pode sim ser negado.

Apesar de o superendividamento ser uma das regras observadas pelo Banco central e que sua prática seja ilegal a grande maioria das instituições financeiras não acatam, se fazendo cegos a uma situação chamada de “bola de neve”, aprovam crédito consignado sem a menor preocupação por conta do desconto em folha ser garantido.

Legislação atual

A base do empréstimo consignado é a lei 10.820, contudo ainda são observadas as medidas provisórias, código de defesa do consumidor, leis estaduais e municipais.

A constituição com base legal é uma referência observada na composição das normas, políticas de crédito e leis complementares.

Apesar de conflitante em alguns momentos o empréstimo consignado é base de tese no tocante à inconstitucionalidade da sua base estrutural.

Uma vez sendo o direito constitucional de optar por não pagar o desconto em folha de forma compulsória não deixa margem para tal opção sem que o consumidor tenha que agir de forma direta e na maioria das vezes através de mandados e ações judiciais para optar pelo não pagamento.

Discussões e considerações sobre o empréstimo consignado

Apesar de uma das melhores modalidades de crédito do mercado, ainda inspira cuidados por parte dos consumidores, atualmente um grande número de pessoas tem se colocado em estado de fragilidade e uma crise financeira que tem se estendido tem colocado o desespero em primeiro lugar. Deixando margem para aproveitadores tirar proveito da situação.

Observamos um número bem expressivo de consumidores com até 70% da renda comprometida em operações de empréstimo consignado, cartões e débito em conta, bem como outras operações de crédito.

Condição de vulnerabilidade limita a capacidade de recuperação e compromete futuras gerações uma vez privadas dos direitos constitucionais.

Um dos deveres mais importantes de uma instituição financeira é conceder crédito com consciência e responsabilidade e quando o cenário não representa está máxima a manutenção do crédito pode chegar a um estágio de colapso, deixando de ser uma opção para o consumidor em um futuro não tão distante.

O consumidor também deve se policiar em relação a sua capacidade de pagamento, e considerar as opções como acordos, parcelamentos e fazer valer sua capacidade de pagamento e não o que é na maioria das vezes imposta a ele. Os órgãos de proteção ao crédito tem tido um papel importante neste sentido, ao interceder e alinhar junto à instituição um parcelamento que esteja realmente alinhado a capacidade de pagamento do consumidor.

O crédito consciente e de forma sadia é super positivo e estamos alinhados com este propósito pela manutenção do empréstimo consignado, portanto se você precisa de crédito seja bem vindo, podemos te ajudar! Mas antes vamos entender o que é mais importante para sua saúde financeira?

Conte com o portal consignados sempre, nosso objetivo é  levar aos nossos parceiros, clientes e leitores a melhor opção.

Sai a segunda parcela do 13º dos aposentados e pensionistas

O Instituto Nacional do Seguro Social (INSS) começa a pagar o 13º dos aposentados e pensionistas no período de 25 de maio a 5 de junho. Os valores pagos neste período representam a 2 parcela do 13º.

O INSS divulgou : Para aqueles que recebem um salário mínimo, o depósito da antecipação será feito entre os dias 25/05 e 05/06, de acordo com o número final do benefício, sem levar em conta o dígito verificador.

Segurados com renda mensal acima do piso nacional terão seus pagamentos creditados entre 01/06 e 05/06.
Caso tenha dúvidas sobre o calendários de pagamento pode consultar a tabela de pagamentos divulgada pelo inss clicando aqui.

A antecipação do 13º é mais uma medida de ajuda ao combate a COVID 19, uma vez que um dos aspectos desta pandemia é o cenário de recessão mundial e um aumento do desemprego e diminuição da renda no Brasil.

Com a antecipação estima se que 30,8 milhões de pessoas serão atingidas o que injetará na economia 23,8 bilhões.

Contudo o 13º não será para todos, o INSS Explica: “Por lei, têm direito ao 13º quem, durante o ano, recebeu benefício previdenciário de aposentadoria, pensão por morte, auxílio-doença, auxílio-acidente ou auxílio-reclusão. Na hipótese de cessação programada do benefício, prevista antes de 31 de dezembro de 2020, será pago o valor proporcional do abono anual ao beneficiário. Nesta parcela, vale lembrar, é feito o desconto do Imposto de Renda (IR)”.

“Aqueles que recebem benefícios assistenciais (Benefício de Prestação Continuada da Lei Orgânica da Assistência Social – BPC/LOAS e Renda Mensal Vitalícia – RMV) não têm direito ao abono anual”.
Fonte : Portal INSS

*No portal do INSS você também pode acompanhar o calendário de pagamentos e a tabela de valores pagos por estados.

Impactos

A economia já está acostumada com uma injeção de dinheiro no final do ano com a segunda parcela do 13º dos aposentados e pensionistas e movimenta milhões em compras. Pelo visto este ano o Natal não poderá contar com esses recursos.

De outro lado são esforços por parte do governo federal para ajuda no combate a Covid o que no nosso entendimento é super positivo.

Contudo neste período do ano as doenças respiratórias são mais constantes, inclusive nos idosos, o que acaba gerando uma corrida às farmácias para compras de remédios e afins. Em pesquisas realizadas pelo Portal Consignados os preços não tem subido, mas os descontos nos medicamentos até então concedidos praticamente sumiram, o que preocupa bastante.

Nosso apelo às autoridades é que haja uma fiscalização mais efetiva neste sentido evitando assim abusos e que as linhas de remédios para o tratamento de gripes e doenças respiratórias tenham uma redução na sua alíquota, para que os preços caiam, caso contrário os efeitos dessa injeção de dinheiro com o 13º serão afetados e os únicos beneficiados serão a indústria farmacêutica.

Os esforços em fase a pandemia devem ser de todos, e muitas empresas, instituições financeiras e indústrias têm aderido, nosso apelo aqui se estende a indústria farmacêutica e as grandes redes de farmácia. Por favor ajudem nossos aposentados e pensionistas em manter ou reduzir os preços.

Aos aposentados e pensionistas recomendamos o máximo de cautela, tanto no saque desse pagamento, evitando aglomerações nos bancos e para isso vamos deixar aqui abaixo algumas dicas, quanto na administração desse recurso.

Lembre-se que esse ano o calendário de pagamento do 13º foi antecipado e que no próximo ano tudo volta ao normal (Acreditamos nisso e oramos a Deus pedindo por isso) ou seja, o intervalo será maior até o próximo pagamento, por isso faça o máximo de economia possível com esse dinheiro.

Recomendações ao ir sacar seu dinheiro:

A fim de evitar a propagação do COVID 19 recomendamos que tome os seguintes cuidados:

  • Evite horários de pico
  • Tome uma distância segura de pelo menos 1 metro da pessoa da frente e detrás
  • Use máscaras
  • Lave as mãos antes e depois
  • Use álcool em gel (Caso não tenha na bolsa, vá até a primeira farmácia e peça licença e utilize o deles)

Por favor meus amores tomem o máximo de cuidado, se puder use seu cartão de débito e evitem ao máximo ir ao Banco.

Um dos aspectos mais complicados dessa pandemia é que os mais atingidos são os idosos, o que particularmente mexe muito comigo. São nessas horas que percebemos o quanto amamos vocês.

Margem adicional dos 5%, mito ou realidade

Muito se tem falado a respeito da margem dos 5%, o que tem causado uma certa histeria no mercado, muitas pessoas acreditam que os 5% pode ser sim uma bóia de salvação mediante a uma cenário de caos que estamos vivendo neste primeiro semestre.

O fato é que por enquanto esse adicional dos 5% subindo a margem consignável de empréstimo para 35% está longe de acontecer.

Apesar de alguns esforços por parte de políticos, empresas da categoria e apelo do consumidor a margem não teve apoio da maioria e permanece como um projeto a ser colocado em aprovação no definitivo.

Vale ressaltar que 10 em cada 10 economistas recomendam um comprometimento de 30% da sua renda com empréstimos, o que no setor já está superior levando em consideração a margem do cartão consignado que já pega mais 5% totalizando 35% de comprometimento de renda.

Para que você possa fazer seu julgamento a respeito dos impactos de uma adicional da sua renda de mais 5% é importante considerar alguns aspectos do cotidiano financeiro os quais queremos colocar em pauta para que possa fazer suas considerações com mais embasamento:

Capacidade de pagamento

Um ponto importante a ser considerado é a capacidade de pagamento e como ela pode ser afetada com um adicional de 5% na margem consignável.

Em média no Brasil as famílias gastam 70% da sua renda com alimentação, o setor já conta com 65% considerando os 5% do cartão o que já é uma exceção à regra, e desde a sua implementação instituições que trabalham com operações de empréstimo para negativado com débito na conta corrente vem crescendo absurdamente e fazendo parte do cotidiano dos aposentados e pensionistas e servidores públicos.

Não repudiamos este tipo de operação de crédito, só acreditamos que o aumento neste mesmo período é um indicador importante ao qual deve ser observado com carinho, afinal de contas os juros podem passar dos 20% ao mês, bem acima do consignado que é atualmente em 1,8% a.m.

Limitar a capacidade de pagamento é empurrar as pessoas para o acúmulo de dívidas uma vez que as contas não batem a procura por crédito aumenta e mais famílias contraem dívidas. Com a limitação de 30% acabam procurando instituições com taxas menos ortodoxas.

Endividamento

No final das contas está tudo interligado, o endividamento atual é maior de 80%, o que denota um alerta no setor, e pode comprometer todo o sistema financeiro quando a opção for optar pela sobrevivência e não precisa ser assim.

Diariamente nos deparamos com situações de extremo desespero, ao qual as pessoas buscam freneticamente empréstimos para cobrir outros empréstimos entrando assim na chamada ciranda financeira ou BOLA DE NEVE, o final desta história é desastrosa com consequências sócio econômicas que podem levar décadas a serem superadas.

Podemos afirmar que os esforços até aqui foram sempre levando a conta para você pagar o que está chegando a um alarmante fim com o colapso total de um sistema que no passado já teve consequências desastrosas e perigosas. Não precisamos chegar a este ponto não é verdade?

Austeridade

Qualquer aumento de margem irá gerar uma demanda grande em esforços das pessoas envolvidas, um ato que poderá mudar o modo de vida de milhões de pessoas.

Como esteio da casa os que atualmente recebem aposentadoria e pensão ou servidores públicos são o pilar financeiro das suas famílias, pois podem contar com os recursos de tais membros familiares, uma vez sua renda comprometida a capacidade de reação é menor mais lenta.

Educação e saúde, bem como moradia e alimentação são fundamentais para a construção de uma geração que pode levar o nosso país a um patamar de melhora econômica e social, uma vez comprometendo isso jogando todos os recursos possíveis nas mãos de instituições financeiras, os valores de sociedade são prejudicados.

Outros aspecto é que não à toa as instituições financeiras neste país detém um poder super humano, aos quais podem tudo e ninguém pode com eles, o que é estritamente perigoso em um cenário de desespero total ao qual caminhamos lentamente e agonizando.

Não podemos esquecer que o papel da instituição financeira é contribuir positivamente na sociedade e não dominar totalmente.

Vivenciei durante 20 anos os atos e postura de diversas instituições financeiras e posso garantir que a dependência é o pior caminho a ser tomado, não existe nada de glamuroso, ou bondade nestas instituições, apenas ganância e metas a serem batidas. Você não é uma meta, nem pode ser considerado como tal, lembre-se que para eles o que importa são números e não a sua família.

Esforços do setor

Com o crescimento do endividamento algumas vitórias foram conquistadas, a primeira delas foi a abertura de uma concorrência mais forte no setor de crédito, o que a anos atras era um game de meia dúzia de instituições agora virou uma verdadeira guerra de taxas e opções de crédito.

A concorrência fez com que as taxas caissem e a escassez de novos clientes levaram a possibilidade da portabilidade reduzindo as taxas de juros no mercado, o que tem sido bem positivo no setor apesar dos problemas e uso indevido em algumas situações.

Futuro

O cenário econômico aponta recessão mundial o que aponta uma procura ainda maior por crédito a curto, médio e longo prazo o que coloca quaisquer ações no setor sobre uma observação ainda maior e com muito mais cuidado, evitando assim os abusos que podem e irão acontecer com a categoria.

A questão aqui não é uma apologia ao crédito, longe disso, mas sim cuidado para não empurrar milhões de pessoas a um caos financeiro.

Entenda que na grande maioria dos casos as instituições financeiras não querem nem saber se você tem o que comer dentro da sua casa, só pensam em tomar uma fatia ainda maior do mercado.

Opções alternativas

Se você é público alvo do empréstimo consignado já deve ter sido abordado para fazer uma portabilidade com uma taxa de juros de 1% o que denota que este tipo de operação existe e que faz parte de uma tabela ao qual a instituições pode operar.

Considerando esse tipo de alternativa que já existe, porque não recondicionar todos os contratos a uma taxa de 1% ajustando assim sua parcela abrindo margem para novos empréstimos se for necessário? Não seria assim uma forma de ajuda?

Em média as taxas dos contratos em andamento estão entre 2,3% a 1,8%, considerando uma margem de 1.000,00 e uma margem de 300,00 uma redução de 0,9% significaria uma parcela de 234,00 o que de fato seria muito mais significativo e levaria essa conta para quem de fato não pagou a conta ainda “AS INSTITUIÇÕES FINANCEIRAS”.

O caminho mais fácil seria sim aumentar sua margem, mas quem estaria pagando essa conta? Você novamente? Isso é justo?

Consignado pode acabar

Estamos chegando a um patamar perigoso que pode acabar com o empréstimo consignado, uma vez que os excessos do setor não parem o colapso financeiro pode levar o produto ao seu agonizante fim e isso já aconteceu no passado quando a consignação na folha de pagamento era coisa de “GRÊMIOS RECREATIVOS”, os efeitos do colapso do passado levaram décadas para serem amenizadas e afetou gerações.

O cenário perfeito seria dividir as responsabilidades, o setor já amarga derrotas com alternativas de extensão de prazos o que aumenta em muito o endividamento das famílias, alternativas que já fizeram o consumidor a pagar a conta sozinho, agora não seria a hora das instituições financeiras cederem?

Conclusão

Sou só um soldado de um exército de um homem só, e infelizmente talvez estas palavras não chegam a quantidade de pessoas que seriam necessárias para mudar isso, mas como ficar calado a tamanha injustiça?

O amor ao setor e as pessoas que fizeram parte da minha história de vida fez acender uma chama que já estava apagando, talvez um último suspiro, uma ato de coragem em enfrentar os poderosos que tanto já tentaram me prejudicar em abrir por diversas vezes os olhos daqueles que mais precisavam ser avisados.

Batalhas intermináveis em derrotas terríveis, e uma enorme dificuldade em gravar vídeos por conta de uma baixa estima talvez me fizeram quase desistir, mas se o coração hoje fala mais alto e coloca todas as minhas limitações de lado, vou seguir lutando e apanhando diariamente, porque só me darei por vencido na última batalha e até lá, estarei aqui abrindo os seus olhos e colocando a público todas as canalhices do setor a tona.

Obrigado se você chegou até aqui…

Prefeitura de SP aplicou margem dos servidores 5% para Cartão

Agora os servidores municipais da prefeitura de São Paulo possui que possui 30% da margem consignável para empréstimo pode usar mais 5% para cartão de crédito conforme a lei 58.890/2019 publicado no dia 31 de julho.

Para fazer a contratação o servidor deverá procurar um Correspondente Bancário Autorizado ou uma instituição financeira.

A vantagem de ser feito por um Correspondente Bancário o crédito pode sair mais rápido e terá muito mais atenção no seu pedido de cartão onde a contratação pode ser feita online ou ir até um correspondente ao invés de ficar em uma agência aguardando um gerente.

O limite é calculado conforme o salário. A taxa de juros não podem ultrapassar 2,14% ao mês, é extremamente proibida a cobrança de qualquer tipo de taxa, depósito para liberação do crédito, taxa de abertura de crédito em de demais taxas administrativas.

O site usado para o servidor verificar sua margem para empréstimo e cartão consignado é: https://www.portaldoconsignado.org.br/home lá o servidor poderá pegar a margem dos 30%,
Resumindo como ficou a nova regra : 30% será para empréstimo consignado mais 5% para cartão de crédito consignado.

O empréstimo é feito diretamente na folha de pagamento e todos os servidores ativos e inativos e os pensionistas municipais têm direito de solicitá-lo.

O prazo máximo para pagamento é de 96 meses, sendo que o servidor poderá até se assustar, porém pode estar quitando antecipadamente com amortização total de juros e outro detalhe importante não pode antecipar parcelas um exemplo claro o servidor querer pagar 2, 3 parcelas antecipadas.

O empréstimo deverá ser depositado na conta onde o servidor recebe o salário para maior segurança para não ocorrer tentativas de fraude isso o banco e os correspondentes bancários tem que se atentarem.

Não é feito consulta no SCPC e SERASA, pois como é desconto em folha os bancos tem a garantia que irá receber.

Pela taxa ser atrativa e interessante juntar todas contas que as taxas sejam maiores de 2,14 fazer a soma contratar o consignado essa é uma ação bem inteligente mas faça com consciência pegue o valor realmente que irá usar.

Solicite aqui seu cartão consignado

Tudo o que você precisa saber sobre a segunda parcela do auxílio emergencial

Governo começa a pagar hoje, nesta segunda feira, segunda parcela do auxílio emergencial de R$ 600.Os primeiros a receber serão os beneficiários do Bolsa Família, cujo NIS é terminado em 1. Já na terça feira (19) receberão os cujo NIS é terminado em 2, e assim por diante, ou seja, quem tem o NIS terminado em 9 poderá receber a partir do dia 28.

Para os que não recebem Bolsa Família e estão no Cadastro Único, e os que se inscreveram pelo site ou aplicativo, começa a partir de quarta-feira (20).

O calendário da segunda parcela só é valido para quem recebeu a primeira até o dia 30 de abril. Ainda não foi informado quando recebera quem averbou após esta data.

Os calendários para depósito em poupança digital (a partir do dia 20) e saque e transferência em poupança digital (a partir do dia 30) são definidos pelo mês de nascimento. Assim, quem nasceu em Janeiro terá acesso primeiro.

Para ter acesso ao benefício você deve se enquadrar em uma das características abaixo:

Ser titular de pessoa jurídica (MEI).

Estar inscrito no cadastro único até o dia 20 de março, ter renda mensal de até meio salário mínimo, ou até 3 salários mínimos por família, se enquadrando, assim, no requisito de renda média.

Ser contribuinte do Regime Geral de Previdência Social.

Também deve ter:

Mais de 18 anos de idade e CPF ativo.

*Entretanto, não será dado a pessoas que receberem benefícios previdenciários ou assistenciais, seguro-desemprego ou outro programa de transferência de renda federal que não seja bolsa família.

Não é necessário estar inscrito no cadastro único se possuir outra das característica listadas acima. Para os que não estão, deve ser dado uma autodeclaração no aplicativo ou site. Os recursos serão liberados em até 5 dias úteis após o cadastro.

Somente duas pessoas de uma mesma família podem acumular o benefício.

Agora você já sabe tudo o que precisa saber sobre o auxilio emergencial. Aproveite sua quarentena, fique em casa, lave as mãos.

Servidores federais podem retirar débitos da folha de pagamento

Um dos reflexos em dias de crise é que algumas fichas começam a cair, o servidor Federal a anos tem se deparado com despesas em seu contracheque que nem se quer entende a origem, um verdadeiro comercial em cima do já desvalorizado pagamento do servidor que parecia que nunca iria ter fim.

De seguros a planos odontológicos os descontos proliferam de forma tão rápida que podemos até fazer um paralelo ao COVID 19 e os insanos descontos que se multiplicavam na folha de pagamento do servidor causam pânico e muita dor de cabeça.

Com o decreto 10.328 os descontos agora podem ser cancelados através do portal SIGAC, seja pelo site ou pelo aplicativo.

Servidores finalmente tem a gerência de seus descontos, o que é um absurdo absoluto isso só acontecer agora!

Mudança já tinha passado da hora de acontecer

Considerando a código de defesa do consumidor que já existe a anos isso parece bem estranho ter ocorrido por tanto tempo, ainda mais se levar em consideração que é uma entidade ligada diretamente com o governo que em teoria deveria ser o exemplo no cumprimento das leis.

O que fica subentendido é que durante muitos anos alguém deve ter lucrado absurdamente com tais absurdos.

Mudanças também no empréstimo consignado SIAPE

Outra novidade é em relação ao empréstimo consignado, que deverá ser realizado em duas etapas: a primeira para autorizar a consignatária a ter acesso à sua margem consignável e a segunda para validar as regras do empréstimo.

Além do contrato tradicionalmente em papel, todas as informações sobre seu empréstimo consignado constarão no sistema SIGEPE o que obrigará ao servidor autorizar novamente após visualizar as condições.

Uma camada extra de segurança evitando assim assédios e mal entendidos que se acumulam, inclusive nos casos de portabilidade onde os valores não são expressamente declarados em contrato, uma vez que o Servidor acaba ficando com a diferença no ato posterior a portabilidade já realizada, chamado de refinanciamento.

Os esforços no entendimento de tais regras e condições estão explícitas na live da coordenadoria Geral, onde o link pode ser acessado clicando aqui.

Reflexos da COVID 19

Com o governo sinalizando a quebra da promessa de reajuste no setor um dos maiores pedidos dos servidores infelizmente não foi incluído neste decreto : A suspensão por 90 dias das parcelas descontadas em folha devido a pandemia do COVID 19.

Vale ressaltar que a constituição dá o direito do cidadão brasileiro de não pagar uma dívida. E o mais importante é que seu salário é estritamente de sua responsabilidade e que nenhum órgão pode fazê-lo refém.

Estamos preparando um Material que vai lhe auxiliar no Cancelamento dos descontos em folha de forma legal e justa.

Vulnerabilidade no Setor

A condição de vulnerabilidade não se dá apenas em casos de extrema pobreza, em muitos casos mesmo trabalhando regularmente e tendo um ordenado fixo você pode ser enquadrado nesta condição.

Nossa constituição prevê o direito a moradia, saúde e educação, além da segurança e acesso a alimentação. Em casos onde tais direitos estão comprometidos, existe sim a chance de tirar o desconto da folha de pagamento obrigando assim a instituição lhe oferecer outra forma de pagamento a qual poderá optar pelo pagamento ou não. Fica a Dica!!!

Promessas não cumpridas

Incrivelmente a discussão ainda rola em cima dos 5% de margem adicional ou sobre uma possível suspensão dos descontos em folha, mas o fato mais sólido em questão e a mais importante seria : A Vulnerabilidade e austeridade de uma geração.

Peço a Deus que este post chegue ao maior número de pessoas possíveis para que assim possam abrir sua mente e se voltem para as questões que realmente importa, os 5% só favorece as instituições financeiras, partidos políticos ligados a elas e alguns oportunistas de plantão, gera mais endividamento e cria uma situação ainda mais dependente dos recursos já esgotados do Governo.

A prorrogação dos descontos em folha seria pelo menos um ato de justiça, o que no meu entendimento pode ser um primeiro passo a mudança para o caminho da compreensão civilizada, deixando de lado o canibalismo financeiro que vivemos nesta época.

Como contratar o empréstimo consignado para aposentados e pensionistas do INSS

Com a tecnologia de hoje surgiu a modalidade de contratar seu empréstimo consignado INSS sem sair de casa garantindo um maior conforto, onde pode pesquisar e conversar com pessoas habilitadas e qualificadas para explicarem todo o processo como: contratação, juros, prazo.

Opções de contração como através de sites ou aplicativos está cada vez mais presentes no dia a dia do consumidor de empréstimo consignado. Empresas como Portal Consignado e Empréstimo Fácil foram umas das pioneiras na contratação de empréstimo Online.

Hoje em dia não precisa mais ir ao banco e ficar horas e horas aguardando um gerente lhe atender. Hoje pode ser feito seu empréstimo com segurança on line solicitando em um correspondente Bancário autorizado, pois hoje todo processo de contrato, documentação é totalmente formalizada.

Segurança na contratação do seu empréstimo consignado

Como ter segurança em fazer seu empréstimo se ainda não se sente seguro? Ligue para o Correspondente Bancário certifique-se do CNPJ da empresa, peça o código de loja, o endereço, telefone (esse detalhe do telefone muitos não solicitam ao Correspondente) e hoje por estar tudo formalizado não tem como escapar também da análise do Banco.

Porque ainda muitos preferem ir pessoalmente

Muitos aposentados e pensionistas do INSS ainda são resistentes em relação a contratação on line, porém muitos esquecem um fraudador não vai ligar avisando que irá fraudar seu benefício.

Existem várias empresas hoje oferecendo empréstimo consignado, mas só acredite somente naquele que lhe der mais segurança e quando estiver precisando realmente desse empréstimo e jamais depositar dinheiro antes e nem depois se for solicitado.

Sempre procure saber quanto tempo a empresa ou instituição está no mercado, quanto mais tempo tiver é bem provável que se trate de uma empresa séria.

Cuidados especiais

É extremamente proibido o depósito de qualquer valor na contratação do seu empréstimo consignado e sempre pegar o telefone e o nome com quem está solicitando seu crédito.

Toda e qualquer modalidade de crédito não está condicionada a seguro ou deposito, suspeite sempre que estes itens forem condicinados ao seu pedido de empréstimo consignado

Agora pode solicitar seu empréstimo consignado com mais segurança! Os tempos mudaram tudo está modernizando, Se estiver precisando o momento é agora taxas de juros baixas e com todas informações de segurança para contratar on line.

Aumento do prazo das parcelas consignados

O conselho nacional de previdência aumentou, no dia 17 de março de 2020, o prazo das parcelas de 72 meses (6 anos) para 84 meses (7 anos) do empréstimo consignados.

Veja nossa matéria sobre o que é empréstimo consignado: Ação busca aquecer a economia e auxiliar, economicamente, a população de risco. Com os prazos maiores, a intenção é fazer com que as pessoas voltem a fazer empréstimos, apesar do aumento tradicional de juros continuar funcionando.

Ou seja, quanto maiores as parcelas, maiores os juros, aumentando o valor líquido que ter que ser pago sobre o valor inicial. Efetivamente, esta medida é uma faca de dois gumes, apesar de facilitar o acesso ao crédito, aumenta as chances de aposentados e pensionistas se endividarem, e, numa crise destas, isto é extremamente perigoso.

Risco x Aumento do prazo no Consignado

Com a maior mortalidade das pessoas, devido aos tempos de pandemia, a régua mutuária para de funcionar de maneira precisa. Há maiores chances de pessoas com idade avançada vir a falecer, ou seja, existe maior probabilidade de um empréstimo não ser pago, acarretando numa bola de neve.

A régua mutuária avalia, a partir da idade, as probabilidades de um empréstimo vir a ser pago ou não, considerando a mortalidade da população por idade. Por isso é mais difícil pessoas com idade mais avançada conseguirem aprovação para empréstimos.

Porém, com as taxas de mortalidades elevadas, um dinheiro extra pode ajudar a resolver problemas que seriam irresolúveis.

Os contratantes deste tipo de empréstimo, além de terem maior acesso ao crédito, refinanciar seu contrato com uma taxa de juros menor, se livrando de dívidas que podem ser contraídas durante esta crise.

Esta medida, apesar de ser um tiro no escuro, pode ser considerada uma ação extremamente humanitária, pois ajudar pessoas necessitadas em um momento de extrema necessidade.

Por fim, a extensão do prazo das parcelas pode ser ruim economicamente (ainda que não comprovado) mas com certeza auxiliará a população necessitada, sendo uma medida, entre outras coisas, humanitária.

Como contratar empréstimo consignado sendo servidor federal

O empréstimo consignado SIAPE é a modalidade de empréstimo que desconta todo mês do contracheque dos Servidores Públicos Federais (SIAPE).

Existem uma série de vantagens que são oferecidas por este tipo de empréstimo, entre elas estão: não há consulta ao SPC ou SERASA na hora da liberação, as taxas de juros são menores e os prazos são estendidos para pagamento.

Para contratar você precisa ser Servidor Público Federal ativo ou inativo, aposentado ou pensionista vitalicio.
Os convênios permitidos são:

  • Ativo permanente,
  • Aposentado,
  • Cedido,
  • Redistribuído,
  • Ativo permanente lei 8878/94,
  • Reforma CMB/PM,
  • Reserva CBM/PM e cedido SUS lei 8270.

Já os não permitidos são:

  • Anistiado Privado L10559;
  • Anistiado Público L10559;
  • Anistiado ADCT CF;
  • Prestador de Serviço;
  • Designados sem e com quinquênios;
  • Curatelado;
  • Tutelado;
  • Gratificados;
  • Recrutamento Amplo;
  • Estagiário;
  • Sem vínculo;
  • Requisitado de Outros órgãos;
  • Requisitado;
  • Titular de Cargo em Comissão;
  • Excedente à Lotação;
  • Contratado Temporário;
  • Comissionados e CLT- Celetistas.

O consignado SIAPE pode ser pago em até 96 vezes, sendo a maior do mercado. O prazo pode até assustar, mas pode quitá-lo antes com abatimento total dos juros futuros.

Já as taxas de juros vão de até 2,05% sendo estas uma das menores do mercado, ou seja, vale a pena trocar uma taxa de juros alta por uma menor.

Para contratar é necessário: Ter entre 18 e 80 anos (podendo variar dependendo do banco), ter margem consignável livre (não ter feito outros empréstimos) e que o órgão empregador (quem faz o empréstimo) tenha convênio com o banco de interesse.

O SIAPE tem margem consignável de 30%, sendo 5% destes destinados para cartão. Apesar de ser uma dar menores margens, é o que tem, também, uma das menores taxas de juros, facilitando na hora do pagamento.

Os documentos necessários são: RG e CPF, comprovante de residência, contracheque atualizado e autorização de consignatária (autorização do convênio para aprovar a consignação).

Servidor público federal tem que autorizar expressamente a dedução no contracheque, por meio de sistema de gestão de pessoas do Poder Executivo Federal (SIGAC).

Taxa do Empréstimo Consignado cai novamente

O Conselho Nacional da Previdência (CNP) aprovou a redução da taxa do empréstimo consignado INSS para aposentados e pensionistas do INSS de 2,08 para 1,80. A mudança implicará um aumento significativo na contratação de empréstimos consignados.

Medida tomada para minimizar o impacto causado pela crise da epidemia do coronavírus para população mais vulnerável. Lembrando que a modalidade de empréstimo consignado com desconto em folha para aposentados e pensionistas do INSS é uma das mais baratas hoje em dia no mercado.

Não podemos deixar de citar que a taxa do cartão de crédito com desconto em folha também sofreu uma queda na taxa de juros de 3% para 2,70%, também considerado a taxa de juros mais baixa comparada a um cartão de crédito normal.

Lembrando que a última vez que houve redução na taxa de juros para essa modalidade de empréstimo foi em 2017.

Desde então o Banco Central reduziu pela metade a taxa Selic de 8,25 ao ano para 4,25 ao ano. Mas na avaliação de Nagamine existem quedas para essas taxas de juros. A projeção dessa medida é injetar 25 milhões na economia.

Atualmente a taxa Selic atingiu a marca histórica de 2,9% a.a

Com a redução da taxa de juros muitos aposentados e pensionistas do INSS terão uma taxa de juros mais atrativa para a contratação de empréstimo sendo que a maioria pega o empréstimo para pagar contas mais caras com o cheque especial, o grande vilão da história, podem refinanciar e fazer portabilidade para outros bancos com a taxa de juros menores.

Agora basta refletir de vale a pena mexer no contrato já existente onde a taxa de juros era 2,18 e reduzir para 2,08. Reflita se está precisando mesmo do dinheiro, faça as contas de quanto está devendo se a taxa de juros do que deve for maior vale a pena trocar uma taxa de juros altos por um bem menor.

Aumento dos 5% da margem do empréstimo consignado segue em aprovação

Governo encaminha projeto para aumento dos 5% da margem do empréstimo consignado ainda esse mês, segundo Bianco.

O secretário especial de Previdência e Trabalho alega que o governo já faz mudanças e não precisa mudar regras legislativas

O secretário especial da Previdência Social diz que ainda essa semana encaminhará o projeto que amplia a margem do empréstimo consignado para aposentados e pensionistas do INSS, diz Bruno Bianco, secretário especial da Previdência Social.

A margem anterior era 35% onde 30% é para empréstimo consignado e 5% para o cartão consignado. A nova margem funcionaria da seguinte forma: 40% onde 35% para empréstimo e 5% para cartão de crédito.

Portanto está tendo uma grande divisão para aprovação, pois muitos acham que o comprometimento de renda aumentará e prejudicará os beneficiários que hoje já se encontram bem endividados com empréstimos e cartão.

Mas é muito importante lembrar que o empréstimo consignado para aposentado e pensionista do INSS é uma modalidade de empréstimo mais barato do mercado, muitas pessoas que se encontram no momento no sufoco poderiam ajudar no pagamento de algo muito importante onde não está conseguindo no momento.

Mas para isso tem que ter o valor exato para se livrar da dívida.

A medida está aprovada, mas ainda em discussão pelo governo. Pois existe o medo do endividamento e como o beneficiário muitas vezes depende do seu benefício para sobrevivência. Mas tem o outro lado da moeda, muitos não dependem de seus benefícios e possuem outras rendas.

Essa classe de beneficiários que possuem outras rendas acaba usando o empréstimo consignado exatamente para pagar suas dívidas e não sentem no final do mês falta desse dinheiro, pois usam o benefício para o famoso apaga incêndio (quita dívidas).

Estamos aguardando para os próximos dias alguma resposta, pois muitos aposentados e pensionistas estão aguardando a famosa aprovação, pois a demora deixa todos beneficiários apreensivos e duvidosos sobre o que está acontecendo.

Algumas medidas devido ao COVID 19 já estão sendo implementadas como a possibilidade de mudança da forma de pagamento para conta corrente através do APP meu INSS, por isso acreditamos que agora é apenas uma questão de tempo para aprovação em definitivo.

Concluindo, a aprovação foi feita, porém falta começar a operar com a nova regra de margem. Todos se encontram ansiosos e com pressa para que desate esse nó.

Beneficiários do INSS podem mudar seu pagamento para conta corrente

Com a escalada da pandemia do COVID 19 algumas mudanças já a muito tempo solicitadas estão sendo finalmente ouvida, uma delas é a desburocratização para a mudança da forma de pagamento, ou seja quem recebe por cartão magnético poderá solicitar a mudança via aplicativo MEU INSS.

Definido pela portaria 543 publicado pelo diário oficial em 29 de Abril de 2020 no Diário Oficial o requerimento passa a ser exclusivamente solicitado pelo APP. Atualmente 12.4
Milhões de beneficiários recebem por meio do cartão magnético.

Pré-requisitos para receber por conta corrente

O principal pré requisito para se receber com conta corrente é que a conta informada deve ser no nome do titular do beneficiário, ou seja, não poderá indicar uma conta de terceiro.

Outro pré requisito é que o beneficiário tenha cadastrado um login e senha no aplicativo MEU INSS, devido ao processo ser realizado mediante a autenticação do usuário.

Como solicitar a mudança do pagamento

O passo a passo ainda não foi divulgado pelo INSS e como já era de se esperar o beneficiário terá de descobrir sozinho, enviamos um email para o INSS mas sem retorno até o momento.

Recomendamos que procure por dados cadastrais ou dados bancários dentro do APP para que possa realizar a mudança.

Riscos x Benefícios

Uma das maiores preocupações do portal consignados é a questão da segurança da informação, o INSS é um dos órgãos com maior vazamento de dados, não é incomum dados de aposentados e pensionistas pararem na mãos de estelionatários e até mesmo de empresas que fornecem sistemas para consulta.

Com o vazamento de dados o estelionatário poderá baixar o APP e fazer a mudança para uma conta de passagem, gerando assim dor de cabeça ao segurado o qual inevitavelmente deverá comparecer na instituição financeira e no INSS, ficando assim mais exposto a uma contaminação por coronavírus.

Vantagens em mudar seu pagamento para conta corrente

Uma das grandes vantagens de ter seu benefício pago através de uma conta corrente é a praticidade de não ter que comparecer mensalmente ao banco para receber. As famosas filas em pleno ano de 2020 ainda são uma realidade no país.

Esforços tecnológicos e bancos digitais tem se mostrado muito eficazes, contudo o perfil de quem recebe este tipo de benefício é de pessoas com idade superior a 60 anos, onde a aversão a tecnologia é um fato já bem sabido.

Em um mundo Globalizado não são somente as informações que chegam rápido, as pandemias também, evitar aglomeração na frente do banco é algo que deve ser evitado, com a mudança do recebimento para sua conta corrente, as filas podem ser evitadas e seu orçamento melhor administrado.

Já ouviu a expressão “Essa nota de 100 se trocar vai embora?”, pois é, a valor médio pago pelo INSS é de R$ 1.300,00, considerando os gastos de um aposentado ou pensionista do INSS, cada centavo conta, ao usar um cartão de débito esse centavos se somarão aos outros e pouparão um bom recurso no final do mês.

Vamos combinar o Brasil tem uma das maiores taxas de criminalidade do mundo, as famosas “saidinhas”, são cada vez mais comuns no período de pagamento e muitas vezes o idoso vai sozinho e desprotegido ao banco, ficando exposto a tais ações criminosas, ter uma conta e evitar isso parece além de todas as vantagens acima já citadas uma boa pedida para que você comece a pensar no caso de mudar seu pagamento para uma conta corrente.

O recebimento através de cartão magnético é o único fator de vulnerabilidade para uma fraude, o que deve ser bem observado na sua tomada de decisão, não existe fraude por quadrilhas de estelionatários para quem recebe por conta corrente

Porque ainda se recebe por Cartão Magnético?

Devido ao perfil socioeconômico do beneficiário do INSS ser na grande maioria de baixa renda, e as tarifas bancárias as vezes corresponderem até 5% o valor do pagamento do beneficiário, ter um conta corrente acaba não sendo uma opção viável.

Já tomado com 30% de empréstimos e 5% com cartão de crédito consignado e tendo uma baixa renda e muitas vezes sendo o esteio da casa, a tarifa bancária faz muita diferença no final das contas.

Outro fator é cultural, no passado a circulação de dinheiro era praticamente em papel, o que culturalmente fez com que muitas pessoas acima de 60 anos ainda mantenham este costume, mas tá na hora de mudar né!

Conclusão

No final das contas o nome de tudo isso é GANANCIA, e porque digo isso! Em um cenário ideal o cartão magnético não deveria existir mais, e as instituições financeiras que já se aproveitam dos segurados do INSS ofertando crédito de forma inescrupulosa deveriam zerar as tarifas nestes casos.

Atualmente existem instituições que consomem 65% da renda do beneficiário do INSS com operações de crédito, sendo 30% em empréstimos consignados, 5% com Cartão de crédito e mais 30% com operações de débito em conta.

Considerando dados estatísticos que comprovam que o brasileiro gasta até 70% da sua renda com alimentação, temos um cenário alarmante.

Se considerar que cada vez que utiliza seu cartão de débito em uma compra o lojista paga uma tarifa para o banco, a tarifa de conta é algo bem superficial, ainda mais em casos onde o beneficiário é uma pequena parcela do público com conta corrente não acha?

Demagogia é algo repugnante e quando vejo instituições doando toneladas de dinheiro ao combate ao COVID, as vezes me pergunto : “É sério isso? Esse dinheiro realmente vai para quem precisa? Ou devido ao perfil de vítimas fatais eles estão preocupados em perder o desconto em folha e os demais acessos que tem sobre os benefícios de tais pessoas?”.

Durante 20 anos atuei na frente de operações de crédito, e posso afirmar que boas intenções eles não tem! A forma como as instituições financeiras trata seus parceiros beira ao canibalismo, e as abordagens da sua área comercial em fomentar o negócio é desumano.

Quando um beneficiário morre sua dívida em operações de crédito consignado deixa de existir e não são herdados pelos familiares, considerando que em média o endividamento é de R$ 15.000,00 e a longo prazo passa dos R$ 30.000,00, ou seja, a cada 500 pessoas que perdem a vida o banco deixa de lucrar R$ 15.000.000 de reais, considerando que já passamos de 4.000 mortes a conta é bem fácil de ser feita, o perfil de mortalidade é de 72% de pessoas acima dos 60 anos ou seja, fazendo uma conta rápida 2.880 pessoas acima de 60 anos já perderam a vida o que traria um prejuízo acima dos 68 Milhões de reais as instituições financeiras do país, fora os demais casos que também são consumidores e vão deixar de pagar suas contas, bem como seguros de vida a serem pagos, entre outras situações com arrendamento mercantil e Imobiliário.

Fora toda esse prejuízo a exposição de uma marca em horário nobre no meu entendimento me parece mais uma ação de marketing do que qualquer outra coisa, considerando que uma propaganda custa em torno de 1.000.000 dentro do Jornal Nacional. Acho até bacana a iniciativa, mas não acredite que só existe boas intenções por trás destas ações.

No geral recomendamos sim a mudança para o recebimento através de conta corrente, é muito mais seguro, tanto no aspecto de exposição quanto no tocante financeiro, mas antes de qualquer mudança negocie com seu banco a tarifa de contas.

Conheça tudo sobre o empréstimo consignado

O empréstimo consignado é feito de forma que o valor das parcelas são descontados diretamente da folha dos contratantes. O saldo, ou a margem, pode assumir até 40% do valor do salário, aposentadoria ou pensão do cliente, sendo 5% destinados para o cartão de crédito.

Possui uma das taxas de juros mais baratas e maiores prazos de pagamentos, é procurado por sua versatilidade.

Taxa de juros e prazo de pagamento

Atualmente, as taxas de juros máximas para o empréstimo consignado são de 1,80%. Resultado de alteração recente, após debate do Conselho Nacional de Previdência Social (CPNPS), efetuada pelo governo. Para o cartão, que também foi mudado, o valor é de 2,70%. O último reajuste havia sido realizado em setembro de 2017.

Mas o que são as taxas de juros? São, em parcela, o saldo descontado cada mês para pagar o empréstimo. Lembrando que, no caso do empréstimo consignado, também é cobrado o IOF (Imposto sobre Operações Financeiras), não se consistindo unicamente no valor das taxas de juros, e este é um diferencial do desconto em folha, pois geralmente há necessidade de garantia física e outras taxas a serem cobradas em outros tipos de empréstimos.

As taxas de juros são colegiadas, ou seja, dependem do convênio, governo e instituição financeira.

O valor dos juros, apesar de terem teto máximo, são negociados diretamente com o banco. Ele é calculado de duas formas: anualmente e mensalmente. Além disto, o CET (custo efetivo total), leva em conta outros aspectos da operação, como o prazo de pagamento.

O prazo também foi alterado recentemente, passando de 72 meses (6 anos) para 84 meses (7 anos) para aposentados e pensionistas do INSS, os servidores públicos possuem prazo de meses e trabalhadores de empresas privadas, em até 48 meses. Eles influenciam diretamente no valor das parcelas.

Quanto maior o prazo, maior os juros e menores as parcelas, ou seja, o valor total do empréstimo aumenta, porém o valor pago ao mês diminui.

A averbação geralmente demora de 2 a 3 dias úteis, mas dependendo da instituição financeira pode chegar a 15.

Quem pode fazer empréstimo? Saiba mais sobre os convênios e a régua mutuária

Para definir se você pode fazer ou não um empréstimo consignado, você precisa tratar com um convênio. A princípio, existem algumas categorias elegíveis para contratar o serviço:

  • Os aposentados e pensionistas, cujo convênio é o INSS;
  • Os servidores públicos municipais e estaduais, com as prefeituras municipais e estaduais, respectivamente;
  • Os servidores públicos federais, com o SIAPE;
  • Forças armadas, cujos convênios são do exército, da marinha e da aeronáutica;
  • Empresas de grande e médio porte, que possuem mais de 100 funcionários, este aqui é tratado como consignado privado e não possui um convênio específico.

Os convênios funcionam como intermediário entre o banco e o contratante, sendo de fato o contrato firmado por ambas as partes, é deles que é debitado o valor das parcelas. E com eles que se define o comprometimento de renda, o prazo, a idade, o valor e a política de crédito.

Caso você pertença a alguma das categorias acima, você precisa contratar um banco que trabalhe com seu convênio.

A idade e o valor também interferem, devido à política de crédito. As instituições financeiras trabalham com uma lógica por trás de suas ações. Para aprovar a concessão de crédito, eles primeiro precisam se certificar que o contrato vai ser viável para se obter lucro.

Para isso, eles montam um perfil de seus clientes, cujo objetivo é identificar os mais adequados para a aprovação. Esta lógica é a política de crédito. Valores altos são mais difíceis de serem concebidos, pois é menor a chance de serem pagos, mas isto depende diretamente das condições financeiras do cliente. Já a idade interfere na régua mutuária, que ajuda a traçar o perfil dos contratantes.

Quanto mais velho, maior a taxa de mortalidade, então menor a chance de concluir o pagamento de um empréstimo, logo, mais difícil de ser aprovado.

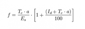
Comprometimento de renda (ou margem)

Atualmente, o comprometimento máximo de renda é de 40%, sendo 5% destes destinados para o cartão de crédito. Para calcular é simples: utilize nossa ferramenta abaixo.

Se seu saldo der positivo, basta negociar com sua instituição financeira e convênio para efetuar a operação.

Lembre-se que fazer empréstimos reduz seu comprometimento de renda até que estes sejam totalmente quitados.

Cartão de crédito

Assim como o empréstimo, o cartão de crédito consignado é descontado diretamente da folha dos contratantes, sendo pago pelo convênio que o vincula ao banco. O valor funciona como um empréstimo, caso você pague com seu próprio dinheiro não necessitará recorrer aos 5% de sua margem para quitar, mas caso não pague ocorre o desconto em folha.

Refinanciamento

É o ato de refinanciar o empréstimo para, descontando do valor que já foi pago dele, reduzir seu valor, aumentando assim a margem consignável do contratante. Lembrando sempre que o número de parcelas volta ao original

Tomemos como exemplo um empréstimo de 84 vezes, cujo valor é 84000 reais (valor ilustrativo). Cada uma de suas parcelas custaria 1000 reais (também ilustrativo). Ao quitar 20 parcelas, você resolve refinanciar seu empréstimo. Assim, voltariam as 84 parcelas originais, porém o valor total seria descontado do valor quitado, ou seja, agora o valor total seria 54000 (84000 do valor original – 20000 do valor quitado), em 84 vezes. Isto aumentaria sua margem consignável.

Portabilidade

Portabilidade se consiste em transferir uma operação de crédito e de arrendamento mercantil de um banco para outro. Pode ser realizada por qualquer cliente, mediante ao cancelamento de contrato e quitação antecipada no banco original.

Pode ser utilizado para refinanciamento, amortização de juros e aumento de prazo, sendo muito útil para quem deseja fazer um novo empréstimo.

Isto é tudo por enquanto, pessoal!

Agora que já conhece melhor o empréstimo consignado, sinta-se à vontade para visitar outras páginas de nosso blog! Atualizamos semanalmente, conferindo-lhes das mais ricas, e de maior qualidade, informações da internet.

Estamos sempre trazendo mais conteúdo sobre empréstimo consignado, além de outros temas, então fique ligado!

COVID 19 – Impactos no panorama econômico

dos empréstimos consignados para aposentados

Entre as principais mudanças estão a redução das taxas de juros, que para aposentados reduziu de 2,14% para 1,80% ao mês e o aumento do prazo de 72 meses (6 anos) para 84 meses (7 anos), também é está sendo estudado o aumento do comprometimento de renda, que vai de 30 para 34, o que aumentaria a margem de 35% para 40%. Alguns bancos inclusive adiaram, por inciativa própria, a cobrança mensal, entre eles estão o Banco do Brasil, a Caixa Econômica Federal e o Banco Banrisul.

Crise da terceira idade

O COVID-19 abalou os alicerces econômicos e sociais de nossa sociedade. Não obstante, nos obrigou a mudar não só no âmbito econômico, como também nossas vidas. Entre os principais afetados estão os idosos, onde a taxa letalidade do vírus pode ultrapassar os 10%. Então, como a terceira idade foi afetada?

Panorama econômico

Atualmente vivemos o começo de uma crise que vem senda comparada, por muitos especialistas, com a grande
depressão
,de 1929, que deixou uma cicatriz na história e desempregou milhões de trabalhadores no mundo todo.

Porém, hoje vivemos em um planeta globalizado, com a economia completamente diferente do que era 90 anos atrás, além disso não temos perspectiva de quando tudo isso irá passar, e o que tudo indica, quanto mais tempo durar, pior para a economia. Ao que tudo indica, os enormes gastos com saúde públicas somados ao período de paralização parcial da economia causarão uma grande recessão, que por sua vez poderá resultar em um período de austeridade.

Explicando mudanças

Para combater a possível crise que está se sucedendo o governo está propondo uma série de mudanças, entre elas mudanças no desconto em folha. As medidas visam auxiliar aposentados e pensionistas no período de necessidade, além de aquecer a economia.

No dia 20 de abril, foi decidido em primeira instância a proibição dos bancos de descontar em folha por 4 meses, porém esta decisão foi suspensa alguns dias depois por ser insustentável economicamente, ainda assim alguns bancos paralisaram a cobrança por iniciativa própria. As taxas de juros foram reduzidas e o prazo aumentado. Lembrando que 1,80% define o valor máximo da taxa de juros, e que o custo é dado pelo CET (Custo Efetivo Total), sendo este o custo final, que é aumentado com o aumento do prazo da cobrança, apesar desta ser diluída com o tempo.

Crítica às mudanças na obtenção de crédito

Outra medida proposta, mas ainda não aprovada, é o aumento da margem consignável, de 35% para 40%, sendo dividida entre 35% para empréstimo e 5% para cartão.

Em um país onde a porcentagem de famílias endividadas é de 66,2%, sendo esta inclusive a maior taxa desde dezembro de 2017, o aumento da facilidade de obtenção de crédito é uma faca de dois gumes. Com maiores prazos e valores, a tendência é subir a obtenção de empréstimos, causando endividamento massivo a longo prazo, justamente por estes que estão sendo incentivados serem os mais necessitados na crise, os idosos.

Como os idosos foram afetados

Gastos com remédios e convênios são, inevitavelmente, maiores em pandemias, principalmente para os com idade avançada. Nesta situação, não é preciso ir muito longe para imaginar uma situação em que um idoso cai em uma das ciladas propostas pelas mudanças no desconto em folha e fica absorto em dívidas. Neste período, o essencial é ser consciente e bem informado.

Cuidados para os idosos

O essencial é ficar em casa. Evitar contato, e quando necessário sair utilizar equipamentos de proteção, além do uso constante de álcool em gel ou lavar as mãos com sabonete por 15 segundos. Atualmente estamos no pico da doença, onde existe enorme número de casos, portanto devemos tomar cuidado para sairmos desta situação o mais rápido possível. Em caso de sintomas de gripe, somente vá ao hospital se sentir falta de ar.

Autorregulamentação no consignado

A Autorregulamentação no consignado já é uma realidade a Febraban publicou um material para ajustar alguns pontos mais críticos na operação, os quais foram:

  • Mercado;
  • Oferta;
  • Assédio;
  • Enforcement

Mercado

Envolvimento das Instituições Financeiras que oferecem o produto Empréstimo Consignado e Cartão Consignado em prol do fortalecimento do mercado.

Oferta

Desenvolver mecanismos para aperfeiçoamento da oferta do produto, trazendo maior transparência na relação de consumo.

Assédio

Combate ao forte assédio por parte dos atuais canais de distribuição do Produto.

Enforcement

Ter mecanismos de enforcement ágeis e efetivos para as Instituições Financeiras e Correspondentes.

Quais Instituições Financeiras (IFs) já estão aderentes à Autorregulação do Consignado?

A adesão por enquanto conta com as seguintes instituições financeiras:

    • Agibank
    • Alfa
    • Banco do Brasil
    • Banco do Nordeste
    • Banrisul
    • Barigui
    • Bradesco
    • Bradesco Financiamentos
    • BMG
    • BRB
    • Caixa
    • Cetelem
    • CCB
    • Digio
    • Daycoval
    • Estrela Mineira
    • Facta Financeira
    • Inter
    • Itaú
    • Itaú Consignado
    • Mercantil do Brasil
    • Mercantil do Brasil Financeira
    • Olé Consignado
    • Pan
    • Paraná Banco
    • Safra
    • Santander
    • Sicredi
    • BV Financeira

Medidas a serem implementadas

1) Não me Perturbe

Será criado e mantido à disposição do consumidor, um serviço centralizado de bloqueio do recebimento de ligações para oferta de operações de consignado.

Objetivo: uma vez cadastrado um telefone fixo ou móvel pelo consumidor na plataforma “Não me Perturbe”, tanto os Bancos quanto seus Correspondentes, não poderão realizar qualquer oferta de operações de Empréstimo Consignado e Cartão de Crédito Consignado para esse telefone, a partir de 30 dias da referida solicitação(*).

2) Base consolidada (plano de qualidade)

Será criada uma base de dados com informações consolidadas sobre reclamações e ações judiciais procedentes de cada Correspondente apto a operar no mercado de consignado.

Objetivo: Instituições Financeiras aderentes à autorregulação terão que captar e fornecer a cada mês informações para a apuração de indicadores por Correspondente, e divulgação na internet.

Importante: as informações individuais de cada IF a respeito de seus Correspondentes não serão
compartilhadas ou divulgadas, preservando o sigilo e a confidencialidade de tais dados.

O que será considerado para apuração dos indicadores?

      • Reclamações procedentes atreladas ao Correspondente, registradas nos seguintes canais: SAC dos Bancos, INSS, Consumidor.gov, Banco Central e Sindec, + Reclamações procedentes provenientes do serviço de “Não me Perturbe”, associadas ao Correspondente.
      • Ações judiciais procedentes em que seja possível constatar a responsabilidade do Correspondente pela conduta indevida.

Como serão apurado os indicadores?

Um plano de qualidade prevê métricas para cada indicador (detalhadas a seguir)

3) Avaliação por consultoria independente (plano de qualidade)

Será intensificado trabalho de avaliação anual feita por consultoria independente sobre uma amostra de Correspondentes de crédito consignado. A ideia é que os resultados também sejam considerados no plano de qualidade que analisará a atuação desses Correspondentes.

Objetivo: garantir e fomentar a melhoria contínua do nível de qualificação dos serviços prestados
pelos Correspondentes no que tange a aspectos de governança e de tecnologia e sistemas.

Avaliação – Origem das informações e gestão de dados

A avaliação anual da consultoria independente também passará a verificar de forma específica aspectos sobre a origem e gestão de dados de clientes aos quais os Correspondentes têm acesso, bem como o nível de adequação aos requisitos da Nova Lei Geral de Proteção de Dados – LGPD (Lei 13.709/18).

Como serão apurados os resultados da avaliação?

Um plano de qualidade prevê métricas para a avaliação (detalhadas a seguir)

Plano de qualidade (avaliação de indicadores por Correspondente)

Metodologia:

Indicador 1 – Das reclamações dos consumidores, clientes e beneficiários:

Metodologia:

i. Indicador corresponde a: quantidade total de reclamações procedentes no mês base atreladas ao Correspondente, sobre a quantidade total de contratos ativos de operações de consignado na carteira do Correspondentes no mês base.

ii. Serão consideradas unitárias as reclamações referentes ao mesmo contrato recebidas em mais de um canal.

iii. A apuração deste indicador se aplicará somente aos Correspondentes que tiverem mais de 3.000 operações de crédito consignado e/ou mais de 3 reclamações no mês base.

Indicador

2 Das ações judiciais procedente – Metodologia

i.Indicador corresponde a quantidade total de ações judiciais avaliadas procedentes no mês base atreladas ao Corban,sobre a quantidade total de contratos ativos de operações de consignado na carteira do Correspondente no mês base

ii.A apuração deste indicador se aplica somente aos Correspondentes que tiverem mais de 3 000 operações de crédito consignado e/ou mais de 3 reclamações no mês base.

Indicador 3 – Da avaliação anual por consultoria independente (sobre uma amostra dos Correspondentes mais representativos do mercado)

As Instituições Financeiras aderentes à autorregulação assumem o compromisso de utilizar os resultados das avaliações como instrumento complementar para suas respectivas tomadas de decisões.

O monitoramento da qualidade dos serviços prestados pelos Correspondente, será realizado no âmbito da Autorregulação, por meio dos seguintes indicadores:

O que acontece se o Correspondente estiver com algum dos indicadores com o status “não conforme” Se
após a consolidação dos resultados captados junto às IFs ou após avaliação por consultoria independente, o
Correspondente estiver com algum índice “não conforme”, estará sujeito às seguintes medidas administrativas

Importante : O objetivo da autorregulação é promover melhorias na oferta do crédito consignado e atendimento aos consumidores e paraisso o intuito não é o de aplicar punições de forma demasiada. A medida administrativa terá a função de indicar ao Correspondente os pontos para os quais precisa se aprimorar

As Instituições Financeiras que não atenderem aos compromissos previstos na Autorregulação também se
sujeitarão a penalidades (como a aplicação de multas que poderão variar de R 45 mil a R 1 milhão)

Portabilidade de crédito consignado ou seu respectivo refinanciamento:

4) Portabilidade ou refin decorrente (aspectos de remuneração)

As Instituições Financeiras aderentes à autorregulação passarão a adotar a partir de 02.01.2020 novos procedimentos em relação a remuneração ao Correspondente sobre operações de portabilidade de crédito consignado ou o refinanciamento (refin) dela decorrente.

  • Se realizadas em até 360 dias da operação original: sem remuneração.
  • Se realizadas acima de 360 dias da operação original: com remuneração, porém vedada a antecipação.

Objetivo: coibir o assédio ao consumidor por meio de ofertas sobre operações com poucas parcelas
pagas, e condições que acabem não sendo vantajosas ao mesmo.

* Referida remuneração se refere ao pagamento de comissão, provenientes da portabilidade de operações de
consignado ou o “refin” dela decorrente, seja pelo encaminhamento (à vista) ou pro rata, e não poderão ser
objeto de antecipação.

Os 360 dias referenciados serão contados a partir da data de originação da operação (data da entrada da
operação no ativo do banco de origem).

Portabilidade ou refin decorrente (aspectos de remuneração)

Portabilidade de crédito consignado que venha a ocorrer com a redução de PMT em um prazo inferior a 360 dias de sua originação, não deverá ser remunerada.

Da mesma forma, qualquer refin de um contrato portado com menos de 360 dias, independentemente se há alterações no valor da parcela, taxa, valor financiado ou qualquer condição contratual, não deverá ser remunerado.

Para um novo contrato originado com valor de margem liberada (margem livre), decorrente de portabilidade de crédito consignado que venha a ocorrer com redução de PMT em um prazo inferior a 360 dias de sua originação, não haverá remuneração.

Refin do refin: se o refinanciamento ocorrer com menos de 360 dias (contados da data da operação original), esta operação não deverá ser remunerada.

Ou seja, podem ocorrer 2, 3… “N” refins, se forem realizados com menos de 360 dias da operação na IF origem, não há remuneração. Caso o novo refinanciamento ocorra após 360 dias, aí haverá remuneração e a possibilidade de antecipação.

Para a operação de refinanciamento múltiplo (com contratos diversos e prazos diferentes): se houver nesse rol algum contrato com menos de 360 dias de sua originação (e a Instituição Financeira não conseguir segregá-lo dos demais), não haverá remuneração para a operação como um todo.

Medidas a serem implementadas

5) Informações mínimas na contratação

As Instituições Financeiras aderentes à autorregulação deverão enviar aos consumidores as seguintes informações mínimas relativas à operação contratada:

Objetivo: conferir ao consumidor maior transparência e clareza ao processo de oferta e contratação das operações de crédito consignado.

6) Certificação de Agentes de Crédito (CPF)

Será requerida a exigência de certificação profissional a todos os integrantes da equipe do Correspondente que prestem atendimento, realizem encaminhamento ou digitem propostas de operações de consignado, pessoalmente ou à distância.

Objetivo: fortalecer e ampliar a profissionalização dos Agentes de Crédito (Pessoas Físicas), visando
mitigar práticas inadequadas na oferta e encaminhamento de propostas.

A certificação profissional pode ser obtida através de entidades certificadoras de reconhecida capacidade técnica (é importante que as equipes dos Correspondentes busquem esta qualificação).

7) Direito de desistência

Previsão ao consumidor da possibilidade de desistência da operação de crédito em até 7 dias úteis a contar do recebimento do crédito, devendo ser restituído o valor total concedido que lhe foi entregue, acrescido de eventuais tributos incidentes sobre a operação.

Objetivo: garantir o direito de desistência aos clientes que efetuarem contratações por telefone,
dispositivos móveis (mobile), caixas eletrônicos (ATM), internet ou por Correspondentes.

A Convenção foi assinada pelos Associados da FEBRABAN e da ABBC.

A Convenção prevê a constituição de um Comitê Gestor e um Comitê de Governança órgãos que serão os responsáveis por deliberar sobre o funcionamento do Sistema de Autorregulação.

As regras referentes à remuneração dos Correspondentes indicadores de reclamações e medidas administrativas poderão ser revistas anualmente.

Os referenciais e métricas que ensejam a aplicação das medidas administrativas poderão ser revistos a cada 6 meses

Questões para esclarecimentos (FAQ)

1) A Autorregulação do Consignado se aplica a todo o produto e suas modalidades? Ou apenas a uma modalidade específica(exemplo Consignado INSS)

A Autorregulação visa estabelecer mecanismos que assegurem a melhoria da qualidade, transparência, segurança e eficiência a todo o mercado de consignado, de modo geral Portanto, seu escopo se aplica a todas as  odalidades envolvendo operações de empréstimo e cartão de crédito consignado ( INSS e privado) As Instituições Financeiras
devem aplicar as regras e diretrizes previstas com base nessa premissa.

2) A adesão à Autorregulação é voluntária pelas Instituições Financeiras?

Sim,a adesão aos compromissos estabelecidos pela Autorregulação do Consignado é voluntária pelas Instituições Financeiras. Com relação aos Correspondentes, cabe ressaltar que tanto FEBRABAN quanto ABBC não possuem o papel de efetuar o controle sobre a atuação dos mesmos, esta é uma responsabilidade das IFs Entretanto, sabendo da importância que o canal Correspondente possui na oferta e venda do produto consignado, considerou se de fundamental importância estabelecer mecanismos de fortalecimento do mercado, como é o caso da Autorregulação, da qual se espera que as IFs filiadas às Associações e aderentes ao Sistema possam adotar junto a seus respectivos Correspondentes as medidas previstas para aprimorar o nível dos serviços prestados pelos mesmos aos clientes

3) De que forma as Instituições Financeiras e os Correspondentes terão acesso à lista de telefones bloqueados no serviço de “Não me Perturbe, para os quais não deverão ofertar crédito consignado?

As Instituições receberão os dados pela gestora do site “Não me Perturbe” Diariamente serão disponibilizados arquivos individuais com a lista de bloqueio, que devem ser retransmitidos pelas IFs aos seus Correspondentes, que não deverão fazer ligações para a oferta de consignado a partir de 30 dias da solicitação de bloqueio O primeiro mês base de referência da Base, para apuração dos indicadores por Correspondente, será janeiro/ 2020.

4) Quando a Base de Dados dos Corresh3ondentes passará a ser operacionalizada?

5) Qual será o fluxo de prazos para o processo de composição mensal da Base de dados dos Correspondentes? A aplicação de medidas administrativas aos Correspondentes com indicador “não conforme” será padronizada?

Aos Correspondentes que tiverem algum indicador “não conforme”, estão previstas medidas administrativas que serão aplicadas de forma padronizada, isto é, ao mesmo tempo por todas as IFs aderentes à autorregulação

Antes da aplicação de qualquer medida administrativa, o Correspondente será notificado previamente a respeito sobre o fato,recebendo uma Comunicação de forma padronizada por cada uma das IFs aderentes à utorregulação com as quais opera (vide o fluxo a seguir que descreve todo o fluxo de prazos da Base)

6) Como o Correspondente saberá que foi sancionado com uma medida administrativa?

As Instituições Financeiras terão até o dia 25 do mês subsequente ao mês base para enviar as informações de seus
Correspondentes com carteira ativa à CIP, que fará a consolidação e apuração dos indicadores No 1 dia útil do segundo mês subsequente ao mês base a CIP retornará às IFs relatório com os resultados por Correspondente

7) Se o Correspondente tiver dois indicadores enquadrados como “não conforme” no mesmo mês base, a medida administrativa será aplicada de forma progressiva no período?

Reiteramos que o objetivo da autorregulação é promover melhorias na oferta do crédito consignado e na restação de serviços aos consumidores E para isso o intuito não é aplicar sanções ou punições de forma demasiada. A medida administrativa terá a função de indicar ao Correspondente os pontos para os quais precisa se aprimorar. Nesse sentido a progressividade das sanções não será cumulativa dentro de um mesmo mês base A progressividade será aplicada se a partir de uma “não conformidade” identificada, o Correspondente reincidi la ao longo dos meses subsequentes

8)Quais informações da Base de Dados dos Correspondentes serão disponibilizadas na internet ao público? Em qual site?

7)Se o Correspondente tiver dois indicadores enquadrados como “não conforme” no mesmo mês base, a medida administrativa será aplicada de forma progressiva no período?

Reiteramos que o objetivo da autorregulação é promover melhorias na oferta do crédito consignado e na prestação de serviços aos consumidores E para isso o intuito não é aplicar sanções ou punições de forma demasiada A medida administrativa terá a função de indicar ao Correspondente os pontos para os quais precisa se aprimorar.

Nesse sentido a progressividade das sanções não será cumulativa dentro de um mesmo mês base a progressividade será aplicada se a partir de uma “não conformidade” identificada, o Correspondente reincidi la ao longo dos meses subsequentes e ABBC divulgarão em um site público na internet algumas informações obtidas da Base de dados dos Correspondentes De modo a assegurar a isonomia e aspectos de natureza concorrencial do mercado, não haverá nenhum tipo de ranking ou classificação por Correspondente Em suma pretende se divulgar os dados cadastrais de cada estabelecimento (nome fantasia, razão social, CNPJ, município e UF) e respectivos indicadores de reclamações e ações judiciais procedentes.

Cabe reiterar que as IFs participantes devem incluir em seus contratos de prestação de serviços celebrados com os
Correspondentes, cláusula contratual mencionando o plano de qualidade setorial, bem como, a divulgação pública e medidas administrativas cabíveis em caso de não conformidade

9) Qual o conceito de “carteira ativa” que será utilizado para a apuração dos indicadores dos Correspondentes?

Deve se considerar como carteira ativa qualquer contrato presente na carteira do Correspondente que ainda componha o ativo do banco, ou seja, qualquer contrato que ainda não esteja liquidado (obs mesmo critério utilizado pelos Bancos na informação ao BC 3040

10) Para apuração dos indicadores dos Correspondentes, a IF deve enviar a base de contratos ativos e de reclamações
procedentes dos correspondentes descredenciados?

Sim. Ainda que a IF não possua mais vínculo com o Correspondente, a carteira e as reclamações procedentes deverão ser informadas.

11) A IF deve enviar os dados de um determinado Correspondente que não tenha atingido mais de 3 reclamações e possua
menos de 3 000 contratos ativos no mês de referência?

Sim. A Instituição Financeira deve enviar as informações, pois a apuração dos indicadores de avaliação do Correspondente será referenciada em dados consolidados (ou seja, com base nos dados enviados pelas IFs participantes) A CIP é quem atuará na consolidação dos dados e informará se para o Correspondente haverá ou não a aplicabilidade dos indicadores de qualidade;

12) A avaliação por consultoria independente será aplicada apenas a uma amostra de Correspondentes E o que acontece com
aqueles que não forem selecionados para essa avaliação?

Aos Correspondentes que não forem selecionados para o processo de avaliação por consultoria independente não haverá implicações no que tange à autorregulação Ou seja, na apuração dos indicadores que compõe o plano de qualidade do Correspondente, este item não será aplicável Agora, se o Correspondente for selecionado para a avaliação e se recusar a participar, ou cometer algum tipo de represália ao processo, estará sujeito à aplicação das medidas administrativas previstas na Autorregulação.

13) Supondo que em um determinado mês foi apurado que o Correspondente tem 2 999 operações em sua carteira ativa de
crédito consignado e menos de 3 reclamações procedentes, o mesmo não passará pela avaliação dos indicadores de qualidade E
se no mês seguinte esse mesmo Correspondente estiver com um consolidado de 3 001 operações e 0 reclamações procedentes? E
se estiver com 2 999 operações e 4 reclamações?

Nos meses de apuração em que o Correspondente tiver mais de 3 000 operações de crédito consignado ativas em sua carteira e/ou mais de 3 reclamações consideradas procedentes, será avaliado por meio dos indicadores previstos nesta autorregulação, Caso contrário, está isento da avaliação Ou seja, nos exemplos indicados teríamos que com 3 001 operações e 0 reclamações procedentes, o Correspondente será avaliado (pois o número de operações é superior a 3 000 Da mesma forma, se tiver 2 999 operações e 4 reclamações o mesmo também será avaliado (pois o número de reclamações procedentes no mês é superior a 3.

4) Sobre a regra para remuneração dos Correspondentes, transcorridos 360 dias da operação original, não será possível remunerar o Correspondente sobre as operações de portabilidade ou refins decorrentes realizadas antes desse prazo?

Não. Uma vez não sendo permitida a remuneração, ela não é mais devida em nenhum momento Novamente, é importante reiterar que o artigo 12 do Documento Correlato da Autorregulação do Consignação não trata de uma postergação no pagamento da remuneração, mas sim de uma vedação (obrigatória pelas IFs aderentes)

15) Portabilidades ou refinanciamentos decorrentes digitados a partir de 02 01 2020 porém sobre operações já originadas (ou seja, antes da referida data indicada), poderão ser remunerados ou não?

A autorregulação terá início a partir de 02 01 2020 Portanto, a partir dessa data qualquer portabilidade ou refinanciamento dela decorrente sobre uma operação de crédito consignado com prazo de originação inferior a 360 dias não deverá ter remuneração ao Correspondente O escopo de início de aplicação da norma, portanto, se estabelece sobre a realização de portabilidades ou os refins decorrentes a partir da data em referência.

16) Qual é a remuneração que está vedada antes do prazo de 360 dias?

À vista e pro rata. Sobre a remuneração vedada, esta é referente ao encaminhamento (à vista), ao diferido/pro rata (à prazo), bem como quaisquer outras, inclusive atreladas à prêmio de campanhas, viagens, eventuais adicionais e etc. Não são devidas (estão vedadas).

17)No caso de portabilidades de vários contratos com a junção de PMTs no refin de portabilidade como proceder no que tange à remuneração ao Correspondente?

Para essa situação em que houver portabilidade de vários contratos, realizando se a junção de PMTs no refin de Portabilidade, o prazo de 360 dias deverá ser contado a partir da contratação da operação mais recentemente contratada no banco original

18)No que se refere às remunerações diferidas (pro rata), o art 15 parágrafo único da Autorregulação veda sua antecipação. Mas de alguma forma este montante pode ser utilizado para amortizar saldos devedores do Correspondente junto à IF?

Reforçamos que não será devida remuneração, nem à vista nem diferida (pro rata), para as portabilidades realizadas em até 360 dias transcorridos da operação original. Paraportabilidades ou refins delas decorrentes realizadas após 360 dias da operação original, portanto passíveis de remuneração, a remuneração diferida (pro rata) não poderá ser objeto de antecipação Consequentemente, não poderá ser utilizada para a concessão de novos limites de crédito No decorrer da vida da operação, as parcelas pagas mensalmente poderão ser utilizadas para amortizar eventuais saldos devedores ou pendências financeiras do correspondentes junto à IF

19) Como serão efetuados os controles sobre o cumprimento das regras previstas na Autorregulação?

A Convenção que instituiu a Autorregulação do Consignado prevê a criação de um Comitê Gestor e de um Comitê de Governança, que serão os órgãos responsáveis pelas análises e decisões atreladas às regras e medidas estabelecidas Periodicamente serão realizadas reuniões para o efetivo controle das atividades.

20) E como será monitorada a aplicação pelas IFs das regras previstas na Autorregulação?

A Autorregulação do Consignado estabelece que as áreas de compliance das IFs serão responsáveis pela veracidade das informações a serem fornecidas pelas mesmas Além disso, também poderão ser realizados trabalhos de monitoramento e sobre as IFs para verificar o cumprimento das medidas junto aos seus Correspondentes Caso deixem de aplicar as regras estabelecidas, as IFs estarão sujeitas a penalidades.

Fonte: Febraban

Bitrix Crédito Pessoal ou Alternativa ao crédito?

Bitrix

Bitrix é uma plataforma onde você consegue, através do seu cartão de crédito, comprar TrueUsd, um token de dolar, que se transforma em dinheiro ma sua conta corrente.

Não é empréstimo!

Voce comprar bitrix, e pode ser dividido em 12 vezes no cartão. Por se tratar de um dolar real que vira reais na sua conta, e sendo uma compra, pouco importa se seu nome esta limpo ou sujo, ou, de quem é o cartão, (pode ser de terceiro), ou qual dua idade. Nada disso atrapalha a venda.

Como funciona

Por tratar-se de uma commodity digital, o preço dela varia em função das suas funções: pode ser enviado sem burocracia a qualquer pessoa, nao tem limite de fronteiras nacionais ou internacionais, pode se depositado em qualquer moeda na conta corrente. É muito mais valioso que simplesmente dinheiro.

Onde atua

Bitrix está disponível no Mexico, Argentina, Colombia, Chile, Iruguai, Bolivia, Peru e Brasil. Preço na conversão Brasil (bitrix/real) ja convertido na conta corrente do cliente. O custo por esta operação é bem baixo, por exemplo:

R$ 500,00 ficaria 12 parcelas de R$ 97,00 ou 1.000,00 em 12 parcelas de 170,00

 

Porque bitrix tem custos e não é 1:1 e nao tem juros?

A plataforma bitrix tem que fazer holding de True Usd (tusd), segurar o câmbio, depois converter em tokens internos, transacionar, resgatar e ainda liquidar na moeda local do cliente, posteriormente, ainda precisa antecipar a liquidação do crédito para manter a Escalabilidade, por isso o custo operacional é elevadíssimo, principalmente na America Latina.

Quais as vantagens de Bitrix?

As vezes alguém precisa de dinheiro para enviar para outra pessoa fora do País, e o mais usado são bitcoins. Mas bitcoin oscila demais. Dolar é dolar! Ninguém reclama de receber dólares ousua moeda local.

E na plataforma bitrix parcelamos a venda mais os custos em 12 vezes, e mesmo nosso valor mais custos, e entregamos em reais, pesos, dolares, euros direto na agencia bancaria que o cliente indicar. Ainda esta mais barato que um emprestimo pessoal.

Entao algumas pessoas podem usar Bitrix como alternativa ao empréstimo pessoal, outras, para nao se descapitalizar nas transações.

Como proceder

Basta entrar na plataforma, simular a quantidade de dinheiro desejada, o simulador ja ira mostrar o valor fixo das 12 parcelas.

Agradando, basta clicar em finalizar, e serão solicitados os dados do cartão de crédito, o nome do comprador e a conta corrente de destino. Clicando em COMPRAR, a transação é realizada.

Sendo aprovada a venda, o departamento financeiro computa a operação e faz a liquidação direto na conta corrente indicada. E pronto. Simples e efetivo.

Bradesco Empréstimo Consignado INSS

O Empréstimo Consignado Bradesco INSS é destinado à Aposentados e Pensionistas do INSScom taxas bem menores que o empréstimo pessoal, o Bradesco oferece sua linha de crédito a uma taxa de juros a partir de 1.6% com prazos para pagamento de até 72 meses.

O desconto direto na folha de pagamento deixa a administração dos pagamentos mais fácil e objetiva pois é um empréstimo com esta característica e todas as instituições financeiras autorizadas junto ao INSS não podem realizar consulta a órgãos de proteção ao crédito como SPC e SERASA. Entre algumas derivações do empréstimo consignado Bradesco inss, podemos destacar:

  • Cartão de crédito consignado
  • Refinanciamento
  • Portabilidade.

Como instituição financeira o Bradesco está devidamente autorizada a oferecer esta linha de crédito e seu custo efetivo total CET está registrado junto ao Banco Central do Brasil, para que a operação de crédito seja transparente.

Nos mesmos moldes dos concorrentes como o banco Itaú o Empréstimo consignado Bradesco INSS tem se modernizado e atualmente é possível realizar sua contratação Online.

Cuidados Necessários

Como toda operação de crédito é necessário ir com cautela, o Banco bradesco é ótimo, mas analisar o mercado e ter outras opções sempre é bem vindo, afinal de contas o banco tem a chamada política de crédito, o que em alguns casos pode não atender a você, por isso, além de taxa de juros o ideal é se certificar se o banco atende seu perfil de cliente.

Como funciona o Empréstimo Consignado Bradesco?

Respeitando as regras estabelecidas pelo INSS o consignado Bradesco atende a todas as normativas e leis que regem o empréstimo consignado no Brasil, contudo como a política de crédito do Banco é livre, vamos destacar alguns pontos que talvez possa lhe ser útil.

Situações NÃO aceitas:

  • Contratos inferiores a R$ 500,01;
  • Idade inferior a 18 anos;
  • Não possuir CPF e Identidade, ou CPF cancelado na Receita Federal;
  • Empréstimos para terceiros;
  • Empréstimo para Aposentados / Pensionistas sem telefone para contato (seja residencial, comercial ou para recado);
  • Empréstimos por procuração;
  • Empréstimos para as espécies: 4, 5, 6, 32, 33, 34, 51, 83, 92 com idade inferior a 60 anos.
  • Espécie 21 somente com idade superior a 45 anos.

Quanto tempo demora para cair Empréstimo Consignado Bradesco?

Em média o Bradesco leva de 3 a 7 dias úteis para concluir todo o processo e depositar na conta de seus clientes o valor correspondente ao empréstimo contratado, contudo este prazo tem mais relação com o tempo que o INSS leva para autorizar do que propriamente o bradesco para analisar.

A chamada “MACIÇA” que é nada mais do que a atualização da folha mensal pode acarretar no atraso da liberação devido a paralisação das autorizações neste período.

Um dos fatores que podem ajudar a você ter seu empréstimo consignado liberado o mais rápido possível é disponibilizar ao banco a documentação exigida de forma rápida e legível e atender ao telefone quando a análise de crédito for confirmar seu empréstimo.

Documentação

Os documentos necessários para poder contratar seu empréstimo consignado INSS são:

  • RG ou CNH (Documento de identificação com foto)
  • Comprovante de Residência
  • Comprovante de pagamento da aposentadoria (último contracheque)
  • CPF

Atualmente de acordo com o novo código civil a documentação tem validade por 5 anos, contudo o banco Bradesco não tem exigência em relação a esta norma, aceitando assim documentos com tempo maior do que 5 anos de emissão.

Como contratar Empréstimo Consignado no Banco Bradesco?

Para contratar é bastante simples e você tem várias opções, pode ir diretamente a uma agência do banco Bradesco, procurar um correspondente bancário que tenha cadastro junto ao banco ou solicitar online pelo portal consignado ou pelo app do Banco.

Não existe forma melhor ou pior de contratar seu empréstimo consignado os valores e taxas são as mesmas para toda a rede, o que não lhe favorece indo pessoalmente ou procurando um correspondente bancário.

Atualmente algumas instituições financeiras têm dado a opção de contratação por aplicativos o que não recomendamos devido a complexidade e detalhes importantes que sempre devem ser frisados ao consumidor.

O correspondente bancário é isento e não toma partido por uma ou outra instituição financeira, o que para o consumidor final é uma vantagem pois terá acesso a diversas cotações e possibilidades, além de dar entrada em uma instituição que tenha uma política de crédito que atenda você.

Regulamentação

O Empréstimo para aposentado possui uma legislação específica para preservar seu direito como aposentado ou pensionista do INSS, que é a Lei 10.820. Nesta lei, está previsto o pagamento com desconto em folha, de acordo com as condições gerais do empréstimo consignado INSS. Contudo, isso a torna a modalidade de crédito Consignado INSS segura e transparente entre as partes.

Análise de Margem

Para contratar um empréstimo consignado INSS Banco Bradesco, é necessário ter margem consignável. Por este motivo, realizamos pesquisas junto ao INSS para conciliar sua necessidade à sua margem consignável. Não se preocupe com nossas pesquisas, pois elas servem para lhe oferecer possibilidades como:

  • Empréstimo Novo
  • Refinanciamento
  • Portabilidade
  • Cartões de Crédito

Contudo, analisamos também sua necessidade à política de crédito do Banco, para evitar perda de tempo ou reprovações.
Fique tranquilo, pois somos especialistas em empréstimo consignado.

Bradesco Empréstimo Consignado INSS

Empréstimo Pessoal – Como Funciona

Empréstimo pessoal é uma das modalidade de crédito mais utilizadas no mercado, devido a sua flexibilidade e não condicionar a uma situação funcional especifica como o empréstimo consignado. No entanto, o empréstimo pessoal é disponível a todas as pessoas que tenham mais de 18 anos e que possuam comprovação de renda ou movimentação bancária compatível.

Formas de Pagamento do Empréstimo Pessoal

O empréstimo pessoal tem alguma formas de pagamento parcelado. As principais iremos destacar, como por exemplo:

  • Parcelamento através de Cheques pré-datados.
  • Parcelamento através de boletos Bancários em um Carnê.
  • Parcelamento debitado diretamente de sua Conta Bancária.

O crédito pessoal por ser uma linha de crédito de risco as instituições financeiras solicitam aos tomadores uma garantia de pagamento. Ademais, a mais comum e mais utilizada são cheques pré-datados no valor das parcelas. Isso de acordo com o vencimento escolhido e taxa de juros contratada.

Taxa de juros

Não existe um taxa mínima ou máxima para o crédito pessoal. As taxas são cobradas e acordo com o risco de cada instituição financeira. Ademais, de acordo com a política de crédito, quanto menor a exigência maior é a taxa de juros. Esta no entanto, poderá chegar até 20% ao mês em instituições que aceitam emprestar para quem está negativado.

Diferente do Empréstimo Consignado que não precisa ter nome limpo para contratar.

O relacionamento também é um fator importante a ser considerado para quem procura esta modalidade de crédito. Contudo, correntistas de bancos comerciais tem taxas de juros menores do que aqueles que procuram o empréstimo pessoal em financeiras. Pesquise bem antes de contratar. O Banco Central disponibiliza a informação de taxa de juros cobrada. Caso deseje acessar a página, basta clicar aqui.

Cuidados com o Crédito Pessoal

Apesar de ser uma modalidade de crédito permitida apenas para instituições financeiras. No entanto, o crédito pessoal requer muito cuidado e atenção. Contudo, para evitar abusos e taxas indevidas em sua contratação, vamos destacar as principais situações que você poderá se confrontar.

A taxa de abertura de crédito é cobrada livremente pelas instituições financeiras. Sua justificativa são os custos de analise e pesquisas junto ao órgãos de proteção ao crédito para aprovar ou não seu empréstimo, mas cuidado! Questione o valor que está sendo cobrado de TAC se o valor for superior a 10% do valor do seu empréstimo desconfie.

Seguro de Vida e Prestamista

Muitas vezes é adicionado um seguro ao seu empréstimo com a justificativa de ser um seguro prestamista ou seguro de vida. Saiba que você não é obrigado a pagar ou contratar qualquer seguro. Contudo, este tipo de inserção acaba aumentando sua dívida e geralmente é adicionado ao valor do seu empréstimo pessoal o que aumenta a taxa de juros.

Se escutar do agente de crédito a seguinte expressão “produto em reciprocidade” corra e denuncie ao Banco Central. Infelizmente produtos como capitalização, seguros ou até mesmo consórcios são oferecidos no ato da contratação de seu empréstimo pessoal com a prerrogativa de ajudar na aprovação do crédito. Isso é MENTIRA, não passa de venda casada.

Aonde Contratar empréstimo pessoal?

O portal consignados tem várias opções em crédito pessoal, através de parcerias com instituições financeiras, onde o cliente poderá pagar seu empréstimo pessoal através de boleto bancário e até mesmo através de desconto na fatura de energia.

O que é CET

CET significa Custo Efetivo Total e foi criado pelo Conselho Monetário Nacional – CMN – Resolução 3.517, de 06.12.2007 – para que o consumidor conheça todos os custos de um empréstimo ou financiamento antes de fechar o contrato.

O Custo Efetivo Total é um valor percentual e representa a soma dos custos cobrados na contratação de um empréstimo ou financiamento. São eles: taxa de juros, tributo (IOF), registros (despesas cartorárias e pagamento de serviços de terceiros no caso de financiamento de veículos). Ao simular o CET, o consumidor pode comparar as condições oferecidas pelos bancos e financeiras e escolher a melhor opção de crédito. Quanto menor o CET, melhor!

Uma boa forma de comparar se um o Custo de seu Empréstimo é maior que outro é sempre calcular o total a prazo, para isso basta multiplicar o numero de parcelas pelo valor de parcela, mesmo não tendo conhecimentos de matemática financeira realizando esta conta simples você sozinho poderá comparar.

CET no Banco BMG

Prazo de 09 a 58 meses, juros de 1,60% a.m. a 2,16% a.m. e 20,98% a.a. a 29,23%a.a, CET máx. 2,34% a.m. e 31,99% a.a. Para servidores públicos Juros de 1,73% a.m. a 3,50% a.m. e 22,85% a.a. a 51,11%a.a, CET máx. 3,99% a.m. e 59,92% a.a. Consulte outras taxas, prazos e demais condições para concessão do empréstimo ou financiamento na nossa Central de Vendas no fone (11) 2626-6000. Sobre as operações descritas incidirá IOF, conforme previsto na legislação vigente. Condições sujeitas a alteração sem aviso prévio. SAC: 0800 979 7050. SAC Deficientes Auditivos: 0800 979 7333. BACEN: 0800 979 2345. Ouvidoria: 0800 723 2044. Utilize seu crédito de forma consciente e somente em caso de necessidade. Data da publicação: 14/05/2012. As taxas de juros aqui divulgadas aplicam-se apenas às novas operações de empréstimos consignados contratadas a partir de 21/05/2012.

Condições Válidas

As condições de taxa de juros apresentadas aqui podem sofrer alterações sem aviso prévio, podendo variar de acordo com o Banco, produto ou serviço contratado, lembrando que recomendamos que ao contratar seu empréstimorefinanciamentoportabilidade ou afins solicite ao seu agente de crédito que lhe informe os item apresentado no campo CET (Custo Efetivo Total).

Refinanciamento de Empréstimo Consignado como funciona?

O Refinanciamento de Empréstimo Consignado é uma modalidade de crédito aonde você refaz seu empréstimo recebendo de volta parte do que já se foi pago.

No entanto, o refinanciamento é indicado para clientes que não possuem mais margem ou que não podem comprometer mais sua renda com mais uma parcela de empréstimo consignado.

Refinanciamento Empréstimo Consignado na Prática

Muitos clientes de empréstimo consignado tem buscado como alternativa o Refinanciamento para conseguir crédito, contudo, poucas pessoas entendem como realmente funciona e quando se deve optar por esta modalidade de crédito, logo abaixo iremos ilustrar para você na prática e desmistificar este produto.

Digamos que ao refinanciar o valor atual do seu contrato de empréstimo consignado no banco PAN é de R$ 10.000,00 e tenha um saldo devedor de R$ 8.000,00 você ficará com a diferença que no exemplo é de R$ 2.000,00

No exemplo acima resume exatamente como funciona a base de calculo, o valor atual corresponde ao valor liberado correspondente ao mesmo valor de parcela já paga, já o saldo devedor representa os valores que ainda deve em seu contrato em andamento, o valor liberado é a subtração destes dois valores, ou seja, você fica com a diferença.

Desde que haja saldo matemático, a instituição financeira tenha disponibilidade de refinanciar sem restrição de quantidade de parcelas pagas, você pode fazer. Geralmente tem que ter pelo menos 12 parcelas pagas.

O Portal Consignados abre suas portas e deixa seu time de consultores a sua disposição para realizar esta pesquisa, de forma ágil , simples e objetiva. Solicite uma pesquisa conosco sem compromisso!

Critérios e Regras do Refinanciamento

Para se poder refinanciar seus contratos de empréstimo consignado é importante antes observar:

  • Taxa de juros contratada
  • Quantidade de Parcelas pagas
  • Política de crédito da Instituição
  • Margem Consignável Positiva

A taxa de juros contratada em seu contrato em andamento é um referência para calculo, em casos aonde se utilizou uma tabela flexibilizada onde a taxa de juros é inferior a praticada no momento, fica inviável refinanciar seus contratos.

Outro fator bem comum levantado pelos nossos clientes é a quantidade de parcelas pagas. Por convenção estabelece o mínimo de 12 parcelas pagas para que se de um saldo a receber positivo, contudo algumas instituições financeiras trabalham de forma diferente, considerando o saldo matemático nos melhores casos, e nos piores o troco mínimo que varia entre R$ 300,00 a R$ 800,00.

A Política de crédito da instituição nada mais é que as regras estabelecidas para aprovar um refinanciamento, como cada instituição tem a sua fica impossível generalizar, contudo nosso time de consultores estão sempre sendo atualizados e sua pesquisa irá atender a estes critérios.

Outra dúvida bastante comum é ” Preciso ter margem para refinanciar meus contratos”, a resposta é NÃO , contudo precisa estar positiva, ou seja, ela pode estar R$ 0,00, mas nunca poderá estar negativa.

Importante: Esta modalidade de crédito é regulamentada pelo Banco Central do Brasil e atende as normas do convênio e política de crédito da instituição financeira, podendo ter alterações sem aviso prévio.

Dívida ativa – O que é? Saiba aqui

Dívida ativa é o total de créditos devidos á entidade arrecadadora fiscal que ainda não foram quitados pelos contribuintes ou responsáveis. Em outras palavras, é a soma dos tributos (impostos) que não foram pagos até o prazo estabelecido, ou seja, que estão vencidos. No entanto, o atraso no pagamento dos tributos gera multa, juros e poderá até ser incluído nos órgãos de proteção ao crédito SCPC/SERASA. Acompanhe este artigo e obtenha mais informações sobre dívida ativa.

Informações sobre Dívida Ativa

A Previdência Social, de acordo com o regulamento do decreto nº 3048/99, informa que dívida ativa é o crédito proveniente de fato jurídico gerados das obrigações legais ou contratuais desde que esteja inscrito no livro próprio, em conformidade com a lei nº 6.830/1980.
Os requisitos do termo de inscrição estão previstos no Código Tributário Nacional, precisamente no artigo 202 indica obrigatoriamente:

  • o nome do devedor e dos co-responsáveis, se houver e, sempre que possível, incluir domicílio ou residência de todos os envolvidos
  • a quantia devida e a maneira de calcular os juros de mora acrescidos
  • a origem e natureza do crédito, mencionada especificamente a disposição da lei em que seja fundado
  • a data em que foi inscrita
  • sendo caso, o número do processo administrativo de que se originar o crédito

Antes de ser ajuizada a cobrança de dívida ativa, os órgãos competentes poderão promover o protesto do título dado em garantia de sua liquidação.
Contudo, esta atitude fará com que o título sempre seja recebido pro solvendo, ou seja, por notas promissórias que não se desvinculam do negócio até a sua quitação, fornecendo garantia e segurança.
Contudo, o valor da causa será da dívida constante na certidão com os encargos legais.
O executado terá o prazo de 5 dias para pagar as dívidas acrescidas de juros e multas de mora e os demais encargos que foram indicados na Certidão de Dívida Ativa ou garantir a execução. No entanto, esta é facultada ao exequente a indicação de bens à constrição que poderá ser feita juntamente com a citação inicial.

Penhora dos bens

Não ocorrendo o pagamento e nem a garantia da execução, a penhora poderá recair em qualquer bem do executado. No entanto, exceto o que a lei declarar como impenhorável.

De acordo com o artigo 11 da lei 6.830/80, a penhora ou arresto de bens obedecerá à seguinte ordem:

  1. dinheiro;
  2. título da dívida pública, bem como título de crédito, que tenham cotação em Bolsa;
  3. pedras e metais preciosos;
  4. imóveis;
  5. navios e aeronaves;
  6. veículos;
  7. móveis;
  8. direitos e ações.

Excepcionalmente, a penhora poderá recair sobre estabelecimento comercial industrial ou agrícola, bem como em plantações ou edifícios em construção.

Havendo penhora, os bens irão a leilão ou a hasta pública. Na hipótese de alienação antecipada dos bens penhorados, o produto será depositado em garantia da execução. No entanto, o representante judicial da Fazenda Pública será intimado pessoalmente da realização do leilão, com a mesma antecedência referida.

Efetuando o pagamento integral da dívida executada, com seus acréscimos legais, no prazo de 2(dois) dias úteis contados da citação, independentemente da juntada aos outros do respectivo mandato poderá ser liberada a penhora, desde que não haja outra execução pendente.

Em garantia da execução, o executado poderá:

  •  efetuar depósito em dinheiro
  • oferecer fiança bancária ou seguro garantia
  • nomear bens a penhora, observada a ordem legal prevista no artigo 11 da lei 6.830/80
  • indicar à penhora bens oferecidos por terceiros e aceitos pela Fazenda Pública.

O executado só poderá indicar e o terceiro oferecer bem imóvel à penhora com o consentimento expresso do respectivo cônjuge. Se o devedor não for localizado no prazo máximo de 1 ano, o Juiz ordenará o arquivamento dos autos. Caso o devedor seja encontrado posteriormente, não importando quanto tempo tenha passado, serão desarquivados os autos para prosseguimento da execução.

Você sabia que o Portal Consignados é especialista em empréstimo consignado?

Com mais de 17 anos no Mercado de Empréstimo Consignado e com uma equipe treinada para lhe auxiliar na melhor decisão, no entanto o Portal Consignados trabalha em parceria com diversos bancos para lhe oferecer sempre o melhor negócio.

Contrate seu empréstimo consignado clicando aqui

Quem recebe pensão por morte pode fazer empréstimo?

Com as novas regras do INSS, os pensionistas podem fazer empréstimo consignado, contudo somente para quem tem mais de 43 anos. Agora se você tem menos de 44 anos e recebe pensão existe uma solução sim!

Mas antes de tudo é importante entender as mudanças no INSS em relação às pensionistas para que você entenda o porquê desta restrição aplicada pelas instituições financeiras, a chamada e tão temida “política de crédito”, estão impedindo você de contratar seu empréstimo consignado.

O que mudou para os pensionistas?

Com as mudanças na Lei 13.135 os pensionistas dependendo da idade não irá mais receber pelo resto da vida seu benefício do INSS, com a nova lei ficou assim:

  • 3 anos, para pensionistas com menos de 21 (vinte e um) anos de idade;
  • 6 anos, para pensionistas entre 21 (vinte e um) e 26 (vinte e seis) anos de idade;
  • 10 anos, para pensionistas entre 27 (vinte e sete) e 29 (vinte e nove) anos de idade;
  • 15 anos, para pensionistas entre 30 (trinta) e 40 (quarenta) anos de idade;
  • 20 anos, para pensionistas entre 41 (quarenta e um) e 43 (quarenta e três) anos de idade;
  • vitalícia, para pensionistas com 44 (quarenta e quatro) ou mais anos de idade.

Como a falta de informação junto ao INSS é muito grande e ainda não se tem uma definição exata de quando começa a valer exatamente a reforma na previdência pois depende de aprovação no congresso, muitas instituições financeiras não definiram uma regra específica para as pensões.

Somente após a reforma ser concluída e sacramentada poderemos saber se nos casos onde o prazo do contrato está na carência será aceita pelos bancos nos empréstimos para pensionistas abaixo de 44 anos.

Atualmente nem mesmo argumentar apresentando um documento oficial da previdência salva os casos que identificamos diariamente passíveis de empréstimos consignados para pensionistas, se considerar o término do benefício x prazo do contrato.

Contudo existem alternativas para você que tem menos de 44 anos e vamos explicar como pode mesmo com idade mínima como por exemplo 21 anos fazer um consignado para pensionistas.

Então quem recebe pensão por morte pode fazer empréstimo?

Sim pode! Mesmo com idade inferior a 44 anos, mas para isso vamos entender que o consignado não é limitado apenas para empréstimos.

O consignado está dividido em dois produtos, o empréstimo consignado e o cartão de crédito consignado, e é exatamente pelo cartão que os pensionistas poderão obter crédito.

Algumas instituições fazem o cartão e dá a opção de depositar o limite do cartão na conta, ou seja, ao invés de utilizar o cartão como se utiliza normalmente, poderá utilizar como um empréstimo.

O único problema é que o rotativo do cartão é de 3,06% a.m mas ainda bem menor que uma operação de empréstimo pessoal que vai de 6% a 18% ao mês. O carão é uma ótima opção para os pensionistas que precisa juros menores!

Se você não tem alternativa o Saque do Cartão em forma de empréstimo é a melhor saída. Mas como vai pagar isso é outra história, e como não gosto de deixar pontas abertas, vou explicar para você.

Pagamento do Cartão de Crédito para pensionista
O Cartão de crédito consignado é cobrado da seguinte forma:

  • 5% descontado em folha
  • Saldo restante paga no boleto

Para exemplificar melhor seria assim, digamos que sua margem dos 5% seja R$ 100,00 e você sacou R$ 1.000,00. Será cobrado da seguinte forma:

  • Desconto em folha = R$ 100,00
  • Boleto Bancário = R$ 900,00

O recomendável é sempre pagar algum valor no boleto, até porque nesta modalidade você não precisa pagar o total da fatura, pode pagar qualquer valor. Pensionistas considerem essa dica!

Para que possa entender a evolução da sua dívida criamos o seguinte cenário, levando em consideração um pagamento avulso no boleto no valor de R$ 50,00 baseado no exemplo acima a evolução da sua dívida ficaria assim:

pagamento do cartão de crédito consignado para pensionistas

Matematicamente com apenas 8 pagamentos regulares no valor de R$ 150,00 você ficaria positivo, ou seja com crédito no cartão no valor de R$ 87,73. Na planilha acima matematicamente seria possível, contudo na realidade no 7 pagamento já teria apenas um saldo de R$ 12,27 a pagar.

Se levar para os juros compostos, que é a forma que se calcula um empréstimo teríamos a taxa de juros de 1,23% o que é bem menor que um empréstimo consignado para pensionistas. Nada mau né!

Contudo, para ser bem sucedido nesta operação, considere que estamos pagando no boleto 50% do valor descontado em folha, o que é uma ótima base para você! se pagar menos que isso os juros sobem, mas mesmo assim vale super a pena.

Às vezes um problema pode ser resolvido se considerar outros pontos de vista, o objetivo do portal consignados é esse, levar informação relevante ao público que contrata consignado.

Pensão por morte pode fazer empréstimo mas tenha cautela

Considere sempre a opção de não recorrer a um empréstimo, mesmo com taxas de juros mais baixas o consignado sempre deverá ser seu último recurso, antes disso recomendamos que negocie um parcelamento direto com seu credor.

Ao negociar com seu credor tente fazer sem juros, ou com juros menores que você pagaria em um banco. Ofereça juros de poupança é uma boa base, mas caso não dê certo, o consignado entre todas as outras formas de se conseguir um empréstimo, ainda é a melhor opção para você.

Saiba como desbloquear seu benefício INSS para empréstimo

O primeiro passo é ter acesso ao sistema eletrônico de consignações do INSS, o acesso é pelo site meu.inss.gov.br.

Caso não tenha acesso poderá gerar sua senha fazendo um cadastro simples e respondendo algumas perguntas relacionadas a sua atividade exercida em carteira, como últimos registros. Ou poderá ir até a uma agência do INSS e fazer o cadastro diretamente com auxílio de um funcionário pelo autoatendimento. Neste caso poderá desbloquear seu benefício sem maiores dificuldades.

Desbloquear seu benefício através do site do INSS

Uma vez logado no sistema deverá clicar no menu lateral a sua esquerda na opção “ Agendamentos / Requerimentos”.

Ao carregar a nova tela terá a opção “NOVO REQUERIMENTO”, o que irá aparecer um campo onde de pesquisa aonde deverá colocar a opção “BLOQUEIO / DESBLOQUEIO de Benefício para Empréstimo”. Clique nesta opção e prossiga!

Terá acesso a uma nova tela onde deverá confirmar seus dados pessoais e atualizar seu telefone de contato.

Clique em desbloqueio para empréstimo e anexe seus documentos pessoais(RG + CPF) esta etapa é importante pois confirma que você é realmente o segurado, um crivo de segurança do INSS.

O acompanhamento do processo de desbloquear seu benefício pode ser realizado pelo telefone 135 ou por e-mail, por este motivo muita atenção na hora de atualizar seus dados.

O processo todo pode levar até 10 dias úteis e pode ser realizado através do aplicativo do INSS também, no entanto não recomendamos o desbloqueio através do site ou aplicativo, pelas seguintes razões:

  • Falta de familiaridade com o sistema do INSS,
  • Upload de arquivos;
  • Documentos escaneados com baixa qualidade.

O sistema do INSS é bem confuso e vive fora do ar, o que pode causar muita dor de cabeça em fazer e refazer este processo várias vezes, outro detalhe é que não é de hoje que o INSS tem alguma falhas de segurança o que deixa você vulnerável em fazer qualquer tipo de upload de documentos por lá. Outro fator é a qualidade dos documentos por foto que vai enviar, se for em qualidade baixa demais o INSS recusa sua solicitação de desbloquear seu benefício e lá vai mais 10 dias para tentar novamente, se colocar grande demais o sistema não permite.

A recomendação do portal consignados é ir diretamente a uma agência do INSS e solicite por lá o desbloqueio e se não tem acesso ao meu INSS, já aproveite a viagem e faça seu login e senha.

Porque o INSS colocou carência de 180 para contratar empréstimos

Devido a inúmeras reclamações e fraudes o INSS com o intúito em preservar a segurança do seu segurado tomando esta medida drástica. Com essa medida o segurado deverá desbloquear seu benefício, entendendo assim o INSS que evitaria riscos.

Muitas das reclamações dos segurados era relacionada a abordagens abusivas por parte de instituições financeiras e agentes de correspodentes bancários para que o segurado contrata-se um empréstimo consignado. Casos esses que foram largamente noticiados, inclusive no Fantástico (Programa semanal da Globo).

Outro fator importante e mais grave ainda foram as fraudes cometidas em alguns beneficiários que ao ir sacar seu primeiro pagamento se deparava com um situação onde se tinha transferido o benefício para um outro banco e além de ter sacado seu benefício ainda havia empréstimos consignados contratados.

Com a selvageria que o mercado tem na competição de aberturas de contas a falta de cautela tem sido um facilitador para abertura de contas, o que ajuda no processo de fraude ao segurado, por isso agora você terá que desbloquear seu benefício.

Desbloquear seu benefício é só o começo

É muito provável que você leitor esteja acessando este artigo porque está encontrando dificuldades em contratar seu empréstimo consignado devido ao bloqueio de 180 dias, contudo é importante lembrar que uma dor de cabeça ainda maior é ter seu benefício violado por estelionatário ou perder o sossego de tantas ligações oferecendo o mesmo serviço.

Se você acabou de se aposentar e pensa em fazer um empréstimo consignado, recomendamos que antes de qualquer coisa entenda alguns pontos importantes relacionados a esta modalidade de crédito:

  • Não terá opção de não pagar,
  • As parcelas são fixas mas geralmente a longo prazo;
  • Se parou de trabalhar considere que seu benefício ficará menor;
  • Mesmo com juros bem menores você ainda paga juros.

Uma reflexão antes de tomar a decisão de contratar um empréstimo seja de qual modalidade seja é importante para sua saúde financeira, nós do portal consignados a 20 anos vivenciamos histórias de sucesso e de fracasso e podemos lhe garantir que o mais importante é ter cautela e fazer as contas de realmente precisa de um empréstimo e quanto realmente precisa.

Posso antes de mais nada dizer que se você acabou de se aposentar ou passará a receber uma pensão é lhe dar boas vindas, a final de contas passa a ser o público alvo do portal consignados, mas de maneira alguma queremos que este instrumento tão especial que é ter crédito seja algo que possa lhe gerar problemas futuros, e por este motivo recomendamos sempre:

  • Só contrate se estiver realmente precisando,
  • Contrate apenas o valor que está necessitando;
  • Nunca faça empréstimo por se sentir pressionado;
  • Desconfie de contatos que você não solicitou;
  • Só contrate seu empréstimo consignado com agentes certificados;
  • Some todas as suas despesas e veja qual valor dispoe para uma parcela.

Um erro bastante comum é achar que por ter direto a comprometer a sua renda em 30% você pode fazer isso, os 30% permitidos são uma base matemática para evitar abusos. O ideal é esquecer os 30% e pensar na parcela que cabe no seu bolso, assim poderá contratar seu empréstimo sem que abra outro buraco nas suas contas.

Consulte também as condições diferentes que o mercado oferece para esta modalidade, existem diversas instituições financeiras com taxas variadas, que podem ser sim um fator importante para tomar a melhor decisão possível, liberando assim um valor maior com uma parcela menor.

Saúde no Brasil

A muito tempo que a saúde no Brasil não vai bem, isso além de evidente vem se agravando dia a dia. Em nosso portal atendemos a milhares de pessoas e na sua grande maioria são idosos, sendo assim um dos públicos mais vulneráveis a este tipo de serviço, por este motivo decidimos escrever a respeito.

Podemos citar pelo menos 3 motivos pelos quais a saúde no brasil vai mau:

  • Baixo investimento em formação
  • Alto custo
  • Negligência das autoridades

Quem já precisou de um hospital público neste momento está se identificando com este post, e não é pra menos, o atendimento em muitos hospitais é de péssima qualidade e como citado acima os motivos que colaboram com isso, vamos explicar melhor logo abaixo.

Baixo Investimento em formação

Ser médico não depende apenas de boa vontade, inteligência ou ter vocação, vamos falar a verdade, depende apenas de ter dinheiro para bancar uma faculdade ou uma formação que permita que se consiga passar em um vestibular, além de manter livros, anos sem a colaboração financeira dentro de casa entre outras questões relacionadas ao dinheiro.

A verdade é que o profissional da área de saúde além de condições tem que gostar de pessoas mais do que de DINHEIRO, o que é pouco evidenciado no trato que a população tem tido por parte destes profissionais.

Já foi atendido por um médico ao qual nem olhou pra você? Nem ao menos te examinou? e foi logo pedindo um monte de exames sem ao menos perguntar se você estava bem ou não?Não fique triste você não é o único a passar por isso.

Enquanto somente o filho do rico se formar médico a saúde deste país não vai melhorar e você sabe porque? É simples! Somente quem já sofreu os perrengues da vida tem sensibilidade em ver uma família destroçada por um problema grave de saúde, sem condições de fazer exames caros, ou tomar medicações mais caras ainda, terá a sensibilidade em dar seu máximo para amenizar a dor do paciente e de seus familiares.

Infelizmente o remédio dos últimos governos foi ou chamar médicos de fora, negligenciando um plano diretor de formação profissional aos nossos jovens de baixa renda, ou simplesmente cortar o orçamento destinado à educação.

E nossos direitos constitucionais, à saúde, moradia, educação e segurança? Para onde foram? Não seria o básico?

Imagine uma família que está apertada financeiramente, e tem que tomar uma decisão, trocar de carro no final de ano ou fazer a rematrícula do filho na escola? Qual seria a sua decisão? Trocar de carro? ou garantir ao seu filho a melhor formação profissional que você pudesse oferecer? Parece óbvio qual seria a decisão certo? Mas para os últimos governos a decisão foi trocar de carro. LAMENTÁVEL!

Alto custo

Se a mão de obra é cara, o produto será mais caro ainda, ja escutei de médicos a reclamação “Isso é um absurdo, ganhar R$ 1.300,00 por plantão, assim não dá!”. A minha resposta pra ele foi : “Desculpe Dr mas em qual país o senhor vive?”. Tem muito pai de família que não ganha isso por mês!

Na média o valor pago por um plantão médico de 24 horas é de R$ 1.020,00 em um hospital particular e R$ 1.300,00 em um Hospital público – Fonte CREMESP

O fato é que a medicina no Brasil é um negócio altamente lucrativo, quem diz no setor que existe dificuldade está mentindo, hospitais como São Camilo, ao longo de 16 anos aumentaram suas instalações em praticamente 500%, com direito a piano e até lojas de chocolate e lanchonete de luxo.

Em São Paulo o que mais se vê atualmente é uma migração de profissionais, da região norte e nordeste são os que mais tenho encontrado. Nada contra muito pelo contrário, adoro o povo nordestino e sou apaixonado pelo norte do país, mas o fato é que se estão vindo pra cá onde se ganha mais dinheiro, quem está atendendo nessas regiões? Aonde está o amor a medicina?

Outro fator importante é a indústria farmacêutica, que age livremente subvertendo profissionais para que possam indicar remédios de um laboratório específico, os chamados “PROPAGANDISTAS”, não é raro o paciente ir na farmácia comprar o remédio e se deparar com um CADATRO DE DESCONTO DO LABORATÓRIO, e adivinha? Vai lá o CRM do médico o nome do paciente e a bola que vem depois, em forma de viagens, hospedagens e até automóveis.

Redes grandes de farmácias atualmente são incentivadas a coletar o CRM do médico e colocar em sistema, mas não com a finalidade de apenas te vender um remédio com receita mas sim de informar ao laboratório que o CRM tal deverá receber sua comissão.

O fato é que se um setor se corrompe e se torna uma indústria a conta ficará alta demais, até mesmo para um dos maiores pagadores de impostos do mundo (você e todos os cidadãos do brasil).

Negligência das autoridades

Na terra de cego quem tem um olho é Rei, já viu esse ditado popular? pois é! a questão é tão crítica que a falta de profissionais limita as ações das autoridades, ou alguém tem dúvida que se fizesse uma auditoria nos principais laboratórios não iria encontrar inúmeros CRMs na folha de pagamento? Qual seria a punição? Banir o CRM? Quem sobraria para atender a população? Ou se fossem apurar os erros médicos, abusos, maus tratos e etc então? Sobraria um colapso ainda maior.

Somos refém de uma negligência velada, que atravessou décadas e que seu único remédio foi se contentar com médicos estrangeiros, baixar a cabeça para o mau atendimento, pagar mais caro pelo mesmo princípio ativo em um remédio entre outras atrocidades que vivemos atualmente.

Caro leitor apesar de acostumados com esta situação, posso afirmar ISSO NÃO É NORMAL.

Quando teremos ações como a LAVA A JATO na saúde? Quando iremos apurar e punir realmente os responsáveis? Corrupção é um mal que assola e compromete uma nação, mas não menos importante é a saúde.

AONDE ESTÁ A POLÍCIA FEDERAL?Será que por não dar tanto ibope não se interessa?

Existe Solução da saúde no Brasil?

Somos uma nação com mais de 200 milhões de brasileiros, com uma das maiores extensões territoriais, temos uma das maiores metrópoles do mundo, um dos maiores produtores de alimento do planeta, possuímos riquezas inesgotáveis, temos o pulmão do planeta aos nossos pés e somos um povo alegre, como não pode haver uma saída?

Educação, educação e educação! Um das maiores armas para se subjugar um povo é fazê-lo acreditar nas mentiras que lhe são contadas, e para isso é necessário o emburrecimento. Mas como fazem para conseguir nos emburrecer?

Simples! Primeiro você não investe na educação, depois tenta controlar os veículos de comunicação e por final propaga o ódio e incentiva a discriminação, criando assim um clima de intolerância. Pronto terá uma nação burra, subjugada e que se matam entre si, desviando o foco para o óbvio.

Enquanto a mídia se preocupar com gafes presidenciais achando que estão ridicularizando um presidente a ponto dele não ganhar a eleição e deixar de fiscalizar estamos perdidos.

Globo, SBT, Record, folha de São Paulo, Rádio CNM e os demais veículos de comunicação deste país, faço um desafio a vocês :
Realizem uma excursão por este país, visitem escolas, hospitais, delegacias e mostrem a realidade! ninguém aguenta mais falar sobre o que o presidente fez ou deixou de fazer, vocês nem deveriam dar destaque para o banal, a população precisa ver o que está acontecendo de fato e de forma exaustiva deve ser demonstrado sem espaço para o jogo que querem que vocês façam “Dar mais espaço para o governo”.

Uma das táticas de enfraquecimento a grupos extremistas é exatamente o contrário o que a mídia deste país está fazendo, ou seja, não se dá destaque para coisa banais.

E você leitor ou telespectador destes veículos quando ver espaço direcionado a operação realizada em presidente ou besteiras faladas, deve se perguntar “ Tá e daí! quero saber como estão as escolas, os professores, os postos de saúde e o combate a criminalidade?

Solução existe e está na educação de uma nação, melhorando assim a percepção das coisas e deixando que nosso senso crítico seja apurado e melhorado, para que nossas escolhas no futuro seja em propostas de governo, em propostas de soluções de problemas.

Não se conserta um país em 4 anos, nem em uma década, mas é necessário um esforço coletivo para que isso aconteça.

Banco BMG volta fazer empréstimo consignado

O Banco BMG volta fazer empréstimo consignado por incrível que pareça não deixou ninguém surpreso. Já era de se esperar que o Banco BMG volta-se depois de praticamente 5 anos fora do setor de empréstimos. Durante este período o banco se manteve no mercado com operação de cartões de crédito consignado, e fez bem seu papel, sendo um dos maiores emissores de cartão consignado do setor.

Banco BMGDurante estes anos afastado do setor de empréstimo consignado o Banco BMG criou a Help que é nada mais que uma estrutura de venda de crédito com débito em conta, similar a Crefisa, só que não!

Um dos pilares do BMG é a parceria e responsabilidade, são mais de 80 anos no mercado em um empresa familiar que sempre visou a integração e distribuição de seus produtos com muito carinho ao cliente. Bem diferente da Crefisa!

Com o slogan “O campeão voltou!” o BMG retoma as operações de empréstimo consignado desde o dia 28 de Agosto de 2019, Márcio Alaor vice presidente do grupo em sua live no youtube demonstrou entusiasmo e se diz sentir um garoto de 30 anos e acredita na retomada do setor. Mudanças significativas nas regras De cinco anos pra cá o setor de empréstimo consignado teve mudanças significativas, que vão de grandes players ativamente no mercado a mudanças nas regras do principal convênio atendido no setor de empréstimo consignado que é o INSS.

Em relação aos grandes players como Bradesco, Itaú e Safra o Banco BMG deixou em sua live um agradecimento ao Citibank o que tudo indica que o Citi pode estar ajudando a injetar muito dinheiro nas operações do Banco BMG, e sua solidez em outros setores também são um sinal que os primos ricos terão muito trabalho em tentar frear o avanço do banco.

Outro detalhe importante é a rede de correspondentes, atualmente a grande maioria dos players a utiliza como força de vendas, contudo, a forma como os correspondentes são tratados é similar a um cortador de cana da década de 80.

Banco BMG volta a fazer empréstimo consignado e o que muda para você

Chega de maus tratos. Já o Banco BMG foi um dos melhores parceiros para a rede de correspondentes, na realidade só existe esta categoria de profissionais graças ao Banco BMG. Porque dar preferência ao Banco BMG Não podemos dizer que são os melhores em tudo, ou que não existem problemas, muito longe disso, mas podemos afirmar que existem sim grandes motivos para que você de preferência sim ao Banco BMG, e como os motivos são muitos e os pontos de vista também! Vamos enumerar pra você cliente e você corretor:

  1. Banco humanizado,
  2. Entende o cliente;
  3. Pioneiro no setor;
  4. Não faz conchavo;
  5. Melhor sistema;
  6. Uma das aprovações mais rápidas do mercado;
  7. Respeita seus colaboradores;
  8. Ajuda a melhorar o setor;
  9. Não aceita coisas erradas;
  10. Sempre esteve ao seu lado.

São muitos e muitos motivos, mas só colocá-los aqui e enumerar não seria justo com você caro leitor, por isso vamos explicar item a item para que não tenha dúvidas do porque o Banco BMG deve ser sua primeira opção.

Banco humanizado – Para mim que está entre o cliente e a instituição financeira, posso garantir a preocupação do banco com o cliente, o banco BMG é um dos únicos bancos do mercado que investe em treinamento tanto para seus colaboradores quanto para a rede de correspondente, e investe pesado nisso.

Entende o cliente – Banco BMG é gente que entende você! quem acompanha o banco a vários anos vai lembrar disso! Não é apenas um bordão, é pura realidade, a preocupação é tamanha com a necessidade de cada um de seus clientes que faz investimentos pesados em relatórios, consultorias e tem um canal de comunicação com o cliente que nenhuma outra instituição nem sequer preocupou em ter.

Pioneiro no setor – Pioneiro não é só chegar primeiro, é apostar em alguma coisa e se dedicar!. Em meados do ano 2002 já existia operações de empréstimo consignado, contudo mais voltados a servidores públicos, no entanto os grandes bancos não apostaram no produto, achavam que a margem de lucro é muito pequena, ou seja, porque cobrar 2% se podemos cobrar 12% ao mês? Pois é quando olhar para os grandes bancos, não se engane, eles não estão nem ai com você. O empréstimo consignado não foi uma invenção do Lula, mas sim um movimento liderado por bancos como BMG que fizeram o público de baixa renda ter acesso ao crédito. Enquanto isso os grandes só pensavam em cheque especial, crédito pessoal e no seu limite do cartão crédito. Abra seu olho!

Não faz conchavo – Pode acreditar, existe o clube do bolinha SIM!!!! Um exemplo clássico disso atualmente e se é consumidor de empréstimo consignado já deve ter passado por isso é a portabilidade. Só pra pontuar, a portabilidade foi uma conquista dos direitos do consumidor, a exemplo da telefonia, hoje você pode trocar de banco sem precisar ficar anos sendo mal atendido. Em algumas instituições financeiras funciona mais ou menos assim: Não portamos tal banco, só portamos aquele banco com tantas parcelas pagas, e assim por diante. Ou seja, se for do clube vamos dificultar! agora se não for, toca pra frente. Já o Banco BMG é transparente em suas operações e não faz acordos bilaterais para favorecer algum “primo rico”.

Melhor sistema – O sistema de consignação do Banco BMG é um dos mais rápidos, práticos e funcionais do mercado. Foi pensado em facilitar tanto a vida dos seus colabores e parceiros quanto aos seus clientes. Incrivelmente quando o Itaú assumiu as operações de crédito do BMG com a fusão, se imaginava pelo grupo itaú ter a Itautec, o sistema iria melhorar, por incrível que pareça piorou! me desculpe caro leitor, mas vou fazer uma pausa para dar uma breve risada.

hahahahahaha, desculpa….era necessário realmente. Agora voltando ao assunto!

Uma das aprovações mais rápidas do mercado – Matemática básica! Melhor sistema + banco humanizado + entende o cliente = liberação mais rápida do mercado. Nem vou falar muito aqui mais, tem instituição por aí que só por Deus viu, averba rápido e paga o cliente quando quer, ou seja, faz de refém mesmo na maior cara dura.

Respeita seus colaboradores – Quando coloco aqui “colaboradores” estou incluindo toda a rede de correspondentes só pra ficar claro ok! A primeira pergunta que deveria fazer a você mesmo, e isso inclui a rede de correspondentes e clientes, seria a seguinte “Você compraria algum produto de quem obtém sua mão de obra sob escravidão, humilhação e maus tratos?”. Atualmente a rede de correspondentes bancários são submetidos às mais adversas humilhações, a grande maioria deve para os bancos pelo simples fato do cliente ter a liberdade de mudar de banco, ou de quitar seu empréstimo com menos de 12 parcelas pagas. Existem casos onde o correspondente foi executado judicialmente por tais situações e teve sua vida e de seus colaboradores destruída por não ter condições de nem ao menos prover o básico para sua própria família. A genialidade do mal em destruir o setor e seus colaboradores é tamanha que faz parte de uma grande estratégia de marketing em culpar o correspondente por fatos que nem sequer fazer parte do trabalho do mesmo. A verdade é que com a saída do Banco BMG o setor ficou pior, e nossa esperança é que com a volta do banco as coisas voltem ao eixo, até porque a postura do BMG é bem diferente, ele respeita seus colabores e faz questão de deixar isso público.

Ajuda a melhorar o setor – Não foi nem uma nem duas vezes que vi com meus próprios olhos e escutei com meus ouvidos as instruções de instituições financeiras que diziam “Tem que enfiar a enxada até não restar nem mais uma minhoca”. Fechar os olhos a estruturas de telemarketing que aborda exaustivamente clientes, fornecer base de dados de clientes, incentivar a venda de seguros sem o consentimento do cliente, favorecer grupos criminosos com esquemas de sonegação fiscal que fazem o Joesley Batista parecer um batedor de carteira entre as maiores atrocidades do planeta. No banco BMG todo seu processo é devidamente acompanhado, não se compactua com ações erradas, é exigido que toda a rede seja de correspondentes certificados e seus gerentes acompanham cada ponto de venda, seja ele do tamanho que for. O Banco BMG é chato no tocante atendimento, mas se você trabalha certo e acredita no setor, o correto é ser chato mesmo. O fato é que nunca se viu tantos problemas no empréstimo consignado como existe atualmente e a grande culpa é da ganância e falta de escrúpulos que algumas instituições financeiras têm e fazem vista grossa a ações criminosas, diferentemente do banco BMG.

Não aceita coisas erradas – Se você acha que o Banco BMG é uma mãe, está redondamente enganado! Se tem uma coisa que o BMG sabe fazer é controlar sua rede de correspondentes e colaboradores, com eles não tem meia conversa, fez coisa errada você paga, por outro lado se andar direito sempre terá o apoio do banco. Não foi nem um nem dois amigos que atuam no setor que já sentaram com o Sr Márcio Alaor e tiveram uma recepção amigável e muito respeitosa, mesmo ele sendo um presidente de um dos maiores bancos deste país e ser uma das pessoas mais brilhantes do setor, nunca perdeu a humildade. Bem diferente de até algumas promotoras que fazem da futilidade seu grande carro chefe.

Sempre esteve ao seu lado – Quem não passa por uma fase difícil! Mas mesmo nos piores momentos o banco nunca deixou de levar aos seus clientes, colaboradores e parceiros, soluções inovadoras. A postura do Banco seja com os clientes e sua rede não me deixa mentir a respeito.

Difícil escrever sobre o banco sem encher os olhos de lágrimas, e agora eu peço desculpas a você que leu até aqui, mas não poderia encerrar este post sem deixar meu depoimento:

Durante estes 5 anos que o Banco BMG ficou fora do setor de empréstimo consignado, sofremos na mão de instituições financeiras que só visavam fazer do produto algo mais lucrativo do que ele poderia ser, de tirar a liberdade de escolha do consumidor, de alimentar e fomentar a abordagem abusiva, o mau atendimento, de valorizar a quantidade de empréstimos realizados e não o atendimento eficaz e o relacionamento ao cliente, de deixar que nosso setor fosse novamente marginalizado pelo simples fato de serem covardes.

Sou um agente de correspondente com muito orgulho, minha certificação é meu maior orgulho nessa vida e valorizo cada atendimento que faço, e nunca me preocupei em ser grande, muito pelo contrário.

Se você chegou até aqui, seja cliente, agente de correspondente ou correspondente, faça o certo! valorize quem sempre o valorizou, diga NÃO aos que sempre fizeram de tudo para acabar com o setor, DE PRIORIDADE PARA O BANCO BMG.

Seja bem vindo CAMPEÃO! nós amamos você!

Empréstimo com débito na conta de Luz – Crefaz

Empréstimo com débito na conta de Luz é uma novidade de crédito onde as parcelas são descontadas diretamente da fatura de energia, não havendo necessidade de cheques, pagamentos por boletos, consignação na folha de pagamento ou até mesmo envolver sua conta bancária para um débito em conta.

O Empréstimo com débito na conta de Luz é uma modalidade rápida de se fazer empréstimo para quem precisa urgentemente de dinheiro.

Nessa modalidade, Parcelas debitadas diretamente na sua fatura de energia elétrica. No entanto, para poder solicitar esta modalidade de crédito, é obrigatório possuir uma conta bancária.

Empréstimo com débito na conta de luz – Quem pode contratar?

Se você é titular da conta de luz das seguintes cidades:

  • São Paulo – (SP);
  • Rio de Janeiro  – (RJ),
  • Ceará – (CE);
  • Goiás – GO;
  • São Paulo – (SP);
  • Barueri – (SP);
  • Cajamar – (SP);
  • Carapicuíba – (SP);
  • Cotia – (SP);
  • Diadema – (SP);
  • Embu das Artes – (SP);
  • Embu-Guaçu – (SP);
  • Itapecerica da Serra – (SP);
  • Itapevi – (SP);
  • Jandira – (SP);
  • Juquitiba – (SP);
  • Mauá – (SP);
  • Osasco – (SP);
  • Pirapora do Bom Jesus – (SP);
  • Ribeirão Pires – (SP);
  • Rio Grande da Serra – (SP);
  • Santo André – (SP);
  • São Bernardo do Campo – (SP);
  • São Caetano do Sul – (SP);
  • São Lourenço da Serra – (SP);
  • Taboão da Serra – (SP);
  • Vargem Grande Paulista – (SP);
  • Santana de Parnaíba – (SP);
  • Rio Grande do Sul  – (RS)

Ademais, o(a) cliente necessitará possuir uma conta bancária cujo titular seja ele(a) mesmo(a).

Luz em dia

Conheça também o produto “Luz em dia”, que  consiste em regularizar os clientes com faturas em aberto, através de campanhas financiadas pelo Crefaz. Quitação de até 2 faturas no valor máximo. Neste produto você quita suas contas e fica com até 50% do valor do empréstimo. Liberando o crédito na conta corrente, com valor máximo de até R$ 500,00.

E quem não pode contratar?

  • Unidade consumidora sem fornecimento de energia
  • Pessoa que já possua o crédito com débito na conta de luz vinculado ao seu CPF (limite de um contrato por CPF)
  • Cliente com troca de Titularidade

Valores para Liberação do crédito

Valores: de R$ 200,00 (duzentos reais) até R$ 1.000,00 (mil reais)

Quantidade de parcelas: em 8x (oito vezes), 12x (doze vezes), 15x (quinze vezes) e 16x (dezesseis vezes) e 18 x (dezoito vezes)

Idade para contratação do crédito: de 21 a 79 anos

OBS: Ademais, a aprovação dos valores e da quantidade de parcelas estará sujeita a análise de consulta ao SPC/SERASA.

Documentação Necessária para a contratação

  • RG e CPF ou CNH
  • CTPS (carteira de trabalho)
  • Comprovante de residência (fatura de energia atualizada e original – até 60 dias)
  • Comprovante bancário

Assim que o cliente entrega a documentação, será feita uma pré-análise que tem como objetivo fazer uma conferência dos dados do cliente. Desse modo, terá uma maior agilidade e assertividade na digitação do contrato.

Contudo, o prazo para liberação do empréstimo com débito na conta de energia elétrica é de até 24 horas úteis, portanto se o contrato estiver devidamente preenchido e assinado e a documentação necessária para a contratação tiver sido entregue e aprovada.

Está modalidade de crédito está condicionado a aprovação de crédito mediante apresentação da sua conta de energial ENEL, a Crefaz tem uma operação de microcrédito aprovada e regulamentada pelo Banco Central. As taxas de juros podem variar de acordo com o prazo de seu Empréstimo, que vão de 6 a 18 mêses para pagar. O Portal consignados é um correspondente autorizado e está apto em lhe atender neste produto.

Crefaz

A empresa responsável por esta modalidade de crédito é a CREFAZ – SCMEPP Financiamentos e Investimentos, com sede em Avenida Duque de Caxias, 882, Sala 503 – Maringá, PR. Devidamente registrada no Banco Central do Brasil, utiliza sua rede interna e rede de correspondentes bancários para oferecer e comercializar seus produtos. Caso necessite falar diretamente com a CREFAZ pode utilizar os seguintes canais:

SAC: 0800 052 5051 / (44) 3013-9700
Telefone: (44) 3013-9701
Email: contato@crefaz.com.br
Whatsapp: 44 99117-0341

Para contratações pode utilizar sua rede de correspondentes ou clicar abaixo no botão “SOLICITE SEU EMPRÉSTIMO AQUI” ou em quaisquer banners do site para que possamos direcionar seu contato a um de nossos parceiros certificados.

Instrução Normativa 100 INSS – 2018

A Instrução Normativa nº 100 do Instituto Nacional de Seguro Social (INSS), alterou a IN nº 28, de 19 de Maio de 2008, além de modificar a lei 10820, de 17 de Dezembro de 2003 quanto as regras do empréstimo consignado para tornar o controle mais eficaz.

A IN nº 100 INSS foi assinada no dia 28 de Dezembro de 2018, pelo presidente do INSS Edison Antonio Costa Britto Garcia e entra em vigor 90 dias após a sua publicação no DOU. Sua publicação ocorreu no Diário Oficial da União em 31 de Dezembro de 2018.

Instrução Normativa 100 INSS altera empréstimo consignado

A Instrução Normativa nº 100 do INSS, datada em 28 de Dezembro de 2018, fez diversas alterações quanto a contratação e a forma com que o empréstimo consignado vem sendo exercido no Brasil.

Confira abaixo quais foram as alterações:

A partir do dia 30/03/2019, quem for se aposentar deverá aguardar o prazo de 90 dias para fazer a contratação de empréstimo consignado.

Assim que esse prazo de 90 dias passar, o titular do benefício poderá dar entrada na contratação de seu empréstimo, contanto que o termo de pré-autorização, que será fornecido na entrada da aposentadoria, esteja devidamente assinado. Com esse termo, a instituição financeira terá acesso as informações do seu benefício.

Mas isso não é tudo! Para efetivar a contratação do empréstimo consignado, o titular do benefício terá que se dirigir à sua agência da Previdência social e pedir para desbloquear o benefício para aí sim, poder contratar.

Quem é Edison Antônio Costa Britto Garcia?

Edison Antônio Garcia é o novo presidente do Instituto Nacional de Seguridade Social, o INSS. Assumiu o cargo de presidência da Instituição no final do mês de Maio de 2018.

Há anos que Edison Antônio é membro da Advocacia Geral da União (AGU). Reconhecido profissionalmente por ter um alto gabarito, Edison Antônio já ocupou diversos cargos nos órgãos da administração, conquistando amigos e admiradores por onde passasse. 

Fatos ocorridos no Brasil, no ano de 2018!

Confira abaixo quais foram os principais fatos que ocorreram aqui no Brasil no ano de 2018:

  • 16 de Janeiro: OMS inclui o estado de São Paulo na a´rea de risco, devido ao surto de Febre Amarela registrado em diversos pontos do estado.
  • 24 de Janeiro: O ex-presidente Lula é condenado a 12 anos de prisão por lavagem de dinheiro e corrupção passiva.
  • 16 de Fevereiro: Início da intervenção militar no Rio de Janeiro. É a primeira intervenção desde a constituição federal de 1988.
  • 19 de Fevereiro: Governo decide suspender a Reforma Previdenciária.
  • 2 de Marco: O presidente Michel Temer é teve o seu nome incluso no inquérito da Operação Lava Jato.
  • 21 de Março: Apagão que durou 5 horas atingiu as Regiões Nordeste e Norte do país. Foi constatado que o motivo foi falha humana.
  • 5 de Abril: Lula é condenado pelo Juiz Sérgio Moro a 12 anos e 1 mês de prisão.
  • 1 de Maio: Edifício no Largo do Paissandú, região central de São Paulo, desaba após incêndio.
  • 21 de Maio: Caminhoneiros fazem greve nacional de 5 dias contra aumento do preço dos combustíveis.
  • 2 de Setembro: Incêndio atingiu 3 andares do prédio do Museu Nacional do Brasil, localizado na zona norte da cidade do Rio de Janeiro.
  • 6 de Setembro: O candidato à presidência do Brasil, Jair Bolsonaro, é vítima de um atentado na cidade de Juiz de Fora, Minas Gerais.
  • 11 de Setembro: O PT anunciou Fernando Haddad como candidato, após candidatura de Lula ser indeferida pelo TSE.
  • 28 de Outubro: Jair Bolsonaro é eleito o novo presidente do Brasil. 

Empréstimo Consignado

A história completa sobre o Empréstimo Consignado

O empréstimo consignado é uma modalidade de crédito onde as parcelas são descontadas em folha de pagamento, popularizou-se por ter prazos mais longos e taxas de juros mais baixas.

Em Outubro de 2017 o empréstimo consignado apresentou uma taxa de juros até 5 vezes menor do que as linhas de crédito pessoal, uma marca histórica demonstrando a evolução desta linha de crédito nesta década.

Empréstimo Consignado é para todos?

Destinado a um público específicos, basicamente atende a 5 (cinco) segmentos de trabalhadores da sociedade Brasileira :

  • Aposentados e Pensionistas do INSS
  • Funcionários Públicos Federais
  • Servidores Públicos Estaduais e Municipais
  • Funcionários de Carteira Assinada
  • Militares das Forças Armadas

Cada setor tem suas regras e regulamentações atendendo assim a particularidade do segmento que o trabalhador se encaixa, vamos abaixo detalhar cada um dos setores.

Regulamentação

A regulamentação tem como objetivo definir regras, que vão desde o comprometimento mensal para empréstimos consignados, até a quantidade de operações máximas permitidas.

Aposentados e Pensionistas do INSS

Os aposentados e pensionistas do INSS tem a regulamentação através da Instrução normativa Nº 28 de 2008 o que determina todas as condições para a contratação de um empréstimo consignado.

Servidores Públicos Federais

Para os Funcionários públicos Federais, a regulamentação é realizada através da Lei 8.112 de 1990 e pelo Decreto 8.690 de 2016.

Servidores Públicos Estaduais e Municipais

Os Servidores Estaduais e Municipais dependem de uma legislação específica conforme cada Estado e Cidade.

Trabalhadores de Carteira Assinada

Os Funcionários regidos pela CLT tem sua regulamentação através da lei 10.820 de 2003.

Militares das forças Armadas

Já os Militares têm sua regulamentação estabelecida pela lei 1.046 de 1950 bem com Instruções normativas específica para cada força Militar.

O que são Instruções Normativas

As instruções normativas e leis são a base que determinam os detalhes, regras e condições para o empréstimo consignado, como por exemplo:

  • Comprometimento de Renda
  • Quantidade de Contratos
  • Quem pode Contratar
  • Produtos de Consignação
  • Entre outras regras

Na grande maioria dos convênios utiliza-se como referência a recomendação do banco central em utilizar no máximo até 30% da renda do trabalhador para empréstimo consignado.

O bom senso é vital para evitar um colapso na vida financeira do trabalhador, o que desencadearia uma crise institucional, e os convênios têm essa responsabilidade ao definir suas instruções normativas.

Considerações sobre o Consignado CLT

Apesar de disponível para o trabalhador regido pela CLT o setor tem apresentado dificuldades em obter o empréstimo consignado devido a crise financeira do país dos últimos anos.

O Governo para tentar amenizar a falta de oferta para o setor e alterou a lei 10.820 possibilitando o pagamento da dívida em casos de demissão utilizando o saldo rescisório e FGTS.Contudo as instituições financeiras ainda não tem um produto que atenda a todo trabalhador CLT, na maioria dos casos o empréstimo consignado neste setor está direcionado a empresas de grande porte.

Infelizmente o setor CLT tem tido enormes dificuldades em ter acesso ao empréstimo consignado o que os faz ter que procurar outras modalidades como o empréstimo pessoal.

Produtos de Consignação

Ao longo da história moderna do Empréstimo consignado, se fez necessário criar sub produtos para atender a necessidades de seus consumidores, aos quais iremos destacar:

  • Empréstimo Novo
  • Refinanciamento
  • Cartão de Crédito Consignado
  • Portabilidade

Os produtos relacionados ao empréstimo consignado tem como objetivo potencializar a capacidade de crédito do consumidor.

O Empréstimo Novo é a modalidade original do empréstimo consignado, ou seja, o consumidor escolhe o valor , quantidade de parcelas e pronto.

No Refinanciamento utiliza-se do contrato em andamento, considerando a amortização de juros e saldo devedor para refazer o mesmo empréstimo liberando ao consumidor o saldo positivo.

O Cartão de crédito consignado tem como objetivo oferecer ao consumidor um Cartão com taxas de juros até 400% menores do que se pratica no mercado, com o pagamento do mínimo em folha o cliente não fica inadimplente.

No meu entendimento é o melhor produto já criado no mercado, considerando que temos juros de até 18% do rotativo para cartões convencionais enquanto no cartão consignado a média é 3%.

A Portabilidade é o mais novo sub produto do empréstimo consignado, com o objetivo de dar o cliente a opção de mudar de banco para obter a possibilidade de taxas de juros menor.

Lembrando ao caro leitor que a portabilidade em si, não libera valores, somente troca a entidade financeira a qual se paga suas parcelas.

O que se vê no mercado é uma ação de portabilidade para refinanciar os contratos posteriormente com taxa de juros reduzidas.

Ao portar seu contrato não terá direito a ressarcimento de juros ou algo parecido, isso não existe!

Se estiver fazendo uma portabilidade com a promessa de receber valores em troca fique sabendo que seu contrato será refinanciado e voltará para o ínicio.

Problemas a serem superados

Uma relação bem complicada é a relação entre o consumidor e instituição financeira, como correspondente bancário sempre estive na posição central, ou seja, entre o cliente e a instituição financeira.

Posso afirmar com toda a certeza que existem problemas nas duas pontas! Mas podem ser superados ou amenizados SIM.

Vamos destacar os principais problemas que envolvem o empréstimo consignado hoje em dia:

  • Falta de Informação
  • Falta de Regulamentação
  • Ganância
  • Irresponsabilidade

A falta de informação no setor é tamanha que diariamente respondo a perguntas básicas seja por parte do cliente quanto por parte de agentes de crédito.

Produtos como Cartão de crédito consignado, portabilidade e até mesmo refinanciamento são as maiores dúvidas em relação ao seu funcionamento.Quando cito a falta de regulamentação eu me refiro às instituições financeiras, simplesmente agem como querem sem a menor preocupação sobre o setor.

O setor é explorado sem nenhum pudor e podem acreditar na maioria das vezes a ordem é dada de cima.

A ganância das instituições financeiras é tamanha que existe uma guerra velada entre elas, os que fazem parte do mesmo “CLUBE”, nem sequer fazem portabilidade entre si.

Gerentes comerciais fazem questão de informar aos seus parceiros como vender enganando clientes, um total desrespeito ao setor e com que é responsável.A irresponsabilidade é tamanha que alguns agentes de crédito instruem os próprios clientes a entrar com processo contra a instituição financeira, de forma equivocada para obter vantagem indevida.

Controle sob as Instituições Financeiras

No empréstimo consignado quem controla as instituições financeiras é o Banco Central e existe junto ao convênio um conselho que cuida dos interesses dos seus funcionários e ou segurados.

Na prática os Bancos mandam e todo mundo obedece, o Banco Central se envolve em questões técnicas, cria políticas de segurança ao setor e aos consumidores dele.

As reclamações e processos envolvendo as partes são tratadas pelo ministério público dentro de sua competência.

Os convênios em muitas situações até demonstram um comportamento de Zelo mas na prática nunca vi abuso por parte de uma instituição financeira ser contida, ou alguma punição que tenham recebido.

Quem acompanha o portal consignados sabe que as reclamações de consumidores é diária e em grande número.

O INSS atualmente através de sua instrução normativa n.100 afirma que vai punir a instituição que sair da linha e que irá cobrar pelos serviços que envolvem a administração e manutenção do empréstimo consignado junto ao órgão.

To sentado esperando! Vamos acompanhar e rezar para que isso aconteça, pessoalmente tenho muito carinho pelo setor e fiz minha vida profissional em cima do setor, torço para que os erros do passado sejam resolvidos.

Principais Instituições Financeiras do Setor

Atualmente as principais instituições financeiras que exploram o empréstimo consignado são:

  • Bradesco
  • JV Itaú
  • Banco Safra
  • Banco PAN
  • BMG
  • Caixa Econômica Federal

Destacamos o JV Itaú que ao comprar a carteira do Banco BMG tem atuado nos mesmos moldes que o Banco operava no Empréstimo consignado. Mesmos Moldes não o mesmo Carinho, fica meu registro aqui!!

Já o Banco BMG que é o queridinho dos aposentados atualmente só opera com Cartão de crédito consignado, contudo existem rumores que em breve voltará a operar com empréstimo consignado. Deus seja Louvado!!!

O Banco Safra nos últimos anos tem sido a Instituição financeira mais agressiva do setor com uma taxa de juros bem atrativa na Portabilidade, mas infelizmente é o campeão de reclamações entre os clientes.

O Banco PAN tem se mostrado a Instituição com a menor restrição no setor, com a aceitação de clientes desprezado pelas demais instituições, tem crescido bastante no setor.

Bradesco é uma das instituições financeiras que atuam no setor mais problemáticas, além de um sistema ruim, estrutura amadora, tem o pior feedback do mercado, são tantos caciques que quando o cliente ou o parceiro reclama até resolver o problema o cliente já desistiu.

O Bradesco na minha opnião é o pior Banco que atua no setor, quando vejo uma agência do Bradesco mudo até de calçada.

A Caixa econômica tem uma das melhores taxas de juros do mercado com o maior tempo de resposta. Seu sistema, falta de foco e profissionais despreparados são a sua marca registrada.

Um dos maiores problemas no setor é a regulamentação profissional, enquanto as entidades, empresas e órgãos públicos se esforçam para ajustar suas regras, as instituições financeiras jogam a culpa nos outros para se safar. Estou a 20 anos no mercado e nunca vi uma instituição financeira assumir a culpa ou seus erros muito menos tentar repará los, é mais fácil jogar a culpa no colega ao lado.

Regulamentação Profissional

Com a grande quantidade de reclamações por parte de clientes, o setor de crédito procurou profissionalizar profissionais para atuar no setor.

Baseado nos mesmos moldes que a SUSEP (Só que não!!!) para trabalhar com empréstimo consignado é necessário ser certificado pelo Banco Central.

O Pessoa que deseja atuar neste setor é submetido a uma prova através de uma entidade regulamentadora, como por exemplo a ANEPS, que aplica a prova e certifica o profissional o habilitando a trabalhar com crédito.

Ainda não existe um controle no mercado, na prática a regulamentação foi apenas um “tapa buraco”, os profissionais que atuam neste mercado tem na grande parte grande dificuldade para trabalhar.

As instituições financeiras os submetem a praticamente trabalho escravo, onde existe abusos de poder, falta de controle e uma caça predatória para que o trabalho destes profissionais seja extinguido.

Com um setor praticamente totalmente explorado, as grandes instituições atualmente atuam basicamente na manutenção das suas carteiras.

Estrutura Comercial do Empréstimo Consignado

O empréstimo consignado segue a seguinte ordem de comercialização:

  • Venda direta nas agências Bancárias
  • Correspondente
  • Agente de Correspondente

Se você já contratou um empréstimo consignado passou por um destes três cenários, ou seja, ou contratou direto em seu banco, ou através de um correspondente ou até mesmo através de um agente financeiro que trabalha para um correspondente.

Ná prática para o cliente não muda nada a forma que está contratando seu empréstimo consignado, mas para a instituição financeira sim.

A terceirização da venda de produtos bancários foi a forma que as Instituições financeiras encontraram para ter um custo menor com pessoal sem o risco do litígio trabalhista.

O Sindicato dos Bancários tem tido conquistas importantes no setor o que deixou a operação direta mais cara para as instituições financeiras.

A figura do Correspondente bancário e do agente de correspondente tem seus dias contados, considerando o cenário atual, atualmente mais de 80% dos clientes em potencial já estão totalmente tomados.

O risco operacional, a instabilidade econômica mundial e a falta de clientes, são fatores que nos fazem acreditar que o setor agoniza no cenário atual.

Condições Econômicas x Empréstimo Consignado

Um dos fatores que possibilitam o empréstimo consignado a ser uma alternativa de crédito são:

  • Inflação
  • Regulamentação

A Regulamentação são as regras, leis e normativos que os convênios devem observar para evitar abusos, e controlar a tomada de crédito, por exemplo o valor máximo de comprometimento de renda, taxa de juros máxima permitida e etc.

A regulamentação é necessária para evitar abusos, por parte das instituições financeiras, evitando assim um colapso financeiro na vida dos tomadores desta modalidade de crédito.

O Empréstimo consignado tem uma taxa de juros anual de 22% ao ano na média, com a inflação na casa dos 4% ao ano o ganho de capital das instituições é de 16%, considerando a conta bruta. Alguns bancos afirmam que tirando o custo operacional o ganho de capital não passa de 6% ao ano.

Em um cenário de uma inflação de 30% ao ano ou ao mês, não seria possível vender crédito a 22% ao ano, o que invalidaria qualquer operação de consignação.

Quem pensa que empréstimo consignado é algo recente está muito enganado, esta modalidade de crédito é centenária, mas erros por falta de regulamentação, controle das instituições, uma inflação altíssima as deixaram engavetada a anos na prateleira dos bancos.

Quando se aprende História na escola não é apenas para saber o que aconteceu no passado mas para aprender com os erros cometidos para que eles não aconteçam mais, por este motivo, vamos contar essa história para você!

Empréstimo Consignado na História

Através do Decreto nº 942-A de 31 de Outubro de 1890, constatamos a expressão “Desconto em Folha”, era o ínicio de uma reforma que culminaria anos depois nos fundos de pensão e aposentadoria que conhecemos hoje.

Em 1890 o Brasil vivia uma fase complicada, com o fim da monarquia que se deu através de um golpe Militar, Manoel Deodoro da Fonseca em seu governo provisório começou a governar o país.

O Governo de Marechal Deodoro também foi marcado pela expansão ao crédito, através de medidas econômicas do Ministro da Fazenda Ruy Barbosa.

Com o incentivo ao crédito garantido pela emissão de moeda, o país mergulhou em uma crise econômica, que culminou o calote coletivo destes empréstimos, ações sem lastros e uma inflação que não parava de crescer.

Grêmios e associações começaram a descontar em folha com a autorização do governo bem como a emprestar dinheiro aos servidores públicos.

Com o passar dos anos o servidor público virou alvo de instituições e até mesmo do governo que emprestava dinheiro sem regras.

Em 1922 através do decreto 4.561 de 21 de Agosto de 1922 Epitácio Pessôa presidente na época, criou regras e passou a emprestar com desconto em folha para Servidores Públicos com o objetivo de aquisição de imóveis.

Os jornais da época anunciaram tal medida mas citando os problemas que o Brasil passou por ocasião da medida adotada pelo governo Manoel Deodoro da Fonseca.

A preocupação era com o pagamento e se houvesse o calote quem iria pagar por isso.

Mas foi somente em 1932 através do governo de Getúlio Vargas que o Empréstimo consignado teve uma regulamentação mais específica.

Através do Decreto 21.576 de 27 de Julho de 1932 estabelece o limite de até 40% da renda do servidor para comprometimento. O prazo para pagamento era de no máximo 48 meses.

Os valores liberados também foram estabelecidos neste decreto, por exemplo: O valor mínimo que se poderia empresar era de 200$0 a importância na época.

Para poder pagar no prazo de 48 meses o valor deveria ser superior a 5:000$0.

Calcular o que valia esse dinheiro na época é bem complicado mas digamos que o valor mínimo seria de R$ 200,00 e para utilizar o prazo máximo de 48 meses seria de R$ 5.000,00.

Outra curiosidade é que se podia exigir uma garantia adicional, como um seguro de vida ou taxa adicional desde que o custo com tais garantias não fosse superior a 2% ao ano o valor do empréstimo somado a estas despesas.

A taxa de juros variava de 12% a 18% ao ano, considerando a condição de prazos conforme abaixo:

6 meses = 12% a.a.
24 meses = 12% a.a.
36 meses = 15% a.a.
48 meses = 18% a.a.

Todas as despesas eram repassadas ao cliente tomador do empréstimo, o que hoje chamamos de TAC.

Era permitida a quitação antecipada e o decreto previa a amortização de juros.

Quem emprestava poderia negar o crédito conforme política de crédito ou poderia solicitar documentos adicionais como por exemplo a comprovação de tempo de serviço.

Quem fiscaliza este tipo de operação na época era a Consultoria da Fazenda pública.

O decreto de 1932 foi um avanço para época, todos os excessos cometidos antes de 1932 foram contidos, e a partir daí se teve um maior controle sobre o empréstimo consignado.

Alguns ajustes foram feitos para que o empréstimo consignado tivesse seu papel na sociedade sem criar maiores problemas, como por exemplo:

Medida Provisória 681 de 10/07/2005

A Medida Provisória nº 681, de 2015, alterou as seguintes Leis: 8.112 de 1990, 8.213 de 1991 e 10.820 de 2003, no que se refere sobre os itens que serão aceitos no desconto em folha e sobre os valores destinados ao pagamento de cartão de crédito.

A Publicação Original no Diário Oficial da União ocorreu no dia 13 de Julho de 2015, na seção 1 da Página 1.

Medida Provisória 681 altera lei do consignado

A MP 681, que foi assinada pelo vice-presidente da República Michel Temer, no exercício do cargo de presidente da República, fez alterações nas leis quanto ao desconto em folha e ao aumento do limite.

Confira abaixo quais foram as alterações que entraram em vigor com a MP 681:

Os empregados CLT, bem como os aposentados e pensionistas do INSS e os servidores públicos terão o limite de crédito ampliado de 30% para 35%. A MP 681 determina que esses 5% adicionais seja usado para amortizar as despesas contraídas por meio de cartã de crédito.

Se você quiser saber mais sobre o limite ampliado da margem consignável na MP 681, clique aqui

Para os empregados CLT, o desconto do crédito consignado incidirá sobre as verbas rescisórias devidas ao empregador, contanto que esteja previsto no contrato.

A concessão de empréstimo, financiamento ou cartão de crédito será feita a critério da instituição consignatária. Os valores e as demais condições objeto, serão de livre negociação entre ela e o mutuário, contanto que sejam observadas as demais disposições desta Lei e seu regulamento.

Os aposentados e pensionistas poderão autorizar o INSS que a instituição financeira na qual recebam seus benefícios retenha os valores referentes ao pagamento mensal de empréstimos, financiamentos e cartões de crédito para fins de amortização, se estiverem previstos em contrato.

Quem é Michel Temer?

Michel Miguel Elias Temer Lulia é um advogado, escritor e político brasileiro. Temer foi vice-presidente do Brasil no Governo Dilma, tendo assumido de vez a presidência em Agosto de 2016 após a presidente Dilma ter passado pelo processo do impeachment.

Michel Temer nasceu em 1940, na cidade Tietê, interior de São Paulo. Filho de imigrantes libaneses, Temer se formou em Direito pela Universidade de São Paulo (USP) e lecionou na  Pontifícia Universidade Católica de São Paulo (PUC-SP) e na Faculdade de Direito de Itu (FADITU).

Embora tenha assumido a presidência brasileira por apenas 17 meses, alguns escândalos vieram a tona. Michel Temer possui 5 inquéritos no Supremo Tribunal Federal (STF), referente ao recebimento de propina e a intenção de impedir que as investigações da “Operação Lava Jato” continuassem. As investigações retomarão em abril de 2019.

No próximo post, conheceremos mais sobre a Lei 13172, de 21 de Outubro de 2015.

Lei 13313 de 14/07/2016

A Lei 13313, que foi assinada pelo senador Renan Calheiros no dia 14 de Julho de 2016, fez uma alteração na lei de 2003 nº 10.820 a respeito do que o empregado poderá oferecer em garantia nas operações de crédito consignado.

A Publicação Original da Lei nº 13313 no Diário Oficial da União ocorreu no dia 15 de Julho de 2016, na Seção 1, Página 1.

Lei 13313 altera autorização para desconto em folha

A Lei nº 13.313, de 2016, fez um breve alteração na Lei nº 10.820, no que diz respeito a autorização para desconto em folha de pagamento.

Nas operações de crédito consignado, o empregado poderá oferecer em garantia, de forma irrevogável e irretratável:

  • Até 10% do saldo de sua conta vinculada ao FGTS;
  • Até 100% do valor da multa para pelo empregador , somente no caso de demissão sem justa causa;

Saiba mais informações abaixo:

Somente no caso de demissão sem justa causa que o valor é inteiramente pago pelo empregador.

O FGTS, através do seu Conselho Curador, poderá definir o número máximo de parcelas e a taxa máxima mensal de juros a ser cobrada pelas instituições consignatárias nas operações de crédito consignado.

O agente do FGTS será responsável por definir quais serão os procedimentos operacionais necessários para a execução dos quesitos citados acima.

Quem é Renan Calheiros?

José Renan Vasconcelos Calheiros é um político brasileiro. Cumpre seu 4º mandato no Senado Federal do Brasil, sendo o representante em seu estado Natal, Alagoas.

Seu 1º mandato como senador-representante no estado de Alagoas pelo Senado Federal do Brasil, iniciou-se em 1º de Fevereiro de 1995. Em Abril de 1998, durante o segundo mandato do Governo de Fernando Henrique Cardoso, Renan Calheiros ocupou o cargo de Ministro da Justiça. Ficou até Julho de 199, quando voltou a assumir o cargo de senador.

Reeleito como senador, Renan Calheiros decidiu apoiar o Governo Lula, que havia assumido a presidência em 1º de Janeiro de 2003. Nessa época, Renan, que quando assumiu o cargo de senador 1995, tinha apenas um fusca como patrimônio, já tinha diversas empresas que faturavam milhões, fazendas, casas, etc, …

Renan Calheiros era o principal suspeito de um grande esquema de corrupção, que ficou conhecido como “Renangate”. Esse escândalo ocupou os principais jornais e revistas de 2007. Renan foi absolvido pelo Senado, o que provocou indignação da população e diversos protestos ocorreram pelo Brasil afora.

Em 2016, Renan Calheiros foi réu pelo crime de desvio de dinheiro. No entanto, essa denúncia veio a tona em 2007, pelo jornal “O Estado de São Paulo”, que conta em detalhes como Renan recebia o dinheiro. Renan também foi acusado de participar da Lava Jato.

O STF absolveu Renan Calheiros da acusação de desvio de dinheiro. Atualmente Renan Calheiros é o favorito para presidir o Senado Federal no Governo Bolsonaro.

Considerações

Chegamos ao fim de mais uma jornada. Foi uma viagem ao tempo percorrendo as Leis, Decretos e Medidas Provisórias que adicionaram ou alteraram informações sobre o empréstimo consignado.

Iniciamos nossas pesquisas falando a respeito do Decreto nº 4.561, de 21 de Agosto de 1922, e terminamos com a Lei nº 13.313, de 14 de Julho de 2016.

O Portal Consignados espera que você tenha gostado e aprendido!

Até mais!

Medida Provisória 719, de 2016

A Medida Provisória nº 719, assinada pela presidente Dilma Rousseff em 29 de Março de 2016, modificou a lei 10820 a respeito da autorização para desconto das prestações em folha de pagamento.

A MP 719 teve sua publicação original no Diário Oficial da União feita no dia 30/3/2016, na Seção 1, Página 7.

Medida Provisória 719 altera Lei 10820

A Medida Provisória nº 719, de 2016 alterou a Lei no que diz respeito a autorização para descontos na folha de pagamento, que passa a ter as seguintes alterações:

  • O empregado oferece garantia de 10% do saldo do FGTS
  • Até 100% do valor da multa paga pelo empregador

Veja abaixo maiores detalhes dessas alterações:

Nas operações de crédito consignado, o empregado poderá oferecer em garantia até 10% do saldo da sua conta vinculada no FGTS e até 100% do valor da multa paga pelo empregador. No entanto, a garantia só poderá ser acionada na ocorrência de demissão sem justa causa.

O Conselho Curador do FGTS poderá definir o número máximo de parcelas e qual será a taxa máxima mensal de juros a ser cobrada pelas instituições consignatárias nas operações de crédito consignado.

Caberá ao agente operador do FGTS definir os procedimentos operacionais necessários para execução dos quesitos citados nos itens anteriores.

O que aconteceu em 2016?

Veja abaixo quais foram as principais notícias do ano de 2016:

  • 13 de março: Manifestações contra o Governo de Dilma ocorrem em diversas cidades do Brasil.
  • 17 de Abril: A Câmara dos Deputados aprova prosseguimento do processo de impeachment da presidente Dilma Rousseff.
  • 12 de Maio: O Senado Federal autorizou o afastamento de Dilma Rousseff do cargo de presidente da República por 180 dias.
  • 5 à 21 de Agosto: Ocorrem os Jogos Olímpicos de Verão na cidade do Rio de Janeiro.
  • 31 de Agosto: Dilma Rousseff é permanentemente afastada do cargo de presidente e, seu vice Michel Temer, assume o cargo.
  • 7 à 18 de Setembro: Ocorrem os Jogos Paralímpicos de Verão na cidade do Rio de Janeiro.
  • 29 de Novembro: O avião que levava a equipe Chapecoense cai na Colômbia e mata 76 pessoas.

No próximo post, falaremos sobre a Lei 13313, de 14 de Julho de 2016.

Lei 13183 de 04/11/2015

A Lei nº 13.183, de 4 de Novembro de 2015, alterou diversas Leis, entre elas a Lei 10.820, de 2003. A mudança ocorreu quanto ao pagamento de empréstimo realizados por participantes e assistidos com entidades fechadas e abertas de previdência complementar.

A Publicação Original da Lei nº 13.183 no Diário Oficial da União ocorreu no dia 5 de Novembro de 2015.

Lei 13183 altera Lei 10820

A Lei nº 13.183, de 4 de Novembro de 2015, alterou na lei nº 10.820, de 17 de Dezembro de 2003, a forma quanto aos pagamentos de empréstimos realizados pelos participantes.

Vejamos abaixo quais foram essas mudanças:

Para pagamento de empréstimos, financiamentos e cartões de crédito concedidos por instituições financeiras ou por entidades fechadas ou abertas de previdência complementar, sendo públicas e privadas, quando este for expressamente autorizado pelo beneficiário, até o limite de 35% do valor do benefício.

Vale lembrar que 5% desse limite será destinado exclusivamente para:

  • Amortização de despesas contraídas pelo uso do cartão de crédito.
  • Utilização com a finalidade de saque por meio do cartão de crédito.

Assunto do próximo post

No próximo post, conheceremos sobre o que se trata a Medida Provisória 719, sancionada em 29 de março de 2016 pela presidente Dilma Rousseff.

Aguardem!

Lei 13172 de 2015

A Lei nº 13.172, sancionada pela presidente Dilma Rousseff em 21 de Outubro de 2015 fez algumas alterações na lei nº 10.820 de 17 de Dezembro de 2003 quanto ao desconto em folha de pagamento de valores destinados ao pagamento de cartão de crédito.

A Lei 13172 teve a sua publicação original do Diário Oficial da União, no dia 22/10/2015, Seção 1- Página 2.

Lei 13172 altera as leis sobre desconto em folha

A Lei nº 13.172, de 2015 alterou as seguintes leis: 10.820, que foi sancionada em 2003, 8.213, que foi sancionada em 1991 e 8.112, que foi sancionada em 1990. No entanto, a alteração feita nas leis foi a respeito do desconto em folha de pagamento de valores destinados a pagar o cartão de crédito.

Veja quais são os destaques desta lei: 

  • Alterações quanto ao desconto em folha
  • Autorizações da instituição consignatária
  • Responsabilidades do empregador

Confira abaixo quais foram essas mudanças:

Os empregados regidos pela CLT, poderão autorizar o desconto em folha de pagamento ou na sua remuneração disponível dos valores referentes ao pagamento dos empréstimos, cartões de crédito e financiamentos concedidos por instituições financeiras, se estiver previsto no contrato.

Quanto ao desconto referente ao contrato de empréstimo, financiamento ou cartão de crédito, o limite máximo será de 35%, sendo 5% destinados a amortização das despesas contraídas pela utilização do cartão de crédito e para saque por meio do cartão de crédito.

A instituição consignatária é autorizada a conceder empréstimo ou financiamento ou ainda realizar operação com cartão de crédito para o empregado que firma contrato de empréstimo,financiamento ou cartão de crédito. Fica a instituição consignatária também responsável por fornecer desconto do valor das prestações assumidas.

O empregador é o responsável por informar no demonstrativo de rendimentos do empregado, de forma discriminada, o valor do desconto mensal referente a cada operação de empréstimo, financiamento ou cartão de crédito.

Considerações finais

>A lei 13172 fez pequenas alterações nas 3 leis citadas anteriormente no intuito de melhorar alguns artigos que não ficaram bem esclarecidos.

Aguarde o próximo post, pois falaremos da lei 13183, sancionada em 4 de Novembro de 2015 pela presidente Dilma Rousseff.

Até lá!

Lei 13097 de 2015

A Lei nº 13.097, assinada pela presidente Dilma Rousseff em 19 de Janeiro de 2015, faz alterações em diversas leis que foram publicadas entre os anos de 1966 e 2012, entre elas a lei nº 10.820 de 2003 que retrata os descontos permitidos no empréstimo consignado. Saiba qual foi a alteração que esta lei sofreu.

A Lei 13097 teve sua publicação original realizada no Diário Oficial da União no dia 20/01/2015, na Seção 1 da Página 1.

Lei 13097 altera a lei 10820

A Lei nº 13.097, sancionada pela presidente Dilma Rousseff em 19 de Janeiro de 2015, adicionou artigos na lei nº 10820, de 2003, sancionada pelo presidente na época, Luiz Inácio Lula da Silva.

Acompanhe o que é destaque na lei 13.097:

  • Informações disponíveis para empregados
  • Responsabilidades do empregador

Vejamos abaixo quais foram as alterações sobre os descontos na folha de pagamento:

As informações referentes aos custos deverão estar disponíveis tanto para os empregados, quanto para as entidades sindicais, caso seja solicitado pelas mesmas.

O empregador fica responsável pelas informações prestadas, pelo desconto dos valores devidos e por repassar às instituições consignatárias, no qual deverá ser realizado até o 5º dia útil após a data de pagamento ao mutuário de sua remuneração disponível.

O empregador não será o responsável pelo pagamento dos empréstimos ou financiamentos, salvo se esta informação constar no contrato.

Caso seja comprovado que o pagamento mensal do empréstimo ou financiamento tenha sido descontado e não tenha sido repassado pelo empregador ou pela instituição financeira mantenedora, fica esta proibida de incluir o nome do mutuário no cadastro de inadimplentes.

Quem é Dilma Rousseff?

Dilma Vana Rousseff nasceu na cidade de Belo Horizonte, Minas Gerais, em 14 de Dezembro de 1947. Foi presidente do Brasil por quase 2 mandatos. Formada em Economia, Dilma desde jovem, se interessou pelo Socialismo e se filiou ao Partido dos Trabalhadores (PT). Fez parte da luta armada de esquerda, que era contra o regime militar. De 1970 a 1972, Dilma ficou presa, onde foi interrogada e torturada.

Durante o Governo Lula, Dilma Rousseff assumiu a chefia do Ministério de Minas e Energia e, posteriormente, da Casa Civil. Se candidatou a presidência do Brasil, na qual venceu nas eleições de 2010.

No primeiro mandato, que foi de 2011 a 2014, afirmou preferir ser tratada como “presidenta”. Assim como o Governo Lula foi nos 2 mandatos, Dilma assumiu a posição de Governo Assistencialista, mantendo os programas sociais do governo anterior. Durante o primeiro mandato, 7 ministros renunciaram seus cargos, acusados de corrupção.

No segundo mandato, Dilma vê o Brasil em uma crise econômica e política. Enfraquecida, sanciona mudanças deixando as regras mais rígidas para a aposentadoria, fora o aumento da luz e da gasolina. O Governo Dilma fez cortes na saúde e na educação, nos transportes e na defesa do país.

O Brasil estava um caos, em meio a protestos contra o governo e aos cortes nas verbas para as necessidades básicas. Em Dezembro de 2015, a Câmara dos Deputados do Brasil acolheu o pedido de impeachment, no qual foi votado em 31 de Agosto de 2016. Seu vice, Michel Temer, assume a presidência.

O que aconteceu em 2015 no Brasil?

Confira abaixo quais foram os principais fatos ocorridos no ano de 2015, aqui no nosso país:

  • 1 de Janeiro: O segundo mandato presidencial de Dilma Rousseff é iniciado.
  • 19 de Janeiro: Um apagão sinistro ocorre ao mesmo tempo em 11 estados brasileiros e no Distrito Federal, por volta das 15:00hs.
  •  4 de Fevereiro: Graça Foster, presidente da Petrobrás, e mais 5 diretores da empresa renunciam seus cargos.
  •  8 de Março: Inezita Barroso, dama da música caipira, morre aos 90 anos de idade.
  • 15 de março: Protestos pedindo reformas e o fim da corrupção do Governo Dilma Rousseff acontecem em todo o Brasil.
  • 20 de Abril: Um tornado atinge a cidade catarinense de Xanxerê, com ventos que ultrapassaram a velocidade de 200 km/h.
  • 6 de Junho: A Copa do Mundo de Futebol Feminino tem o seu início no Canadá.
  • 5 de Julho: A Copa do Mundo de Futebol Feminino chega ao seu fim e a seleção norte-americana é a campeã.
  • 6 de Agosto: Protestos e vaias ocorreram em todo o Brasil durante a exibição do programa eleitoral do PT.
  • 16 de Agosto: Protestos contra o PT ocorrem em todo o país pedindo o impeachment da presidente Dilma Rousseff,
  • 2 de Dezembro: O pedido de impeachment contra a presidente Dilma Rousseff foi acolhido pela Câmara dos Deputados.

No próximo post, conheceremos a Medida Provisória 681, de Julho de 2015.

Medida Provisória 656 de 07/10/2014

A Medida Provisória nº 656, de 2014, dentre outras medidas nas demais áreas, altera a lei 10820, de 17 de Dezembro de 2003 sobre a autorização do desconto em folha de pagamento dos empregados que estão no regime CLT.

A MP nº 656 foi assinada no dia 07 de Outubro de 2014, pela presidente Dilma Rousseff. Sua publicação no Diário Oficial da União deu-se em 08 de Outubro de 2014.

Medida Provisória 656 altera a lei nº 10.820

A MP nº 656 fez alterações na lei nº 10.820 de 2003 no que tange os descontos na folha de pagamento.

Abaixo está o artigo 1 da lei 10820 de 2003:

Os empregados do regime CLT poderão autorizar o desconto em folha dos valores referentes ao pagamento de empréstimos e financiamentos concedidos por instituições financeiras e sociedades de arrendamento mercantil, contanto que estejam previstos nos respectivos contratos.

Confira quais foram os destaques da MP 656:

  • Bloqueio para novos descontos
  • Efetuar os descontos e repassar para a instituição

De acordo com a Medida Provisória 656, passa a vigorar as seguintes alterações:

Os empregados poderão solicitar o bloqueio, a qualquer tempo, de novos descontos.

As alterações não se aplicam aos descontos anteriores a esta medida provisória e que foram autorizados.

Efetuar os descontos autorizados pelo empregado, inclusive sobre as verbas rescisórias, e repassar o valor à instituição consignatária na forma e no prazo que estão previstos no regulamento.

O empregador ou a instituição consignatária ficam obrigados a disponibilizar, inclusive em meio eletrônico, a opção de bloqueio de novos descontos.

O que foi notícia no Brasil, em 2014?

Vamos relembrar abaixo, alguns assuntos que foram manchete no Brasil, no ano de 2014:

  • 4 de Janeiro: O crime organizado fez uma série de ataques à população, devido a crise no sistema penitenciário, no Maranhão.
  • 5 de Janeiro: Falece o cantor e compositor brasileiro, Nelson Ned.
  • 10 de Fevereiro: Falece Santiago Andrade, cinegrafista da TV Bandeirantes que foi atingido por um rojão em protestos no RJ.
  • 19 de Fevereiro: A rede social Facebook anuncia a compra do Whatsapp por 16 bilhões de dólares.
  • 12 de Junho: Inicia-se a Copa do Mundo, no Brasil.
  • 13 de Julho: A seleção Alemã vence a Copa do Mundo, no Brasil.
  • 30 de Setembro: Após 10 anos de atividade, a rede social Orkut chega ao fim.
  • 5 de Outubro: Ocorre as eleições gerais brasileiras.
  • 26 de Outubro: Dilma Rousseff é reeleita presidente do Brasil.

No próximo post, conheceremos a lei 13097, de 19 de Janeiro de 2015.

Lei 10953 de 27/09/2004

A lei nº 10.953, sancionada pelo presidente Luiz Inácio Lula da Silva em 27 de Setembro de 2004, faz alterações na lei anterior nº 10.820 de 2003 e merecem toda a nossa atenção no que diz respeito a autorização para desconto de prestações em folha de pagamento.

A lei 10953 teve sua publicação original no Diário Oficial da União, no dia 28 de Setembro de 2004.

Lei 10953 altera a lei 10820

A lei nº 10.953, que foi publicada em Setembro de 2004 pelo presidente Luiz Inácio Lula da Silva, alterou a lei anterior nº 10.820 de 17 de Dezembro de 2003 quanto a autorização para desconto de prestações de empréstimo consignado em folha de pagamento.

Veja quais são os destaques da lei 10.953:

  • Aposentados e pensionistas poderão autorizar o INSS a validar os descontos
  • Margem Consignável de 30%

Confira abaixo quais foram essas mudanças:

Os aposentados e pensionistas que recebem os benefícios, poderão autorizar o Instituto Nacional de Seguro Social (INSS) a validar os descontos e a autorizar que a instituição financeira na qual recebam os seus benefícios, amortize os valores referentes ao pagamento mensal dos empréstimos ou financiamentos pelo titular concedidos, quando estes estiverem no contrato.

O INSS é responsável pela retenção dos valores autorizados e repasse à instituição consignatária. No entanto, o INSS também se responsabiliza pela manutenção dos pagamentos do titular do benefício na mesma instituição financeira enquanto houver saldo devedor na operações onde foi autorizada a retenção.

O titular do benefício não poderá solicitar a mudança da instituição financeira pagadora enquanto houver saldo devedor em amortização.

Os descontos e as retenções não poderão ultrapassar o limite de 30% do valor do benefícios.

Caso a instituição financeira proceda a retenção de valor superior ao limite de 30%, a perderá mesma perderá todas as garantias que lhe são conferidas pela lei.

Presidente Lula

Luiz Inácio Lula da Silva nasceu na cidade de Caetés, que fica no estado do Pernambuco. Lula foi metalúrgico em São Bernardo do Campo, região metropolitana de São Paulo. Durante a ditadura militar, Luiz Inácio liderou diversas greves de operário no ABC Paulista.

Lula é o fundador do Partido dos Trabalhadores (PT) e foi presidente do Brasil por 2 mandatos. O primeiro mandato foi do dia 1 de Janeiro de 2003 e terminou em 31 de Dezembro de 2006. O segundo mandato iniciou-se em 1 de Janeiro de 2007 e encerrou-se em 31 de Dezembro de 2010.

Lula foi o criador dos programas Bolsa-Família e Fome Zero. Esses programas tiveram a ainda têm grande atuação na região nordeste do Brasil. Ambos os programas foram reconhecidos pela Organização das Nações Unidas como os programas que possibilitaram que o Brasil saísse do mapa da fome mundial.

Lula foi um dos políticos mais populares da história do Brasil e, enquanto ocupava a presidência, foi um dos mais populares do mundo.

Atualmente Lula está preso e responde por diversos processos de irregularidades que ocorreram durante os 8 anos como presidente do Brasil e a respeito da chamada “Quadrilha do PT”, fora os escândalos do sítio de Atibaia e do triplex do Guarujá.

Fatos que ocorreram em 2004, no Brasil

Veja quais foram as notícias que tiveram um destaque maior do ano de 2004, aqui no Brasil:

  • 28 de Março: O ciclone Catarina atinge os estados de Santa Catarina e Rio Grande do Sul.
  • 15 de Abril: O presidente Lula sanciona a lei que cria o ENADE (Exame Nacional de Desemprenho dos Estudantes).
  • 3 de Agosto: O governador de Roraima, Francisco Portela, tem o seu mandato cassado pelo TSE após acusações de irregularidades durante a campanha de 2002. Essa operação foi chamada de Gafanhoto.
  • de 22 a 29 de Agosto: Os atletas brasileiros conquistaram diversas medalhas de ouro nos Jogos Olímpicos de Athenas.

No próximo post, ficaremos sabendo qual foi a medida provisória 656, de Outubro de 2014.

Lei 10820 de 2003

A lei nº 10.820, assinada pelo presidente Luiz Inácio Lula da Silva no dia 17 de Dezembro de 2003, proporcionou avanços quanto aos descontos de prestações em folha de pagamento e possibilitou que fossem feitas outras providências.

Sua publicação original ocorreu no dia 18 de Dezembro de 2003, no Diário Oficial da União – Seção 1 da Página 1.

Os avanços no consignado com a Lei 10820

A lei 10820, de 2003, fez uma série de atualizações das leis anteriores para incentivar os brasileiros a contratarem empréstimo consignado. O início da década de 2000 não foi apenas bom para a tecnologia não, foi também para o consignado no Brasil. O acesso a essa modalidade de empréstimo foi expandido e as leis acompanharam essa expansão e se atualizaram.

Saiba quais são os principais pontos da lei 10820:

  •  O empregado tem o direito de escolher a instituição consignatária que quiser.
  • Veja quais são os deveres do empregador

Veja abaixo no que a Lei nº 10.820 contribuiu para a melhoria do empréstimo consignado no Brasil:

Os empregados que estão no regime de contratação CLT poderão autorizar o desconto em folha dos valores referentes ao pagamento de empréstimos e financiamentos concedidos por instituições financeiras e sociedades de arrendamento mercantil, contanto que estejam previstos nos respectivos contratos.

O desconto poderá incidir também sobre verbas rescisórias devidas pelo empregados. Contudo, este desconto deverá estar no respectivo contrato de empréstimo. O desconto poderá chegar até 30%.

Regras do consignado

Veja algumas regras que as partes envolvidas deverão se atentar quando forem assinar um contrato de empréstimo consignado:

O empregador está proibido de impor ao mutuário e à instituição consignatária escolhida pelo empregado qualquer condição que não esteja prevista na lei ou no regulamento para efetivação do contrato.

Observado o disposto em regulamento e nos casos nele admitidos, o empregador fica facultado de descontar na folha de pagamento do mutuário, os custos operacionais decorrentes da operação desta lei.

Cabe ao empregador informar, no demonstrativo de rendimentos do empregado e de forma discriminada, o valor do desconto mensal decorrente de cada operação de empréstimo realizada pelo empregado.

A instituição consignatária não poderá se negar a fazer o empréstimo se o empregado tiver todos os requisitos e condições necessárias para a realização do mesmo.

É assegurado ao empregado o direito de optar pela instituição consignatária que tenha firmado acordo com o empregador ou por qualquer outra instituição consignatária de sua escolha. Contudo, o empregador fica obrigado a conceder os descontos e repasses contratados pelo empregado.

É proi

Fatos marcantes no ano de 2003, no Brasil

Veja abaixo quais foram os acontecimentos que mais marcaram o ano de 2003:

  • 1 de janeiro: Luiz Inácio Lula da Silva assume a presidência do Brasil
  • 11 de janeiro: O Código Civil Brasileiro, que havia sido aprovado pelo Congresso em 2001, entra em vigor
  • 31 de março: O presidente Lula anuncia o aumento de salário mínimo de R$ 200,00 para R$ 240,00
  • 20 de junho: Ocorre o maior tremor já registrado no Brasil. Foi no estado do Amazonas e atingiu 7.0 na escala Richter
  • 6 de agosto: Roberto Marinho, fundador da Rede Globo, morre aos 98 anos
  • 20 de outubro: O presidente Lula cria o Bolsa-Família, que unificou todos os programas sociais do Governo
  • 23 de dezembro: O Banco Central do Brasil recolhe as moedas de 1 real feitas de aço inox

No próximo post, saberemos o que a Lei 10953, de 2004 alterou na lei 10.820 de 2003.

bido aos empregadores, qualquer cobrança de qualquer taxa ou a inclusão das mesmas em cláusulas que impliquem pagamento em seu favor pela realização das operações de que trata essa lei.

O empregador será o responsável pelas informações prestadas, pela retenção dos valores devidos e pelo repasse às instituições consignatárias.

Lei 2853 de 28/08/1956

A lei nº 2.853, de 28 de Agosto de 1956, fez importantes alterações nos artigos da lei nº 1.046 que falam sobre a soma das consignações e sobre o que é permitido na consignação em folha de pagamento.

A publicação no Diário Oficial da União ocorreu em 29 de Agosto de 1956 e na Coleção de Leis do Brasil em 31 de Dezembro de 1956.

Quais são as alterações da Lei 2853?

A Lei nº 2.853 de 1956, assinada pelo presidente Juscelino Kubitschek, alterou os seguintes artigos da lei nº 1.046 de 1950:

 Quanto a permissão da folha de vencimento:

Na lei de 1956, é permitida a consignação em folha de vencimento, remuneração, salário, provento, subsídio e gratificação adicional por tempo de serviço.

Quanto a soma das consignações:

Na lei de 1950, a soma das consignações não poderia exceder 30%. Com a lei 2853, de 1956, esse limite foi elevado para 70% onde, além dos itens permitidos na folha de vencimento descritos acima, também foram incluídos a prestação alimentícia, educação, aluguel ou aquisição de imóvel destinados à moradia própria.

Quem foi Juscelino Kubitschek?

Juscelino Kubitschek de Oliveira foi um médico, oficial da Polícia Militar do Estado de Minas Gerais e presidente do Brasil de 1956 a 1961. Nascido no ano de 1902 em Diamantina, interior do estado de Minas Gerais, Juscelino mudou para a capital do estado, Belo Horizonte quando fez 18 anos. Em Belo Horizonte, formou-se em medicina pela Universidade Federal de Minas Gerais.

Em 1931, ingressou como médico na Polícia Militar. Nesse período, chegou a trabalhar na Revolução Constitucionalista de 1932, onde teve contato com importantes políticos. Em 1933, Juscelino entra para a política como chefe de gabinete do político Benedito Valadares. Em 1940, foi nomeado prefeito de Belo Horizonte, onde permaneceu até 1945.

Em Outubro de 1954, JK lançou sua candidatura à presidência do Brasil e em 1955 foi eleito presidente. Um dos maiores feitos como presidente foi a construção de Brasília, capital do Brasil. Na época, houve um grande aumento da dívida pública interna no Brasil. Seu mandato terminou com o crescimento da inflação.

Juscelino Kubitschek faleceu em 1976, na cidade de Rezende, estado do Rio de Janeiro, em um acidente automobilístico.

O que aconteceu em 1956?

Veja abaixo quais foram os fatos que ocorreram em 1956, no Brasil:

  • 31 de janeiro: Juscelino Kubitschek assume a presidência do Brasil
  • 11 de fevereiro: Começa a Revolta de Jacareacanga, que são os militares da Aeronáutica contra o novo governo eleito
  • 29 de fevereiro: A Revolta de Jacareacanga chega ao seu fim
  • 25 de abril: É fundada na cidade de Ipatinga, em Minas Gerais, a Usiminas, uma das maiores siderúrgicas do nosso país
  • 7 de setembro: Pelé inicia sua carreira no Santos futebol Clube e marca um dos gols na vitória sobre o Corinthians
  • 20 de setembro: A lei 2.874, a respeito da mudança da capital brasileira, é sancionada pelo presidente Juscelino Kubitschek

No próximo post, conheceremos quais são os artigos da lei 10820 de 2003.

Lei 1046 de 1950

A Lei nº 1.046, assinada pelo presidente Getúlio Vargas em 2 de Janeiro de 1950, amplia a quantidade de consignantes e consignatários com o intuito de incentivar o consignado para o maior número de servidores possível.

A Lei 1046/50 causou muita polêmica com o art. 16, que fala que o empréstimo consignado é extinto com o falecimento do consignante.

A Lei 1046 e a expansão do consignado

O empréstimo consignado alcançou um novo patamar com a lei nº 1.046/50. Foram inseridas mais classes de servidores públicos.
Saiba abaixo quais são os principais pontos da lei 1.046 e a polêmica envolvendo o artigo 16.

Quanto a Consignação

Na lei 1046, a consignação em folha poderá servir como garantia de:

  • Fiança, função ou emprego
  • Juros e amortização de empréstimo em dinheiro
  • Cota para aquisição de mercadorias destinadas ao consignante e à sua família e cooperativas de consumo com fins beneficentes
  • Aluguem de casa para residência do consignante e da sua família
  • Entrada + prestação mensal pagas pelo consignante

Além da consignação em folha, poderão ser descontados os seguintes itens:

  • Quantias devidas à Fazenda Nacional
  • Contribuição para pensão ou aposentadoria
  • Contribuição fixada em lei a favor da Fazenda Nacional
  • Cota para cônjuge ou filhos

Quanto aos Consignantes

As classes que poderão realizar empréstimo consignado em folha são:

  • Funcionários públicos, mensalistas, diaristas e contratados
  • Militares (Exército, Marinha, Aeronáutica, Polícia Militar e Corpo de Bombeiros do Distrito Federal)
  • Juízes e membros do Ministério Público
  • Senadores e Deputados
  • Servidores civis aposentados e militares reformados
  • Pensionistas civis e militares

Quanto aos Consignatários

Referente aos consignatários, estes poderão ser:

  • Instituto de Previdência e Assistência dos Servidores do Estado
  • Caixas Econômicas Federais e suas filiais
  • Estabelecimento de ensino que seja reconhecido pelo Governo

O artigo 16 e sua polêmica

O artigo 16 da lei 1046, de 1950 deu muito o que falar e ainda dá o que falar. O artigo diz exatamente o seguinte:
Ocorrido o falecimento do consignante, a dívida do empréstimo feita mediante uma simples garantia em folha, será extinta.
Esse artigo da lei nº 1.046 de 2 de Janeiro de 1950, continua em vigor.

No dias atuais, a justiça ainda briga para revogar essa lei.

O empréstimo consignado é uma das modalidades de empréstimo mais utilizadas no Brasil.

E você? O que você acha do artigo 16 da lei 1046/50?

Queremos saber a sua opinião!

Deixe nos comentários.

Fatos que marcaram o ano de 1950 no Brasil

Confira abaixo, em ordem cronológica, quais foram os acontecimentos que tiveram mais destaque no Brasil, no ano de 1950:

  • 24 de junho: A Copa do Mundo tem o seu início aqui no Brasil
  • 16 de junho: Termina o maior evento do futebol do planeta, a Copa do Mundo, com a derrota do Brasil para o Uruguai
  • 18 de setembro: A TV Tupi, primeira emissora de televisão do Brasil, é inaugurada na cidade de São Paulo
  •  3 de outubro: Ocorre a eleição presidencial e Getúlio Vargas é mais uma vez eleito presidente da República

No próximo post, saberemos quais foram as mudanças que a Lei 2853, de 1956, fez na lei nº 1.046. Até a próxima!

Decreto 312 de 03/02/1938

O Decreto 312 é um complemento do decreto nº 21576 de 27 de Junho de 1932. Alguns artigos da lei de 1932 não foram bem explicados e esse decreto 312 foi criado para sanar as dúvidas e complementar as informações do decreto 21.576.

O Decreto 312 foi publicado no Diário Oficial da União na Página 4147, da Seção 1 de 05 de Março de 1938 e na Coleção de Leis do Brasil, na página 441 do Volume 1, sua publicação deu-se em 31/12/1938.

Decreto 312 de 1938 – Uma nova visão do Decreto 21576 de 1932

A comparação entre os decretos é inevitável. Há uma ressalva no decreto 312 de 1938 que menciona que a prática das consignações em folha de pagamento do decreto nº 21.576, de 27 de Junho de 1932, tem se mostrado inconveniente para os servidores ativos, inativos e pensionistas civis da União.

Nossa! Por que o serviço foi inconveniente para essas classes?

Porque, na época, já existiam institutos oficiais que ofereciam aos servidores ativos e inativos e aos pensionistas da União, recursos e condições mais favoráveis.

Veremos abaixo quais são os esclarecimentos do Decreto 312, de 1938, perante o decreto 21.576, de 1932.

Restrição para consignações

No Decreto 312, as consignações ficam restritas aos seguintes fins:

  • Fiança e Caução
  • Aquisição de casa ou terreno
  • Juros e amortização de empréstimos em dinheiro

Descontos em folha de pagamento

Veja abaixo o que será descontado em folha de pagamento:

  • Valores devidos à Fazenda Nacional
  • Contribuições para pensão ou aposentadoria, desde que sejam para instituições oficiais
  • Contribuições previstas em lei a favor da Fazenda Nacional
  • Quota para subsistência de cônjuge ou filhos, determinada em sentença judiciária

Fatos importantes que ocorreram em 1938, no Brasil

Vamos ver abaixo quais foram os principais fatos ocorridos no ano de 1938, aqui no Brasil:

  • 2 de janeiro: O programa Hora do Brasil, que é oficial de rádio, passou a ser transmitido para todo o Brasil
  • 3 de janeiro: Devido ao Golpe de Estado de Getúlio Vargas, a eleição presidencial não foi realizada
  • 29 de abril: O Conselho Nacional do Petróleo, precursor da Petrobrás, é criado
  • 18 de maio: Após terem ocorrido diversos distúrbios sociais, a Lei de Segurança Nacional é assinada por Getúlio Vargas
  •  1 de dezembro: A Casa Civil, órgão ligado ao chefe do Poder Executivo, é criado

No próximo post, explicaremos sobre a lei 1046 de 1950 que relata o que é permitido na consignação em folha.

Aguardem!

 

Decreto 22296 de 1933

O decreto nº 22.296, datado em 2 de Janeiro de 1933 e assinado pelo presidente Getúlio Vargas, realizou uma importante mudança no artigo 16 e no parágrafo único do decreto anterior nº 21576 de 27 de Junho de 1932.

O decreto 22.296 teve sua publicação realizada no Diário Oficial da União no dia 04 de Março de 1933 e na Coleção de Leis do Brasil no dia 31 de Dezembro de 1933.

Decreto 22296 e sua mudança

Antes de explicar qual foi a mudança que o decreto 22296 de 1933 fez no decreto 21.576 de 1932, é preciso relembrar sobre o diz o artigo 16 do decreto 21.576.

O Artigo 16 do decreto nº 21.576 de 1932 diz que as consignações serão pagas até o final dos respectivos prazos nas mesmas repartições que elas tiverem sido averbadas, mesmo que os consignantes a transfiram para outras repartições do mesmo Ministério.

No parágrafo único que diz que para esse fim, a repartição averbadora ficará com o crédito necessário. No entanto, ela permanecerá subordinada a entrega da consignação provando que o consignante esteve executando suas funções.

Falaremos da mudança no artigo e no parágrafo único descritos acima:

O artigo 16 e o parágrafo único do decreto anterior foram revogados, ou seja, anulados. Diante disso, passa a valer o seguinte artigo:

A entrega das consignações estabelecidas pelos funcionários em atividade, poderão ser feitas no mês a que se referirem ou no próprio mês da consignação, quando for efetivado o pagamento e não tiver nenhuma parcela a vencer.

Getúlio Vargas – O 17º presidente do Brasil

Getúlio Dornelles Vargas nasceu no dia 19 de Abril de 1882. Getúlio foi um importante advogado e político brasileiro.

Um dos seus maiores feitos foi liderar a Revolução de 1930, que também ficou conhecida como Golpe de 1930. Nessa Revolução, o Presidente da República Washington Luís foi deposto e a posse do presidente eleito Júlio Prestes foi impedida. Este foi o fim da República Velha.

Getúlio Vargas atuou na Presidência do Brasil em 2 períodos, sendo que o primeiro foi de 1930 a 1945 sem interrupções e o segundo período, que foi eleito por voto direto. Sua atuação nesse período deu-se de 1951 a 1954. Em 24 de agosto de 1954, Getúlio cometeu suicídio.

Conhecido como O Pai dos Pobres, Getúlio pensou na população criando condições de trabalho e importantes associações que até hoje estão vigentes.

Fatos importantes ocorridos no Brasil em 1933

Enquanto a Alemanha e o mundo se preparavam para enfrentar duros anos com a ditadura de Hitler, confira abaixo quais foram os principais fatos de 1933 no Brasil.

  • 03 de maio: As eleições legislativas são realizadas para a escolha da Assembléia Nacional Constituinte
  • 24 de outubro: A cidade de Goiânia, capital do estado de Goiás, é fundada
  • 15 de novembro: A Assembléia Nacional Constituinte é instalada na cidade do Rio de Janeiro

No próximo post conheceremos sobre o Decreto 312, de 3 de março de 1938.

Decreto 21576 de 1932

O Decreto 21576, de 1932, abriu possibilidades de outras classes do funcionarismo público quererem fazer um empréstimo consignado. A grande sacada foi incluir outros bens e itens além de casas e terrenos como vestimentas, alimentos e medicamentos.

O Decreto nº 21.576 teve a sua publicação na Seção 1 do Diário Oficial da União no dia 12 de Julho de 1932.

Decreto 21576 – Um avanço no consignado

No post anterior, conhecemos o Decreto 4561, de 1922. Nesse post falaremos do Decreto nº 21.576, composto por 51 artigos que descrevem uma lei mais firme com quem viola a operação de empréstimo consignado, intensificando a segurança para as partes envolvidas.

Confira abaixo o que diz o Decreto 21.576 de 27/06/1932:

Quanto as Permissões

É permitido aos funcionários públicos federais, civis ou militares, ativos ou inativos, bem como aos operários, mensalistas e diaristas da União de requererem empréstimos consignados com desconto em folha.

As consignações em folha de pagamento poderão ser usadas para pagar:

  • juros e amortização de empréstimos em espécie
  • aluguel de moradia
  • contribuição para beneficência e mensalidade de associação de classe
  • quota para adquirir mercadorias como vestuário, alimento e medicamentos
  • aquisição de casas ou terrenos
  • quotas para pagamento de educação dos filhos, quando estas forem reconhecidas pelo Governo

OBS: Não serão admitidos outros tipos de descontos na folha de pagamento, salvo para sanar dívidas com a Fazenda Nacional, fazer assinaturas no Diário Oficial ou no Diário da Justiça. Os descontos a favor dos cofres públicos terão preferência sobre qualquer outro.

Quanto aos Consignatários

Os Consignatários poderão ser:

  • Caixas Econômicas Federais autônomas e suas filiais
  • Instituto da Previdência dos Funcionários Públicos da União
  • Clube Militar
  • Clube Naval
  • Proprietários de prédio alugado ou consignado
  • Instituições de ensino reconhecidas pelo Governo

As associações de classe poderão ser constituídas por funcionários de uma única classe ou em conjunto com servidores estaduais e municipais. Nelas, as vantagens da beneficência não são só proporcionais às contribuições que foram criadas para esse fim, mas também pela idade de cada um dos serviços ou auxílios prestados.

Quanto as Consignações

As consignações serão descontadas na folha de pagamento, desde que não excedam 40% dos vencimentos. Não poderão ser averbadas consignações com prazo superior a 48 meses, salvo para aquisições de casas ou terrenos.

Fica proibida a intervenção de terceiros em assuntos referentes as consignações.

Quando o prazo tiver se esgotado sem que tenha havido interrupção dos pagamentos, será suspenso o respectivo desconto em folha. Caso haja interrupção nos pagamentos, o prazo será estendido o quanto for necessário para o pagamento das consignações.
As consignações, para serem averbadas, deverão satisfazer as seguintes condições:

Para empréstimos em dinheiro

Os requerimentos de averbação e dos contratos deverão constar:

  • Nome
  • Categoria
  • Repartição do requerente
  • Remuneração do requerente
  • Importância do empréstimo
  • Prazo do empréstimo
  • Taxa de juros
  • Valor mensal da consignação
  • Nome da instituição

Para aluguel de casa

A averbação deverá ser requerida pelo consignante e pelo consignatário, no qual deverá ser mencionado as condições de locação e as condições contratuais, se houver.

Os interessados deverão provar para a repartição averbadora que a consignação se destina para o fim descrito no contrato.

A consignação poderá ser averbada sem prazo e sua suspensão dependerá da solicitação escrita pelo consignatário e pelo consignante, simultaneamente ou somente pelo consignante que deverá provar não habitar mais na casa e estar quite com o proprietário ou fiador.

Para aquisição de mercadorias

Para aquisição de mercadorias e gêneros de primeira necessidade, todas as indicações necessárias serão requeridas pelo consignante.

Os consignatários deverão possuir local adequado para armazenar as mercadorias e seu uso deverá ser exclusivo para fornecimentos de seus associados.

Sempre que achar necessário, a Fazenda Pública poderá examinar a escrituração ou o inventário.

Dos Empréstimos e dos Juros

O pagamento dos empréstimos serão feitos por desconto em folha e os prazos poderão ser de 6 até 48 meses. As importâncias poderão variar de acordo com o prazo e serão a partir de duzentos mil réis.

Somente nos empréstimos superiores a cinco milhões de réis em que o prazo será maior do que 48 vezes para aquisição de terrenos e casa de moradia, que poderá ser exigida a garantia especial além da consignação. Essa garantia será constituída pelo seguro de vida e não poderá ser superior a 2% por ano do valor do empréstimo.

O consignante é obrigado a pagar pelos selos e despesas decorrentes do recebimento das consignações, que por algum motivo, venham a ser pagas fora do domicílio do consignatário.

Da Fiscalização

Cabe à Consultoria da Fazenda Pública fiscalizar se o presente decreto está sendo cumprido.

No exercício de fiscalização, compete ao consultor da Fazenda:

  • expedir instruções, sob a aprovação do ministro da Fazenda
  • propor ao ministro as medidas que achar necessárias para o comprimento do Decreto
  •  levar ao conhecimento do ministro irregularidades quanto ao cumprimento da lei
  • fazer a estatística anual das operações realizadas por meio de consignações em folha
  • encaminhar ao ministro da Fazenda os recursos interpostos de suas decisões

Fatos importantes ocorridos no Brasil em 1932

Em 1932, os ânimos do povo brasileiro estavam a flor da pele. Confira abaixo quais são os fatos mais marcantes de 1932:

  • 25 de janeiro: Um grande comício foi realizado na Praça da Sé, em SP que, meses depois, levaria a Revolução Constitucionalista de 1932.
  • 24 de fevereiro: O presidente Getúlio Vargas aprova o 1º código eleitoral, no qual institui o voto feminino e cria a Justiça Eleitoral do Brasil.
  • 21 de março: Getúlio Vargas assina o decreto, no qual institui a Carteira de Trabalho.
  • 09 de julho: Em São Paulo, dá-se início a Revolução Constitucionalista contra o Governo de Getúlio Vargas.
  • 23 de julho: Falece Alberto Santos Dumont, o inventor do avião e pioneiro da aviação.
  • 02 de outubro: A Revolução Constitucionalista tem o seu fim com a rendição das tropas paulistas.

No próximo post, veremos sobre o que diz o Decreto nº 22296 de 1933. Até lá!

Decreto 4561 de Epitácio Pessoa

O Decreto 4561, foi sancionado pelo presidente do Brasil Epitácio Pessoa em 21 de Agosto de 1922 e abriu as portas para o consignado em nosso país. O Governo deu esse importante passo com artigos que lhes garantisse a permanência do bem, caso o contratante não honrasse com o compromisso.

O Diário Oficial da União publicou o Decreto nº 4.561 na Seção 1 do dia 24 de Agosto de 1922, na página 16575.

Decreto 4561 – Um marco na história do Brasil

Composto por 10 artigos, o Decreto nº 4.561 de 21/08/1922 dedicou-se quase que inteiramente a falar de empréstimo consignado. Na época, a nossa moeda era o Réis.

O Governo estava interessado em emprestar dinheiro aos funcionários e operários da União com desconto em folha, pois ele não sofreria um calote caso houvesse inadimplência por parte do contratante.

Confira abaixo quais são os artigos do Decreto nº 4.561:

Artigo 1

A venda dos prédios, depois de construídos, só poderia ser efetuada mediante pagamento das prestações mensais e descontadas em folha por um período de 15 anos, sendo assim, feita a transferência da propriedade. O valor para venda de cada prédio seria o seu custo acrescido de juros e despesas.

Em caso de falecimento do funcionário ou operário da União, a dívida era repassada aos herdeiros do contratante, com o intuito que o compromisso fosse cumprido.

Artigo 2

O Governo só era autorizado a fazer empréstimos para funcionários da União que possuíssem um terreno para construção de um prédio para que pudessem residir. Dessa forma, a propriedade se tornava patrimônio público até que todas as obrigações que o contratante assumiu fossem cumpridas.

Artigo 3

O valor do empréstimo que o Governo oferecia poderia chegar em até 100 vezes o salário do funcionário da União, contanto que fosse para aquisição ou construção de uma casa, ao emitir apólices de 6% ao ano, pagos semestralmente e amortizáveis em 12 anos e 6 meses.

Artigo 4

O desconto mensal na folha de pagamento do funcionário da União será de 1% como garantia da transação, correspondente a amortização e aos juros das apólices recebidas do terrenos e mencionadas no artigo anterior.

Artigo 5

A casa adquirida ou construída, será inaliável, ou seja, será um bem do funcionário e de sua família.

Artigo 6

Todos os impostos e taxas que o prédio estiver sujeito por lei e pelos regulamentos deverão ser pagos pelo contratante.

Artigo 7

O funcionário poderá adquirir e construir uma casa com valor superior ao seu empréstimo.

Artigo 8

A amortização do empréstimo poderá ser antecipada.

Artigo 9

O Poder Executivo fica autorizado a realizar a operação de crédito de até 30.000, cujos títulos deverão ser resgatados no prazo de 20 anos. O Poder Executivo também está autorizado a ceder terrenos de sua propriedade em boas condições ou razoáveis para instalações que facilitem as construções.

Artigo 10

Toda e qualquer disposição contrária será revogada.

Quem foi Epitácio Pessoa?

Nascido em 1865, no município de Umbuzeiro, pertencente ao estado da Paraíba, Epitácio Lindolfo da Silva Pessoa foi um político, diplomata, professor de direito, jurista e presidente do Brasil de 1919 a 1922.

Antes de se tornar presidente da República, Epitácio ocupou importantes cargos, sendo Ministro da Justiça no período de 1898 a 1901, Procurador Geral da República no período de 1902 a 1905, Ministro do Supremo Tribunal Federal no período de 1902 a 1912, entre outros.
Confira abaixo, alguns fatos marcantes durante a presidência de Epitácio Pessoa:

  • Criação da Universidade do Rio de Janeiro.
  • Inauguração da primeira estação de rádio do Brasil.
  • Vitória na Revolta dos 18 do Forte, em Copacabana, Rio de Janeiro.
  • Realização de obras para combater a seca na Região Nordeste.
  • Construção de mais de 200 açudes no Nordeste. Essa é considerada a maior obra do seu governo.

Dados históricos de 1922

Veja abaixo algumas curiosidades que ocorreram no Brasil no ano de 1922:

  • 27 de janeiro: Um terremoto de 5.1 na escala Richter atinge a cidade de Mogi-Guaçu, localizada no estado de SP.
  • 11 a 18 de fevereiro: No Teatro Municipal de São Paulo, é realizada a semana da arte moderna.
  • 01 de março: Ocorre a eleição para presidente no Brasil.
  • 01 de julho: O presidente Epitácio Pessoa fecha o Clube Militar, localizado na cidade do Rio de Janeiro.
  • 02 de julho: O presidente Epitácio Pessoa decreta a prisão do ex-presidente Marechal Hermes da Fonseca.
  • 05 de julho: A Revolta dos 18 dos jovens oficiais tenentes contra o presidente Epitácio Pessoa é iniciada.
  • 06 de agosto: Epitácio Pessoa assina o decreto oficializando a letra do Hino Nacional Brasileiro, composta por Osório Duque Estrada.
  • 15 de novembro: Artur Bernardes assume a presidência do Brasil.

Dicas de cadeira com rodinhas

No cuidado de uma pessoa, acamada, com necessidades especiais, ou com alguma limitação física, sempre utilizamos cadeira de rodas, mais as vezes no cuidado diário é preciso adaptações, para tornar prático o cuidado e a locomoção da pessoa. Por isso compartilho com vocês da Dica da Cadeira com rodinhas em um super vídeo lá no Canal Rê Galacci, e aqui também é claro!

Colocar rodinhas nas cadeiras de área ou de corda como chamam, traz sem dúvida muita praticidade na locomoção da pessoa que cuidamos. Mais é importante lembrar que elas não substituem a função da cadeira de rodas, apenas serve para complementar no cuidado.

Gosto sempre de frisar que essas e quaisquer outras adaptações realizadas para trazer praticidade e conforto no cuidado, devem ser realizadas com materiais de qualidade e mão de obra qualificada, para que “não saia mais caro o molho do que o peixe”.

É de suma importância avaliar o peso da pessoa, a estrutura da cadeira, e também das rodinhas, assim podemos garantir e evitar qualquer imprevisto e acidente (tombo/queda) da pessoa que esteja utilizando a cadeira, e de que ninguém se machuque.

Outra coisa importantíssima é de que durante a instalação, seja efetuadas ações de reforço, tanto na instalação das rodinhas, quanto nas “pernas” da cadeira.

Essas adaptações também podem ser feita naquelas “poltronas do papai”, LEMBRANDO apenas da importância de avaliar as condições da cadeira e se a instalação de rodinhas irá atender as suas necessidades.

No vídeo demonstro como ficou a cadeira da Diow, e também as rodinhas que utilizei e média de valores, mais o segredo é sempre buscar segurança e qualidade nas adaptações e entender a função e necessidade de cada item no cuidado!

Ah a mudança de decúbito é de suma importância no cuidado, por isso devemos estar sempre atentos às famosas ulceras por pressão, aquelas “feridinhas” que aparecem na pele devido ao longo tempo de permanência na mesma posição. Mais esse assunto trataremos em breve em outro vídeo e matéria.

Gostou dessa super dica? Me diz nos comentários, e também compartilhe a sua dica aqui com a gente!

Ah e não se esqueça de dar uma passadinha nas minhas redes sociais vou deixar aqui para vocês é só clicar e conferir!

Um abraço, e até a próxima,

Rê Galacci

Saúde Ocular

A dica da semana é a prevenção em todas as idades e em todos os sentidos. Afinal, como sempre diz a minha avó, é melhor prevenir do que remediar!

E por isso tive a oportunidade de ter um super bate papo com o Dr. Paulo Igor que esclareceu várias dúvidas e mitos em um super vídeo! Mais é claro que vou compartilhar um pouquinho dessa super entrevista aqui com vocês!

Saúde ocular – Previna-se

Durante o bate papo perguntei ao Dr. Paulo sobre a famosa Catarata e ele esclareceu que, quando diagnosticada no inicio, o paciente pode nem ter queixas e que, para a cirurgia, deverá ser avaliada a necessidade e momento.

Para quem não sabe catarata é uma doença ocular, com prevalência em pessoas acima de 60 anos. A SBO – Sociedade Brasileira de Oftalmolgia, traz uma matéria disponível aqui, que alerta para 3 (três) dos mais graves problemas visuais, que podem levar a cegueira após os 60 anos, sendo eles:

  • Catarata
  • Glaucoma
  • Degeneração Macular Relacionada a Idade (DMRI)

Nesta matéria destaca ainda que a Catarata é a única reversível que através da cirurgia. O Glaucoma e a DMRI, não têm cura, mas têm controle e tratamento.

Durante a entrevista perguntei ao Dr. Paulo, uma dica sob um olhar de um médico oftalmologista, e ele traz uma dica simples “Prevenção é importante em qualquer idade” “Todos devem se cuidar”. Veja o vídeo abaixo:

Consulte periodicamente um oftalmologista

É importante consultamos um oftalmologista periodicamente, e alinhamos com ele um plano de acompanhamento, e claro, além disso, fazer uso de óculos de sol que garantam e assegure a proteção necessária, chapéus, bonés, alimentação saudável, hidratação, protetor solar, enfim todos aqueles hábitos saudáveis que sempre vemos, e que na maioria das vezes caímos na rotina e esquecemos de aplicar.

Durante a entrevista, falamos também sobre os equipamentos de proteção, ou seja, óculos de proteção para o trabalho, e sim, uma das causas de acidentes de trabalho mais comum é porque o colaborador não estava utilizando o equipamento de proteção, e isso pode trazer danos irreversíveis a visão e também deixar sequelas.

Os óculos de proteção devem ser utilizados na manipulação de objetos, soldas, produtos, e toda a empresa que apresente risco deve disponibilizar e exigir o uso do equipamento.

Outra dica muito importante é de que nem sempre o meu problema vai evoluir igualzinho ao meu colega, vizinho, por isso cada pessoa deve receber o tratamento personalizado, e após a avaliação de um médico oftalmologista.

Muitas vezes vemos pessoas realizando “remédios caseiros”, e isso pode agravar ainda mais o problema.

Por isso, antes de sair tomando remédios por conta, ou porque foi bom para o vizinho, vamos antes identificar qual é o melhor tratamento e medicamento indicado para o nosso problema.

É como eu sempre digo, temos que sempre observar e respeitar a individualidade e particularidade de cada pessoa, as vezes pode ser muito bom para mim, mais isso não significa que dará certo para você!

regalacci

E ai, me diz se gostou desta matéria, e corre lá no Canal Rê Galacci, assistir essa super entrevista, porque o Dr. Paulo esclareceu muitas dúvidas e mitos.

Um abraço, Rê Galacci.

Quem tem direito a isenção do IPVA?

O IPVA (Imposto sobre a Propriedade de Veículos Automotores) é obrigatório e todos os proprietários de veículos sabem dessa informação. O seu não pagamento implica em multas, acréscimo no valor original e ilegalidade de circulação.

No entanto, alguns proprietários não são considerados contribuintes, pois têm o benefício da isenção do IPVA. A organização e as regras se diferem em cada estado brasileiro.

Precisando de Empréstimo Consignado?

Entenda como funciona o IPVA

Válido em todos os estados do país, o IPVA é um imposto que incide sobre veículos automotores. Sendo de qualquer modalidade ou uso, desde carros de passeio até caminhões de transporte de carga.

O órgão responsável por administrar e organizar o funcionamento do imposto, é a Secretaria Estadual da Fazenda. E para cada região há leis que determinam a cobrança e demais burocracias sobre o imposto, inclusive quem tem direito a isenção do mesmo.

A base de cálculo para a definição do valor é a nível nacional. O valor venal do veículo, estipulado pela tabela FIPE, deve ser multiplicado por uma alíquota instituída pela Secretaria da Fazenda. O resultado da expressão é o valor do imposto.

O pagamento pode ser em cota única e, neste caso, alguns estados possibilitam descontos.

No IPVA RJ, por exemplo, o desconto é de 3%. Outra opção é o parcelamento do valor original, que normalmente são de 3 a 10 parcelas. Neste caso, sem a concessão de desconto.

Isenção do IPVA

Todo valor arrecadado com o imposto deve ser revertido aos cofres estaduais e ao município em que o veículo foi emplacado. O objetivo é que o dinheiro se transforme em investimento aos setores básicos de atendimento ao público.

No entanto, algumas pessoas não precisam se tornar contribuintes e não auxiliam nessa arrecadação. Cada estado instituí quais perfis de proprietários não precisarão pagar o IPVA 2019. De um modo geral, quem tem direito a isenção em praticamente todos os estados são:

  • Idosos: acima de 65 anos que apresentem mobilidade reduzida;
  • Pessoas com deficiência mental, física, visual ou autismo;
  • Veículos em nome de entidades filantrópicas;
  • Doentes em estágio severo.

Vale consultar a legislação de cada estado para ter informações específicas.

Como requerer a isenção?

Se a ideia é fazer valer a lei, os interessados, ou seus representantes legais devem comparecer até um posto autorizado da Secretaria da Fazenda levando documentos que comprovem a condição de beneficiário. Como laudo médico, declarações e etc. A requisição é gratuita.

Na maioria das legislações cabe isenção para apenas 1 veículo em nome da pessoa que atende as condições do benefício.

Embora este grupo de cidadãos não precisem contribuir com o IPVA, é importante lembrar que existem outros gastos com o carro. Por exemplo, o seguro automotivo, que por se tratar de um serviço particular não deixa de cobrar pela cobertura.

Então, fique bem atento às suas finanças!

Reajuste Salarial SIAPE

Após a divulgação do governo em relação ao reajuste Salarial SIAPE para os servidores Federais, muito se tem comentado e muitos servidores ficaram confusos em relação se irão ou não ter direito.

O reajuste será de 6,35% para aposentados e pensionistas e 4,35% para ativos. Atenção: o Reajuste Salarial NÃO será para todos.

Reajuste Salarial SIAPE uma Realidade?

Meus queridos amigos e clientes, queria muito dizer que SIM, mas infelizmente somente algumas categorias serão atendidas. A verdade é que o setor de forma geral tem sofrido com a falta de reajuste e quando dada não cobre a inflação do período. Mesmo com a inflação estável, os anos sem o reajuste adequado tem feito a categoria agonizar enquanto esperam melhores condições.

A sociedade como um todo em fase de afirmações do governo em relação aos gastos públicos tomaram partido contra os servidores, mas ninguém, ou até agora ninguém quis escutar o lado dos servidores públicos.

Servidores, comentem em nosso blog logo mais abaixo e deixe claro sua posição. Este canal é para isso.

Questões a serem observadas

Na minha percepção, apesar de eu não ser servidor público, é que apesar de uma aparente estabilidade, existem questões que deveriam ser observadas pela população em Geral:

  • Falta de condições de Trabalho
  • Stress permanente
  • Seu trabalho não é valorizado
  • Sem reajuste Salarial anual
  • Sem plano de Carreira

O servidor Federal tem utilizado o empréstimo consignado como uma alternativa para se ver livre de dívidas, mas esse artifício deveria ser utilizado somente em casos de emergência.

Considerações

Aos meus 20 anos de contato com servidores públicos já me foi confidenciado desde de agressão a professores, corte de energia em órgão público por falta de pagamento, stress por pressão, nenhuma valorização profissional.

Fora que não existe dissídio para o setor, ou seja, enquanto a iniciativa privada tem um sindicato que obriga a empresa reajustar o salário de seus empregados o governo reajusta quando quer e o quanto quiser.

A grande maioria dos servidores ganham mal, existem as exceções sim, mas a grande maioria são mal remunerados e não têm nenhum incentivo para sua dedicação em anos de serviço público.

Jogar a culpa dos gastos públicos nos servidores é no mínimo uma covardia.

Dicas de calçados com Rê Galacci

Todo mundo gosta de estar bem vestido e bem calçado, não é verdade? Mas, claro que o conforto e segurança também são fundamentais. E eu vou te mostrar que é possível estar bonito, elegante, seguro e confortável com as dicas que utilizamos lá em casa.

A primeira dica você tem que respeitar as suas limitações e estilo, ou de quem você cuida.

É muito importante não se arriscar em modelos que você não esta acostumado, pois pode além de não se sentir bem, pode acontecer machucados, mau jeito, queda, enfim podemos evitar muitos desconfortos.

Dicas de calçados – Prefira os flexíveis

Uma dica bem legal é você procurar por calçados mais flexíveis, que se ajustam melhor no formato do pé. Vou citar algumas marcas mais conhecidas para você ter como referencia ou até mesmo busca-las na hora da compra como moleca, usaflex, piccadilly, anatomic gel, dentre outras marcas.

Hoje podemos encontrar no mercado diversos produtos, diversas marcas, e isso é muito bom porque nos permite escolher o que se adapta melhor nos pés e bolso!

Outra dica super importante é observar o solado do calçado, porque ele pode ser muito macio, confortável e lindo. Mas, se o solado for liso, isso é um grande perigo relacionado a queda. Sempre quando for comprar um calçado observe se ele possui um solado antiderrapante, assim você terá além de beleza e conforto segurança no calçado.

Parece uma coisa simples, mais na minha experiência eu percebo que sempre passa batido na hora da compra.

Conforto é tudo

Mas Rê, o que devo observar para garantir que o calçado é confortável?

Bom, primeiro verificar a estrutura interna do calçado. Normalmente ele tem um tecido de revestimento interno e, ao toca-lo, você percebe fofinho, e que em contato com o a pele não agride.

Gosto muito de frisar os pontos que devemos procurar conforto e afastar bolhas e machucadinhos nos pés, que são eles, calcanhar, lateral dos pés, largura dos pés, altura do “peito do pé”, e o comprimento, claro. Na verdade, todo detalhe faz a diferença, pois isso observar todo o pé é fundamental.

Quanto ao calcanhar é sempre importante observar principalmente para idosos e crianças a profundidade, para evitar que o pé fique saindo, e não se encaixe direito.

Gosto sempre de frisar que para nossos idosos o calçado deve ficar firme no pé, porém deve estar confortável.

Chinelos, sandálias e rasteirinhas

E vamos aos chinelos, sandálias e rasteirinhas, super fresquinhos e a cara do verão! Nestes modelos devemos observar sempre o meio do dedo, donde fica a tirinha do chinelo, sandália ou rasteira, pois dependendo do material em contato com a pele e neste calor pode assar entre os dedos.

Por isso, é importante sempre estarmos atentos principalmente aos nossos idosos, e aqueles acometidos por algum tipo de doença, como a Diow (minha sogra), que nem sempre vão falar. E para esses modelos devemos observar muito a dica da altura do “peito do pé”, pois as correias as tiras da sandália, rasteira ou do chinelo podem ser estreitas ou baixas para o pé, e apertar ocasionando desconforto.

Gravei um vídeo super dinâmico demonstrando essas dicas. Se você quiser ver os modelos e a explicação prática, é só assistir o vídeo:

Bom e se você estiver ai pensando Rê eu tenho um calçado, ou seu pai, mãe, ou a pessoa que você cuida tem um calçado super confortável, lindo que ama, mais o solado é liso, vou ter que desfazer dele?

Super dica

Leve este calçado no seu sapateiro de confiança e veja se há possibilidade em emborrachar o solado, e torna-lo um calçado antiderrapante. Eu já fiz isso em vários calçados e deu super certo e, além do custo de emborrachar não ser alto, ainda economizei em uma compra e não desfiz de um calçado que gosto muito.

E vamos aos tênis, além da maioria deles serem confortáveis traz looks mais despojados, mas também devemos observar alguns detalhes como já mencionados, além é claro do cadarço. Isso pode ser um fator de risco de queda para alguns idosos, pois o cadarço pode se soltar o idoso não perceber e se enroscar, tropeçar e se machucar.

Para isso, temos hoje diversos modelos super práticos apenas de calçar os pés e alguns até tem cadarços apenas decorativos, que facilitam a nossa vida e dos nossos idosos.

Sempre devemos lembrar que cada um possui a sua limitação e necessidade e, por isso, gosto muito de frisar as dicas são gerais e devemos sempre adapta-las para a nossa realidade e necessidade.

Bom eram essas as nossas dicas, espero que vocês gostem e que possam compartilhar nos comentários outras dicas ou experiências.

Um abraço, Rê Galacci.

Bate papo com o Reumatologista

Hoje vamos falar um pouco sobre a Reumatologia, uma especialidade médica que trata diversas doenças reumáticas. E você já deve ter ouvido falar assim: Reumatismo é doença de pessoa mais velha”. Saiba que isso é um mito.

Hoje em dia já existe uma área da medicina que se chama Reumatologia Pediátrica. Essa área trata apenas de doenças reumáticas que acometem crianças.

Como nosso foco é a pessoa adulta (cuidador/familiar) e idosos, vamos abordar um pouco do super bate papo que tive com o Dr. Osmar Sigueoka, médico reumatologista, em um vídeo super especial disponível abaixo.

Dr. Osmar – Reumatologista

Neste bate papo, Dr. Osmar (Reumatologista)  esclareceu que hoje existem mais de 200 tipos de reumatismo. Algumas doenças tratadas pela reumatologia são: tendinite, bursite, osteoporose, artrose, artrite reumatoide, dentre outras.

Ele disse que algumas doenças possuem comprometimento sistêmico do paciente, assim como o Lúpus, dentre outras diversas doenças. Esclareceu ainda que as doenças reumatológicas possuem diversas complexidades e que também podem acometer desde de crianças, adultos jovens e idosos.

Conversamos ainda sobre a importância no diagnóstico precoce dentro da reumatologia, mais também em qualquer área da saúde. Diagnóstico precoce de qualquer doença, influencia muito no bem-estar e qualidade de vida que será proporcionado ao paciente. Quanto antes diagnosticado, antes o paciente será tratado e até é possível em alguns casos retardar a evolução da Doença.

Durante o bate papo chegamos mais uma vez a conclusão que hábitos saudáveis, como uma boa alimentação, ingestão de líquidos e atividades físicas também contribuem em qualquer tratamento. Confira o vídeo da entrevista abaixo:

Observe as Limitações

O que deve ser observado e respeitado as limitações de cada doença e paciente acometido por ela, e sempre é claro ser acompanhado por profissionais capacitados para orientação e execução das atividades.

Um exemplo de doença que traz limitações é a artrose, que além da dor, a pessoa acometida começa a ter limitações, onde sentar e levantar de lugares muito baixos, tornam-se difícil, e dependendo do lugar acometido pela artrose, como joelho ou quadril, também podem atrapalhar na marcha.

Por isso, a importância em observar, diagnosticar, e traçar conduta médica adequada e para atividades físicas sempre ter o papel do seu médico de confiança, fisioterapeuta e educador físico com experiência nestes casos. Assim, evitamos complicações e temos um tratamento personalizado ao paciente, atingindo nosso objetivo que é qualidade de vida.

Adesão do paciente

Um outro ponto muito importante que abordamos foi sobre a adesão do paciente ao tratamento. Nos casos de doenças crônicas o paciente deve tomar medicações para o resto da vida. Nem todo mundo gosta de tomar medicamentos. Além disso, deve consultar o seu médico regularmente, e também incluir todas as orientações médicas em sua rotina.

Mais isso é fundamental para que o paciente não tenha crises, e não se torne um paciente agudizado, ou seja, a não adesão ao tratamento, promove complicações e as vezes até a evolução da doença.

Por isso, é de suma importância se você é cuidado ou se você cuida de alguém que observe todas as orientações médicas e que as medicações sejam administradas de forma adequada atendendo as prescrições médicas.

Viu só como hábitos saudáveis, organização, planejamento e disciplina são fundamentais para mantermos nossa saúde em dia, e claro né, o lazer também faz parte do cuidado!

O Dr. Osmar possui uma página no Face Book, e toda terça –feira as 11 horas, transmite ao vivo, diversos assuntos e entrevistas voltadas a saúde, comunidade, meio ambiente, enfim assuntos importantes para a sociedade atual.

Me diz o que achou desse super bate papo, deixe nos comentários a sua opinião, experiência ou até mesmo sugestões de temas, para trazermos aqui!

INSS faz Mudança nas Regras do Consignado

O INSS muda as regras no empréstimo consignado através da Instrução normativa nº 100, o objetivo é “ter um controle mais rígido sobre a modalidade de empréstimos, combater as fraudes e o assédio comercial de bancos e financeiras aos segurados”.

Mudança as Regras

A partir de 90 dias todo segurado que começar a receber seu benefício terá a carência de 6 meses para poder contratar qualquer tipo de empréstimo consignado e ou cartão de crédito consignado, e só poderá realizar qualquer tipo de operação de crédito após o prazo de carência. O INSS faz Mudança para oferecer maior segurança!

No normativo o INSS informa que o desbloqueio será realizado através de um canal eletrônico que deverá conter o documento de identificação do segurado, um termo de autorização digitalizado.

Tentamos contato com o INSS para obter respostas sobre detalhes do desbloqueio mas até o fechamento deste artigo não obtivemos respostas. Uma pena Mesmo!

A preocupação do INSS é o assédio desmedido das instituições financeiras para os beneficiários que acabam de receber seus benefícios, INSS faz Mudança nas regras para garantir que isso não ocorra.

Não é raro o beneficiário do INSS antes de mesmo de começar a receber seu primeiro pagamento já estar recebendo ligações, comunicados via correio ou no ato da abertura de sua conta benefício já ser assediado.

Ao introduzir seu cartão de benefício muitas instituições financeiras utilizam como meio de abordagem uma informação no Caixa Eletrônico sobre “Limites Aprovados para Empréstimo”, tais ações também serão inibidas por esta mudança nas regras.

Recomendamos que o Beneficiário faça pesquisas em diversas instituições antes de tomar a decisão de contratar um empréstimo consignado e que o faça somente em caso de urgência.

Outra ocorrência bastante comum é a fraude a beneficiários que acabam de receber seus benefícios.

Quadrilhas especializadas utilizam da falta de atenção do beneficiário que devido a falta de informação ou por não saber como proceder ao receber seu primeiro pagamento para ir na frente do segurado, abrir uma conta bancária, transferir o benefício e fazer empréstimos.

O Segurado muitas vezes que fica aguardando cair na conta o dinheiro, ou ir buscar na agência bancária acaba se surpreendendo com o golpe, ou seja, além de ter que provar que não fez o empréstimo, ainda tem uma conta aberta em seu nome.

Em nosso entendimento as mudanças são bem vindas, o empréstimo consignado depende de legislação, segurança, diretrizes e condição econômica para sua manutenção.

Função do INSS

No passado a falta de controle sobre o empréstimo consignado culminou em desastres históricos e até conflitos, o INSS está certíssimo em criar um controle mais rígido sobre o assunto.

O INSS tem como principal objetivo proteger seus segurados, e não administrar empréstimos, o artifício do crédito mais barato por uma linha de crédito com desconto em folha é um benefício estendido a todos os beneficiários do INSS que tem se mostrado muito eficaz dentro do contexto financeiro, mas nunca e nem deve ser o foco principal do benefício concedido.

Lembre-se que ter crédito é muito importante, mas saber utilizar, quando e como é mais importante ainda, por este motivo o portal consignados se esforça diariamente em criar matérias relacionadas com o crédito consciente.

Instituições Financeiras e suas Responsabilidade

Uma Instituição financeira visa apenas lucros, disso todo mundo já sabe, deixar vontade para fazer o que bem entender sem nenhuma punição é que até o momento existia no INSS.

Pode acreditar, existem muitas instituições Financeiras que não cumprem o estabelecido pelo INSS, quer um exemplo clássico e atual? Portabilidade, Cartão de crédito consignado, prazos na liberação, averbações sem ao menos o cliente ter conhecimento e aí vai.

Todos os dias recebemos no portal consignados reclamações de clientes das mais diversas naturezas, o pior é que a maioria delas tem fundamento.

Com a nova Instrução normativa Nº 100 o INSS promete punir, multar e até suspender a instituição que sair da linha. Vale acompanhar para ver se realmente isso vai acontecer mesmo.

Os problemas gerados pelas instituições financeiras geram um custo extraordinário para os cofres públicos, que convenhamos já não está com essa bola toda não é mesmo?

Por essa e por outras o INSS está batendo o pé para que os custos operacionais gerados, tanto na resolução de problemas como a operação de empréstimo consignado como um todo seja ressarcida por parte dos Bancos.

Enteda o processo de Averbação junto ao INSS

Todos os dias milhares de pedidos são realizados ao INSS para sua análise e autorização, a chamada “Averbação”, entenda o processo:

  • Transmissão
  • Análise
  • Averbação
  • Atualização da folha de Pagamento
  • Devolução da Transmissão
  • Gestão dos Contratos

Quando você solicita um empréstimo junto ao INSS, é realizado uma Transmissão de dados, uma espécie de planilha é enviada com os dados básicos do segurado.

Este arquivo é Analisado pelo INSS, onde se verifica além de outras coisas, se a parcela está dentro do comprometimento de renda permitido dos 35% (sendo 30% para empréstimos e 5% para cartões de crédito),se a conta informada é a mesma a qual se recebe o benefício, se o Segurado do INSS recebe um benefício consignável e etc.

Uma vez aprovado a parcela é acrescentada às despesas do segurado, sendo incluída para atualização da folha de pagamento.

Atendendo os critérios de aprovação junto ao INSS ou não, este arquivo é re-transmitido a Instituição financeira, a qual deverá continuar com a contratação ou não.

O INSS é responsável também pela Gestão dos contratos de consignação e tem a responsabilidade de prestar o respaldo jurídico e administrativo necessário para que o Segurado não seja lesado.

São pelo menos 6 etapas que fogem do fluxo de trabalho do INSS e geram toda a demanda que mencionamos acima e ainda mais algumas que fazem parte da rotina do INSS junto a instituições financeiras.

Por essas e por outras que se faz jus SIM, cobrar um valor mesmo que simbólico por tal tarefa, e rentabilizar assim o INSS o que estaria ajudando a amenizar os custos.

Dinheiro pouco meus caros leitores, apenas R$ 127 milhões seria o valor a ser restituído ao INSS pelas instituições financeiras por todo o trabalho realizado além de custos obtidos pela manutenção do empréstimo consignado.

O último relatório do INSS informa que a média dos benefícios pagos ao INSS é de R$ 1.200,00, ou seja, se dividir R$ 1.200,00 por 127 milhões, teríamos mais de 105 mil segurados cobertos, só com esse dinheiro.

Está faltando dinheiro?

Me ajuda ai vai? Enquanto a previdência agoniza, vê seus direitos cada vez mais reduzidos, e para as novas gerações cada vez mais longe de uma aposentadoria, à Instituição financeira que cresceu menos durante a crise cresceu 50% não seria justo as instituições contribuir uma vez que existe uma indústria do crédito?

O fato é que o setor explora a atividade institucional do INSS sem contribuir, e ainda gerando ônus administrativo e jurídico, contudo, a nova gestão tem demonstrado um viés mais profissional, imparcial e colaborativo.

Ao longo dos anos através de informes e demonstrativos financeiros o INSS tem avançado de forma significativa, o que faltava para um ajuste mais profundo era uma administração no executivo mais profissional sem viés ideológico e partidário.

Nós do portal consignados torcemos muito para que o Brasil se recupere dessa crise institucional que vivemos atualmente, ações desta natureza demonstram um esforço neste sentido e reforçam nossas esperanças.

Reajuste do Salário Mínimo em 2019

Reajuste do Salário Mínimo em 2019 e o Governo confirma o Reajuste do salário mínimo de 2019.

Através do decreto nº 9.661, de 1º de Janeiro de 2019 o governo regulamenta a Lei nº 13.152 que trata além de outras coisas a política de valorização do salário mínimo a longo prazo.

O salário mínimo passa a valer R$ 998,00 (novecentos e noventa e oito reais).

Um pouco abaixo dos dos R$ 1.006,00 (Hum mil e seis reais) que estava previsto conforme orçamento previsto pela União, e um pouco acima dos 4,32% que é o índice da inflação em 2018.

Para 2019 as categorias que tem como base sua atualização salarial através do salário mínimo podem esperar uma estagnação econômica, uma vez que sua renda teve apenas a correção inflacionária do período.

Os aposentados e pensionistas do INSS que recebem até um salário mínimo com o reajuste salarial em 2019 tem se mostrado descontentes com a atual política de reajustes dos últimos anos.

Novo Governo x Grandes Cortes

O novo governo tem grandes desafios com os cortes em gastos públicos, e muitas mudanças vem pela frente ainda, quem está animado com a troca de presidente fique ciente que a bagunça deixada pelos governos anteriores vai cobrar seu preço.

Pelo reajuste abaixo do previsto pela União já se pode notar que a conta chegou, e agora somos nós que vamo ter que pagar essa conta.

Algumas medidas anunciadas pelo INSS já demonstram que muitos órgãos vão ter que se ajustar e começar a cortar gastos.

Com o orçamento mais justo o INSS promete fazer valer a lei 10.820 que determina que o custo que o INSS tem para operacionalizar o desconto em folha seja ressarcido pelos bancos.

No meu entendimento é mais do que justo que isso aconteça, os Bancos promovem um perfeito balcão de negócios em cima das aposentadorias e pensões, nada mais justo que cobrar por isso.

Se pudesse sugerir ao INSS alguma mudança neste sentido, iria sugerir a implantação de um sistema para apuração de margem consignável, saldo devedor e informações sobre contratos em andamento, aos quais cada usuário devesse pagar pelo acesso. Somente instituições financeiras, agentes certificados poderiam ter acesso através de biometria.

Com essa medida além de acabar com a indústria de consultas o INSS uma receita milhões de Reais todos os meses que ajudaria a pagar diversos benefícios.

Outro caráter importante na individualização da consulta seria ter o registro da consulta, ou seja, seria impossível empresas que fazem uma abordagem abusiva a aposentados e pensionistas consultar em lote milhares de benefícios de uma só vez. Oferecendo mais segurança ao aposentado e pensionista do INSS.

Atualmente existem sistemas de consulta que fazem este tipo de trabalho e nem sempre estão nas mãos somente de profissionais certificados e sim de quadrilhas especializadas e fraudar o aposentado ou Pensionista.

Quem sabe com políticas desta natureza que é o que a atual gestão aponta, o INSS comece a rentabilizar mais e promover maiores reajustes a aposentados e pensionistas do INSS que tem como sua única fonte de renda sua aposentadoria e ou pensão.

Quer saber quais foram as mudanças promovidas pelo INSS para 2019? Clique aqui para ficar por dentro.

Como organizar as despesas

Todo mundo sabe, ou pelo menos já ouviu dizer que o cuidado, além de tomar tempo, atenção, amor e carinho, também possui um investimento alto. Existem momentos nos quais é preciso saber priorizar as despesas, como por exemplo medicamento, cuidador, alimentação diferenciada, profissionais da área da saúde, entre outras.

Enfim, uma infinidade de opções para manter a qualidade de vida e conforto. Mas tudo isso tem um custo, certo? Contudo, basta falar alguns itens que logo pensamos que é muita coisa. Calma que eu vou te dar algumas dicas que utilizo e que me ajudam a priorizar, a organizar e a manter as contas sempre em dia.

Dicas para organizar despesas

Veja abaixo dicas onde consigo deixar a rotina da minha sogra Diow bem estruturada promovendo conforto e qualidade no cuidado. O bem-estar dela é o maior objetivo da minha família. Então vamos lá para as super dicas.

  • Você precisa saber QUAL É A SUA RECEITA e quanto você tem disponível. Parece simples, mas a maioria das pessoas não é.  A grande maioria não se dá conta que é de suma importância este pequeno detalhe. Devemos saber o quanto que temos para gastar, para que consigamos oferecer conforto em qualquer situação.
  • Depois você deve separar quais são as suas “DESPESAS ESSENCIAIS.” Eu gosto de chamar assim, pois são aquelas despesas de prioridade máxima, ou seja, não podemos ficar sem de forma alguma, como por exemplo, medicamentos, fraldas, dentre outras despesas que você considera importante.
  • Logo após, vêm as “DESPESAS FIXAS”, que são as despesas mensais da casa e que temos que mantê-las também em dia se não nada funciona. Como por exemplo: água, energia elétrica, supermercado, ou seja, o que precisamos para manter a casa em ordem e em bom estado para o cuidado do idoso e para os demais integrantes da casa.
  • É importante destacar que imprevistos acontecem e que podemos ser pegos de surpresa com alguma despesa não contabilizada. Contudo, para evitar surpresas, gosto muito de trabalhar com uma provisão que costumo chamar de “DESPESAS DIVERSAS”.

Dica especial

Uma dica muito especial é a de contabilizar tudo que recebe e tudo que gasta. Na minha experiência, essa é a maior resistência da família. Contudo, é de suma importância que ela seja feita. Esse processo de anotar e guardar as notas fiscais, além de te ajudar e identificar quais são as despesas, como por exemplo o que saiu fora do padrão no mês ou em um determinado período, oferece controle total das finanças/despesas. É um subsídio que te ajuda a prestar contas aos demais membros da família, caso seja necessário.

Dessa forma,  você consegue comprovar onde gastou e com o que gastou, deixando claro para os demais membros da família que não acompanha o cuidado diário quais são as necessidades e como você vem administrando. No entanto, além de te ajudar na análise das despesas e receitas e na prestação de contas, você consegue demonstrar e pedir ajuda para alguém próximo ou da família. Peça ajuda para identificar as divergências ou inconsistências, pois fica muito mais claro e fácil.

Tem um super vídeo, onde compartilho essas mesmas dicas para vocês.

E lá vai mais uma dica:

Para os medicamentos e fraldas, em algumas marcas você consegue um desconto, pois alguns fabricantes oferecem. Então procure se informar através do SAC – Serviço de Atendimento ao Cliente, 0800 de cada produto que você utiliza. Quem sabe você consegue um desconto e assim, diminua um pouco suas despesas.
Estas são dicas simples e muito fáceis de aplicar, mas que passam despercebidas na correria do dia em meio de tantas informações que temos durante nosso papel de cuidador.

Dicas para organizar a rotina do idoso ou de uma pessoa acamada

As vezes parece que o dia deveria ter 48 horas para dar tempo de fazermos todas as nossas tarefas e nos organizarmos melhor na nossa rotina. Todavia, como a ideia aqui é compartilhar experiências, eu separei algumas dicas que são infalíveis no cuidado diário com a Diow (minha sogra). Essas dicas nos auxiliam muito diariamente.

Hoje em dia, principalmente nós, mulheres, exercemos diversas tarefas. Eu, por exemplo, trabalho fora de casa, cuido da casa, do maridão, da sogrona, e ainda faço uns extras. Contudo, para dar conta de tudo isso, é imprescindível que eu tenha uma ótima organização. No entanto, como a Diow é a prioridade lá em casa, organizar a rotina dela é fundamental. Contudo, se ela não estiver bem, tudo sairá do controle.

Dicas de como organizar a rotina do idoso

As dicas que vou compartilhar são para o cuidado diário, e você pode adaptar na sua rotina da melhor forma para atender a sua necessidade. Veja o vídeo abaixo contendo 10 dicas que realmente funcionam:

Bom, então vamos lá:

É muito importante que você tenha em mãos papel e caneta, pois vamos anotar tudo que faz parte da sua rotina diária. Esses dados são muito importantes para criarmos um cronograma.
Neste papel, anote todas as atividades e compromissos para a pessoa acamada. É muito importante anotar tudo como por exemplo horário dos banhos, café, medicações, almoço, se realiza terapias, etc. Enfim, tudo que vocês realizam todos os dias da semana.

É importante também, durante a distribuição das atividades, estabelecer os horários e também compactuar com todos os integrantes da casa e com os profissionais que fazem parte dessa rotina. Assim, não acontecerão conflitos de horários e tudo fluirá harmoniosamente.

Insira atividades não previstas

Nos intervalos lá em casa, gostamos de inserir atividades que não estão previstas, como por exemplo uma massagem relaxante, atividade física, leitura, música, arte, etc. Terá que ser algo que a pessoa goste e se sinta bem para poder descontrair. Deverá ser algo não programado para não virar uma rotina maçante.

Contudo, nessa distribuição das atividades, você deverá seguir todas as orientações dos profissionais que te acompanham. Ex: Horários das medicações e dos exercícios. Tudo deverá ser feito com afinco para atender as necessidades da pessoa que estamos cuidando e promover qualidade de vida, o que é fundamental.

É de suma importância também você comunicar tudo que está acontecendo durante essa rotina, principalmente para uma pessoa que não tenha muita lucidez, como por exemplo com quem ele vai ficar, que horas você sairá para trabalhar e que horas chegará. No entanto, assim, todos sentirão parte um da rotina do outro, evitando agitações e conflitos. Devemos sempre buscar o respeito e a harmonia.

Anote tudo em um diário

Gosto muito da ideia de um diário, onde anotamos tudo o que comeu, quais medicamentos tomou, sinais vitais e quais foram as atividades realizadas. No entanto, assim, mesmo que eu passe o dia fora de casa, quando volto para casa consigo saber como foi o dia da Diow e se tem algo diferente do normal e ainda, se há algum sinal para ficarmos mais atentos ou até mesmo se é necessário passar por uma consulta ou uma reorganização da rotina dela.

Essas dicas são infalíveis lá em casa. Espero que seja útil na sua rotina também. No entanto, não esqueça de sempre organizar a rotina de uma forma que fique bom para todos os integrantes e, principalmente, para quem está sendo cuidado.

LEMBRE-SE  de buscar harmonia, respeito e o amor no cuidado, que é fundamental para sermos assertivos.

Se você tiver uma super dica compartilha aqui nos comentários. Vamos trocar experiências.

Um Grande abraço, Rê Galacci.

Empréstimo pessoal no Carnê

O empréstimo pessoal no carnê é a melhor opção para quem está necessitando de dinheiro rapidamente. No entanto, contando com uma equipe rápida no processo de contratação, incluindo verificação de documentos e liberação do crédito, o crédito no carnê certamente é a melhor escolha. Contudo, veja abaixo quais são as vantagens de contratar o empréstimo pessoal no carnê

O Empréstimo com crédito no carnê é uma alternativa eficaz para você que precisa urgentemente de dinheiro livre de burocracia.

Ademais, o empréstimo pessoal no boleto é muito simples e fácil de solicitar. Basta clicar no botão Solicite e preencha o formulário para que nosso time de consultores possa entrar em contato.

Empréstimo Pessoal no Carnê – Veja quem poderá contratar!

O empréstimo pessoal no Carnê é destinado ao seguinte público:

  • Aposentados e pensionistas
  • Autônomos
  • Profissionais liberais
  • Empresários
  • Funcionários de empresas públicas e privadas

Condições:

  • Limite de idade: de 21 a 79 anos (para aposentados e pensionistas), de 21 a 65 anos (para autônomo, profissional liberal e empresário) e de 21 a 69 anos (para funcionário de empresa pública ou privada)
  • Limite de Crédito: de R$500,00 a R$5.000,00
  • Prazo: 8x, 9x, 11x ou 24x
  • Tempo de Atividade: Mínimo de 1 ano
  • Clientes Analfabetos: Para contratação, deverá apresentar duas testemunhando, sendo que uma delas deverá ser seu parente de 1º grau.

OBS: Aprovação sujeita a análise de consulta ao SPC/SERASA.

Documentação Necessária para análise:

  • Documento de identificação (RG e CPF ou CNH, Carteira de Trabalho digital)
  • Comprovante de endereço
  • Comprovante de renda: extrato dos últimos 60 dias (para autônomos, profissionais liberais e empresários) e último contracheque (para aposentados, pensionistas e funcionário de empresas providas ou públicas)
  • Contrato devidamente assinado

Documentação Necessária para Formalização:

  • 1 ficha cadastral
  • 1 cédula de crédito bancário negociável
  • 1  cédula de crédito bancário não negociável
  • Documento de identificação (RG e CPF ou CNH, Carteira de Trabalho digital)
  • Comprovante de endereço (contas de consumo ou fatura do cartão de crédito)
  • Comprovante de renda

Essa modalidade de empréstimo pessoal é regularizada e fiscalizada pelo Banco Central do Brasil.

Margem adicional BMG CARD de 5% para o Governo do RJ

Agora é oficial! O Governo do estado do Rio de Janeiro obteve no dia 13/11/2018, um acréscimo na sua margem consignável de 5%. Contudo, a medida passa a valer a partir do dia 14/11/2018. No entanto, esse acréscimo é válido somente para o produto BMG CARD, do Banco BMG.

A instituição bancária BMG é líder no mercado de empréstimos consignados.

Certamente essa notícia agradou, e muito, os servidores que poderão utilizar o valor adquirido no empréstimo consignado para fazer viagens, para adquirir bens ou realizar reformas na casa, entre outros. No entanto, não haverá a necessidade de informar à instituição qual será a finalidade do dinheiro.

Conquista de 5% de Margem adicional BMG CARD

Servidores do Governo do Rio de Janeiro, confira abaixo as informações atualizadas quanto ao uso do cartão BMG CARD:

  • Válido somente para servidores ativos, inativos e pensionistas que possuam vínculo com o Governo do estado do Rio de Janeiro
  • O vencimento da fatura será no dia 25 de cada mês
  • Realiza saques em dinheiro
  • Possui a taxa de juros mais atraente do mercado
  • A fatura estará disponível no internet banking (no seu cadastro do site do banco) e também no aplicativo BMG CARD disponível no Google Play. No entanto, com o aplicativo, o servidor conseguirá além de visualizar a fatura, consultar o seu saldo e verificar o limite disponível.
  • Ademais, o BMG CARD não possui taxa de anuidade e nem taxa de adesão
  • Idade mínima: 18 anos
  • Idade máxima: 80 anos
  • Para pensionista, a idade mínima é de 25 anos

Limite de Crédito Máximo por faixa etária

Confira abaixo o limite máximo de crédito que o banco BMG libera em seu cartão de acordo com a idade do cliente:

  • De 18 até 70 anos: R$ 20.000,00
  • De 71 até 75 anos: R$ 5.000,00
  • De 76 até 80 anos: R$ 400,00
  • Não será concedido crédito para clientes que possuam a partir de 81 anos

Documentação obrigatória

Para contratar o BMG CARD, o servidor público necessitará apresentar os seguintes documentos:

  • RG (Cédula de identidade)
  • CPF (Cadastro de Pessoa Física)
  • Comprovante de residência atual
  • Termo de adesão

Aumento de margem para servidores da Aeronáutica e Marinha

Os servidores da Aeronáutica e da Marinha do Brasil têm muito o que comemorar, pois no dia 07 de Novembro de 2018, foi aprovado o limite de até 70% na margem para empréstimos consignados. Certamente é uma conquista importante! Contudo, isso significa que aposentados e pensionistas terão um valor maior para contratar o empréstimo com desconto em folha.

Regulamentado em legislação, a notícia divulgada entrará em vigor a partir do dia 08 de Novembro de 2018.

Aos Servidores da Aeronáutica e da Marinha do Brasil

Por ser uma modalidade de empréstimo com desconto na folha de pagamento, os servidores da Aeronáutica e da Marinha que são aposentados e pensionistas agora possuem o direito assegurado por lei de ter uma margem consignável maior. Contudo, essa margem estendida para empréstimo poderá ser usada para pagar dívidas, realizar viagens, reformar a casa, etc… Enfim, o empréstimo poderá ser usado para fazer o que quiser, sem a necessidade de dar explicações.

Nas demais classes de servidores públicos, normalmente a margem não ultrapassa 30% do benefício. Para os militares, foi aprovado mais do que o dobro da margem consignável. Se o servidor público souber usar, certamente poderá fazer muito mais coisas sem se endividar do que com uma margem de 30%.

Inclusive, já está garantido o reajuste salarial para as forças armadas em 2019. O atual governo oficializou o acordo para um reajuste do salário dos militares. Esse acordo estrará em vigor em janeiro de 2019. Contudo, o reajuste será para todos, independentemente da equipe econômica, ou seja,  todas as patentes terão o seu salário reajustado.

A discussão continua

Embora os militares tenham conseguido o direito de ter uma margem consignável de 70%, as demais classes de aposentados e pensionistas como o INSS, estão discutindo para obterem esse mesmo direito. Contudo, qualquer mudança que seja feita na lei, exige muita atenção.

O Portal Consignados espera que tudo seja resolvido da melhor maneira e que seja de comum acordo entre todas as partes envolvidas.

Comece a se estimular – Dicas da Rê Galacci

Comece a se estimular e tenha um envelhecimento saudável! Na terceira idade, tudo o que fazemos vai tornando-se mais lento. Nosso corpo vai perdendo a velocidade.

Eu acredito que é um sinal de que está chegando a hora de relaxar um pouco, curtir mais, desacelerar.

Porém, é de suma importância um envelhecimento saudável. Não precisamos esperar sentir essa perda de movimentos para começarmos a tomar uma atitude.

Veja quais são os hábitos que deveremos começar a praticar para ter uma vida saudável:

Muitas vezes cuidamos do nosso corpo e esquecemos de cuidar da nossa mente, o cérebro. Hoje falaremos sobre estímulos cognitivos. Irei compartilhar com vocês minha experiência/vivência neste assunto.

Comece a se estimular já!

As funções cognitivas envolvem linguagem, memória, atenção, raciocínio, percepção, pensamento e funções executivas. No dia a dia, realizamos muitas atividades sempre na correria, criamos rotinas e normalmente a mantemos.

Logo, ficamos “programados” para realizar apenas as mesmas tarefas e deixamos de estimular outras áreas e funções do nosso corpo.

Contudo, existem exercícios simples e muito divertidos que podemos realizar em grupos, individualmente e adapta-los para o tema que mais nos identificamos. Como exemplo, poderei citar o caça palavras, o jogo da memória e a tabuada.

Enfim, diversos jogos e atividades de fácil acesso que além de nos promover, melhora os estímulos cognitivos. No entanto, ainda podemos interagir com outras pessoas, contribuindo também com a integração e convívio social.

No canal (Rê Galacci, no YouTube), tem um super vídeo com uma Psicopedagoga. Está cheio de dicas e demonstrações de jogos e de seus benefícios. Clique aqui ou veja abaixo:

 

De acordo com a minha vivência, eu acredito que a maioria das pessoas imaginam a área da Psicopedagogia apenas para atividades com crianças, mas não é assim. Psicopedagogos são profissionais que podem atuar com adultos e idosos, desde que sejam capacitados para isso, é claro.

Utilize o estímulo em todas as atividades

O mais legal de trabalhar estímulos, é que se torna uma ferramenta que você pode inserir no cuidado da pessoa idosa e ganhar força nas atividades que possui resistência em executar.

Por exemplo:

Alguns idosos acabam perdendo o apetite e ainda têm aqueles que, quando acometidos por algum tipo de demência, oscilam bastante o apetite. Através do jogo de “adivinhe que fruta é essa e qual o sabor”, você pode contribuir para a aceitação e ingestão de frutas.

No entanto, esse jogo também pode ser realizado com outros alimentos e objetos e, além de estimular o pensamento e a linguagem, torna o momento da alimentação descontraído.

Perceba que esta simples atividade foi muito útil como ferramenta de reforço para a nutricionista (alimentação), fonoaudióloga (linguagem/deglutição).

No entanto, as vezes são exercícios e atitudes simples que contribuem muito no cuidado, promovendo qualidade de vida. 

É importante destacar que, cada atividade ou jogo deve ser inserido de acordo com a realidade, necessidade e preferências de cada contexto. E lembre-se de não infantilizar as abordagens e/ou atividades. Você deverá trabalhar a maneira que melhor for aceita, respeitando sempre a pessoa idosa.

Dica extra

Essas ferramentas também são importantes para nós cuidadores, afinal quem cuida também merece ser cuidado e estimulado. Contudo, também merecemos qualidade de vida e envelhecimento saudável, certo?

Percebeu como os estímulos cognitivos contribuem para um envelhecimento saudável e ajudam a retardar alguns processos de doenças?  

Então, vamos começar a estimular?

Um grande abraço, Rê Galacci.

Fraldas na Terceira Idade – Dicas da Rê Galacci

A dica de hoje é Fraldas e seus cuidados na Terceira Idade! No mundo, existem milhões de pessoas que sofrem de incontinência urinária, e muitas delas de forma permanente, pois existem doenças que não possuem cura.

Conheça as Dicas da Rê com Fraldas

Por isso, é de suma importância que, ao aparecer qualquer escape de urina, quando perceber qualquer sintoma relacionado, procure um médico para saber qual o melhor tratamento indicado.

Vale lembrar que em alguns casos existem ferramentas que auxiliam o tratamento como por exemplo medicamentos, fisioterapia, exercícios e terapia. Enfim, com o avanço da medicina, podemos contar muitos tipos de tratamentos, e ainda que ele seja personalizado para atender sua particularidade. Isso é o mais legal.

Cuidados Especiais para Pessoas Especiais

Bom, também sabemos que algumas doenças que chamamos de Demências, uma muito conhecida e falada por exemplo é o Alzheimer, infelizmente com seu evoluir, torna constante os escapes, pois o paciente acometido pela doença vai perdendo os reflexos.

E é claro, com a evolução da demência, tudo vai tornando-se mais complexo. Inclusive o grau de dependência nos cuidados. As AVDs (Atividades da Vida Diária), que são comuns, tornam mais dificultosas de realizar sozinho e, dependendo o grau da evolução, torna-se impossível. Disso falaremos em um outro tópico.

É importante para esses casos a utilização de fraldas ou absorventes para incontinência urinária, pois traz muita praticidade, agilidade no cuidado diário, higiene e conforto, além de não deixar ninguém constrangido, caso aconteça em público um escape. Então, ao buscar os recursos de fraldas, que é o que mais tenho experiência, vou passar algumas dicas:

  1. Buscar o modelo de fralda que mais se adapta a pessoa que vai utilizar
  2. Comparar benefícios de produtos
  3. Comparar preço (custo benefício)
  4. Observar a absorção
  5. Tempo de troca
  6. Controle de odor
  7. Se agride a pele (produtos com material áspero)
  8. Comprar um produto testar e se der certo comprar mais.
  9. Pesquisar sobre o produto na internet e com alguém que utiliza
  10. Adaptação na utilização das fraldas com amor

Essas dicas foram essenciais na minha rotina porque as vezes tinha um produto muito barato. Porém, como não tinha boa absorção, utilizávamos muito. Então, o custo benefício era ruim. Gastávamos muito produto.

Higiene também é importante

As vezes, você acaba de trocar e vaza tudo. Tem que trocar roupas, lençóis e limpar colchão. Enfim, nada de praticidade além da pessoa ficar constrangida também. As vezes tem grandes promoções. A dica é que se você não conhece o produto, não saia comprando em grandes quantidades. Até porque aquele produto pode ser muito bom para uma pessoa, mais não significa que vai ser bom para sua realidade.

É muito importante saber entender, ouvir quem vai utilizar o produto, e com muito amor ajudá-lo a se adaptar ao processo de inserção de fraldas na rotina. E uma super dica extra: Hoje existe no mercado “roupas íntimas descartáveis”. Isso ajuda muito no processo de adaptação. Você pode começar por elas e ir aos poucos inserindo as fraldas convencionais.

Você também pode utilizar shorts de lycra ou cueca boxer por cima da fralda. Isso traz mais segurança, conforto e também não marca muito, ou seja, não transparece que está de fralda.

Continue acompanhando

Tem um vídeo lá no meu canal que falo e mostro alguns produtos que utilizo com a minha sogra a super DIOW. Vou deixar o link aqui para vocês: Clique aqui para acessar!

E não se esqueçam de sempre procurar entender a sua realidade para então inserir itens, produtos, adaptações que ficam melhor para o seu contexto.

Um grande abraço, Rê Galacci.

Rê Galacci

Histórias de amor nos dias de hoje são cada vez mais raras. Por isso, quando conheci a Rê Galacci, me impressionei com tamanha dedicação e amor a sua sogra.

Todos os dias, há praticamente 20 anos, tenho assistido maus tratos a idosos. Isso é revoltante. Contudo, existem histórias que ainda fazem com que acreditemos nos seres humanos. Portanto meus caros amigos, eu lhes apresento “Rê Galacci”.

“Como já devem estar cansados de meus textos, vou deixar que a própria Rê conte um pouco de sua história para nós.”

Rê Galacci

Hoje em dia percebemos que tem crescido muito o termo cuidador, e isso é muito bom. Cuidar de alguém é muito bom. É você poder contribuir para melhorar ou agregar algo na vida daquela pessoa. Seja como um profissional cuidador ou como um amigo, alguém da família é algo excepcional.

Re Galacci

Re Galacci

Eu sou Rebeca Galacci, mas pode me chamar de Rê. Hoje cuido da minha sogra, e é muito gratificante poder cuidar da Diow (minha sogra, Diolinda). Acredito que foi um presente de Deus, pois muito antes de me imaginar cuidando de alguém na minha própria casa, sempre tive um sonho. Queria ter uma casa de repouso e cuidados para idosos. Tanto é que escolhi enfermagem, justamente por proporcionar o cuidado.

E nosso proposito aqui será levar informações, dicas e compartilhar experiências para o cuidado em saúde sobre envelhecimento, rotinas, enfim, tudo voltado para qualidade de vida e envelhecimento saudável.

Então, se você quer saber mais, não deixe de nos acompanhar. Você também pode sugerir temas, deixar comentários compartilhando sua experiência, enfim, podemos interagir muito.

 

Ah tenho um canal no YouTube. Lá, eu gravo vídeos com o mesmo propósito. Então, se quiser conhecer um pouco mais sobre mim, clique aqui para ver meu canal.

Canal da Rê

Neste espaço vamos falar sobre coisas administrativas também. Vamos falar como organizar a rotina, estruturar horários de medicamentos e finanças. Então teremos muitos assuntos. Fique ligado que a qualquer momento uma nova informação vai surgir na sua telinha.

Um grande abraço,

Rê Galacci.

Pessoal, essa é a Rebeca Galacci. Uma pessoa iluminada que cuida com tanto amor e carinho de sua sogra e ainda tem tempo de criar um canal para ajudar milhares de pessoas que passam pelo mesmos problemas que o dela. O Portal Consignados é um canal de crédito, mas tem muito respeito por histórias de carinho como o da Rê Galacci.

Empréstimo Consignado Banco BCV S/A

O Banco de Crédito e Varejo BCV, antigo Banco Schahin, pertence desde 2011 ao grupo BMG. Da mesma forma que o grupo BMG adquirir o Banco Cifra em 2011 e o mesmo passou a oferecer os produtos do banco BMG, da mesma forma aconteceu com o banco BCV.

O Consignado que o Banco BCV oferece aos seus servidores, é uma forma de empréstimo com desconto em folha, onde as parcelas são fixas e não ultrapassam a margem de 30% do valor do benefício.

Ademais, o consignado que o Banco de Crédito e Varejo oferece é muito simples e fácil de solicitar. Basta clicar no botão Solicite e preencher o formulário para que nosso time de consultores possa entrar em contato.

Consignado Banco BCV + Vantagens para você

Veja algumas vantagens que o consignado do Banco de Crédito e Varejo oferece aos seus servidores:

  • Não haverá consulta aos órgãos SPC e SERASA
  • Desconto direto na folha de pagamento
  • Parcelas Fixas
  • Aqui, os prazos são maiores para pagar
  • As taxas de juros são melhores do que as praticadas no mercado
  • Valor máximo liberado: R$ 10.000,00

Público Alvo

O empréstimo ofertado pelo Banco BCV está destinado ao seguinte público, como por exemplo:

  • Servidores Públicos Efetivos

Consulte nossa equipe de suporte para confirmar se seu convênio está ativo para poder contratar.

Regulamentação

Todas as modalidades de crédito consignado atendem a uma regulamentação do Banco Central e Lei 10.820 que determinam as regras de contratação. No entanto, os convênios firmados entre seu órgão têm regras específicas as quais serão consideradas na liberação do seu Crédito. As instituições financeiras têm políticas de crédito especificas conforme perfil do cliente. Portanto, tais regras também serão consideradas.

Documentação Necessária

Os documentos necessários para a contratação de seu empréstimo consignado são:

  • Carteira de Identificação (RG)
  • Cadastro de Pessoas Físicas (CPF)
  • Comprovante de residência atualizado
  • Detalhamento de Crédito

A apresentação de todos os documentos deverá ser de forma legível e dentro dos prazos de validade, pois ajudam a agilizar seu empréstimo.

Empréstimo Consignado Banco Cifra S/A

No ano de 2011, o grupo BMG comprou todas as ações do Banco Cifra, antigo Ge Money. Desta maneira, todos os produtos do Banco Cifra são de inteira responsabilidade do grupo BMG. Contudo, os produtos do Banco Cifra, passaram a ser do Banco BMG, como os cartões BMG Card e os demais produtos também.

No Empréstimo Consignado oferecido pelo Banco Cifra, os servidores terão um prazo maior para pagar, além das taxas de juros serem uma das mais baixas do mercado.

Ademais, o consignado que o Banco Cifra oferece é muito simples e fácil de solicitar. Basta clicar no botão Solicite e preencher o formulário para que nosso time de consultores possa entrar em contato.

Consignado Banco Cifra S/A + Vantagens para você

Veja algumas vantagens que o consignado do Banco Cifra lhe oferece:

  • Sem consulta ao SPC e ao SERASA
  • Desconto direto na folha de pagamento
  • Parcelas Fixas
  • Os prazos são mais longos para pagamento
  • Aqui, as taxas de juros realmente são baixas
  • Valor máximo liberado: R$ 10.000,00

Público Alvo

O empréstimo ofertado pelo Banco Cifra está destinado ao seguinte público, como por exemplo:

  • Servidores Públicos Efetivos

Consulte nossa equipe de suporte para confirmar se seu convênio está ativo para poder contratar.

Regulamentação

Todas as modalidades de crédito consignado atendem a uma regulamentação do Banco Central e Lei 10.820 que determinam as regras de contratação. No entanto, os convênios firmados entre seu órgão têm regras específicas as quais serão consideradas na liberação do seu Crédito. As instituições financeiras têm políticas de crédito especificas conforme perfil do cliente. Portanto, tais regras também serão consideradas.

Documentação Necessária

Os documentos necessários para a contratação de seu empréstimo consignado são:

  • Cédula de Identidade (RG)
  • CPF
  • Comprovante de endereço
  • Detalhamento de Crédito

A apresentação de todos os documentos deverá ser de forma legível e dentro dos prazos de validade, pois ajudam a agilizar seu empréstimo.

Empréstimo Consignado MT Fomento Cuiabá

A MT Fomento, localizada na cidade de Cuiabá, capital do estado de Mato Grosso, é uma sociedade de economia mista formada por empresas públicas que possuem o objetivo de contribuir para a aceleração do desenvolvimento financeiro do estado. No entanto, a MT Fomento segue as regras da Administração Pública de Mato Grosso.

No Consignado que a MT Fomento oferece aos seus servidores públicos, os mesmos poderão contratar o empréstimo e usar o dinheiro para fazer o que quiser, sem a necessidade de dar satisfações.

Ademais, o consignado que o MT Fomento oferece é muito simples e fácil de solicitar. Basta clicar no botão Solicite e preencher o formulário para que nosso time de consultores possa entrar em contato.

Consignado MT Fomento Cuiabá + Vantagens para você

Veja algumas vantagens que o consignado do MT Fomento dos Servidores Públicos de Cuiabá oferece:

  • Não haverá consulta aos órgãos de proteção ao crédito SPC e SERASA
  • Desconto direto na folha de pagamento
  • Parcelas Fixas
  • Prazos estendidos para pagar
  • Taxas de juros convidativas
  • Valor máximo liberado: R$ 25.000,00

Público Alvo

O empréstimo ofertado pela MT Fomento de Cuiabá está destinado ao seguinte público, como por exemplo:

  • Servidores Públicos Efetivos

Consulte nossa equipe de suporte para confirmar se seu convênio está ativo para poder contratar.

Regulamentação

Todas as modalidades de crédito consignado atendem a uma regulamentação do Banco Central e Lei 10.820 que determinam as regras de contratação. No entanto, os convênios firmados entre seu órgão têm regras específicas as quais serão consideradas na liberação do seu Crédito. As instituições financeiras têm políticas de crédito especificas conforme perfil do cliente. Portanto, tais regras também serão consideradas.

Documentação Necessária

Os documentos necessários para a contratação de seu empréstimo consignado são:

  • Registro Geral (RG)
  • Cadastro de Pessoas Físicas (CPF)
  • Comprovante de residência atual
  • Detalhamento de Crédito

A apresentação de todos os documentos deverá ser de forma legível e dentro dos prazos de validade, pois ajudam a agilizar seu empréstimo.

Empréstimo Consignado Center Trading Belo Horizonte

A Center Trading Company é uma empresa localizada em Belo Horizonte. Seu ramo de atividade é na otimização das operações comerciais de grãos. A empresa realiza a intermediação entre o comprador e o vendedor. Contudo, devido ao amplo conhecimento da empresa na área, milhares de clientes fazem um bom negócio.

Com o Empréstimo Consignado oferecido pela Center Trading de Belo Horizonte, o funcionário poderá adquirir o bem que quiser, pagar dívidar, passear, ir viajar, etc, …

Ademais, o consignado que a Center Trading Company oferece é muito simples e fácil de solicitar. Basta clicar no botão Solicite e preencher o formulário para que nosso time de consultores possa entrar em contato.

Consignado Center Trading Belo Horizonte + Vantagens para você

Veja algumas vantagens que o consignado da Center Trading Company oferece:

  • Sem consulta aos órgãos SPC e SERASA
  • Desconto direto na folha de pagamento
  • Parcelas Fixas
  • Aqui, os prazos são maiores para pagamento
  • As taxas de juros são menores do que as atualmente praticadas no mercado
  • Valor máximo liberado: R$ 10.000,00

Público Alvo

O empréstimo ofertado pela Center Trading de Belo Horizonte está destinado ao seguinte público, como por exemplo:

  • Funcionários Efetivos

Consulte nossa equipe de suporte para confirmar se seu convênio está ativo para poder contratar.

Regulamentação

Todas as modalidades de crédito consignado atendem a uma regulamentação do Banco Central e Lei 10.820 que determinam as regras de contratação. No entanto, os convênios firmados entre seu órgão têm regras específicas as quais serão consideradas na liberação do seu Crédito. As instituições financeiras têm políticas de crédito especificas conforme perfil do cliente. Portanto, tais regras também serão consideradas.

Documentação Necessária

Os documentos necessários para a contratação de seu empréstimo consignado são:

  • Carteira de Identificação (RG)
  • CPF
  • Comprovante de endereço atualizado
  • Detalhamento de Crédito

A apresentação de todos os documentos deverá ser de forma legível e dentro dos prazos de validade, pois ajudam a agilizar seu empréstimo.

Empréstimo Consignado Engemet São Paulo

Fundada em 1972, a Engemet Metalurgia e Comércio LTDA, é um empresa especializada em barras e rolos de aço. Contudo, a missão da empresa é de transformar o aço em soluções. Localizada em São Paulo, capital, a Engemet investe na tecnologia e na capacitação de seus funcionários, visando sempre a satisfação de seus clientes.

O Consignado Engemet São Paulo oferece uma grande oportunidade oferecendo um empréstimo aos seus funcionários de realizem seus sonhos, adquirindo bens ou fazendo viagens.

Ademais, o consignado que a Engemet LTDA oferece é muito simples e fácil de solicitar. Basta clicar no botão Solicite e preencher o formulário para que nosso time de consultores possa entrar em contato.

Consignado Engemet São Paulo + Vantagens

Veja algumas vantagens que o consignado Engemet Metalurgia e Comércio oferece:

  • Não haverá consulta ao SPC e ao SERASA
  • Desconto direto na folha de pagamento
  • Parcelas Fixas
  • Os prazos são mais longos para pagar
  • Taxas de juros mais justas
  • Valor máximo liberado: R$ 10.000,00

Público Alvo

O empréstimo ofertado pela Engemet LTDA de São Paulo está destinado ao seguinte público, como por exemplo:

  • Funcionários Efetivos

Consulte nossa equipe de suporte para confirmar se seu convênio está ativo para poder contratar.

Regulamentação

Todas as modalidades de crédito consignado atendem a uma regulamentação do Banco Central e Lei 10.820 que determinam as regras de contratação. No entanto, os convênios firmados entre seu órgão têm regras específicas as quais serão consideradas na liberação do seu Crédito. As instituições financeiras têm políticas de crédito especificas conforme perfil do cliente. Portanto, tais regras também serão consideradas.

Documentação Necessária

Os documentos necessários para a contratação de seu empréstimo consignado são:

  • Registro Geral (RG)
  • Cadastro de Pessoas Físicas (CPF)
  • Comprovante de residência
  • Detalhamento de Crédito

A apresentação de todos os documentos deverá ser de forma legível e dentro dos prazos de validade, pois ajudam a agilizar seu empréstimo.

Empréstimo Consignado Brasfrigo Luziânia

Fundada em 1975, a Brasfrigo S/A é uma importante empresa do setor alimentício localizada na cidade de Luziânia, interior do estado de Goiás. A Brasfrigo é a dona das marcas de molho de tomate Jussara e Jurema. No entanto, a empresa também atua na fabricação de conservas de legumes.

No empréstimo consignado oferecido pela indústria de alimentos Brasfrigo, os funcionários poderão utilizar o dinheiro da forma que quiser sem necessitar dizer para que o valor será usado.

Ademais, o consignado que a Brasfrigo S/A do município de Luziânia oferece é muito simples e fácil de solicitar. Basta clicar no botão Solicite e preencher o formulário para que nosso time de consultores possa entrar em contato.

Consignado Brasfrigo Luziânia + Vantagens para Você

Veja algumas vantagens que o consignado Brasfrigo da cidade de Luziânia oferece:

  • Não haverá consulta aos órgãos de proteção ao crédito SPC e SERASA
  • Desconto direto na folha de pagamento
  • Parcelas Fixas
  • Aqui, os prazos são diferenciados para pagamento
  • As taxas de juros são menores do que as praticadas no mercado
  • Valor máximo liberado: R$ 10.000,00

Público Alvo

O empréstimo ofertado pela Brasfrigo S/A de Luziânia está destinado ao seguinte público, como por exemplo:

  • Funcionários Efetivos

Consulte nossa equipe de suporte para confirmar se seu convênio está ativo para poder contratar.

Regulamentação

Todas as modalidades de crédito consignado atendem a uma regulamentação do Banco Central e Lei 10.820 que determinam as regras de contratação. No entanto, os convênios firmados entre seu órgão têm regras específicas as quais serão consideradas na liberação do seu Crédito. As instituições financeiras têm políticas de crédito especificas conforme perfil do cliente. Portanto, tais regras também serão consideradas.

Documentação Necessária

Os documentos necessários para a contratação de seu empréstimo consignado são:

  • Registro Geral (RG)
  • Cadastro de Pessoas Físicas (CPF)
  • Comprovante de residência
  • Detalhamento de Crédito

A apresentação de todos os documentos deverá ser de forma legível e dentro dos prazos de validade, pois ajudam a agilizar seu empréstimo.

Empréstimo Consignado Comercial Mineira Belo Horizonte

Fundada em 1984, na cidade de Belo Horizonte, capital do estado de Minas Gerais, a empresa Comercial Mineira de Máquinas S/A é líder no mercado de produtos agrícolas e de construção civil. Contudo, a Comercial Mineira possui todo o maquinário para você cuidar das suas terras.

O empréstimo consignado que a Comercial Mineira oferece aos seus funcionários possui uma excelente taxa de juros e um prazo mais longo para pagar. Saiba mais informações abaixo:

Ademais, o consignado que a Comercial Mineira S/A da cidade de Belo Horizonte oferece é muito simples e fácil de solicitar. Basta clicar no botão Solicite e preencher o formulário para que nosso time de consultores possa entrar em contato.

Consignado Comercial Mineira Belo Horizonte + Vantagens

Veja algumas vantagens que o consignado Comercial Mineira do município de Belo Horizonte oferece:

  • Não haverá consulta aos órgãos de proteção ao crédito SPC e SERASA
  • Desconto direto na folha de pagamento
  • Parcelas Fixas
  • Prazos maiores para pagar
  • Aqui, as taxas de juros são melhores
  • Valor máximo liberado: R$ 10.000,00

Público Alvo

O empréstimo ofertado pela Comercial Mineira S/A do estado mineiro está destinado ao seguinte público, como por exemplo:

  • Funcionários Efetivos

Consulte nossa equipe de suporte para confirmar se seu convênio está ativo para poder contratar.

Regulamentação

Todas as modalidades de crédito consignado atendem a uma regulamentação do Banco Central e Lei 10.820 que determinam as regras de contratação. No entanto, os convênios firmados entre seu órgão têm regras específicas as quais serão consideradas na liberação do seu Crédito. As instituições financeiras têm políticas de crédito especificas conforme perfil do cliente. Portanto, tais regras também serão consideradas.

Documentação Necessária

Os documentos necessários para a contratação de seu empréstimo consignado são:

  • Cédula de Identidade (RG)
  • CPF
  • Comprovante de endereço atual
  • Detalhamento de Crédito

A apresentação de todos os documentos deverá ser de forma legível e dentro dos prazos de validade, pois ajudam a agilizar seu empréstimo.

Empréstimo Consignado SEFAZ São Paulo

A Secretaria da Fazenda do Estado de São Paulo, SEFAZ, é uma importante instituição responsável pela fiscalização, arrecadação e pagamento dos recursos públicos do estado de São Paulo. No entanto, a SEFAZ ainda faz a contabilidade da receita e da despesa. É a SEFAZ a responsável pela cobrança do IPVA e do ICMS.

No empréstimo consignado que a Secretaria da Fazenda de São Paulo oferece, os servidores públicos poderão usufruir do dinheiro da forma que quiser, sem a necessidade de prestar contas.

Ademais, o consignado que a Secretaria da Fazenda do estado de São Paulo oferece é muito simples e fácil de solicitar. Basta clicar no botão Solicite e preencher o formulário para que nosso time de consultores possa entrar em contato.

Consignado SEFAZ São Paulo + Vantagens

Veja algumas vantagens que o consignado SEFAZ do estado de São Paulo oferece:

  • Sem consulta ao SPC e ao SERASA
  • Desconto direto na folha de pagamento
  • Parcelas Fixas
  • Aqui, os prazos são mais extensos para pagamento
  • As taxas de juros são menores
  • Valor máximo liberado: R$ 30.000,00

Público Alvo

O empréstimo ofertado pelo SEFAZ do estado de São Paulo está destinado ao seguinte público, como por exemplo:

  • Servidores Efetivos

Consulte nossa equipe de suporte para confirmar se seu convênio está ativo para poder contratar.

Regulamentação

Todas as modalidades de crédito consignado atendem a uma regulamentação do Banco Central e Lei 10.820 que determinam as regras de contratação. No entanto, os convênios firmados entre seu órgão têm regras específicas as quais serão consideradas na liberação do seu Crédito. As instituições financeiras têm políticas de crédito especificas conforme perfil do cliente. Portanto, tais regras também serão consideradas.

Documentação Necessária

Os documentos necessários para a contratação de seu empréstimo consignado são:

  • Carteira de Identificação (RG)
  • Cadastro de Pessoas Físicas (CPF)
  • Comprovante de residência atualizado
  • Detalhamento de Crédito

A apresentação de todos os documentos deverá ser de forma legível e dentro dos prazos de validade, pois ajudam a agilizar seu empréstimo.

Empréstimo Consignado CBMEES Espírito Santo

Criada em 1917, a CBMEES, Caixa Beneficente dos Militares Estaduais do Espírito Santo, é uma importante instituição que auxilia na concessão dos benefícios como por exemplo pensão por falecimento dos servidores públicos. Esse é a principal função da CBMEES, assistência à família do servidor municipal que faleceu e auxílio funeral.

O consignado certamente é um dos empréstimos mais vantajosos para o servidor público, pois as parcelas são descontadas na folha de pagamento e o valor das parcelas não poderá exceder 30% do valor do benefício. A CBMEES oferta esse empréstimo aos seus servidores públicos estaduais.

Ademais, o consignado que a Caixa Beneficente dos Militares do Espírito Santo oferece é muito simples e fácil de solicitar. Basta clicar no botão Solicite e preencher o formulário para que nosso time de consultores possa entrar em contato.

Consignado CBMEES Espírito Santo + Vantagens para Você

Veja algumas vantagens que o consignado CBMEES do estado de Espírito Santo oferece:

  • Não haverá consulta ao SPC e ao SERASA
  • Desconto direto na folha de pagamento
  • Parcelas Fixas
  • Os prazos são mais longos para pagar
  • Aqui, as taxas de juros são mais atraentes
  • Valor máximo liberado: R$15.000,00

Público Alvo

O empréstimo ofertado pelo CBMEES do estado do Espírito Santo está destinado ao seguinte público, como por exemplo:

  • Servidores Efetivos

Consulte nossa equipe de suporte para confirmar se seu convênio está ativo para poder contratar.

Regulamentação

Todas as modalidades de crédito consignado atendem a uma regulamentação do Banco Central e Lei 10.820 que determinam as regras de contratação. No entanto, os convênios firmados entre seu órgão têm regras específicas as quais serão consideradas na liberação do seu Crédito. As instituições financeiras têm políticas de crédito especificas conforme perfil do cliente. Portanto, tais regras também serão consideradas.

Documentação Necessária

Os documentos necessários para a contratação de seu empréstimo consignado são:

  • Cédula de Identidade (RG)
  • CPF
  • Comprovante de endereço
  • Detalhamento de Crédito

A apresentação de todos os documentos deverá ser de forma legível e dentro dos prazos de validade, pois ajudam a agilizar seu empréstimo.

Empréstimo Consignado BEPREM Belo Horizonte

A Beneficência da Prefeitura Municipal de Belo Horizonte, o BEPREM, é uma autarquia cuja responsabilidade é a de garantir que todos os servidores públicos municipais recebam o benefício. Contudo, além da distribuição dos benefícios, o BEPREM também é responsável pela fiscalização evitando que ocorram fraudes.

O empréstimo que a Beneficência da Prefeitura da cidade de Belo Horizonte oferece aos seus servidores municipais, possui desconto direto na folha de pagamento do funcionário, além de ter uma taxa de juros justa e um prazo maior para pagar.

Ademais, o consignado que a Beneficência da Prefeitura do município de Belo Horizonte oferece é muito simples e fácil de solicitar. Basta clicar no botão Solicite e preencher o formulário para que nosso time de consultores possa entrar em contato.

Consignado BEPREM Belo Horizonte + Vantagens para Você

Veja algumas vantagens que o consignado do BEPREM de Belo Horizonte oferece:

  • Sem consulta aos órgãos de proteção ao crédito SPC e SERASA
  • Desconto direto na folha de pagamento
  • Parcelas Fixas
  • Prazos maiores para efetuar o pagamento
  • Taxas de juros menores do que as praticadas no mercado
  • Valor máximo liberado: R$18.000,00

Público Alvo

O empréstimo ofertado pelo BEPREM da cidade de Belo Horizonte está destinado ao seguinte público, como por exemplo:

  • Servidores Ativos

Consulte nossa equipe de suporte para confirmar se seu convênio está ativo para poder contratar.

Regulamentação

Todas as modalidades de crédito consignado atendem a uma regulamentação do Banco Central e Lei 10.820 que determinam as regras de contratação. No entanto, os convênios firmados entre seu órgão têm regras específicas as quais serão consideradas na liberação do seu Crédito. As instituições financeiras têm políticas de crédito especificas conforme perfil do cliente. Portanto, tais regras também serão consideradas.

Documentação Necessária

Os documentos necessários para a contratação de seu empréstimo consignado são:

  • Registro Geral (RG)
  • Cadastro de Pessoas Físicas (CPF)
  • Comprovante de residência atual
  • Detalhamento de Crédito

A apresentação de todos os documentos deverá ser de forma legível e dentro dos prazos de validade, pois ajudam a agilizar seu empréstimo.

Empréstimo Consignado Sindicato Metalúrgicos Guarulhos

Fundado em 1963, o Sindicato dos Metalúrgicos de Guarulhos e Região é uma autarquia cuja finalidade é lutar pelos direitos adquiridos ao longo dos anos pelos servidores públicos. Contudo, o sindicato possui dentista gratuito para os sócios, além de 2 piscinas.

O empréstimo consignado que o Sindicato dos Metalúrgicos da cidade de Guarulhos oferece, está repleto de vantagens como por exemplo a de possuir um prazo maior para pagamento. Outra vantagem é o desconto ser direto na folha de pagamento do funcionário.

Ademais, o consignado que o Sindicato dos Metalúrgicos do município de Guarulhos oferece é muito simples e fácil de solicitar. Basta clicar no botão Solicite e preencher o formulário para que nosso time de consultores possa entrar em contato.

Consignado Sindicato Metalúrgicos Guarulhos + Vantagens

Veja algumas vantagens que o consignado do Sindicato dos Metalúrgicos de Guarulhos oferece:

  • Não haverá consulta aos órgãos SPC e SERASA
  • Desconto direto na folha de pagamento
  • Parcelas Fixas
  • Os Prazos são diferenciados para pagamento
  • Aqui, as taxas de juros são mais justas, se comparadas as taxas atuais do mercado

Público Alvo

O empréstimo ofertado pelo Sindicato dos Metalúrgicos da cidade de Guarulhos está destinado ao seguinte público, como por exemplo:

  • Servidores Efetivos

Consulte nossa equipe de suporte para confirmar se seu convênio está ativo para poder contratar.

Regulamentação

Todas as modalidades de crédito consignado atendem a uma regulamentação do Banco Central e Lei 10.820 que determinam as regras de contratação. No entanto, os convênios firmados entre seu órgão têm regras específicas as quais serão consideradas na liberação do seu Crédito. As instituições financeiras têm políticas de crédito especificas conforme perfil do cliente. Portanto, tais regras também serão consideradas.

Documentação Necessária

Os documentos necessários para a contratação de seu empréstimo consignado são:

  • Carteira de Identificação (RG)
  • CPF
  • Comprovante de endereço atualizado
  • Detalhamento de Crédito

A apresentação de todos os documentos deverá ser de forma legível e dentro dos prazos de validade, pois ajudam a agilizar seu empréstimo.

Empréstimo Consignado SSMM Matão

O Sindicato Profissional dos Servidores Públicos Municipais de Matão é uma entidade autárquica cujo objetivo é lutar pelos direitos dos servidores públicos da cidade de Matão. Contudo, fundado em 1989, o SSMM conta com o apoio de cidades vizinhas como Araraquara, Ribeirão Preto e Américo Brasiliense.

O empréstimo oferecido pelo Sindicato dos Servidores Municipais aos servidores públicos de Matão possui diversos benefícios tais como um prazo maior para pagamento, uma taxa de juros mais justa, entre outros.

Ademais, o consignado que o Sindicato do Servidores Públicos de Matão oferece é muito simples e fácil de solicitar. Basta clicar no botão Solicite e preencher o formulário para que nosso time de consultores possa entrar em contato.

Consignado SSMM Matão + Vantagens para Você

Veja algumas vantagens que o consignado do Sindicato dos Servidores Municipais da cidade de Matão oferece:

  • Sem consulta aos órgãos de proteção ao crédito SPC e SERASA
  • Desconto direto na folha de pagamento
  • Parcelas Fixas
  • Prazos mais longos para pagar
  • Aqui, as taxas de juros são melhores
  • Valor máximo liberado: R$ 12.000,00

Público Alvo

O empréstimo ofertado pela SSMM do município de Matão está destinado ao seguinte público, como por exemplo:

  • Servidores Efetivos

Consulte nossa equipe de suporte para confirmar se seu convênio está ativo para poder contratar.

Regulamentação

Todas as modalidades de crédito consignado atendem a uma regulamentação do Banco Central e Lei 10.820 que determinam as regras de contratação. No entanto, os convênios firmados entre seu órgão têm regras específicas as quais serão consideradas na liberação do seu Crédito. As instituições financeiras têm políticas de crédito especificas conforme perfil do cliente. Portanto, tais regras também serão consideradas.

Documentação Necessária

Os documentos necessários para a contratação de seu empréstimo consignado são:

  • Cédula de Identidade (RG)
  • Cadastro de Pessoas Físicas (CPF)
  • Comprovante de residência atual
  • Detalhamento de Crédito

A apresentação de todos os documentos deverá ser de forma legível e dentro dos prazos de validade, pois ajudam a agilizar seu empréstimo.

Empréstimo Consignado CBM Minas Gerais

O Corpo de Bombeiros Militar de Minas Gerais, CBMMG, é uma corporação que presta serviços na prevenção e combate de incêndios e acidentes,além de realizar salvamentos e socorros para os cidadãos do estado mineiro. O Corpo de Bombeiros Militar é força auxiliar e reserva do Exército Brasileiro.

O empréstimo oferecido aos servidores públicos pelo Corpo de Bombeiros de Minas Gerais, tem um prazo maior para pagamento, além do desconto ser direto na folha de pagamento. Saiba mais informações abaixo:

Ademais, o consignado que o Corpo de Bombeiros do estado de Minas Gerais oferece é muito simples e fácil de solicitar. Basta clicar no botão Solicite e preencher o formulário para que nosso time de consultores possa entrar em contato.

Consignado CBM Minas Gerais + Vantagens

Veja algumas vantagens que o consignado do Corpo de Bombeiros Militar do estado mineiro oferece:

  • Não haverá consulta ao SPC e ao SERASA
  • Desconto direto na folha de pagamento
  • Parcelas Fixas
  • Aqui, os prazos são maiores para realizar pagamento
  • As taxas de juros são convidativas
  • Valor máximo liberado: R$ 25.000,00

Público Alvo

O empréstimo ofertado pela CBM do estado de Minas Gerais está destinado ao seguinte público, como por exemplo:

  • Servidores Efetivos
  • Militares da CBM

Consulte nossa equipe de suporte para confirmar se seu convênio está ativo para poder contratar.

Regulamentação

Todas as modalidades de crédito consignado atendem a uma regulamentação do Banco Central e Lei 10.820 que determinam as regras de contratação. No entanto, os convênios firmados entre seu órgão têm regras específicas as quais serão consideradas na liberação do seu Crédito. As instituições financeiras têm políticas de crédito especificas conforme perfil do cliente. Portanto, tais regras também serão consideradas.

Documentação Necessária

Os documentos necessários para a contratação de seu empréstimo consignado são:

  • Registro Geral (RG)
  • CPF
  • Comprovante de endereço atualizado
  • Detalhamento de Crédito

A apresentação de todos os documentos deverá ser de forma legível e dentro dos prazos de validade, pois ajudam a agilizar seu empréstimo.

Empréstimo Consignado PM Pernambuco

A PMPE, Polícia Militar de Pernambuco, é uma entidade autárquica que presta serviços para o Governo do estado e tem a missão de proteger os cidadãos e preservar a ordem pública no estado pernambucano. A PMPE é um órgão operativo da SDS, Secretaria de Defesa Social.

O empréstimo consignado que a PM do estado pernambucano oferece aos seus servidores públicos possui uma das taxas de juros mais baixas dentre os empréstimos. Saiba mais informações abaixo:

Ademais, o consignado que a Polícia Militar do estado de Pernambuco oferece é muito simples e fácil de solicitar. Basta clicar no botão Solicite e preencher o formulário para que nosso time de consultores possa entrar em contato.

Consignado PM Pernambuco + Vantagens para você

Veja algumas vantagens que o consignado da Polícia Militar do estado pernambucano oferece:

  • Sem consulta aos órgãos de proteção ao crédito SPC e SERASA
  • Desconto direto na folha de pagamento
  • Parcelas Fixas
  • Os prazos são extensos para pagar
  • Aqui, as taxas de juros são mais interessantes
  • Valor máximo liberado: R$ 12.750,00

Público Alvo

O empréstimo ofertado pela PM do estado de Pernambuco está destinado ao seguinte público, como por exemplo:

  • Servidores Efetivos

Consulte nossa equipe de suporte para confirmar se seu convênio está ativo para poder contratar.

Regulamentação

Todas as modalidades de crédito consignado atendem a uma regulamentação do Banco Central e Lei 10.820 que determinam as regras de contratação. No entanto, os convênios firmados entre seu órgão têm regras específicas as quais serão consideradas na liberação do seu Crédito. As instituições financeiras têm políticas de crédito especificas conforme perfil do cliente. Portanto, tais regras também serão consideradas.

Documentação Necessária

Os documentos necessários para a contratação de seu empréstimo consignado são:

  • Carteira de Identificação (RG)
  • Cadastro de Pessoas Físicas (CPF)
  • Comprovante de residência
  • Detalhamento de Crédito

A apresentação de todos os documentos deverá ser de forma legível e dentro dos prazos de validade, pois ajudam a agilizar seu empréstimo.

Empréstimo Consignado GCM Ribeirão Preto

A GCM, Guarda Civil Municipal, de Ribeirão Preto é uma instituição autárquica responsável pela segurança de seus moradores e também do patrimônio e equipamentos de uso público do município. No entanto, a GCM também atua desempenhando ações de defesa civil e promovendo a paz social.

O consignado é a forma mais segura de empréstimo, pois o valor da parcela não pode ultrapassar 30% do salário ou benefício do servidor público. É justamente essa oportunidade que a GCM de Ribeirão Preto oferta. Veja mais abaixo!

Ademais, o consignado que a Guarda Civil Municipal da cidade de Ribeirão Preto oferece é muito simples e fácil de solicitar. Basta clicar no botão Solicite e preencher o formulário para que nosso time de consultores possa entrar em contato.

Consignado GCM Ribeirão Preto + Vantagens

Veja algumas vantagens que o consignado da Guarda Civil do município de Ribeirão Preto oferece:

  • Não haverá consulta aos órgãos SPC e SERASA
  • Desconto direto na folha de pagamento
  • Parcelas Fixas
  • Prazos estendidos para pagamento
  • Aqui, as taxas de juros são menores
  • Valor máximo liberado: R$ 12.000,00

Público Alvo

O empréstimo ofertado pelo GCM da cidade de Ribeirão Preto está destinado ao seguinte público, como por exemplo:

  • Servidores Efetivos

Consulte nossa equipe de suporte para confirmar se seu convênio está ativo para poder contratar.

Regulamentação

Todas as modalidades de crédito consignado atendem a uma regulamentação do Banco Central e Lei 10.820 que determinam as regras de contratação. No entanto, os convênios firmados entre seu órgão têm regras específicas as quais serão consideradas na liberação do seu Crédito. As instituições financeiras têm políticas de crédito especificas conforme perfil do cliente. Portanto, tais regras também serão consideradas.

Documentação Necessária

Os documentos necessários para a contratação de seu empréstimo consignado são:

  • Cédula de Identidade (RG)
  • CPF
  • Comprovante de endereço atual
  • Detalhamento de Crédito

A apresentação de todos os documentos deverá ser de forma legível e dentro dos prazos de validade, pois ajudam a agilizar seu empréstimo.

Empréstimo Consignado PM Minas Gerais

A Polícia Militar do Estado de Minas Gerais é responsável por estabelecer a ordem em todo o estado. Certamente, o patrono da PMMG é o herói da Inconfidência Mineira, Alferes Tiradentes, cujo Brasil inteiro o relembra no dia 21 de abril. Uma curiosidade é que antes no nome ser Polícia Militar de Minas Gerais, seu nome era Dragões da Inconfidência.

O consignado que a Polícia Militar mineira oferta aos servidores públicos é um empréstimo com desconto em folha no qual o funcionário poderá adquirir o bem que quiser, sem a necessidade de dar satisfações quanto ao uso do dinheiro.

Ademais, o consignado que a PM do estado de Minas Gerais oferece é muito simples e fácil de solicitar. Basta clicar no botão Solicite e preencher o formulário para que nosso time de consultores possa entrar em contato.

Consignado PM Minas Gerais + Vantagens para você

Veja algumas vantagens que o consignado da Polícia Militar do estado de MG oferece:

  • Sem consulta aos órgãos de proteção ao crédito SPC e SERASA
  • Desconto direto na folha de pagamento
  • Parcelas Fixas
  • Aqui, os prazos são diferenciados para pagamento
  • Taxas de juros mais justas
  • Valor máximo liberado: R$ 25.000,00

Público Alvo

O empréstimo ofertado pelo PM do estado de Minas Gerais está destinado ao seguinte público, como por exemplo:

  • Servidores Efetivos

Consulte nossa equipe de suporte para confirmar se seu convênio está ativo para poder contratar.

Regulamentação

Todas as modalidades de crédito consignado atendem a uma regulamentação do Banco Central e Lei 10.820 que determinam as regras de contratação. No entanto, os convênios firmados entre seu órgão têm regras específicas as quais serão consideradas na liberação do seu Crédito. As instituições financeiras têm políticas de crédito especificas conforme perfil do cliente. Portanto, tais regras também serão consideradas.

Documentação Necessária

Os documentos necessários para a contratação de seu empréstimo consignado são:

  • Registro Geral (RG)
  • Cadastro de Pessoas Físicas (CPF)
  • Comprovante de residência atualizado
  • Detalhamento de Crédito

A apresentação de todos os documentos deverá ser de forma legível e dentro dos prazos de validade, pois ajudam a agilizar seu empréstimo.

Empréstimo Consignado PM São Paulo

A Polícia Militar do Estado de São Paulo tem a importante função de manter a ordem no estado. Não é uma tarefa nada fácil. Além de proteger o estado e manter a ordem, a PM faz o policiamento escolar, de trânsito, atende chamados de ligações 190, entre outros serviços.

No empréstimo consignado oferecido pela Polícia Militar do estado paulista, os servidores públicos terão um prazo maior para pagamento e as taxas de juros são mais justas. Veja mais informações abaixo:

Ademais, o consignado que a PM do estado de São Paulo oferece é muito simples e fácil de solicitar. Basta clicar no botão Solicite e preencher o formulário para que nosso time de consultores possa entrar em contato.

Consignado PM São Paulo + Vantagens

Veja algumas vantagens que o consignado da Polícia Militar do estado de SP oferece:

  • Não haverá consulta ao SPC e ao SERASA
  • Desconto direto na folha de pagamento
  • Parcelas Fixas
  • Os prazos são mais longos para pagamento
  • As taxas de juros são melhores do que as praticadas no mercado
  • Valor máximo liberado: R$ 30.000,00

Público Alvo

O empréstimo ofertado pelo PM do estado de São Paulo está destinado ao seguinte público, como por exemplo:

  • Servidores Efetivos

Consulte nossa equipe de suporte para confirmar se seu convênio está ativo para poder contratar.

Regulamentação

Todas as modalidades de crédito consignado atendem a uma regulamentação do Banco Central e Lei 10.820 que determinam as regras de contratação. No entanto, os convênios firmados entre seu órgão têm regras específicas as quais serão consideradas na liberação do seu Crédito. As instituições financeiras têm políticas de crédito especificas conforme perfil do cliente. Portanto, tais regras também serão consideradas.

Documentação Necessária

Os documentos necessários para a contratação de seu empréstimo consignado são:

  • RG
  • CPF
  • Comprovante de endereço atual
  • Detalhamento de Crédito

A apresentação de todos os documentos deverá ser de forma legível e dentro dos prazos de validade, pois ajudam a agilizar seu empréstimo.

Empréstimo Consignado GCM Varginha

A Guarda Civil Municipal de Varginha, também conhecida como GCM, é uma entidade autárquica que é responsável pela segurança dos habitantes do belo município localizado no estado mineiro. A GCM também possui o dever de proteger o meio ambiente.

Com o empréstimo consignado oferecido pela Guarda Civil Municipal do município de Varginha, os servidores públicos poderão adquirir os bens que quiser sem a necessidade de informar no que foi usado o dinheiro.

Ademais, o consignado que o GCM da cidade de Varginha oferece é muito simples e fácil de solicitar. Basta clicar no botão Solicite e preencher o formulário para que nosso time de consultores possa entrar em contato.

Consignado GCM Varginha + Vantagens para você

Veja algumas vantagens que o consignado da Guarda Civil Municipal de Varginha oferece:

  • Sem consulta aos órgãos de proteção ao crédito SPC e SERASA
  • Desconto direto na folha de pagamento
  • Parcelas Fixas
  • Prazos maiores para pagar
  • Aqui, as taxas de juros são menores
  • Valor máximo liberado: R$ 8.500,00

Público Alvo

O empréstimo ofertado pelo GCM do município de Varginha está destinado ao seguinte público, como por exemplo:

  • Servidores Efetivos

Consulte nossa equipe de suporte para confirmar se seu convênio está ativo para poder contratar.

Regulamentação

Todas as modalidades de crédito consignado atendem a uma regulamentação do Banco Central e Lei 10.820 que determinam as regras de contratação. No entanto, os convênios firmados entre seu órgão têm regras específicas as quais serão consideradas na liberação do seu Crédito. As instituições financeiras têm políticas de crédito especificas conforme perfil do cliente. Portanto, tais regras também serão consideradas.

Documentação Necessária

Os documentos necessários para a contratação de seu empréstimo consignado são:

  • Carteira de identidade (RG)
  • Cadastro de Pessoas Físicas (CPF)
  • Comprovante de residência
  • Detalhamento de Crédito

A apresentação de todos os documentos deverá ser de forma legível e dentro dos prazos de validade, pois ajudam a agilizar seu empréstimo.

Empréstimo Consignado DEMLURB Juiz de Fora

O DEMLURB, Departamento Municipal de Limpeza Urbana de Juiz de Fora, é uma autarquia que realiza os serviços de coleta de lixo, varrição das vias, capinar os matos, entre outros. O DEMLURB é pioneiro na castração gratuita de cães e gatos, independente se são machos ou fêmeas.

O Departamento Municipal de Limpeza Urbana da cidade de Juiz de Fora oferta aos seus servidores públicos um empréstimo consignado com desconto em folha em que o funcionário poderá adquirir o bem que quiser.

Ademais, o consignado que o DEMBURB do município de Juiz de Fora oferece é muito simples e fácil de solicitar. Basta clicar no botão Solicite e preencher o formulário para que nosso time de consultores possa entrar em contato.

Consignado DEMLURB Juiz de Fora + Vantagens

Veja algumas vantagens que o consignado do Departamento Municipal de Limpeza Urbana de Juiz de Fora oferece:

  • Não haverá consulta aos órgãos SPC e SERASA
  • Desconto direto na folha de pagamento
  • Parcelas Fixas
  • Os prazos são entendidos para pagamento
  • Taxas de juros competitivas
  • Valor máximo liberado: R$ 25.000,00

Público Alvo

O empréstimo ofertado pelo DEMLURB da cidade de Juiz de Fora está destinado ao seguinte público, como por exemplo:

  • Servidores Efetivos

Consulte nossa equipe de suporte para confirmar se seu convênio está ativo para poder contratar.

Regulamentação

Todas as modalidades de crédito consignado atendem a uma regulamentação do Banco Central e Lei 10.820 que determinam as regras de contratação. No entanto, os convênios firmados entre seu órgão têm regras específicas as quais serão consideradas na liberação do seu Crédito. As instituições financeiras têm políticas de crédito especificas conforme perfil do cliente. Portanto, tais regras também serão consideradas.

Documentação Necessária

Os documentos necessários para a contratação de seu empréstimo consignado são:

  • Registro Geral (RG)
  • CPF
  • Comprovante de endereço atualizado
  • Detalhamento de Crédito

A apresentação de todos os documentos deverá ser de forma legível e dentro dos prazos de validade, pois ajudam a agilizar seu empréstimo.

Empréstimo Consignado UFPB Paraíba

A UFPB, Universidade Federal do estado da Paraíba, é uma instituição autárquica reconhecida pelo ensino eficiente e também pelas pesquisas tecnológicas. Localizada na capital do estado, João Pessoa, a UFPR é uma das Universidades mais importantes do país e da América Latina.

O empréstimo consignado que a Universidade Federal da Paraíba oferece aos seus servidores públicos, está cheio de benefícios como por exemplo desconto direto na folha de pagamento, um prazo maior para pagar, uma taxa de juros melhor, entre outros.

Ademais, o consignado que a Universidade Federal do estado paraibano oferece é muito simples e fácil de solicitar. Basta clicar no botão Solicite e preencher o formulário para que nosso time de consultores possa entrar em contato.

Consignado UFPB Paraíba + Vantagens para você

Veja algumas vantagens que o empréstimo consignado da Universidade Federal da Paraíba oferece:

  • Sem consulta aos órgãos de proteção ao crédito SPC e SERASA
  • Desconto direto na folha de pagamento
  • Parcelas Fixas
  • Prazos maiores para pagamento
  • Aqui, as taxas de juros são mais justas, levando em consideração as taxas praticadas no mercado

Público Alvo

O empréstimo ofertado pela Unicamp de Campinas está destinado ao seguinte público, como por exemplo:

  • Servidores Efetivos

Consulte nossa equipe de suporte para confirmar se seu convênio está ativo para poder contratar.

Regulamentação

Todas as modalidades de crédito consignado atendem a uma regulamentação do Banco Central e Lei 10.820 que determinam as regras de contratação. No entanto, os convênios firmados entre seu órgão têm regras específicas as quais serão consideradas na liberação do seu Crédito. As instituições financeiras têm políticas de crédito especificas conforme perfil do cliente. Portanto, tais regras também serão consideradas.

Documentação Necessária

Os documentos necessários para a contratação de seu empréstimo consignado são:

  • RG
  • Cadastro de Pessoas Físicas (CPF)
  • Comprovante de residência atual
  • Detalhamento de Crédito

A apresentação de todos os documentos deverá ser de forma legível e dentro dos prazos de validade, pois ajudam a agilizar seu empréstimo.

Empréstimo Consignado Unicamp Campinas

A Universidade Estadual de Campinas, Unicamp, é uma autarquia mantida pelo Governo do Estado de São Paulo. A Unicamp é uma faculdade de graduação e pós-graduação 100% gratuita e seu vestibular é um dos mais concorridos do Brasil, devido ao aprendizado ser acima da média.

A Universidade Estadual de Campinas oferece uns dos mais altos valores de empréstimo consignado com desconto em folha para o servidor público que necessita do dinheiro para viajar, pagar contas e investir. 

Ademais, o consignado que a Unicamp de Campinas oferece é muito simples e fácil de solicitar. Basta clicar no botão Solicite e preencher o formulário para que nosso time de consultores possa entrar em contato.

Consignado Unicamp Campinas + Vantagens

Veja algumas vantagens que o empréstimo consignado da Universidade Estadual de Campinas oferece:

  • Não haverá consulta ao SPC e ao SERASA
  • Desconto direto na folha de pagamento
  • Parcelas Fixas
  • Os prazos são mais longos para pagar
  • As taxas de juros são mais justas
  • Valor máximo liberado: R$ 40.000,00

Público Alvo

O empréstimo ofertado pela Unicamp de Campinas está destinado ao seguinte público, como por exemplo:

  • Servidores Efetivos

Consulte nossa equipe de suporte para confirmar se seu convênio está ativo para poder contratar.

Regulamentação

Todas as modalidades de crédito consignado atendem a uma regulamentação do Banco Central e Lei 10.820 que determinam as regras de contratação. No entanto, os convênios firmados entre seu órgão têm regras específicas as quais serão consideradas na liberação do seu Crédito. As instituições financeiras têm políticas de crédito especificas conforme perfil do cliente. Portanto, tais regras também serão consideradas.

Documentação Necessária

Os documentos necessários para a contratação de seu empréstimo consignado são:

  • Documento de Identificação (RG)
  • CPF
  • Comprovante de endereço atualizado
  • Detalhamento de Crédito

A apresentação de todos os documentos deverá ser de forma legível e dentro dos prazos de validade, pois ajudam a agilizar seu empréstimo.

Empréstimo Consignado FUNPAR Paraná

A FUNPAR, que é a Fundação de apoio da Universidade Federal do Paraná, foi criada em 1979 com o objetivo de ser uma estrutura ágil e flexível da Universidade, acompanhando a dinâmica de conhecimento científico e tecnológico. Contudo, para apoiar a Universidade, era necessário a aceitação do Ministério Público, o que de fato ocorreu em 1980.

A Fundação que apoia a Universidade Federal do Paraná oferece um empréstimo com desconto na folha de pagamento, onde os servidores públicos poderão adquirir bens, pagar dívidas, emprestar, entre outros.

Ademais, o consignado que a FUNPAR do Paraná oferece é muito simples e fácil de solicitar. Basta clicar no botão Solicite e preencher o formulário para que nosso time de consultores possa entrar em contato.

Consignado FUNPAR Paraná + Vantagens para Você

Veja algumas vantagens que o empréstimo consignado da Fundação de apoio da Universidade Federal do Paraná oferece:

  • Sem consulta aos órgãos de proteção ao crédito SPC e SERASA
  • Desconto direto na folha de pagamento
  • Parcelas Fixas
  • Prazos diferenciados para pagamento
  • Aqui, as taxas de juros são menores
  • Valor máximo liberado: R$ 10.000,00

Público Alvo

O empréstimo ofertado pela FUNPAR do Paraná está destinado ao seguinte público, como por exemplo:

  • Servidores Efetivos

Consulte nossa equipe de suporte para confirmar se seu convênio está ativo para poder contratar.

Regulamentação

Todas as modalidades de crédito consignado atendem a uma regulamentação do Banco Central e Lei 10.820 que determinam as regras de contratação. No entanto, os convênios firmados entre seu órgão têm regras específicas as quais serão consideradas na liberação do seu Crédito. As instituições financeiras têm políticas de crédito especificas conforme perfil do cliente. Portanto, tais regras também serão consideradas.

Documentação Necessária

Os documentos necessários para a contratação de seu empréstimo consignado são:

  • Cédula de Identidade (RG)
  • Cadastro de Pessoas Físicas (CPF)
  • Comprovante de residência
  • Detalhamento de Crédito

A apresentação de todos os documentos deverá ser de forma legível e dentro dos prazos de validade, pois ajudam a agilizar seu empréstimo.

Empréstimo Consignado FME Niterói

A Fundação Municipal de Educação de Niterói é uma autarquia vinculada a Secretaria de Educação da Prefeitura do município de Niterói. A FME é responsável pela administração da rede educacional pública. Contudo, a unidade ainda possui biblioteca e um telecentro para que o aprendizado seja melhor absorvido.

A Fundação Municipal de Educação de Niterói oferece aos seus servidores públicos um empréstimo consignado com desconto em folha, onde o funcionário poderá fazer suas compras sem precisar dar explicações onde utilizou o dinheiro.

Ademais, o consignado que a FME da cidade de Niterói oferece é muito simples e fácil de solicitar. Basta clicar no botão Solicite e preencher o formulário para que nosso time de consultores possa entrar em contato.

Consignado FME Niterói + Vantagens

Veja algumas vantagens que o empréstimo consignado da Fundação Municipal de Educação de Niterói oferece:

  • Não haverá consulta aos órgãos SPC e SERASA
  • Desconto direto na folha de pagamento
  • Parcelas Fixas
  • Os prazos são maiores para pagar
  • Taxas de juros convidativas
  • Valor máximo liberado: R$ 7.500,00

Público Alvo

O empréstimo ofertado pela FME da cidade de Niterói está destinado ao seguinte público, como por exemplo:

  • Servidores Efetivos

Consulte nossa equipe de suporte para confirmar se seu convênio está ativo para poder contratar.

Regulamentação

Todas as modalidades de crédito consignado atendem a uma regulamentação do Banco Central e Lei 10.820 que determinam as regras de contratação. No entanto, os convênios firmados entre seu órgão têm regras específicas as quais serão consideradas na liberação do seu Crédito. As instituições financeiras têm políticas de crédito especificas conforme perfil do cliente. Portanto, tais regras também serão consideradas.

Documentação Necessária

Os documentos necessários para a contratação de seu empréstimo consignado são:

  • Registro Geral (RG)
  • CPF
  • Comprovante de endereço atual
  • Detalhamento de Crédito

A apresentação de todos os documentos deverá ser de forma legível e dentro dos prazos de validade, pois ajudam a agilizar seu empréstimo.

Empréstimo Consignado FMS Niterói

O FMS, Fundação Municipal de Saúde da cidade de Niterói – RJ, é uma autarquia que fornece atendimento na área da saúde pública e busca excelência no atendimento da população da cidade. Contudo, o FMS implementa uma logística para atender a demanda e reabastecer os suprimentos para a execução do trabalho.

No Empréstimo Consignado da Fundação Municipal de Saúde de Niterói, o servidor público poderá utilizar o dinheiro para comprar o que quiser e fazer o que quiser. Saiba mais abaixo:

Ademais, o consignado que a FMS do município de Rio Claro oferece é muito simples e fácil de solicitar. Basta clicar no botão Solicite e preencher o formulário para que nosso time de consultores possa entrar em contato.

Consignado FMS Niterói + Vantagens para Você

Veja algumas vantagens que o empréstimo consignado da Fundação Municipal da Saúde de Niterói oferece:

  • Sem consulta ao SPC e ao SERASA
  • Desconto direto na folha de pagamento
  • Parcelas Fixas
  • Longos prazos para pagamento
  • Aqui, as taxas de juros são menores do que as praticadas no mercado
  • Valor máximo liberado: R$ 7.500,00

Público Alvo

O empréstimo ofertado pela FMS do município de Niterói está destinado ao seguinte público, como por exemplo:

  • Servidores Efetivos

Consulte nossa equipe de suporte para confirmar se seu convênio está ativo para poder contratar.

Regulamentação

Todas as modalidades de crédito consignado atendem a uma regulamentação do Banco Central e Lei 10.820 que determinam as regras de contratação. No entanto, os convênios firmados entre seu órgão têm regras específicas as quais serão consideradas na liberação do seu Crédito. As instituições financeiras têm políticas de crédito especificas conforme perfil do cliente. Portanto, tais regras também serão consideradas.

Documentação Necessária

Os documentos necessários para a contratação de seu empréstimo consignado são:

  • Documento de identidade (RG)
  • Cadastro de Pessoa Física (CPF)
  • Comprovante de residência atualizado
  • Detalhamento de Crédito

A apresentação de todos os documentos deverá ser de forma legível e dentro dos prazos de validade, pois ajudam a agilizar seu empréstimo.

Empréstimo Consignado FMS Rio Claro

A Fundação Municipal de Saúde (FMS) da cidade de Rio Claro é uma entidade autárquica que atende crianças e adolescentes com sinais de depressão, além de possuir uma ala veterinária para nossos queridos animais. A FMS de Rio Claro atua nas campanhas de vacinação também.

No consignado que a Fundação Municipal de Saúde de Rio Claro oferta, os servidores públicos terão um empréstimo com desconto mensal na folha de pagamento até o término da parcelas, além de uma excelente taxa de juros.  

Ademais, o consignado que a FMS do município de Rio Claro oferece é muito simples e fácil de solicitar. Basta clicar no botão Solicite e preencher o formulário para que nosso time de consultores possa entrar em contato.

Consignado FMS Rio Claro + Vantagens para Você

Veja algumas vantagens que o empréstimo consignado da Fundação Municipal da Saúde de Rio Claro oferece:

  • Não haverá consulta aos órgão de proteção ao crédito SPC e SERASA
  • Desconto direto na folha de pagamento
  • Parcelas Fixas
  • Prazos estendidos para pagar
  • Taxas de juros mais justas
  • Valor máximo liberado: R$ 12.000,00

Público Alvo

O empréstimo ofertado pela FMS da cidade de Rio Claro está destinado ao seguinte público, como por exemplo:

  • Servidores Efetivos

Consulte nossa equipe de suporte para confirmar se seu convênio está ativo para poder contratar.

Regulamentação

Todas as modalidades de crédito consignado atendem a uma regulamentação do Banco Central e Lei 10.820 que determinam as regras de contratação. No entanto, os convênios firmados entre seu órgão têm regras específicas as quais serão consideradas na liberação do seu Crédito. As instituições financeiras têm políticas de crédito especificas conforme perfil do cliente. Portanto, tais regras também serão consideradas.

Documentação Necessária

Os documentos necessários para a contratação de seu empréstimo consignado são:

  • Carteira de Identidade (RG)
  • CPF
  • Comprovante de endereço atual
  • Detalhamento de Crédito

A apresentação de todos os documentos deverá ser de forma legível e dentro dos prazos de validade, pois ajudam a agilizar seu empréstimo.

Empréstimo Consignado SAAEC Colina

O SAAEC, Serviço Autônomo de Água e Esgoto de Colina, é uma entidade autárquica sem fins lucrativos que é responsável pela gestão administrativa e de manutenção do município. Contudo, o SAAEC se encarrega de operar, manter, conservar e explorar os serviços de água e esgoto, buscando sempre melhorar a qualidade dos mesmos.

Com o empréstimo consignado que o Serviço Autônomo de Água e Esgoto de Colina oferece, os servidores poderão utilizar o dinheiro para pagar contas, passear, emprestar, reformar a casa, entre muitos outros. 

Ademais, o consignado que o serviço de água e esgoto do município de Colina oferece é muito simples e fácil de solicitar. Basta clicar no botão Solicite e preencher o formulário para que nosso time de consultores possa entrar em contato.

Consignado SAAEC Colina + Vantagens

Veja algumas vantagens que o empréstimo consignado do Serviço Autônomo de Água e Esgoto de Colina oferece:

  • Não consulta ao SPC e ao SERASA
  • Desconto direto na folha de pagamento
  • Parcelas Fixas
  • Os prazos são mais longos para pagamento
  • As taxas de juros são reduzidas
  • Valor máximo liberado: R$ 12.000,00

Público Alvo

O empréstimo ofertado pela SAAEC da cidade de Colina está destinado ao seguinte público, como por exemplo:

  • Servidores Efetivos

Consulte nossa equipe de suporte para confirmar se seu convênio está ativo para poder contratar.

Regulamentação

Todas as modalidades de crédito consignado atendem a uma regulamentação do Banco Central e Lei 10.820 que determinam as regras de contratação. No entanto, os convênios firmados entre seu órgão têm regras específicas as quais serão consideradas na liberação do seu Crédito. As instituições financeiras têm políticas de crédito especificas conforme perfil do cliente. Portanto, tais regras também serão consideradas.

Documentação Necessária

Os documentos necessários para a contratação de seu empréstimo consignado são:

  • Cédula de Identidade (RG)
  • Cadastro de Pessoa Física (CPF)
  • Comprovante de residência
  • Detalhamento de Crédito

A apresentação de todos os documentos deverá ser de forma legível e dentro dos prazos de validade, pois ajudam a agilizar seu empréstimo.

Empréstimo Consignado SAAE Sete Lagoas

O Serviço Autônomo de Água e Esgoto, SAAE, do município de Sete Lagoas, Minas Gerais, é uma entidade autárquica sem fins lucrativos que atende os habitantes da região. O SAAE possui receita própria e administra o recebimento das tarifas de água e esgoto e faz investimentos em infraestrutura e ampliação do sistema.

Com o valor do empréstimo consignado que o SAAE de Sete Lagoas disponibiliza aos servidores públicos, os mesmos poderão viajar, reformar a casa, pagar contas, etc, … 

Ademais, o consignado que o serviço de água e esgoto da cidade de Sete Lagoas oferece é muito simples e fácil de solicitar. Basta clicar no botão Solicite e preencher o formulário para que nosso time de consultores possa entrar em contato.

Consignado SAAE Sete Lagoas + Vantagens para Você

Veja algumas vantagens que o empréstimo consignado do Serviço Autônomo de Água e Esgoto de Sete Lagoas oferece:

  • Sem consulta aos órgãos SPC e SERASA
  • Desconto direto na folha de pagamento
  • Parcelas Fixas
  • Prazos maiores para pagamento
  • Taxas de juros melhores do que as praticadas no mercado
  • Valor máximo liberado: R$ 18.000,00

Público Alvo

O empréstimo ofertado pela SAAE Sete Lagoas está destinado ao seguinte público, como por exemplo:

  • Servidores Efetivos

Consulte nossa equipe de suporte para confirmar se seu convênio está ativo para poder contratar.

Regulamentação

Todas as modalidades de crédito consignado atendem a uma regulamentação do Banco Central e Lei 10.820 que determinam as regras de contratação. No entanto, os convênios firmados entre seu órgão têm regras específicas as quais serão consideradas na liberação do seu Crédito. As instituições financeiras têm políticas de crédito especificas conforme perfil do cliente. Portanto, tais regras também serão consideradas.

Documentação Necessária

Os documentos necessários para a contratação de seu empréstimo consignado são:

  • Registro Geral (RG)
  • CPF
  • Comprovante de endereço
  • Detalhamento de Crédito

A apresentação de todos os documentos deverá ser de forma legível e dentro dos prazos de validade, pois ajudam a agilizar seu empréstimo.

Empréstimo Consignado DMAES Ponte Nova

O DMAES, Departamento Municipal de Água, Esgoto e Saneamento, é uma entidade autárquica da Prefeitura da cidade de Ponte Nova. Para atender a demanda de quase 60 mil habitantes, o DMAES possui uma excelente estrutura e uma equipe altamente qualificada.

Com o empréstimo consignado que o DMAES de Ponte Preta oferece, os servidores públicos poderão utilizar o dinheiro da forma que quiser para comprar o quiser. 

Ademais, o consignado que o departamento municipal de água, esgoto e saneamento de Ponta Nova oferece é muito simples e fácil de solicitar. Basta clicar no botão Solicite e preencher o formulário para que nosso time de consultores possa entrar em contato.

Consignado DMAES Ponte Nova + Vantagens para Você

Veja algumas vantagens que o consignado do Departamento de Água, Esgotos e Saneamento de Ponte Nova oferece:

  • Não haverá consulta aos órgãos de proteção ao crédito SPC e SERASA
  • Desconto direto na folha de pagamento
  • Parcelas Fixas
  • Longos prazos para pagamento
  • Taxas de juros mais atrativas
  • Valor máximo liberado: R$ 8.500,00

Público Alvo

O empréstimo ofertado pela DMAES Ponte Nova está destinado ao seguinte público, como por exemplo:

  • Servidores Efetivos

Consulte nossa equipe de suporte para confirmar se seu convênio está ativo para poder contratar.

Regulamentação

Todas as modalidades de crédito consignado atendem a uma regulamentação do Banco Central e Lei 10.820 que determinam as regras de contratação. No entanto, os convênios firmados entre seu órgão têm regras específicas as quais serão consideradas na liberação do seu Crédito. As instituições financeiras têm políticas de crédito especificas conforme perfil do cliente. Portanto, tais regras também serão consideradas.

Documentação Necessária

Os documentos necessários para a contratação de seu empréstimo consignado são:

  • Carteira de Identificação (RG)
  • Cadastro de Pessoas Físicas (CPF)
  • Comprovante de residência
  • Detalhamento de Crédito

A apresentação de todos os documentos deverá ser de forma legível e dentro dos prazos de validade, pois ajudam a agilizar seu empréstimo.

Empréstimo Consignado DMAE Uberlândia

O Departamento Municipal de Água e Esgoto de Uberlândia, o DMAE, é uma entidade autárquica da Prefeitura da cidade de Uberlândia. O DMAE possui a missão de fiscalizar o coordenar obras de remodelação, com o propósito de fazer melhorias no abastecimento de água e esgoto da região.

No consignado que o Departamento de água e esgoto do município de Uberlândia oferece, os servidores públicos poderão quitar dívidas, fazer compras, viajar, reformar a casa, ou seja, poderão fazer o que quiser. 

Ademais, o consignado que o departamento municipal de água e esgotos de Uberlândia oferece é muito simples e fácil de solicitar. Basta clicar no botão Solicite e preencher o formulário para que nosso time de consultores possa entrar em contato.

Consignado DMAE Uberlândia + Vantagens

Veja algumas vantagens que o empréstimo consignado do Departamento de Água e Esgotos de Uberlândia oferece:

  • Sem consulta ao SPC e ao SERASA
  • Desconto direto na folha de pagamento
  • Parcelas Fixas
  • Prazos mais extensos para pagar
  • Taxas de juros melhores
  • Valor máximo liberado: R$ 10.000,00

Público Alvo

O empréstimo ofertado pela DMAE Uberlândia está destinado ao seguinte público, como por exemplo:

  • Servidores Efetivos

Consulte nossa equipe de suporte para confirmar se seu convênio está ativo para poder contratar.

Regulamentação

Todas as modalidades de crédito consignado atendem a uma regulamentação do Banco Central e Lei 10.820 que determinam as regras de contratação. No entanto, os convênios firmados entre seu órgão têm regras específicas as quais serão consideradas na liberação do seu Crédito. As instituições financeiras têm políticas de crédito especificas conforme perfil do cliente. Portanto, tais regras também serão consideradas.

Documentação Necessária

Os documentos necessários para a contratação de seu empréstimo consignado são:

  • Cédula de Identidade (RG)
  • CPF
  • Comprovante de endereço atualizado
  • Detalhamento de Crédito

A apresentação de todos os documentos deverá ser de forma legível e dentro dos prazos de validade, pois ajudam a agilizar seu empréstimo.

Empréstimo Consignado DAERP Ribeirão Preto

Criado em 1969, o Departamento de Água e Esgotos de Ribeirão Preto, DAERP, é uma entidade autárquica que possui exclusividade no abastecimento de água e esgoto para a população de Ribeirão Preto. A coleta de esgoto atende 98% dos moradores da cidade. Isso se deve graças aos esforços da prefeitura, que em 1995, fez uma parceria com a iniciativa privada.

O consignado que o DAERP oferece, dá a possibilidade aos servidores públicos de Ribeirão Preto de realizarem viagens, pagar uma conta, emprestar dinheiro para amigos ou familiares, etc.

Ademais, o consignado que o departamento de água e esgotos de Ribeirão Preto oferece é muito simples e fácil de solicitar. Basta clicar no botão Solicite e preencher o formulário para que nosso time de consultores possa entrar em contato.

Consignado DAERP Ribeirão Preto + Vantagens para Você

Veja algumas vantagens que o empréstimo consignado do Departamento de Água e Esgotos de Ribeirão Preto lhe oferece:

  • Não haverá consulta aos órgãos SPC e SERASA
  • Desconto direto na folha de pagamento
  • Parcelas Fixas
  • Os prazos são maiores para pagamento
  • As taxas de juros são justas do que as praticadas no mercado
  • Valor máximo liberado: R$ 12.000,00

Público Alvo

O empréstimo ofertado pela DAERP está destinado ao seguinte público, como por exemplo:

  • Servidores Efetivos

Consulte nossa equipe de suporte para confirmar se seu convênio está ativo para poder contratar.

Regulamentação

Todas as modalidades de crédito consignado atendem a uma regulamentação do Banco Central e Lei 10.820 que determinam as regras de contratação. No entanto, os convênios firmados entre seu órgão têm regras específicas as quais serão consideradas na liberação do seu Crédito. As instituições financeiras têm políticas de crédito especificas conforme perfil do cliente. Portanto, tais regras também serão consideradas.

Documentação Necessária

Os documentos necessários para a contratação de seu empréstimo consignado são:

  • Registro Geral (RG)
  • Cadastro de Pessoa Física (CPF)
  • Comprovante de residência atual
  • Detalhamento de Crédito

A apresentação de todos os documentos deverá ser de forma legível e dentro dos prazos de validade, pois ajudam a agilizar seu empréstimo.

Empréstimo Consignado FUNPREV Bauru

A Fundação de Previdência dos Servidores Públicos Municipais Efetivos de Bauru, a FUNPREV, é a instituição responsável pela gestão administrativa do INSS e também pela distribuição dos benefícios adquiridos pelos servidores municipais da cidade de Bauru.

O consignado que a FUNPREV oferece aos servidores públicos do município de Bauru possui benefícios como desconto na folha de pagamento, um prazo estendido para pagamento das parcelas e uma taxa de juros mais justa.

Ademais, o Consignado do Instituto de Previdência dos Servidores da cidade de Bauru é muito simples e fácil de solicitar. Basta clicar no botão Solicite e preencher o formulário para que nosso time de consultores possa entrar em contato.

Consignado Consignado FUNPREV Bauru + Vantagens para Você

Veja algumas vantagens que o empréstimo consignado do Instituto Previdenciário do município de Bauru oferece:

  • Sem consulta aos órgãos SPC e SERASA
  • Desconto na folha de pagamento
  • Parcelas Fixas
  • Prazos maiores para pagar
  • As taxas de juros são menores do que as atualmente praticadas no mercado
  • Valor máximo liberado: R$ 12.000,00

Público Alvo

O empréstimo ofertado para o Instituto Previdenciário de Bauru está destinado ao seguinte público, como por exemplo:

  • Servidores Efetivos
  • Servidores Municipais Aposentados
  • Servidores Municipais Pensionistas

Consulte nossa equipe de suporte para confirmar se seu convênio está ativo para poder contratar.

Regulamentação

Todas as modalidades de crédito consignado atendem a uma regulamentação do Banco Central e Lei 10.820 que determinam as regras de contratação. No entanto, os convênios firmados entre seu órgão têm regras específicas as quais serão consideradas na liberação do seu Crédito. As instituições financeiras têm políticas de crédito especificas conforme perfil do cliente. Portanto, tais regras também serão consideradas.

Documentação Necessária

Os documentos necessários para a contratação de seu empréstimo consignado são:

  • Carteira de Identidade (RG)
  • CPF
  • Comprovante de residência atualizado
  • Detalhamento de Crédito

A apresentação de todos os documentos deverá ser de forma legível e dentro dos prazos de validade, pois ajudam a agilizar seu empréstimo.

Empréstimo Consignado SPPREV São Paulo Previdência

Criada para atender os servidores públicos municipais do Estado de São Paulo, a SPPREV é uma importante instituição que realiza diversos serviços como por exemplo efetuar o pagamentos dos benefícios como aposentadorias e pensões dos servidores públicos do estado de São Paulo e também auxilia o INSS na gestão administrativa e financeira do estado.

O consignado que o Instituto de Previdência oferece, visa dar possibilidade aos servidores públicos municipais de São Paulo de adquirirem os bens que quiser, fazer viagens, pagar contas, emprestar, entre outros.

Ademais, o empréstimo consignado do Instituto Previdenciário da cidade de São Paulo é muito simples e fácil de solicitar. Basta clicar no botão Solicite e preencher o formulário para que nosso time de consultores possa entrar em contato.

Consignado SPPREV São Paulo Previdência + Vantagens

Veja algumas vantagens que o empréstimo consignado do Instituto da Previdência de São Paulo lhe oferece:

  • Não haverá consulta aos órgãos de proteção ao crédito SPC e SERASA
  • Desconto direto na folha de pagamento
  • Parcelas Fixas
  • Os prazos serão mais longos para pagamento
  • Taxas de juros mais atraentes do que as praticadas no mercado
  • Valor máximo liberado: R$ 30.000,00

Público Alvo

O empréstimo ofertado pela SPPREV está destinado ao seguinte público, como por exemplo:

  • Aposentados e Pensionistas
  • Servidores Efetivos

Consulte nossa equipe de suporte para confirmar se seu convênio está ativo para poder contratar.

Regulamentação

Todas as modalidades de crédito consignado atendem a uma regulamentação do Banco Central e Lei 10.820 que determinam as regras de contratação. No entanto, os convênios firmados entre seu órgão têm regras específicas as quais serão consideradas na liberação do seu Crédito. As instituições financeiras têm políticas de crédito especificas conforme perfil do cliente. Portanto, tais regras também serão consideradas.

Documentação Necessária

Os documentos necessários para a contratação de seu empréstimo consignado são:

  • Cédula de Identidade (RG)
  • Cadastro de Pessoa Física (CPF)
  • Comprovante de endereço
  • Detalhamento de Crédito

A apresentação de todos os documentos deverá ser de forma legível e dentro dos prazos de validade, pois ajudam a agilizar seu empréstimo.

Empréstimo Consignado Maringá Previdência

O Instituto Previdenciário de Maringá é uma instituição municipal que possui autoridade jurídica de direito público que realiza a administração dos servidores municipais como cadastramento e verificação de documentos. O Instituto da Previdência de Maringá também distribui os benefícios aos servidores públicos municipais.

O empréstimo consignado que a Previdência de Maringá oferta aos servidores municipais possui vantagens como por exemplo um prazo mais longo para efetuar o pagamento, uma taxa de juros mais atraente, entre outros.

Ademais, o Consignado do Instituto de Previdência da cidade de Maringá é muito simples e fácil de solicitar. Basta clicar no botão Solicite e preencher o formulário para que nosso time de consultores possa entrar em contato.

Consignado Maringá Previdência + Vantagens

Veja algumas vantagens que o empréstimo consignado do Instituto Previdenciário do município de Maringá oferece:

  • Não haverá consulta ao SPC e ao SERASA
  • Desconto na folha de pagamento
  • Parcelas Fixas
  • Os prazos são extensos para efetuar o pagamento
  • Aqui, as taxas de juros são mais justas

Público Alvo

O empréstimo ofertado para o Instituto Previdenciário de Maringá está destinado ao seguinte público, como por exemplo:

  • Servidores Efetivos
  • Servidores Municipais Aposentados
  • Servidores Municipais Pensionistas

Consulte nossa equipe de suporte para confirmar se seu convênio está ativo para poder contratar.

Regulamentação

Todas as modalidades de crédito consignado atendem a uma regulamentação do Banco Central e Lei 10.820 que determinam as regras de contratação. No entanto, os convênios firmados entre seu órgão têm regras específicas as quais serão consideradas na liberação do seu Crédito. As instituições financeiras têm políticas de crédito especificas conforme perfil do cliente. Portanto, tais regras também serão consideradas.

Documentação Necessária

Os documentos necessários para a contratação de seu empréstimo consignado são:

  • Registro Geral (RG)
  • Cadastro de Pessoas Físicas (CPF)
  • Comprovante de endereço
  • Detalhamento de Crédito

A apresentação de todos os documentos deverá ser de forma legível e dentro dos prazos de validade, pois ajudam a agilizar seu empréstimo.

Empréstimo Consignado IPMU Ubatuba

O Instituto de Previdência Municipal de Ubatuba, IPMU, é uma instituição que garante que o servidor público municipal e seus dependentes recebam integralmente os benefícios que têm direito por lei como por exemplo o auxílio saúde e a pensão. Contudo, seu papel é fundamental também na verificação dos servidores quanto as obrigações com a Previdência.

O consignado que o Instituto Previdenciário da cidade de Ubatuba é destinado aos seus servidores públicos municipais, tem como sua finalidade oferecer um empréstimo com desconto em folha e mais qualidade na vida dos seus funcionários, Veremos a seguir mais informações. 

Ademais, o empréstimo do Instituto de Previdência de Ubatuba é muito simples e fácil de solicitar. Contudo, é só clicar no botão Solicite e preencher o formulário para que nosso time de consultores possa entrar em contato.

Consignado IPMU Ubatuba + Vantagens

Conheça agora quais são as vantagens que o Instituto Previdenciário de Ubatuba oferece aos seus servidores:

  • Sem consulta aos órgãos SPC e SERASA
  • Longos prazos para pagamento
  • Parcelas fixas
  • Desconto direto na folha de pagamento
  • As taxas de juros são mais atraentes

Regulamentação

O empréstimo Consignado é uma linha de crédito regulamentada e atende a lei 10.820 de 17 de Dezembro de 2003. Contudo, a regulamentação sobre o empréstimo consignado foi recentemente atualizada através da resolução 722 em 20 de Fevereiro de 2015. Ademais, essa lei que define além de prazos e condições, as obrigações entre as partes.

Margem consignável

  • Margem de Consignação: 30% (trinta por cento)
  • No entanto, a margem deve estar POSITIVA em pelo R$0,01 (um centavo).
  • A margem ZERADA no sistema significa MARGEM NEGATIVA. No entanto, para este caso, o cálculo deverá ser manual para identificar o real valor (negativo) da margem.

Documentos Necessários

  • Cédula de Identidade (RG)
  • Cadastro de Pessoa Física (CPF)
  • Comprovante de residência atual
  • Último contracheque

Ademais, a apresentação de todos os documentos de forma legível e dentro dos prazos de validade ajudam a agilizar seu empréstimo.

Empréstimo Consignado IPFS Feira de Santana

O IPFS, Instituto de Previdência de Feira de Santana, é uma instituição cuja missão é garantir que o servidor público municipal receba todos os direitos corretamente. No entanto, o IPFS também é responsável pela fiscalização dos servidores quanto a obrigação com o Instituto Nacional de Seguridade Social (INSS).

O consignado que o IPFS oferece aos servidores públicos municipais de Feira de Santana benefícios como por exemplo desconto direto na folha de pagamento, um prazo maior para pagar, uma taxa de juros reduzida, entre outros benefícios.

Ademais, o Instituto Previdenciário de Feira de Santana é muito simples e fácil de solicitar. Basta clicar no botão Solicite e preencher o formulário para que nosso time de consultores possa entrar em contato.

Consignado IPFS Feira de Santana + Vantagens para Você

Veja algumas vantagens que o empréstimo consignado IPFS oferece aos seus servidores:

  • Não haverá consulta aos órgãos SPC e SERASA
  • Desconto direto na folha de pagamento
  • Parcelas Fixas
  • Prazos mais longos para pagar
  • Aqui, as taxas de juros mais atrativas

Público Alvo

O empréstimo ofertado para o Instituto de Previdência do município de Feira de Santana está destinado ao seguinte público, como por exemplo:

  • Aposentados e Pensionistas
  • Servidores Efetivos

Consulte nossa equipe de suporte para confirmar se seu convênio está ativo para poder contratar.

Regulamentação

Todas as modalidades de crédito consignado atendem a uma regulamentação do Banco Central e Lei 10.820 que determinam as regras de contratação. No entanto, os convênios firmados entre seu órgão têm regras específicas as quais serão consideradas na liberação do seu Crédito. As instituições financeiras têm políticas de crédito especificas conforme perfil do cliente. Portanto, tais regras também serão consideradas.

Documentação Necessária

Os documentos necessários para a contratação de seu empréstimo consignado são:

  • Registro Geral (RG)
  • CPF
  • Comprovante de residência
  • Detalhamento de Crédito

A apresentação de todos os documentos deverá ser de forma legível e dentro dos prazos de validade, pois ajudam a agilizar seu empréstimo.

Empréstimo Consignado ISSA Anápolis

O Instituto de Seguridade Social dos Servidores Municipais de Anápolis, ISSA, atende os servidores públicos municipais sempre com respeito e seriedade, pois é uma instituição que se apoia na lei e luta para que todos os direitos adquiridos pelos servidores sejam entregues ao mesmos.

Com o empréstimo consignado oferecido aos servidores municipais de Anápolis, os mesmos poderão utilizar o dinheiro para fazer uma reforma na casa, para pagar dívidas ou para viajar com toda a família.

Ademais, o Consignado do Instituto Previdenciário de Anápolis é muito simples e fácil de solicitar. Basta clicar no botão Solicite e preencher o formulário para que nosso time de consultores possa entrar em contato.

Consignado ISSA Anápolis + Vantagens para Você

Veja algumas vantagens que o empréstimo consignado do Instituto de Seguridade Social de Anápolis oferece aos servidores:

  • Não haverá consulta aos órgãos SPC e SERASA
  • Desconto na folha de pagamento
  • Parcelas Fixas
  • Os prazos são maiores para pagamento
  • Aqui, as taxas de juros são competitivas

Público Alvo

O empréstimo ofertado para o Instituto de Previdência de Anápolis está destinado ao seguinte público, como por exemplo:

  • Servidores Efetivos
  • Aposentados e Pensionistas

Consulte nossa equipe de suporte para confirmar se seu convênio está ativo para poder contratar.

Regulamentação

Todas as modalidades de crédito consignado atendem a uma regulamentação do Banco Central e Lei 10.820 que determinam as regras de contratação. No entanto, os convênios firmados entre seu órgão têm regras específicas as quais serão consideradas na liberação do seu Crédito. As instituições financeiras têm políticas de crédito especificas conforme perfil do cliente. Portanto, tais regras também serão consideradas.

Documentação Necessária

Os documentos necessários para a contratação de seu empréstimo consignado são:

  • RG
  • CPF
  • Comprovante de endereço
  • Detalhamento de Crédito

A apresentação de todos os documentos deverá ser de forma legível e dentro dos prazos de validade, pois ajudam a agilizar seu empréstimo.

Empréstimo Consignado IPERGS Rio Grande do Sul

O IPERGS, Instituto de Previdência do Estado do Rio Grande do Sul, é a instituição responsável pela distribuição dos benefícios aos servidores públicos municipais e seus dependentes. Contudo, outra função importante é a fiscalização quanto a documentação dos funcionários, verificando se está em dia com a Previdência Social.

O consignado que o IPERGS oferece aos servidores públicos municipais possui desconto em folha, um prazo maior para pagar as parcelas e uma taxa de juros reduzida. Veja mais informações abaixo:

Ademais, o Consignado do Instituto de Previdência dos Servidores do estado do Rio Grande do Sul é muito simples e fácil de solicitar. Basta clicar no botão Solicite e preencher o formulário para que nosso time de consultores possa entrar em contato.

Consignado IPERGS Rio Grande do Sul + Vantagens

Veja algumas vantagens que o empréstimo consignado do Instituto Previdenciário IPERGS oferece:

  • Não haverá consulta aos órgãos de proteção ao crédito SPC e SERASA
  • Desconto na folha de pagamento
  • Parcelas Fixas
  • Prazos extensos para efetuar o pagamento
  • Taxas de juros melhores do que as praticadas no mercado

Público Alvo

O empréstimo ofertado para o Instituto Previdenciário do Rio Grande do Sul está destinado ao seguinte público, como por exemplo:

  • Servidores Efetivos
  • Servidores Municipais Aposentados
  • Servidores Municipais Pensionistas

Consulte nossa equipe de suporte para confirmar se seu convênio está ativo para poder contratar.

Regulamentação

Todas as modalidades de crédito consignado atendem a uma regulamentação do Banco Central e Lei 10.820 que determinam as regras de contratação. No entanto, os convênios firmados entre seu órgão têm regras específicas as quais serão consideradas na liberação do seu Crédito. As instituições financeiras têm políticas de crédito especificas conforme perfil do cliente. Portanto, tais regras também serão consideradas.

Documentação Necessária

Os documentos necessários para a contratação de seu empréstimo consignado são:

  • RG
  • Cadastro de Pessoas Físicas (CPF)
  • Comprovante de residência atual
  • Detalhamento de Crédito

A apresentação de todos os documentos deverá ser de forma legível e dentro dos prazos de validade, pois ajudam a agilizar seu empréstimo.

Empréstimo Consignado IPM João Pessoa

O IPM, Instituto de Previdência que fica localizado no município de João Pessoa, exerce uma importante função que é a de fiscalizar se os servidores municipais estão em dia com o INSS e também o IPM é responsável pela distribuição dos benefícios aos servidores.

Veja como o empréstimo consignado é a excelente opção para você que é servidor público municipal na cidade de João Pessoa e está precisando de dinheiro para pagar uma conta, fazer uma viagem ou ainda reformar a casa.

Ademais, o Consignado do Instituto Previdenciário de João Pessoa é muito simples e fácil de solicitar. Basta clicar no botão Solicite e preencher o formulário para que nosso time de consultores possa entrar em contato.

Consignado IPM João Pessoa + Vantagens para Você

Veja algumas vantagens que o empréstimo consignado IPM oferece aos servidores públicos municipais:

  • Não haverá consulta ao SPC e ao SERASA
  • Desconto na folha de pagamento
  • Parcelas Fixas
  • Os prazos são maiores para pagamento
  • Aqui tem as menores taxas de juros

Público Alvo

O empréstimo ofertado pelo IPM está destinado ao seguinte público, como por exemplo:

  • Aposentados e Pensionistas
  • Servidores Efetivos

Consulte nossa equipe de suporte para confirmar se seu convênio está ativo para poder contratar.

Regulamentação

Todas as modalidades de crédito consignado atendem a uma regulamentação do Banco Central e Lei 10.820 que determinam as regras de contratação. No entanto, os convênios firmados entre seu órgão têm regras específicas as quais serão consideradas na liberação do seu Crédito. As instituições financeiras têm políticas de crédito especificas conforme perfil do cliente. Portanto, tais regras também serão consideradas.

Documentação Necessária

Os documentos necessários para a contratação de seu empréstimo consignado são:

  • Registro Geral (RG)
  • CPF
  • Comprovante de endereço atualizado
  • Detalhamento de Crédito

A apresentação de todos os documentos deverá ser de forma legível e dentro dos prazos de validade, pois ajudam a agilizar seu empréstimo.

Empréstimo Consignado IPMPG Praia Grande

O Instituto de Previdência Municipal de Praia Grande, IPMPG, tem a responsabilidade de fiscalizar se os servidores municipais estão cumprindo o seu papel com a previdência como também fazer a distribuição dos benefícios adquiridos pelos servidores e seus dependentes.

No empréstimo consignado do Instituto Previdenciário da cidade de Praia Grande, os servidores públicos poderão utilizar o dinheiro para adquirir o bem que quiser. Veja mais informações logo abaixo:

Ademais, o Consignado do Instituto da Previdência dos Servidores da Praia Grande é muito simples e fácil de solicitar. Basta clicar no botão Solicite e preencher o formulário para que nosso time de consultores possa entrar em contato.

Consignado IPMPG Praia Grande + Vantagens

Veja algumas vantagens que o empréstimo consignado para os servidores municipais da Praia Grande oferece:

  • Sem consulta ao SPC e ao SERASA
  • Desconto na folha de pagamento
  • Parcelas Fixas
  • Os prazos para pagamento são maiores
  • Aqui, as taxas de juros são justas

Público Alvo

O empréstimo ofertado pelo IPMPG está destinado ao seguinte público, como por exemplo:

  • Aposentados e Pensionistas
  • Servidores Efetivos

Consulte nossa equipe de suporte para confirmar se seu convênio está ativo para poder contratar.

Regulamentação

Todas as modalidades de crédito consignado atendem a uma regulamentação do Banco Central e Lei 10.820 que determinam as regras de contratação. No entanto, os convênios firmados entre seu órgão têm regras específicas as quais serão consideradas na liberação do seu Crédito. As instituições financeiras têm políticas de crédito especificas conforme perfil do cliente. Portanto, tais regras também serão consideradas.

Documentação Necessária

Os documentos necessários para a contratação de seu empréstimo consignado são:

  • Cédula de identidade (RG)
  • Cadastro de Pessoa Física (CPF)
  • Comprovante de endereço
  • Detalhamento de Crédito

A apresentação de todos os documentos deverá ser de forma legível e dentro dos prazos de validade, pois ajudam a agilizar seu empréstimo.

Empréstimo Consignado IPREV Santos

O Instituto de Previdência Social dos Servidores Municipais de Santos, o IPREV Santos, tem a responsabilidade de fiscalizar os servidores públicos municipais como também de fornecer os benefícios como os auxílios nas áreas da saúde e de pensão.

No empréstimo consignado ofertado pelo Instituto Previdenciário do município de Santos, os servidores poderão usar o dinheiro como quiser. Veja mais informações abaixo:

Ademais, o Consignado do Instituto da Previdência da cidade de Santos é muito simples e fácil de solicitar. Basta clicar no botão Solicite e preencher o formulário para que nosso time de consultores possa entrar em contato.

Consignado IPREV Santos + Vantagens

Veja algumas vantagens que o consignado do instituto previdenciário de Santos oferece aos seus servidores municipais:

  • Sem consulta aos órgãos de proteção ao crédito SPC e SERASA
  • Desconto direto na folha de pagamento
  • Parcelas Fixas
  • Os prazos são maiores para pagamento
  • Taxas de juros melhores do que as praticadas no mercado

Público Alvo

O empréstimo ofertado pelo IPREV está destinado ao seguinte público, como por exemplo:

  • Aposentados e Pensionistas
  • Servidores Efetivos

Consulte nossa equipe de suporte para confirmar se seu convênio está ativo para poder contratar.

Regulamentação

Todas as modalidades de crédito consignado atendem a uma regulamentação do Banco Central e Lei 10.820 que determinam as regras de contratação. No entanto, os convênios firmados entre seu órgão têm regras específicas as quais serão consideradas na liberação do seu Crédito. As instituições financeiras têm políticas de crédito especificas conforme perfil do cliente. Portanto, tais regras também serão consideradas.

Documentação Necessária

Os documentos necessários para a contratação de seu empréstimo consignado são:

  • Cédula de Identificação (RG)
  • CPF
  • Comprovante de endereço atual
  • Detalhamento de Crédito

A apresentação de todos os documentos deverá ser de forma legível e dentro dos prazos de validade, pois ajudam a agilizar seu empréstimo.

Empréstimo Consignado IPMB Barretos

O Instituto de Previdência do Município de Barretos, conhecido também como IPMB, é uma instituição focada no cumprimento dos deveres previdenciários tanto por parte dos servidores municipais quanto pelo pagamento da prefeitura aos funcionários públicos municipais.

Com empréstimo consignado que o Instituto Previdenciário oferece, os servidores municipais de Barretos poderão adquirir bens, realizar viagens, pagar contas, emprestar, entre outros. Veja mais informações a seguir:

Ademais, o empréstimo consignado do Instituto da Previdência da cidade de Barretos é muito simples e fácil de solicitar. Basta clicar no botão Solicite e preencher o formulário para que nosso time de consultores possa entrar em contato.

Consignado IPMB Barretos + Vantagens para Você

Veja algumas vantagens que o empréstimo consignado do Instituto da Previdência de Barretos lhe oferece:

  • Sem consulta aos órgãos de proteção ao crédito SPC e SERASA
  • Desconto direto na folha de pagamento
  • Parcelas Fixas
  • Longos prazos para pagar
  • Taxas de juros competitivas

Público Alvo

O empréstimo ofertado pelo Instituto Previdenciário de Barretos está destinado ao seguinte público, como por exemplo:

  • Aposentados e Pensionistas
  • Servidores Efetivos

Consulte nossa equipe de suporte para confirmar se seu convênio está ativo para poder contratar.

Regulamentação

Todas as modalidades de crédito consignado atendem a uma regulamentação do Banco Central e Lei 10.820 que determinam as regras de contratação. No entanto, os convênios firmados entre seu órgão têm regras específicas as quais serão consideradas na liberação do seu Crédito. As instituições financeiras têm políticas de crédito especificas conforme perfil do cliente. Portanto, tais regras também serão consideradas.

Documentação Necessária

Os documentos necessários para a contratação de seu empréstimo consignado são:

  • Registro Geral (RG)
  • Cadastro de Pessoa Física (CPF)
  • Comprovante de residência atualizado
  • Detalhamento de Crédito

A apresentação de todos os documentos deverá ser de forma legível e dentro dos prazos de validade, pois ajudam a agilizar seu empréstimo.

Empréstimo Consignado IPI Itajaí

O Instituto Previdenciário de Itajaí, IPI, é uma sólida instituição que tem a missão de fiscalizar se o servidor público está com a documentação em dia para que possa receber os benefícios e também o IPI ajuda a fornecer esses benefícios adquiridos.

O consignado ofertado pelo Instituto Previdenciário da cidade de Itajaí é um empréstimo com desconto em folha no qual os servidores públicos poderão utilizar o dinheiro para fazerem o que quiser. Veja mais informações abaixo:

Ademais, o Consignado do Instituto de Previdência do município de Itajaí é muito simples e fácil de solicitar. Basta clicar no botão Solicite e preencher o formulário para que nosso time de consultores possa entrar em contato.

Consignado IPI Itajaí + Vantagens para Você

Veja algumas vantagens que o consignado da cidade de Itajaí oferece aos seus servidores municipais:

  • Não haverá consulta ao SPC e ao SERASA
  • Desconto direto na folha de pagamento
  • Parcelas Fixas
  • Prazos estendidos para pagamento
  • Taxas de juros atrativas

Público Alvo

O empréstimo ofertado pelo IPI está destinado ao seguinte público, como por exemplo:

  • Aposentados e Pensionistas
  • Servidores Efetivos

Consulte nossa equipe de suporte para confirmar se seu convênio está ativo para poder contratar.

Regulamentação

Todas as modalidades de crédito consignado atendem a uma regulamentação do Banco Central e Lei 10.820 que determinam as regras de contratação. No entanto, os convênios firmados entre seu órgão têm regras específicas as quais serão consideradas na liberação do seu Crédito. As instituições financeiras têm políticas de crédito especificas conforme perfil do cliente. Portanto, tais regras também serão consideradas.

Documentação Necessária

Os documentos necessários para a contratação de seu empréstimo consignado são:

  • Cédula de Identidade (RG)
  • Cadastro de Pessoa Física (CPF)
  • Comprovante de residência atualizado
  • Detalhamento de Crédito

A apresentação de todos os documentos deverá ser de forma legível e dentro dos prazos de validade, pois ajudam a agilizar seu empréstimo.

Empréstimo Consignado IPMO Osasco

O Instituto de Previdência do Município de Osasco, IPMO, é uma instituição designada para verificar se os servidores públicos municipais e seus dependentes estão recebendo corretamente os benefícios aos quais têm direito como por exemplo os serviços de saúde e as pensões.

O IPMO de Osasco oferece um empréstimo consignado aos servidores públicos municipais com desconto direto na folha de pagamento, além de possuir uma excelente taxa de juros.

Ademais, o Consignado do Instituto de Previdência de Osasco é muito simples e fácil de solicitar. Basta clicar no botão Solicite e preencher o formulário para que nosso time de consultores possa entrar em contato.

Consignado IPMO Osasco + Vantagens para Você

Veja algumas vantagens que o empréstimo consignado do Instituto Previdenciário de Osasco oferece:

  • Sem consulta ao SPC e ao SERASA
  • Desconto na folha de pagamento
  • Parcelas Fixas
  • Os prazos são maiores para pagamento
  • Aqui, as taxas de juros são justas

Público Alvo

O empréstimo ofertado para o Instituto de Previdência de Osasco está destinado ao seguinte público, como por exemplo:

  • Servidores Efetivos
  • Servidores Municipais Aposentados
  • Servidores Municipais Pensionistas

Consulte nossa equipe de suporte para confirmar se seu convênio está ativo para poder contratar.

Regulamentação

Todas as modalidades de crédito consignado atendem a uma regulamentação do Banco Central e Lei 10.820 que determinam as regras de contratação. No entanto, os convênios firmados entre seu órgão têm regras específicas as quais serão consideradas na liberação do seu Crédito. As instituições financeiras têm políticas de crédito especificas conforme perfil do cliente. Portanto, tais regras também serão consideradas.

Documentação Necessária

Os documentos necessários para a contratação de seu empréstimo consignado são:

  • Documento de Identidade (RG)
  • Cadastro de Pessoas Físicas (CPF)
  • Comprovante de residência
  • Detalhamento de Crédito

A apresentação de todos os documentos deverá ser de forma legível e dentro dos prazos de validade, pois ajudam a agilizar seu empréstimo.

Empréstimo Consignado IPRESV São Vicente

O Instituto de Previdência dos Servidores Municipais de São Vicente, IPRESV, é uma instituição que preza pelo cumprimento da lei que diz que tanto o servidor público municipal quanto seus dependentes possuem direito dos benefícios de saúde e de pensão.

O empréstimo que o consignado IPRESV da cidade de São Vicente oferece, possui a grande vantagem do desconto ser direto na folha de pagamento, além das taxas de juros serem reduzidas.

Ademais, o Consignado do Instituto da Previdenciário de São Vicente é muito simples e fácil de solicitar. Basta clicar no botão Solicite e preencher o formulário para que nosso time de consultores possa entrar em contato.

Consignado IPRESV São Vicente + Vantagens para Você

Veja algumas vantagens que o empréstimo consignado do Instituto da Previdência de São Vicente lhe oferece:

  • Sem consulta aos órgãos de proteção ao crédito SPC e SERASA
  • Desconto na folha de pagamento
  • Parcelas Fixas
  • Prazo mais extenso para pagar
  • Taxas de juros melhores do que as que são atualmente praticadas no mercado

Público Alvo

O empréstimo ofertado para o Instituto Previdenciário da cidade de São Vicente está destinado ao seguinte público, como por exemplo:

  • Servidores Estatutários
  • Aposentados
  • Pensionistas

Consulte nossa equipe de suporte para confirmar se seu convênio está ativo para poder contratar.

Regulamentação

Todas as modalidades de crédito consignado atendem a uma regulamentação do Banco Central e Lei 10.820 que determinam as regras de contratação. No entanto, os convênios firmados entre seu órgão têm regras específicas as quais serão consideradas na liberação do seu Crédito. As instituições financeiras têm políticas de crédito especificas conforme perfil do cliente. Portanto, tais regras também serão consideradas.

Documentação Necessária

Os documentos necessários para a contratação de seu empréstimo consignado são:

  • Documento de Identificação (RG)
  • Cadastro de Pessoa Física (CPF)
  • Comprovante de residência atualizado
  • Detalhamento de Crédito

A apresentação de todos os documentos deverá ser de forma legível e dentro dos prazos de validade, pois ajudam a agilizar seu empréstimo.

Empréstimo Consignado IPSSC Cajamar

O IPSSC, Instituto de Previdência Social dos Servidores de Cajamar, tem a importante missão de garantir que todos os servidores públicos municipais assim como seus dependentes recebam o auxílio garantido por lei.

O consignado ofertado pelo Instituto Previdenciário de Cajamar é uma modalidade de empréstimo onde os servidores poderão usufruir do dinheiro da forma que quiser.

Ademais, o Consignado do Instituto da Previdência da cidade de Cajamar é muito simples e fácil de solicitar. Basta clicar no botão Solicite e preencher o formulário para que nosso time de consultores possa entrar em contato.

Consignado IPSSC Cajamar + Vantagens

Veja algumas vantagens que o empréstimo consignado IPSSC do município de Cajamar lhe oferece:

  • Não haverá consulta aos órgãos SPC e SERASA
  • Desconto direto na folha de pagamento
  • Parcelas Fixas
  • Longos prazos para pagamento
  • Taxas de juros mais atraentes

Público Alvo

O empréstimo ofertado pelo IPSSC está destinado ao seguinte público, como por exemplo:

  • Aposentados e Pensionistas
  • Servidores Efetivos

Consulte nossa equipe de suporte para confirmar se seu convênio está ativo para poder contratar.

Regulamentação

Todas as modalidades de crédito consignado atendem a uma regulamentação do Banco Central e Lei 10.820 que determinam as regras de contratação. No entanto, os convênios firmados entre seu órgão têm regras específicas as quais serão consideradas na liberação do seu Crédito. As instituições financeiras têm políticas de crédito especificas conforme perfil do cliente. Portanto, tais regras também serão consideradas.

Documentação Necessária

Os documentos necessários para a contratação de seu empréstimo consignado são:

  • Cédula de Identidade (RG)
  • CPF
  • Comprovante de residência atual
  • Detalhamento de Crédito

A apresentação de todos os documentos deverá ser de forma legível e dentro dos prazos de validade, pois ajudam a agilizar seu empréstimo.

Banco BMG – Uma história de Sucesso

Conheça a história do BMG, um dos bancos mais tradicionais do nosso país. Contudo, acompanhe sua trajetória e as conquistas do banco líder em empréstimo consignado no Brasil.

Banco BMG – A trajetória

Antes de falarmos sobre o início do banco BMG, temos que falar sobre o Sr. Benjamim Ferreira Guimarães, um importante coronel, que em 1906, na cidade de Belo Horizonte, fundou uma empresa têxtil chamada Ferreira Guimarães. Contudo, essa empresa foi o início do Grupo BMG.

O banco BMG foi fundado em Belo Horizonte, no dia 31 de Julho de 1930 pelo médico Antonio Mourão Guimarães, filho do coronel Benjamim, sob o nome de Banco Crédito Predial S.A. No entanto, algum tempo depois, mudou seu nome para Banco de Minas Gerais e, posteriormente, para Banco BMG.

BMG – Principais fatos

O Banco BMG possui tantos fatos marcantes nessa bela história de quase 90 anos. No entanto, destacaremos os principais:

  • 1930 – Nasce o Banco BMG
  • Década de 1980 – O Banco BMG é líder em Leasing (financiamento de veículos leves e pesados)
  • 1998 – O BMG lança o Consignado, se tornando pioneiro neste segmento no Brasil
  • 2005 – É lançado o BMG Card, o cartão de crédito consignado que é sucesso absoluto de contratações do Banco BMG.
  • 2010 – 90% .dos ativos do Banco BMG se deve ao sucesso de vendas do BMG Card
  • 2017 – O BMG inova e lança a plataforma de investimentos 100% digital BMG Invest Digital

São tantos produtos que o Grupo BMG lançou por toda a sua história. No entanto, falaremos um pouco dos campeões de contratações.

Cartão Consignado BMG INSS

É um cartão de crédito exclusivo para Servidores Públicos Federais, Estaduais e Municipais, além de Aposentados e Pensionistas do INSS, sendo que o desconto mínimo da fatura do cartão ocorre mensalmente na folha de pagamento. Ademais, essa modalidade de empréstimo é garantida pela margem consignada que o cliente possui.

BMG Card

Lançado em 2005, o BMG Card é um cartão de crédito internacional sem anuidade e com uma taxa de juros justa, bem menor do que os cartões de crédito convencionais. Contudo, no BMG Card, o crédito está diretamente ligado ao salário do contratante, sendo descontado em folha de pagamento, como ocorre nos empréstimos consignados, evitando assim que o cliente fique inadimplente.

Existem muitas semelhanças entre o empréstimo consignado e o cartão de crédito consignado. Contudo, a única diferença é que no empréstimo consignado, o crédito é entregue diretamente para o cliente, enquanto no cartão de crédito consignado, o valor será usado para pagar a fatura do cartão. No entanto, esse valor é acumulado durante o mês, como acontece nos cartões de crédito convencionais.

Contudo, para quem não tem margem disponível para o Consignado, o Banco BMG oferece o Dinheiro Extra. Nessa modalidade, o crédito é liberado em até 24 horas e o parcelamento da dívida poderá ser em até 12 meses.

BMG Invest Digital

O BMG Invest Digital foi lançado em 2017. Ele é excelente para o investidor que quer fazer seu dinheiro cada vez render mais. É uma plataforma 100% digital, onde você encontra diversas formas do seu dinheiro render e forma rápida, segura e sem cobrança de taxas. Contudo, neste produto, o seu rendimento será maior do que a poupança.

Ademais, pelo 2º ano consecutivo, ou seja em 2016 e 2017, o Banco BMG recebeu o prêmio de Best Bank for Investor Relations Brazil (Melhor Banco para Relação com Investidores do Brasil).

Um banco inigualável

O Banco BMG é tão transparente nas suas operações que disponibiliza seus dados financeiros para o público.

No entanto, confira abaixo o quadro de destaques financeiros do banco BMG:

Indicadores 2T18 1T18 2T/1T (%) 2T17 2T/2T (%) 1S18 1S17 1S/1S (%)
Lucro Líquido (R$ Milhões) 45 31 44,2% 11 290,5% 76 17 355,9%
ROAE 6,9% 4,9% 2,0p.p 1,8% 5,1p.p 5,9% 1,3% 4,6 p.p
ROAA 1,1% 0,8% 0,3p.p 0,3% 0,8p.p 0,9% 0,2% 0,7 p.p
Índice de Basiléia 13,9% 14,1% -0,2p.p 19,6% -5,7p.p 13,9% 19,6% -5,7 p.p
Margem Financeira Líquida 16,4% 16,0% 0,4p.p 13,4% 3,0p.p 15,8% 12,5% 3,3 p.p
Índice de Eficiência 52,3% 52,8% -0,5p.p 61,2% -8,9p.p 52,5% 55,3% -2,8 p.p
Inadimplência – Carteira E-H 7,2% 7,0% 0,2p.p 7,6% -0,4p.p 7,2% 7,6% -0,4 p.p
Inadimplência – parcelas vencidas 4,5% 4,0% 0,5p.p 3,9% 0,6p.p 4,5% 3,9% 0,6 p.p
Balanço Patrimonial (R$ Milhões) 2T18 1T18 2T/1T (%) 2T17 2T/2T (%)
Carteira de Crédito Total 9.096 8.824 3,1% 8.185 11,1%
Ativos Totais 16.170 16.148 0,1% 15.539 4,1%
Patrimônio Líquido 2.701 2.635 2,5% 2.601 3,9%
Captação Total (Funding) 11.852 11.822 0,3% 10.895 8,8%

Telefones do Banco BMG

O Banco BMG dispõe de várias centrais de relacionamento e canais de atendimento. Contudo, veja abaixo qual melhor se encaixa de acordo com a sua necessidade:

Centrais de Relacionamento BMG

  • Cartões BMG (24 horas):

4002 7007 (ligação realizada de telefone móvel)

0800 770 1790 (ligação realizada de telefone fixo)

  • Outros Produtos (exceto cartão de crédito):

0800 031 8866

Canais de Atendimento BMG

  • SAC BMG: 0800 979 9099
  • Deficientes auditivos e de fala: 0800 979 7333
  • Ouvidoria: 0800 723 2044
  • Cobrança: 0800 286 3636

Empréstimo Consignado IPC Cariacica

O Instituto de Previdência dos Servidores Públicos do Município de Cariacica, o IPC, é uma instituição que garante que os servidor municipais bem como seus dependentes recebam seus benefícios corretamente. Esse direito é assegurado por lei.

O empréstimo consignado oferecido aos servidores municipais de Cariacica é uma excelente opção, pois além do desconto do empréstimo ser na folha de pagamento, as taxas de juros são mais justas. Conheça mais abaixo:

Ademais, o Consignado do Instituto da Previdência dos Servidores do município de Cariacica é muito simples e fácil de solicitar. Basta clicar no botão Solicite e preencher o formulário para que nosso time de consultores possa entrar em contato.

Consignado IPC Cariacica + Vantagens para Você

Veja algumas vantagens que o empréstimo consignado IPC da cidade de Cariacica lhe oferece:

  • Sem consulta aos órgãos de proteção ao crédito SPC e SERASA
  • Desconto direto na folha de pagamento
  • Parcelas Fixas
  • Prazos maiores para pagar
  • Aqui, as taxas de juros são menores

Público Alvo

O empréstimo ofertado pelo IPC está destinado ao seguinte público, como por exemplo:

  • Aposentados e Pensionistas
  • Servidores Efetivos

Consulte nossa equipe de suporte para confirmar se seu convênio está ativo para poder contratar.

Regulamentação

Todas as modalidades de crédito consignado atendem a uma regulamentação do Banco Central e Lei 10.820 que determinam as regras de contratação. No entanto, os convênios firmados entre seu órgão têm regras específicas as quais serão consideradas na liberação do seu Crédito. As instituições financeiras têm políticas de crédito especificas conforme perfil do cliente. Portanto, tais regras também serão consideradas.

Documentação Necessária

Os documentos necessários para a contratação de seu empréstimo consignado são:

  • Registro Geral (RG)
  • Cadastro de Pessoa Física (CPF)
  • Comprovante de endereço atualizado
  • Detalhamento de Crédito

A apresentação de todos os documentos deverá ser de forma legível e dentro dos prazos de validade, pois ajudam a agilizar seu empréstimo.

Empréstimo Consignado IPSA Santo André

O IPSA, Instituto de Previdência de Santo André, é responsável por administrar e fornecer os benefícios assegurados por lei para os aposentados e pensionistas do município e seus dependentes como por exemplo assistência médica e pensão.

São diversas as vantagens que o consignado do Instituto Previdenciário de Santo André oferece aos servidores públicos municipais, como por exemplo ter um prazo mais longo para pagamento, uma taxa de juros justa, entre outras.

Ademais, o Consignado do Instituto da Previdência da cidade de Santo André é muito simples e fácil de solicitar. Basta clicar no botão Solicite e preencher o formulário para que nosso time de consultores possa entrar em contato.

Consignado IPSA Santo André + Vantagens

Veja algumas vantagens que o empréstimo consignado IPSA que a cidade de Santo André lhe oferece:

  • Sem consulta aos órgãos SPC e SERASA
  • Desconto na folha de pagamento
  • Parcelas Fixas
  • Os prazos são maiores para pagar
  • Taxas de juros competitivas

Público Alvo

O empréstimo ofertado para o Instituto Previdenciário de Santo André está destinado ao seguinte público, como por exemplo:

  • Servidores Efetivos
  • Aposentados e Pensionistas

Consulte nossa equipe de suporte para confirmar se seu convênio está ativo para poder contratar.

Regulamentação

Todas as modalidades de crédito consignado atendem a uma regulamentação do Banco Central e Lei 10.820 que determinam as regras de contratação. No entanto, os convênios firmados entre seu órgão têm regras específicas as quais serão consideradas na liberação do seu Crédito. As instituições financeiras têm políticas de crédito especificas conforme perfil do cliente. Portanto, tais regras também serão consideradas.

Documentação Necessária

Os documentos necessários para a contratação de seu empréstimo consignado são:

  • Registro Geral (RG)
  • Cadastro de Pessoa Física (CPF)
  • Comprovante de endereço
  • Detalhamento de Crédito

A apresentação de todos os documentos deverá ser de forma legível e dentro dos prazos de validade, pois ajudam a agilizar seu empréstimo.

Empréstimo Consignado IPRESB Barueri

Criado em 2006, o Instituto de Previdência Social dos Servidores de Barueri, IPRESB, possui a missão de verificar se o servidor municipal do município de Barueri e seus dependentes estão recebendo corretamente os benefícios assegurados por lei.

Veja os benefícios que o empréstimo consignado do IPRESB de Barueri oferta aos servidores municipais como por exemplo: parcelas que são descontadas na folha de pagamento, além de um prazo maior para pagar, entre outros.

Ademais, o Consignado do Instituto da Previdência de Barueri é muito simples e fácil de solicitar. Basta clicar no botão Solicite e preencher o formulário para que nosso time de consultores possa entrar em contato.

Consignado IPRESB Barueri + Vantagens para Você

Veja algumas vantagens que o empréstimo consignado IPRESB que a cidade de Barueri lhe oferece:

  • Não haverá consulta aos órgãos de proteção ao crédito SPC e SERASA
  • Desconto na folha de pagamento
  • Parcelas Fixas
  • Os prazos são extensos para pagamento
  • Aqui, as taxas de juros são melhores

Público Alvo

O empréstimo ofertado para o Instituto Previdenciário de Barueri está destinado ao seguinte público, como por exemplo:

  • Servidores Efetivos
  • Aposentados e Pensionistas

Consulte nossa equipe de suporte para confirmar se seu convênio está ativo para poder contratar.

Regulamentação

Todas as modalidades de crédito consignado atendem a uma regulamentação do Banco Central e Lei 10.820 que determinam as regras de contratação. No entanto, os convênios firmados entre seu órgão têm regras específicas as quais serão consideradas na liberação do seu Crédito. As instituições financeiras têm políticas de crédito especificas conforme perfil do cliente. Portanto, tais regras também serão consideradas.

Documentação Necessária

Os documentos necessários para a contratação de seu empréstimo consignado são:

  • Cédula de Identidade (RG)
  • CPF
  • Comprovante de residência
  • Detalhamento de Crédito

A apresentação de todos os documentos deverá ser de forma legível e dentro dos prazos de validade, pois ajudam a agilizar seu empréstimo.

Empréstimo Consignado IPREMM Marília

O IPREMM, Instituto de Previdência Municipal de Marília, é uma importante instituição que fiscaliza e que garante que o servidor público municipal, e também os seus dependentes, recebam os benefícios assegurados por lei. Contudo, esses benefícios são as pensões por morte do servidor e o auxílio na saúde dos servidores e de seus dependentes.

O empréstimo consignado ofertado pelo IPREMM ao servidor público está repleto de benefícios como por exemplo um prazo maior para efetuar o pagamento, uma taxa de juros melhor, entre outros.

Ademais, o Instituto de Previdência Municipal de Marília é muito simples e fácil de solicitar. Basta clicar no botão Solicite e preencher o formulário para que nosso time de consultores possa entrar em contato.

Empréstimo Consignado IPREMM Marília + Vantagens

Veja algumas vantagens que o empréstimo consignado IPREMM lhe oferece:

  • Sem consulta aos órgãos SPC e SERASA
  • Desconto direto na folha de pagamento
  • Parcelas Fixas
  • Prazos maiores para pagamento
  • Taxas de juros bem atraentes
  • Valor liberado: Até R$ 12.000,00

Público Alvo

O empréstimo ofertado para o Instituto de Previdência Municipal de Marília está destinado ao seguinte público, como por exemplo:

  • Aposentados e Pensionistas do IPREMM
  • Servidores Efetivos

Consulte nossa equipe de suporte para confirmar se seu convênio está ativo para poder contratar.

Regulamentação

Todas as modalidades de crédito consignado atendem a uma regulamentação do Banco Central e Lei 10.820 que determinam as regras de contratação. No entanto, os convênios firmados entre seu órgão têm regras específicas as quais serão consideradas na liberação do seu Crédito. As instituições financeiras têm políticas de crédito especificas conforme perfil do cliente. Portanto, tais regras também serão consideradas.

Documentação Necessária

Os documentos necessários para a contratação de seu empréstimo consignado são:

  • Documento de Identidade (RG)
  • Cadastro de Pessoa Física (CPF)
  • Comprovante de residência atualizado
  • Detalhamento de Crédito

A apresentação de todos os documentos deverá ser de forma legível e dentro dos prazos de validade, pois ajudam a agilizar seu empréstimo.

Empréstimo Consignado IPSERV Uberaba

O Instituto de Previdência Social dos Servidores do município de Uberaba, conhecido pela sigla IPSERV, é um modelo de instituição a ser seguida. Não foi a toa que os representantes da fundação Macapaprev fizeram essa afirmação, pois a instituição é bem organizada e cumpre com excelência o papel ao qual foi designada.

O consignado endereçado aos servidores municipais do município de Uberaba é uma excelente opção, pois não há burocracia, além do desconto do empréstimo ser diretamente na folha de pagamento. Conheça mais abaixo:

Ademais, o Consignado do Instituto da Previdência dos Servidores do município de Uberaba é muito simples e fácil de solicitar. Basta clicar no botão Solicite e preencher o formulário para que nosso time de consultores possa entrar em contato.

Consignado IPSERV Uberaba + Vantagens

Veja algumas vantagens que o empréstimo consignado IPSERV da cidade de Uberaba lhe oferece:

  • Não haverá consulta aos órgãos de proteção ao crédito SPC e SERASA
  • Desconto direto na folha de pagamento
  • Parcelas Fixas
  • Prazos maiores para pagar
  • Taxas de juros mais justas
  • Valor liberado: Até R$ 18.000,00

Público Alvo

O empréstimo ofertado pelo IPSERV está destinado ao seguinte público, como por exemplo:

  • Aposentados e Pensionistas
  • Servidores Efetivos

Consulte nossa equipe de suporte para confirmar se seu convênio está ativo para poder contratar.

Regulamentação

Todas as modalidades de crédito consignado atendem a uma regulamentação do Banco Central e Lei 10.820 que determinam as regras de contratação. No entanto, os convênios firmados entre seu órgão têm regras específicas as quais serão consideradas na liberação do seu Crédito. As instituições financeiras têm políticas de crédito especificas conforme perfil do cliente. Portanto, tais regras também serão consideradas.

Documentação Necessária

Os documentos necessários para a contratação de seu empréstimo consignado são:

  • Cédula de Identidade (RG)
  • Cadastro de Pessoa Física (CPF)
  • Comprovante de endereço
  • Detalhamento de Crédito

A apresentação de todos os documentos deverá ser de forma legível e dentro dos prazos de validade, pois ajudam a agilizar seu empréstimo.

Empréstimo Consignado Prevcel Coronel Fabriciano

O Instituto de Previdência dos Servidores Públicos do Município de Coronel Fabriciano, o PREVCEL, é uma instituição composta por agentes de fiscalizam se os direitos dos servidores públicos estão sendo cumpridos. Contudo, sua missão também é distribuir para os servidores os benefícios conquistados.

A Prevcel oferece aos servidores municipais um empréstimo consignado com desconto em folha, além de possuir uma das menores taxa de juros do mercado. Conheça mais sobre o empréstimo abaixo:

Ademais, o Consignado do Instituto de Previdência dos Servidores de Coronel Fabriciano é muito simples e fácil de solicitar. Basta clicar no botão Solicite e preencher o formulário para que nosso time de consultores possa entrar em contato.

Consignado Prevcel Coronel Fabriciano + Vantagens para Você

Veja algumas vantagens que o empréstimo consignado do Instituto de Previdência de Coronel Fabriciano lhe oferece:

  • Não haverá consulta ao SPC e ao SERASA
  • Desconto na folha de pagamento
  • Parcelas Fixas
  • Longos prazos para efetuar o pagamento
  • Taxas de juros atrativas
  • Valor liberado: Até R$ 8.500,00

Público Alvo

O empréstimo ofertado para o Instituto Previdenciário da cidade de Coronel Fabriciano está destinado ao seguinte público, como por exemplo:

  • Servidores Efetivos
  • Servidores Municipais Aposentados
  • Servidores Municipais Pensionistas

Consulte nossa equipe de suporte para confirmar se seu convênio está ativo para poder contratar.

Regulamentação

Todas as modalidades de crédito consignado atendem a uma regulamentação do Banco Central e Lei 10.820 que determinam as regras de contratação. No entanto, os convênios firmados entre seu órgão têm regras específicas as quais serão consideradas na liberação do seu Crédito. As instituições financeiras têm políticas de crédito especificas conforme perfil do cliente. Portanto, tais regras também serão consideradas.

Documentação Necessária

Os documentos necessários para a contratação de seu empréstimo consignado são:

  • RG
  • CPF
  • Comprovante de endereço atualizado
  • Detalhamento de Crédito

A apresentação de todos os documentos deverá ser de forma legível e dentro dos prazos de validade, pois ajudam a agilizar seu empréstimo.

Empréstimo Consignado SISPREV Teófilo Otoni

O Instituto de Previdência dos Servidores do Município de Teófilo Otoni, SISPREV – TO, é uma instituição com autonomia administrativa e financeira responsável por executar a política de Previdência dos servidores municipais, garantindo assim os benefícios do servidor e de seus dependentes.

O empréstimo consignado do SISPREV de Teófilo Otoni oferta benefícios tais como: parcelas descontadas na folha de pagamento, um prazo mais longo para pagamento, taxas de juros competitivas, entre outros.

Ademais, o Consignado do Instituto Previdenciário de Teófilo Otoni é muito simples e fácil de solicitar. Basta clicar no botão Solicite e preencher o formulário para que nosso time de consultores possa entrar em contato.

Consignado SISPREV Teófilo Otoni + Vantagens para Você

Veja algumas vantagens que o empréstimo consignado do SISPREV – TO lhe oferece:

  • Não haverá consulta ao SPC e ao SERASA
  • Desconto na folha de pagamento
  • Parcelas Fixas
  • Prazos maiores para pagamento
  • Aqui, as taxas de juros são menores
  • Valor liberado: Até R$ 8.500,00

Público Alvo

O empréstimo ofertado para o Instituto Municipal Previdenciário de Campo Grande está destinado ao seguinte público, como por exemplo:

  • Servidores Efetivos
  • Aposentados e Pensionistas

Consulte nossa equipe de suporte para confirmar se seu convênio está ativo para poder contratar.

Regulamentação

Todas as modalidades de crédito consignado atendem a uma regulamentação do Banco Central e Lei 10.820 que determinam as regras de contratação. No entanto, os convênios firmados entre seu órgão têm regras específicas as quais serão consideradas na liberação do seu Crédito. As instituições financeiras têm políticas de crédito especificas conforme perfil do cliente. Portanto, tais regras também serão consideradas.

Documentação Necessária

Os documentos necessários para a contratação de seu empréstimo consignado são:

  • Registro Geral (RG)
  • CPF
  • Comprovante de endereço atual
  • Detalhamento de Crédito

A apresentação de todos os documentos deverá ser de forma legível e dentro dos prazos de validade, pois ajudam a agilizar seu empréstimo.

Empréstimo Consignado Tereprev Teresópolis

O TerePrev, Instituto de Previdência dos Servidores Públicos Municipais de Teresópolis, possui como atividade principal, assegurar que tanto o servidor público municipal quanto seus dependentes recebam o auxílio que foi conquistado.

Veja como o empréstimo consignado é uma boa opção, servidor municipal de Nilópolis. Saiba mais informações abaixo:

Ademais, o Consignado do Instituto da Previdência de Nilópolis é muito simples e fácil de solicitar. Basta clicar no botão Solicite e preencher o formulário para que nosso time de consultores possa entrar em contato.

Consignado Tereprev Teresópolis + Vantagens

Veja algumas vantagens que o empréstimo consignado Tereprev lhe oferece:

  • Sem consulta aos órgãos de proteção ao crédito SPC e SERASA
  • Desconto na folha de pagamento
  • Parcelas Fixas
  • Prazos extensos para pagamento
  • Taxas de juros melhores do que as praticadas no mercado
  • Valor liberado: Até R$ 8.000,00

Público Alvo

O empréstimo ofertado pelo Tereprev está destinado ao seguinte público, como por exemplo:

  • Aposentados e Pensionistas
  • Servidores Efetivos

Consulte nossa equipe de suporte para confirmar se seu convênio está ativo para poder contratar.

Regulamentação

Todas as modalidades de crédito consignado atendem a uma regulamentação do Banco Central e Lei 10.820 que determinam as regras de contratação. No entanto, os convênios firmados entre seu órgão têm regras específicas as quais serão consideradas na liberação do seu Crédito. As instituições financeiras têm políticas de crédito especificas conforme perfil do cliente. Portanto, tais regras também serão consideradas.

Documentação Necessária

Os documentos necessários para a contratação de seu empréstimo consignado são:

  • Documento de identidade (RG)
  • Cadastro de Pessoa Física (CPF)
  • Comprovante de endereço atualizado
  • Detalhamento de Crédito

A apresentação de todos os documentos deverá ser de forma legível e dentro dos prazos de validade, pois ajudam a agilizar seu empréstimo.

Empréstimo Consignado Previnil Nilópolis

O Instituto de Previdência dos Servidores do Município de Nilópolis, mais conhecido como Previnil, é uma importante instituição que garante que a lei da concessão dos direitos dos servidores públicos seja cumprida. Contudo, além de fiscalizar, o Previnil é quem distribui os benefícios aos servidores e aos dependentes.

Veja como o empréstimo consignado é uma boa opção, servidor municipal de Nilópolis. Saiba mais informações abaixo:

Ademais, o Consignado do Instituto da Previdência de Nilópolis é muito simples e fácil de solicitar. Basta clicar no botão Solicite e preencher o formulário para que nosso time de consultores possa entrar em contato.

Consignado Previnil Nilópolis + Vantagens para Você

Veja algumas vantagens que o empréstimo consignado Previnil lhe oferece:

  • Não haverá consulta aos órgãos SPC e SERASA
  • Desconto na folha de pagamento
  • Parcelas Fixas
  • Prazos mais longos para pagamento
  • Taxas de juros competitivas
  • Valor liberado: Até R$ 7.500,00

Público Alvo

O empréstimo ofertado pelo Previnil está destinado ao seguinte público, como por exemplo:

  • Aposentados e Pensionistas
  • Servidores Efetivos

Consulte nossa equipe de suporte para confirmar se seu convênio está ativo para poder contratar.

Regulamentação

Todas as modalidades de crédito consignado atendem a uma regulamentação do Banco Central e Lei 10.820 que determinam as regras de contratação. No entanto, os convênios firmados entre seu órgão têm regras específicas as quais serão consideradas na liberação do seu Crédito. As instituições financeiras têm políticas de crédito especificas conforme perfil do cliente. Portanto, tais regras também serão consideradas.

Documentação Necessária

Os documentos necessários para a contratação de seu empréstimo consignado são:

  • Registro Geral (RG)
  • CPF
  • Comprovante de residência
  • Detalhamento de Crédito

A apresentação de todos os documentos deverá ser de forma legível e dentro dos prazos de validade, pois ajudam a agilizar seu empréstimo.

Empréstimo Consignado IGEPREV Tocantins

O Instituto de Gestão Previdenciária do Estado do Tocantins, IGEPREV, é o órgão responsável pela concessão dos benefícios de aposentadoria, reserva remunerada e pensão por morte aos servidores municipais do estado do Tocantins. No entanto, os benefícios se estendem para os segurados e seus dependentes.

Note que o empréstimo consignado é a melhor opção para você que é servidor municipal do IGEPREV e está precisando de dinheiro para pagar uma conta, fazer uma viajar ou ainda reformar a casa.

Ademais, o Consignado do Instituto de Gestão Previdenciária do estado de Tocantins é muito simples e fácil de solicitar. Basta clicar no botão Solicite e preencher o formulário para que nosso time de consultores possa entrar em contato.

Consignado IGEPREV Tocantins + Vantagens

Veja algumas vantagens que o empréstimo consignado IGEPREV lhe oferece:

  • Sem consulta ao SPC e SERASA
  • Desconto na folha de pagamento
  • Parcelas Fixas
  • Prazos maiores para pagar
  • As menores taxas de juros no consignado
  • Valor liberado: Até R$ 25.000,00

Público Alvo

O empréstimo ofertado pelo IGEPREV está destinado ao seguinte público, como por exemplo:

  • Aposentados e Pensionistas
  • Servidores Efetivos

Consulte nossa equipe de suporte para confirmar se seu convênio está ativo para poder contratar.

Regulamentação

Todas as modalidades de crédito consignado atendem a uma regulamentação do Banco Central e Lei 10.820 que determinam as regras de contratação. No entanto, os convênios firmados entre seu órgão têm regras específicas as quais serão consideradas na liberação do seu Crédito. As instituições financeiras têm políticas de crédito especificas conforme perfil do cliente. Portanto, tais regras também serão consideradas.

Documentação Necessária

Os documentos necessários para a contratação de seu empréstimo consignado são:

  • Documento de Identidade (RG)
  • Cadastro de Pessoa Física (CPF)
  • Comprovante de endereço
  • Detalhamento de Crédito

A apresentação de todos os documentos deverá ser de forma legível e dentro dos prazos de validade, pois ajudam a agilizar seu empréstimo.

Empréstimo Consignado IPSEMG Minas Gerais

O Instituto de Previdência dos Servidores do Estado de Minas Gerais, também conhecido pelas sigla IPSEMG, integra a competência da secretaria de planejamento e gestão. Isso significa que o IPSEMG está vinculado a SEPLAG, atuando para a integração de objetivos, metas e resultados em prol dos direitos dos servidores municipais.

Perceba que o empréstimo consignado é uma excelente opção se você é servidor público do IPSEMG e está precisando de dinheiro com urgência para pagar suas contas, fazer reformas ou viajar.

Ademais, o Consignado do Instituto da Previdência dos Servidores de Minas Gerais é muito simples e fácil de solicitar. Basta clicar no botão Solicite e preencher o formulário para que nosso time de consultores possa entrar em contato.

Empréstimo Consignado IPSEMG + Vantagens para Você

Veja algumas vantagens que o empréstimo consignado IPSEMG lhe oferece:

  • Não haverá consulta aos órgãos de proteção ao crédito SPC e SERASA
  • Desconto na folha de pagamento
  • Parcelas Fixas
  • Prazos mais longos para pagar
  • Aqui, as taxas de juros são justas
  • Valor liberado: Até R$ 25.000,00

Público Alvo

O empréstimo ofertado pelo IPSE/MG está destinado ao seguinte público, como por exemplo:

  • Aposentados e Pensionistas
  • Servidores Efetivos

Consulte nossa equipe de suporte para confirmar se seu convênio está ativo para poder contratar.

Regulamentação

Todas as modalidades de crédito consignado atendem a uma regulamentação do Banco Central e Lei 10.820 que determinam as regras de contratação. No entanto, os convênios firmados entre seu órgão têm regras específicas as quais serão consideradas na liberação do seu Crédito. As instituições financeiras têm políticas de crédito especificas conforme perfil do cliente. Portanto, tais regras também serão consideradas.

Documentação Necessária

Os documentos necessários para a contratação de seu empréstimo consignado são:

  • Cédula de Identidade (RG)
  • CPF
  • Comprovante de residência atual
  • Detalhamento de Crédito

A apresentação de todos os documentos deverá ser de forma legível e dentro dos prazos de validade, pois ajudam a agilizar seu empréstimo.

Empréstimo Consignado IPM Ribeirão Preto

O Instituto da Previdência dos Municipiários (IPM) da cidade de Ribeirão Preto tem por obrigação efetuar o pagamento dos benefícios como pensões para servidores ativos e inativos, auxílio reclusão, salário família e maternidade e aposentadorias para os servidores públicos municipais estatutários.

O empréstimo consignado que o IMP de Ribeirão Preto oferece, possui uma taxa de juros melhor além do desconto ser direto na folha de pagamento.

Ademais, o Consignado do Instituto Municipal da Previdência de Ribeirão Preto é muito simples e fácil de solicitar. Basta clicar no botão Solicite e preencher o formulário para que nosso time de consultores possa entrar em contato.

Consignado IMP Ribeirão Preto + Vantagens para Você

Veja algumas vantagens que o empréstimo consignado do Instituto Previdenciário de Ribeirão Preto lhe oferece:

  • Sem consulta aos órgãos SPC e SERASA
  • Desconto na folha de pagamento
  • Parcelas Fixas
  • Prazo maior para pagamento
  • Taxas de juros melhores do que as praticadas no mercado
  • Valor liberado: Até R$ 12.000,00

Público Alvo

O empréstimo ofertado para o Instituto Previdenciário da cidade de Ribeirão Preto está destinado ao seguinte público, como por exemplo:

  • Servidores Estatutários
  • Aposentados
  • Pensionistas

Consulte nossa equipe de suporte para confirmar se seu convênio está ativo para poder contratar.

Regulamentação

Todas as modalidades de crédito consignado atendem a uma regulamentação do Banco Central e Lei 10.820 que determinam as regras de contratação. No entanto, os convênios firmados entre seu órgão têm regras específicas as quais serão consideradas na liberação do seu Crédito. As instituições financeiras têm políticas de crédito especificas conforme perfil do cliente. Portanto, tais regras também serão consideradas.

Documentação Necessária

Os documentos necessários para a contratação de seu empréstimo consignado são:

  • Registro Geral (RG)
  • Cadastro de Pessoa Física (CPF)
  • Comprovante de residência atualizado
  • Detalhamento de Crédito

A apresentação de todos os documentos deverá ser de forma legível e dentro dos prazos de validade, pois ajudam a agilizar seu empréstimo.

Cartão de Crédito de A a Z

O Cartão de crédito, apesar de muito utilizado no Brasil algo em torno de 52 Milhões de brasileiros, um terço dos consumidores não sabem seu limite e 96% não sabem as taxas de juros do rotativo.

De fato, a falta de informação ou o excesso dela tem atrapalhado bastante a compreensão de alguns aspectos importantes a serem observados por você que tem e utiliza um cartão de crédito.

Quem regulariza e Fiscaliza as operações de Cartões de Crédito

Tanto o Conselho Monetário Nacional quanto o Banco Central têm um papel importante no controle, fiscalização e normatização do cartão de crédito.

O Conselho Monetário Nacional determina as regras, como por exemplo as formas de pagamento, a redução de juros no rotativo, entre outras situações conforme Lei 4.595. No entanto, seu papel é de extrema importância para que haja limites na concessão.

O Banco Central fiscaliza as instituições financeiras emissoras do cartão e as administradoras fiscalizam as bandeiras como por exemplo a VISA, a MASTER, entre outras.

Tipos de Cartões de Crédito no Brasil

Podemos classificar duas modalidades de cartões de Crédito: o básico e o diferenciado. A seguir, iremos lhe explicar a diferença:

O básico permite apenas as funcionalidades de saque, compras parceladas, ou seja, faz exatamente o que um cartão de crédito deve fazer.

Já o diferenciado realiza todas as funcionalidades do Básico. No entanto, está associado a um programa de benefícios como acúmulo de pontos, onde pode-se trocar por produtos ou passagens aéreas, seguros e até mesmo atendimento personalizado no exterior.

Se você quer apenas um cartão para as funções básicas, consulte sua administradora para verificar em qual situação você se enquadra. É importante saber que os cartões diferenciados possuem uma mensalidade e anuidade maior, o que não justifica se seus gastos forem pequenos ou se não pretende viajar para fora do Brasil.

Modalidade de Cartões de Crédito

Atualmente, existem diversas modalidades de cartões de crédito no Brasil. Contudo, destacaremos as principais:

  • Cartão de Crédito Convencional
  • Cartão de Crédito Pré-Pago
  • Cartão de Crédito Virtual
  • Cartão de Crédito Consignado

Cartão de Crédito Convencional

O mais comum de todos é emitido pelo Banco ou pela administradora. Seu limite é baseado na capacidade de pagamento do cliente. No entanto, nesta modalidade é realizada uma analise de crédito e existe uma consulta nos órgãos de proteção ao crédito.

O emissor pode negar o cartão conforme política de crédito, cadastro do cliente ou até mesmo margem de endividamento bancário.

Cartão de Crédito Pré-Pago

Apesar de pouco utilizado é um cartão com viés de controle de gastos. Certamente, essa é uma forma de você, ao invés de utilizar dinheiro, carregar apenas o cartão seja pela sua conta, ou por boleto bancário e ir utilizando o saldo.

Outro tipo de utilização do pré-pago é no corporativo, como recarga para a finalidade de pagamentos de prêmios, comissões, combustível e afins.

Cartão de crédito Virtual

Recém chegado ao Brasil e pouco conhecido, tem a finalidade de oferecer ao consumidor segurança em suas compras. Este seria um cartão que utilizaria apenas para compra online, quanto por Bancos Virtuais que já estão há um bom tempo utilizando esta tecnologia para oferecer cartões aos seus correntistas.

Cartão de Crédito Consignado

Este cartão tem como característica principal a forma de pagamento, com o pagamento mínimo descontado em folha de pagamento. Possui um índice de inadimplência baixo, por isso é até 400% mais barato do que um cartão de crédito convencional. Os juros do rotativo chegam em torno de 3% contra os 15% em média praticado em mercado.

Formas de Pagamento

Os cartões de crédito podem ser cobrados tanto através de boletos bancários, quanto através de débito em conta. Atualmente, são utilizados até em desconto em folha desde que respeite as regras conforme Lei 4.595.

O Cliente poderá optar pela forma de pagamento que desejar conforme contrato estabelecido no ato da contratação de seu cartão, com exceção ao cartão de crédito consignado que depende de um convênio firmado entre a instituição financeira e o órgão, como por exemplo o INSS.

Dependendo da forma de pagamento o custo dos juros, a anuidade e mensalidade poderão variar. Sempre consulte todas as opções antes de contratar e ajuste-a melhor para a sua necessidade e capacidade de pagamento.

Alguns cartões de crédito permitem o pagamento parcial da fatura, abatendo assim um valor maior que o pagamento mínimo. Por este motivo, consulte sua administradora.

Pagamentos regulares fora do vencimento em alguns cartões também são permitidos, como por exemplo ir pagando valores menores para ir abatendo o saldo devedor até o fechamento da fatura.

Recentemente se o valor da dívida no cartão permanecer a mais de 30 dias sem pagamento algum a instituição financeira e ou emissor deverá promover um parcelamento da dívida ao cliente, evitando assim o super endividamento sobre o juros do rotativo, conforme resolução 4.549 de 03 de Abril de 2017.

Quando for parcelar uma fatura do cartão considere os gastos parcelados, ou seja, se parcelar uma fatura de R$ 1.000,00 a qual existem compras parcelas de R$ 100,00 por exemplo não estará parcelando as parcelas futuras.

Caso você receba um cartão de crédito sem ter solicitado ou contratado poderá recorrer o emissor e solicitar o cancelamento do mesmo. É vetada o envio sem o pedido formal do cliente, conforme regras do Banco Central.

Cancelamentos e Contestações

O contrato de cartão de crédito pode ser cancelado a qualquer momento, mesmo havendo saldo devedor a pagar. No caso do cartão de crédito consignado, o cartão é bloqueado e a margem dos 5% fica retida até que o saldo devedor seja pago.

O Cancelamento do cartão não extingue a dívida, ficando a cargo do cliente e o emissor negociar a melhor forma de saldar a dívida ou arcar com as condições previstas em lei, inclusive ter o nome incluso no cadastro de proteção ao crédito.

A administradora é responsável pela segurança das operações realizadas no seu cartão de crédito, ou seja, caso haja fraudes no cartão aos quais não implicou no mau uso, na divulgação por parte do cliente a terceiros a administradora deverá ressarcir o cliente.

Em casos onde o cliente foi responsável de forma direta ou indireta pela fraude a administradora não se responsabiliza.

Atualmente existem seguros contra roubo e fraudes de internet que irão cobrir seus prejuízos em casos de fraude. Contudo, a contratação deste serviço implica em valores adicionais a serem cobrados no seu cartão.

Tarifas

Algumas tarifas são de direito do emissor a realizar a cobrança. No entanto, destacaremos as principais:

  • Anuidade (com exceção no Cartão de Crédito Consignado)
  • Mensalidade (com exceção no Cartão de Crédito Consignado)
  • Saque
  • Uso do Cartão para Pagamento de Contas
  • Pedido Emergencial para avaliação de Limite
  • 2º Via de Cartão

Cada emissor possui regras e tarifas as quais podem mudar conforme perfil do cliente ou condição comercial. Consulte sempre as tarifas cobradas pela sua instituição e lembre-se que tais tarifas poderão ser negociadas. Não custa nada fazer pechincha … Fica a dica!!

Atenção com alguns serviços adicionais como envio de SMS, email e suporte adicional. Tais serviços poderão ser cobrados pelo emissor.

Limite de Crédito

O limite de crédito é determinado pela instituição ou pelo emissor do cartão, sendo livre sua análise. É baseado sempre na capacidade de pagamento do cliente e claro em concordância com o mesmo.

O aumento de limite deve ser autorizado por ambas as partes, sendo o emissor baseado na sua política de crédito e o cliente na sua concordância.

A redução do limite deverá ser comunicado ao cliente com no mínimo 30 dias de antecedência.

O cliente poderá a qualquer momento solicitar o aumento ou redução do limite de crédito. Em casos de aumento com o aval do emissor baseado na sua política de crédito.

Cuidados com seu Cartão de Crédito

Um cartão de crédito é um crédito aprovado em suas mãos. Por isso, antes de utilizar, sempre considere os seguintes pontos:

  1. Qual o meu limite de crédito?
  2. Quanto posso gastar mensalmente?
  3. Quais as tarifas que terei de pagar se for pagar parcelado?
  4. Qual o valor da minha próxima fatura?
  5. Estou comprando pra mim ou emprestando o Cartão a alguém?

A pergunta sempre deve ser qual é meu limite de crédito e não qual o limite dado a mim de crédito? Veja a diferença! Quem sabe o que pode gastar é você, ou seja, mesmo havendo limite para compras, o valor gasto está dentro do seu orçamento? Faça sempre esta pergunta a você mesmo!

Um controle dos gastos pessoais é um limitador de impulsos em compras desnecessárias. Atuo no ramo desde 1998 e posso afirmar que o desespero em ver as contas chegando e não ter dinheiro para pagar não vale o prazer temporário de um gasto fútil.

Sempre se informe com o estabelecimento sobre as tarifas cobradas nas compras parceladas, se existem juros ou não. Os juros nas compras parceladas é uma negociação entre você e o estabelecimento.

Sempre tenha o controle dos gastos futuros, a chamada fatura em aberto. Faça as contas, ou seja, se você pode gastar até R$ 500,00 e o valor da fatura já está em R$ 450,00, você sabe que no máximo pode gastar mais R$ 50,00.

Em torno de 19% dos inadimplentes emprestaram seu cartão a terceiros, ou seja, se quiser se complicar já sabe né? Empresta seu cartão a terceiros!

Conclusão

Espero ter coberto todas as questões envolvidas na utilização do seu cartão, mas isso é impossível. São muitas situações e entendemos isso. Por este motivo que abaixo você pode comentar este artigo.

Sinta-se a vontade para fazer perguntas, curtir nas suas redes sociais ou compartilhar para poder ajudar outras pessoas.

Estou no setor de Crédito há mais de 20 anos sei o quanto é importante ter consciência a respeito de crédito, um controle consciente é 99% de uma relação pacifica, prazerosa e benéfica com seu cartão. Sabendo utilizar, nunca irá lhe faltar!

Você sabia que o Portal Consignados é especialista em empréstimo consignado?

Com mais de 17 anos no Mercado de Empréstimo Consignado, o Portal Consignados conta com uma equipe treinada para lhe auxiliar na melhor decisão. No entanto, o Portal Consignados trabalha em parceria com diversos bancos para lhe oferecer sempre o melhor negócio.

Empréstimo Consignado IPREMGV Governador Valadares

O Instituto de Previdência Municipal de Governado Valadares, também conhecido como IPREM/GV, foi criado em 1992. No entanto, o IPREM/GV é o órgão responsável pelo Regime Próprio da Previdência Social da cidade de Governador Valadares, localizada em Minas Gerais.

Veja que o empréstimo consignado ofertado pelo IPREM/GV ao servidor público está repleto de benefícios tais como um prazo maior para pagamento, desconto em folha, entre outros.

Ademais, o Instituto de Previdência Municipal de Governador Valadares é muito simples e fácil de solicitar. Basta clicar no botão Solicite e preencher o formulário para que nosso time de consultores possa entrar em contato.

Empréstimo Consignado IPREMGV + Vantagens para Você

Veja algumas vantagens que o empréstimo consignado IPREM/GV lhe oferece:

  • Não haverá consulta aos órgãos SPC e SERASA
  • Desconto direto na folha de pagamento
  • Parcelas Fixas
  • Prazos mais extensos para pagamento
  • Aqui, as taxas de juros são menores
  • Valor liberado: Até R$ 10.000,00

Público Alvo

O empréstimo ofertado para o Instituto de Previdência Municipal de Governador Valadares está destinado ao seguinte público, como por exemplo:

  • Aposentados e Pensionistas do IPREM/GV
  • Servidores Efetivos

Consulte nossa equipe de suporte para confirmar se seu convênio está ativo para poder contratar.

Regulamentação

Todas as modalidades de crédito consignado atendem a uma regulamentação do Banco Central e Lei 10.820 que determinam as regras de contratação. No entanto, os convênios firmados entre seu órgão têm regras específicas as quais serão consideradas na liberação do seu Crédito. As instituições financeiras têm políticas de crédito especificas conforme perfil do cliente. Portanto, tais regras também serão consideradas.

Documentação Necessária

Os documentos necessários para a contratação de seu empréstimo consignado são:

  • Cédula de Identidade (RG)
  • CPF
  • Comprovante de residência atual
  • Detalhamento de Crédito

A apresentação de todos os documentos deverá ser de forma legível e dentro dos prazos de validade, pois ajudam a agilizar seu empréstimo.

Risco no Empréstimo Consignado é do Correspondente

O Correspondente Bancário há muito tempo vem assumindo o risco da operação e o abuso por parte das instituições financeiras. Contudo, o abuso é tão grande que, atualmente, até um DOC devolvido é cobrado do correspondente.

Nossa parceria com os Bancos nunca foi Bilateral. A culpa de todos os problemas sempre recaiu sobre nós.

Problemas de aceitação

Um correspondente bancário nada mais é do que um prestador de serviços bancários. Atualmente, o correspondente bancário é certificado pela ANEPS, órgão que regulamenta a atividade do correspondente Bancário no Brasil.

Há muito tempo, se propaga que todas as culpas do setor é do correspondente, o que não é uma verdade. A grande maioria dos correspondentes são corretores honestos que têm como profissão esta atividade.

É estranha a posição dos tomadores de serviço dos correspondentes bancários. No entanto, eles contam com nossa mão de obra mas orquestram um verdadeiro massacre ao setor.

Quando se devolve um DOC ou TED, seja qual for o motivo, é debitado do correspondente o valor de R$ 10,00.

Existem casos onde se dá entrada em um Refinanciamento e a renda do cliente diminuiu e não se consegue ajustar a parcela. O valor integral do contrato é estornado do correspondente.

Na portabilidade, se o banco paga o saldo e, por algum motivo seja culpa de atraso no processo ou má fé do cliente, não se consegue averbar e é estornado o valor integral do contrato do correspondente.

Se o cliente abre alguma reclamação tendo ou não procedência, nem sequer sabemos o teor da reclamação.

De quem é a culpa?

Tivemos um caso onde ao especular o cliente, a reclamação era referente sua conta corrente e não sobre o empréstimo contratado, ou seja, qual foi nosso erro?

Poderia enumerar diversos casos aqui e contar diversas histórias. Podem acreditar que temos muitas histórias ao longo de nossos mais de 20 anos no setor.

O fato é que infelizmente estamos sozinhos e entregues à própria sorte. No entanto, você caro leitor, saiba que somos muitos e que fazemos nosso trabalho com muita luta.

Só o setor de correspondentes movimenta mais de 10 bilhões de reais ao ano em empréstimos consignados.

Não são comuns os problemas de saúde entre nós correspondentes, desde de gastrite até infarto. Infelizmente, alguns colegas até perderam suas vidas de tanto stress.

Onde estão as autoridades? Banco Central e ANEPS? Estamos realmente abandonados?

Quando vejo um colega correspondente, tenho muito respeito. Sei o que ele passa, sei como é tratado, sei dos seus problemas e frustrações.

Amo pessoas e amo o que faço. Tenho muito carinho pelos clientes e respeito aos seus problemas. No entanto, só não consigo aceitar o que o mercado faz conosco.

Caro cliente, estamos sempre do seu lado. Mesmo em desvantagem, espero que entenda que não somos bandidos como se divulga no mercado. Somos trabalhadores, acuados sim, mas sempre estaremos aqui para lhe ajudar ou auxiliar.

Dentre as instituições financeiras que menos respeitam o correspondente, podemos destacar o Banco Safra, o Bradesco e JV Itaú.

Já deixou de comprar uma roupa ou sapato, pois sabia que tal marca utiliza mão de obra escrava? Para um bom entendedor, meia palavra basta.

Só por hoje, amanhã e depois…

Empréstimo Consignado IBASS Saquarema

O Instituto de Benefícios e Assistência dos Servidores Municipais de Saquarema, o IBASS, tem como principal atividade zelar para que todos os aposentados e pensionistas que foram servidores municipais da cidade de Saquarema, Rio de Janeiro, não fiquem sem assistência quando necessitarem e que os benefícios estejam garantidos.

O IBASS oferece um empréstimo consignado aos servidores municipais com desconto em folha de pagamento, além de possuir uma excelente taxa de juros. Veja mais informações abaixo:

Ademais, o Consignado do Instituto de Benefícios e Assistência aos Servidores de Saquarema é muito simples e fácil de solicitar. Basta clicar no botão Solicite e preencher o formulário para que nosso time de consultores possa entrar em contato.

Consignado IBASS Saquarema + Vantagens

Veja algumas vantagens que o empréstimo consignado do Instituto de Benefícios e Assistência de Saquarema lhe oferece:

  • Sem consulta ao SPC e ao SERASA
  • Desconto na folha de pagamento
  • Parcelas Fixas
  • Longos prazos para pagamento
  • Taxas de juros mais atrativas
  • Valor liberado: Até R$ 7.500,00

Público Alvo

O empréstimo ofertado para o Instituto Municipal Beneficiário e Assistencial de Saquarema está destinado ao seguinte público, como por exemplo:

  • Servidores Efetivos
  • Servidores Municipais Aposentados
  • Servidores Municipais Pensionistas

Consulte nossa equipe de suporte para confirmar se seu convênio está ativo para poder contratar.

Regulamentação

Todas as modalidades de crédito consignado atendem a uma regulamentação do Banco Central e Lei 10.820 que determinam as regras de contratação. No entanto, os convênios firmados entre seu órgão têm regras específicas as quais serão consideradas na liberação do seu Crédito. As instituições financeiras têm políticas de crédito especificas conforme perfil do cliente. Portanto, tais regras também serão consideradas.

Documentação Necessária

Os documentos necessários para a contratação de seu empréstimo consignado são:

  • Documento de Identificação (RG)
  • Cadastro de Pessoas Físicas (CPF)
  • Comprovante de endereço atual
  • Detalhamento de Crédito

A apresentação de todos os documentos deverá ser de forma legível e dentro dos prazos de validade, pois ajudam a agilizar seu empréstimo.

Cartão de Crédito Consignado Saiba como Utilizar

Desde sua criação após a inclusão da margem dos 5% conforme lei 10.820, o cartão de crédito consignado vem deixando muitas pessoas com dúvidas. Justamente por este motivo, o Portal Consignados decidiu fazer este post com informações a respeito. Nosso objetivo é tentar responder as dúvidas mais comuns a respeito do cartão.

Recebo dúvidas diariamente a respeito do Cartão de Crédito consignado. Contudo, é um dos melhores produtos do segmento consignado e veio para ficar. Basta saber utilizar.

Como funciona o cartão de Crédito Consignado

Sua funcionalidade é igual a um cartão de crédito convencional, ou seja, pode ser utilizado tanto para compras como para saques. Os parcelamentos nas compras é um acordo entre o estabelecimento e o cliente, ou seja, poderá haver incidência de juros no parcelamento conforme negociação.

Taxa de Juros do Rotativo

Como em um cartão de crédito normal, o cartão de crédito consignado tem os juros do rotativo também, ou seja, caso não pague o valor total da fatura, o saldo restante é acrescido de juros que será cobrado no próxima fatura.

Os juros atualmente em um cartão convencional estão em torno de 15% a.m. Contudo, no caso do Cartão de Crédito Consignado, não podem passar de 3,06% a.m. – Até 400% mais barato do que seu cartão convencional.

Forma de Pagamento

Diferente do cartão convencional o consignado tem a cobrança em duas etapas, o desconto em folha do mínimo e o saldo restante em boletos para pagamento. O desconto em folha corresponde a 5% da sua margem consignável destinada ao cartão de Crédito.

Por exemplo: Digamos que sua margem dos 5% seja R$ 100,00 e gastou R$ 1.000,00 no cartão este mês.

Receberá uma fatura no valor de R$ 900,00 pois os R$ 100,00 já foram descontados em folha.

Caso não efetue pagamento algum, o valor restante será acrescido de juros do rotativo que está em média 3,06% a.m e virá na próxima fatura.

Formas de Pagamento do Boleto / Fatura

Se você utilizou o cartão de crédito consignado é certo que o desconto do mínimo será realizado em folha. Contudo, o saldo restante poderá ser pago de três formas:

  • Pagamento Total
  • Pagamento Parcial
  • Não realizar pagamento algum

Realizando o pagamento total, não terá incidência de juros do rotativo. Contudo, se tratando de um cartão de crédito sendo ele consignado ou não, existe a incidência de IOF devido a ser uma operação de crédito a prazo.

Em compras internacionais, o valor do IOF é bem mais alto do que em compras nacionais e o valor da cotação da moeda ao qual fez sua compra é baseada na data da compra.

Pagamento Parcial

Um dos grandes diferenciais do cartão de crédito consignado é justamente sua flexibilidade no pagamento. No entanto, caso não consiga pagar o valor total, poderá pagar um valor parcial. O saldo restante será acrescido de juros do rotativo, que em em muitos casos ainda sim é mais baixa que fazer um crédito pessoal.

Sem Pagamento

Caso não consiga pagar o valor total ou algum valor parcial, o desconto do mínimo se acarretará de cobrir os juros do rotativo. Contudo, recomendamos que pague pelo menos algum valor, por menor que seja. Assim, conseguirá amortizar seu cartão mesmo que parcialmente.

Programa de Benefícios

Indiferente se é um cartão de crédito consignado ou não, algumas bandeiras não fazem diferença, como por exemplo a Mastercard.

Pelo programa de filiados, a cada real gasto, o valor será revertido em pontos que pode ser utilizado para comprar produtos ou trocar por milhas aéreas.

Perguntas mais comuns

Posso tirar o desconto em folha e pagar somente na fatura?
Infelizmente não! Este cartão é mais barato devido ao desconto em folha. Por este motivo, não se pode alterar a forma de pagamento.

Posso parcelar meu saldo devedor?
Pode. É necessário entrar em contato com a administradora do Cartão para solicitar o parcelamento, mas é possível parcelar sim.

Debita o total gasto em folha?
Não. Somente o valor correspondente a sua margem dos 5% que é o pagamento mínimo é descontado em folha.

Tenho nome sujo. Posso solicitar?
Pode sim. No cartão de crédito consignado pode ter restrições no nome. Esse é outro diferencial do cartão.

Qual prazo para chegar meu cartão de crédito consignado?
Em média o prazo é de até 15 dias úteis, podendo variar dependendo da sua localização, sendo que nas capitais é bem mais rápido.

Ainda tem dúvidas? O Portal Consignados responde. Deixe suas dúvidas abaixo!

Empréstimo Consignado IMPCG Campo Grande

Criado em 17 de Fevereiro de 1961, o Instituto Municipal de Previdência de Campo Grande tem a finalidade de desenvolver as atividades pertinentes a Previdência Social, como por exemplo a perícia médica e a assistência a saúde. No entanto, seu maior dever é assegurar os servidores municipais e seus dependentes a receber o amparo previdenciário, caso seja necessário.

O empréstimo consignado que o IMPCG oferece, está repleto de benefícios, a começar que as parcelas são descontadas na folha de pagamento. Veja mais benefícios logo abaixo:

Ademais, o Consignado do Instituto Municipal de Previdência da cidade de Campo Grande é muito simples e fácil de solicitar. Basta clicar no botão Solicite e preencher o formulário para que nosso time de consultores possa entrar em contato.

Consignado IMPCG Campo Grande + Vantagens para Você

Veja algumas vantagens que o empréstimo consignado do Instituto Previdenciário de Campo Grande lhe oferece:

  • Não há consulta aos órgãos de proteção ao crédito SPC e SERASA
  • Desconto na folha de pagamento
  • Parcelas Fixas
  • Prazos estendidos para pagamento
  • Aqui, as taxas de juros são mais justas
  • Valor liberado: Até R$ 15.000,00

Público Alvo

O empréstimo ofertado para o Instituto Municipal Previdenciário de Campo Grande está destinado ao seguinte público, como por exemplo:

  • Servidores Efetivos

Consulte nossa equipe de suporte para confirmar se seu convênio está ativo para poder contratar.

Regulamentação

Todas as modalidades de crédito consignado atendem a uma regulamentação do Banco Central e Lei 10.820 que determinam as regras de contratação. No entanto, os convênios firmados entre seu órgão têm regras específicas as quais serão consideradas na liberação do seu Crédito. As instituições financeiras têm políticas de crédito especificas conforme perfil do cliente. Portanto, tais regras também serão consideradas.

Documentação Necessária

Os documentos necessários para a contratação de seu empréstimo consignado são:

  • Registro Geral (RG)
  • CPF
  • Comprovante de residência
  • Detalhamento de Crédito

A apresentação de todos os documentos deverá ser de forma legível e dentro dos prazos de validade, pois ajudam a agilizar seu empréstimo.

Empréstimo Consignado IPREMU Uberlândia

O Instituto de Previdência Municipal de Uberlândia, ou simplesmente IPREMU, é uma instituição com personalidade jurídica atuante na área de direito público. No entanto, o IPREMU possui autonomia financeira e administrativa e é responsável por fazer valer a política de Previdência e de assistência dos servidores.

Veja que o empréstimo consignado é uma excelente opção se você é servidor público do IPREMU e está precisando de dinheiro com urgência para pagar suas contas ou viajar.

Ademais, o Consignado do Instituto da Previdência Municipal de Uberlândia é muito simples e fácil de solicitar. Basta clicar no botão Solicite e preencher o formulário para que nosso time de consultores possa entrar em contato.

Empréstimo Consignado IPREMU + Vantagens

Veja algumas vantagens que o empréstimo consignado IPREMU lhe oferece:

  • Sem Consulta aos órgãos SPC e SERASA
  • Desconto na folha de pagamento
  • Parcelas Fixas
  • Prazos diferenciados para pagar
  • Taxas de juros melhores do que as praticadas no mercado

Público Alvo

O empréstimo ofertado para o Instituto de Previdência Municipal de Uberlândia está destinado ao seguinte público, como por exemplo:

  • Aposentados e Pensionistas do IPREMU
  • Servidores Efetivos

Consulte nossa equipe de suporte para confirmar se seu convênio está ativo para poder contratar.

Regulamentação

Todas as modalidades de crédito consignado atendem a uma regulamentação do Banco Central e Lei 10.820 que determinam as regras de contratação. No entanto, os convênios firmados entre seu órgão têm regras específicas as quais serão consideradas na liberação do seu Crédito. As instituições financeiras têm políticas de crédito especificas conforme perfil do cliente. Portanto, tais regras também serão consideradas.

Documentação Necessária

Os documentos necessários para a contratação de seu empréstimo consignado são:

  • Cédula de Identidade (RG)
  • Cadastro de Pessoa Física (CPF)
  • Comprovante de endereço atualizado
  • Detalhamento de Crédito

A apresentação de todos os documentos deverá ser de forma legível e dentro dos prazos de validade, pois ajudam a agilizar seu empréstimo.

Portal Consignados Incomoda muita gente

Em meados de 2016, entendemos que nossa missão não era mais defender uma bandeira de Banco ou instituição financeira, e sim um compromisso sério com o setor. Por isso, nosso engajamento com campanhas pela luta do cartão consignado, a portabilidade de cartão consignado, os artigos que explicam como funciona as operações de crédito consignado, seus problemas e defeitos.

Ademais, decidimos criar um espaço democrático onde fosse possível escutar você cliente ou visitante de nosso portal. Contudo, foram mais de 35 mil dúvidas respondidas, mais de 500 posts e artigos e continuamos na caminhada.

Meu nome é Luiz Fernando R. Pereira e estou no setor há mais de 20 anos. No entanto, tudo o que conquistei na vida foi graças ao seu voto de confiança. Por isso, o que mais prezo é você cliente.

Como Nasceu O Portal Consignados?

Ao longo destes dois últimos anos, entendemos que deveríamos ficar fora do mercado. No entanto, buscamos parceiros aos quais passaram por diversos testes de qualidade para que pudéssemos indicá-los à você cliente na hora de contratar seu empréstimo, refinanciamento ou qualquer operação de crédito.

Nosso objetivo era ficar fora da operação para poder ajudar com aquilo que mais sabemos fazer que é defender nossos direitos de forma democrática.

Hoje somos conhecidos como o Portal Consignados. Somos um portal que tem o objetivo a lhe orientar. No entanto, tal engajamento levou muitas instituições financeiras a tentar nos parar.

Atualmente estamos sofrendo pressões das mais diversas formas para tirar conteúdo do site devido ao nosso engajamento, a nossa luta.

As instituições se sentem abusadas pelos relatos de nossos clientes em expor tamanha falta de bom senso por parte de alguns bancos.

Nosso apelo à você é que não pare de relatar. Não vamos desistir de vocês, do setor e nem dos princípios que regem nosso trabalho de abrir seus olhos com as verdades que o setor tenta esconder.

O Portal Consignados pode até ser uma ferramenta que expressa em seus posts meu ponto de vista, mas é também um Portal que deixa você colocar o seu ponto de vista.

Peço sua ajuda em compartilhar este post em suas redes sociais. Vamos construir uma relação mais justa entre as instituições financeiras e você cliente. Não deixem que consigam calar o Portal Consignados.

Lembrando que a Lei de Livre Expressão nos permite se expressar e nos protege. No entanto, contamos com a sua ajuda!

Empréstimo Consignado Prefeitura de Valinhos

Valinhos é uma cidade situada no interior do estado de São Paulo. É a Terra Natal do artista Adoniram Barbosa, famoso por ser o compositor da música “Trem das Onze.” Quanto a economia, Valinhos atua nas áreas da Indústria e do Turismo. No entanto, referente ás indústrias, destaca-se a Unilever e a Eaton.

O empréstimo consignado que a prefeitura de Valinhos oferece, visa incentivar os seus funcionários públicos a terem um padrão de vida melhor. Saiba mais abaixo:

Ademais, o empréstimo para a Prefeitura da cidade de Valinhos é muito simples e fácil de solicitar. Contudo, é só clicar no botão Solicite e preencher o formulário para que nosso time de consultores possa entrar em contato.

Consignado Prefeitura Valinhos + Vantagens

Conheça agora quais são as vantagens de se adquirir um empréstimo pela prefeitura de Valinhos.

  • Não haverá consulta aos órgãos de proteção ao crédito SPC e SERASA
  • Prazos maiores para pagamento das parcelas
  • Parcelas fixas
  • Desconto direto na folha de pagamento
  • Taxas de juros diferenciada
  • Não possui TAC
  • Valor máximo liberado: R$ 12.000,00

Regulamentação

O empréstimo Consignado é uma linha de crédito regulamentada e atende a lei 10.820 de 17 de Dezembro de 2003. Contudo, a regulamentação sobre o empréstimo consignado foi recentemente atualizada através da resolução 722 em 20 de Fevereiro de 2015. Ademais, essa lei que define além de prazos e condições, as obrigações entre as partes.

Margem consignável

  • Margem de Consignação: 30% (trinta por cento)
  • No entanto, a margem deve estar POSITIVA em pelo R$0,01 (um centavo).
  • A margem ZERADA no sistema significa MARGEM NEGATIVA. No entanto, para este caso, o cálculo deverá ser manual para identificar o real valor (negativo) da margem.

Documentos Necessários

  • Cédula de Identificação (RG) ou Carteira de Habilitação (CNH)
  • Cadastro de Pessoa Física (CPF)
  • Comprovante de residência
  • Último comprovante de renda

Ademais, a apresentação de todos os documentos de forma legível e dentro dos prazos de validade ajudam a agilizar seu empréstimo.

Empréstimo Consignado Prefeitura de Porto Ferreira

O município de Porto Ferreira está localizado no interior do estado de São Paulo, localizada na região geográfica de São Carlos. Contudo, referente a Economia, Porto Ferreira tem  sua agricultura voltada exclusivamente para o cultivo da cana-de-açúcar. Destaque também para a atividade industrial da região que diversifica suas atividades atuando no Brasil e no Exterior.

O empréstimo consignado que a prefeitura do município de Porto Ferreira oferece aos seus servidores públicos, tem como sua meta oferecer uma qualidade de vida melhor para os seus funcionários, além de possuir benefícios exclusivos, aos quais veremos a seguir. 

Ademais, o empréstimo para a Prefeitura da cidade de Porto Ferreira é muito simples e fácil de solicitar. Contudo, é só clicar no botão Solicite e preencher o formulário para que nosso time de consultores possa entrar em contato.

Consignado Prefeitura Porto Ferreira + Vantagens

Conheça agora quais são as vantagens de se adquirir um empréstimo pela prefeitura do município de Porto Ferreira.

  • Sem consulta ao SPC e ao SERASA
  • Prazos maiores para pagar
  • Parcelas fixas
  • Desconto direto na folha de pagamento
  • Taxas de juros bem atraentes
  • Aqui, não existe a cobrança de TAC
  • Valor máximo liberado: R$ 12.000,00

Regulamentação

O empréstimo Consignado é uma linha de crédito regulamentada e atende a lei 10.820 de 17 de Dezembro de 2003. Contudo, a regulamentação sobre o empréstimo consignado foi recentemente atualizada através da resolução 722 em 20 de Fevereiro de 2015. Ademais, essa lei que define além de prazos e condições, as obrigações entre as partes.

Margem consignável

  • Margem de Consignação: 30% (trinta por cento)
  • No entanto, a margem deve estar POSITIVA em pelo R$0,01 (um centavo).
  • A margem ZERADA no sistema significa MARGEM NEGATIVA. No entanto, para este caso, o cálculo deverá ser manual para identificar o real valor (negativo) da margem.

Documentos Necessários

  • Registro Geral (RG) ou Carteira de Motorista CNH
  • Cadastro de Pessoa Física (CPF)
  • Comprovante de residência atualizado
  • Último contracheque

Ademais, a apresentação de todos os documentos de forma legível e dentro dos prazos de validade ajudam a agilizar seu empréstimo.

Empréstimo Consignado Prefeitura de Matelândia

Matelândia é uma cidade pertencente ao interior do estado do Paraná. Seu nome é uma homenagem à família Matte, que conquistou diversas terras na região, com a junção da palavra Land (terra em inglês). Contudo, sua economia é baseada no agronegócio, onde diversas empresas são as responsáveis pelas fontes de emprego.

O consignado que a prefeitura de Matelândia oferece para os servidores públicos possui um prazo mais longo para pagamento das parcelas, além da taxa de juros ser a melhor do mercado.

Ademais, o empréstimo para a Prefeitura da cidade de Matelândia é muito simples e fácil de solicitar. Contudo, é só clicar no botão Solicite e preencher o formulário para que nosso time de consultores possa entrar em contato.

Consignado Prefeitura Matelândia + Vantagens para Você

Conheça agora quais são as vantagens de se adquirir um empréstimo pela prefeitura do município de Matelândia.

  • Não have´ra consulta aos órgãos SPC e SERASA
  • Aqui, os prazos são mais extensos para pagamento
  • Parcelas fixas
  • Desconto direto na folha de pagamento
  • As taxas de juros definitivamente são as mais menores do mercado
  • Não possui TAC
  • Valor máximo liberado: R$ 12.000,00

Regulamentação

O empréstimo Consignado é uma linha de crédito regulamentada e atende a lei 10.820 de 17 de Dezembro de 2003. Contudo, a regulamentação sobre o empréstimo consignado foi recentemente atualizada através da resolução 722 em 20 de Fevereiro de 2015. Ademais, essa lei que define além de prazos e condições, as obrigações entre as partes.

Margem consignável

  • Margem de Consignação: 30% (trinta por cento)
  • No entanto, a margem deve estar POSITIVA em pelo R$0,01 (um centavo).
  • A margem ZERADA no sistema significa MARGEM NEGATIVA. No entanto, para este caso, o cálculo deverá ser manual para identificar o real valor (negativo) da margem.

Documentos Necessários

  • Cédula de Identidade (RG) ou Carteira de Habilitação (CNH)
  • CPF
  • Comprovante de residência
  • Último comprovante de rendimento

Ademais, a apresentação de todos os documentos de forma legível e dentro dos prazos de validade ajudam a agilizar seu empréstimo.

Empréstimo Consignado Prefeitura de Lins

O município de Lins está localizado no interior do estado de São Paulo. Sua economia é voltada para a indústria, onde se destaca a empresa de carnes, couro e itens de limpeza JBS Friboi. No entanto, a cidade de Lins também se destaca na agricultura, com as plantações de café, milho e algodão.

O consignado que a prefeitura de Lins oferece aos seus funcionários visa incentivar o empréstimo no qual o servidor público terá dinheiro para viajar, comprar um produto, emprestar, entre outras coisas.

Ademais, o empréstimo para a Prefeitura da cidade de Lins é muito simples e fácil de solicitar. Contudo, é só clicar no botão Solicite e preencher o formulário para que nosso time de consultores possa entrar em contato.

Consignado Prefeitura Lins + Vantagens para Você

Conheça agora quais são as vantagens de se adquirir um empréstimo pela prefeitura de Lins.

  • Não haverá consulta aos órgãos de proteção ao crédito SPC e SERASA
  • Os prazos para pagamento são maiores
  • Parcelas fixas
  • Desconto direto na folha de pagamento
  • As taxas de juros são bem melhores
  • Não possui TAC
  • Valor máximo liberado: R$ 12.000,00

Regulamentação

O empréstimo Consignado é uma linha de crédito regulamentada e atende a lei 10.820 de 17 de Dezembro de 2003. Contudo, a regulamentação sobre o empréstimo consignado foi recentemente atualizada através da resolução 722 em 20 de Fevereiro de 2015. Ademais, essa lei que define além de prazos e condições, as obrigações entre as partes.

Margem consignável

  • Margem de Consignação: 30% (trinta por cento)
  • No entanto, a margem deve estar POSITIVA em pelo R$0,01 (um centavo).
  • A margem ZERADA no sistema significa MARGEM NEGATIVA. No entanto, para este caso, o cálculo deverá ser manual para identificar o real valor (negativo) da margem.

Documentos Necessários

  • RG ou CNH
  • CPF
  • Comprovante de endereço atualizado
  • Último comprovante de rendimento

Ademais, a apresentação de todos os documentos de forma legível e dentro dos prazos de validade ajudam a agilizar seu empréstimo.

Empréstimo Consignado Prefeitura de Lauro de Freitas

Lauro de Freitas é uma cidade pertencente ao Litoral Norte do estado da Bahia, mais precisamente na região metropolitana da capital Salvador. Contudo, o município Lauro de Freitas possui um clima tropical quente e úmido. Esse clima é típico de regiões litorâneas.

Com o empréstimo consignado que a prefeitura de Lauro de Freitas oferece, os servidores públicos poderão utilizar o dinheiro para trocar de carro, fazer uma grande viagem, emprestar dinheiro, etc, …

Ademais, o empréstimo para a Prefeitura da cidade de Lauro de Freitas é muito simples e fácil de solicitar. Contudo, é só clicar no botão Solicite e preencher o formulário para que nosso time de consultores possa entrar em contato.

Consignado Prefeitura Lauro de Freitas + Vantagens

Conheça agora quais são as vantagens de se adquirir um empréstimo pela prefeitura de Lauro de Freitas.

  • Sem consulta ao SPC e ao SERASA
  • Os prazos são maiores para pagar
  • Parcelas fixas
  • Desconto direto na folha de pagamento
  • Aqui, as taxas de juros são reduzidas
  • Sem cobrança de TAC
  • Valor máximo liberado: R$ 18.000,00

Regulamentação

O empréstimo Consignado é uma linha de crédito regulamentada e atende a lei 10.820 de 17 de Dezembro de 2003. Contudo, a regulamentação sobre o empréstimo consignado foi recentemente atualizada através da resolução 722 em 20 de Fevereiro de 2015. Ademais, essa lei que define além de prazos e condições, as obrigações entre as partes.

Margem consignável

  • Margem de Consignação: 30% (trinta por cento)
  • No entanto, a margem deve estar POSITIVA em pelo R$0,01 (um centavo).
  • A margem ZERADA no sistema significa MARGEM NEGATIVA. No entanto, para este caso, o cálculo deverá ser manual para identificar o real valor (negativo) da margem.

Documentos Necessários

  • Registro Geral (RG) ou Carteira Nacional de Habilitação (CNH)
  • Cadastro de Pessoa Física (CPF)
  • Comprovante de residência
  • Último constracheque

Ademais, a apresentação de todos os documentos de forma legível e dentro dos prazos de validade ajudam a agilizar seu empréstimo.

Empréstimo Consignado Prefeitura de Jundiaí

A cidade de Jundiaí está localizada no interior do estado de São Paulo. O município de Jundiaí é ligado à capital paulista através da linha 7 da CPTM (Companhia Paulista de Trens Metropolitanos). Certamente, a Serra de Japi é a paisagem que marca a cidade, pois é uma das grandes áreas de Mata Atlântica do estado de São Paulo.

O Empréstimo Consignado que a Prefeitura da cidade de Jundiaí oferece aos seu servidores públicos, possui diversos benefícios tais como um prazo maior para efetuar o pagamento e uma taxa de juros reduzida

Ademais, o empréstimo para a Prefeitura do município de Jundiaí é muito simples e fácil de solicitar. Contudo, é só clicar no botão Solicite e preencher o formulário para que nosso time de consultores possa entrar em contato.

Consignado Prefeitura Jundiaí + Vantagens

Conheça agora quais são as vantagens de se adquirir um empréstimo pela prefeitura do município de Jundiaí.

  • Sem consulta aos órgãos SPC e SERASA
  • Prazos estendidos para pagamento
  • Parcelas fixas
  • Desconto direto na folha de pagamento
  • Taxa de juros melhores
  • Sem cobrança de TAC
  • Valor máximo liberado: R$ 15.000,00

Regulamentação

O empréstimo Consignado é uma linha de crédito regulamentada e atende a lei 10.820 de 17 de Dezembro de 2003. Contudo, a regulamentação sobre o empréstimo consignado foi recentemente atualizada através da resolução 722 em 20 de Fevereiro de 2015. Ademais, essa lei que define além de prazos e condições, as obrigações entre as partes.

Margem consignável

  • Margem de Consignação: 30% (trinta por cento)
  • No entanto, a margem deve estar POSITIVA em pelo R$0,01 (um centavo).
  • A margem ZERADA no sistema significa MARGEM NEGATIVA. No entanto, para este caso, o cálculo deverá ser manual para identificar o real valor (negativo) da margem.

Documentos Necessários

  • Carteira de Identidade (RG) ou Carteira de Motorista (CNH)
  • CPF
  • Comprovante de residência atual
  • Último comprovante de renda

Ademais, a apresentação de todos os documentos de forma legível e dentro dos prazos de validade ajudam a agilizar seu empréstimo.

Empréstimo Consignado Prefeitura de Jandira

Jandira é uma cidade localizada na região metropolitana da cidade de São Paulo, que pertence ao estado de São Paulo. Jandira se conecta com a capital do estado São Paulo através da linha 8 Diamante da CPTM. No entanto, o nome Jandira significa “Favo de Mel”, na língua tupi-guarani. Constantemente a o município é chamado de “Cidade Favo de Mel” por seus moradores.

O Empréstimo Consignado que a Prefeitura do município de Jandira destina aos seus servidores públicos, possui uma taxa de juros mais atrativa, além do prazo para pagamento ser um dos maiores. Veja todos os benefícios oferecidos abaixo:

Ademais, o empréstimo para a Prefeitura da cidade de Jandira é muito simples e fácil de solicitar. Contudo, é só clicar no botão Solicite e preencher o formulário para que nosso time de consultores possa entrar em contato.

Consignado Prefeitura Jandira + Vantagens para Você

Conheça agora quais são as vantagens de se adquirir um empréstimo pela prefeitura do município de Jandira.

  • Não há consulta ao SPC e ao SERASA
  • Prazos diferenciados para pagar
  • Parcelas fixas
  • Desconto direto na folha de pagamento
  • As taxas de juros são menores do que as praticadas no mercado
  • Não possui cobrança de TAC
  • Valor máximo liberado: R$ 12.000,00

Regulamentação

O empréstimo Consignado é uma linha de crédito regulamentada e atende a lei 10.820 de 17 de Dezembro de 2003. Contudo, a regulamentação sobre o empréstimo consignado foi recentemente atualizada através da resolução 722 em 20 de Fevereiro de 2015. Ademais, essa lei que define além de prazos e condições, as obrigações entre as partes.

Margem consignável

  • Margem de Consignação: 30% (trinta por cento)
  • No entanto, a margem deve estar POSITIVA em pelo R$0,01 (um centavo).
  • A margem ZERADA no sistema significa MARGEM NEGATIVA. No entanto, para este caso, o cálculo deverá ser manual para identificar o real valor (negativo) da margem.

Documentos Necessários

  • Registro Geral (RG) ou CNH
  • CPF
  • Comprovante de residência atualizado
  • Último comprovante de renda

Ademais, a apresentação de todos os documentos de forma legível e dentro dos prazos de validade ajudam a agilizar seu empréstimo.

Empréstimo Consignado Prefeitura de Araucária

O município de Araucária situa-se no interior do estado do Paraná. Seu nome veio da reserva da mata que existia no tempo de sua povoação. A Araucária ou Pinheiro do Paraná, é uma vegetação muito comum em regiões frias. Contudo, a economia da cidade é voltada para a área industrial. Destaque para as empresas Gerdau, Berneck, Adesi e Trane.

O empréstimo consignado que a prefeitura de Araucária oferece aos seus servidores públicos possui vantagens como por exemplo um prazo diversificado para pagamento, taxas de juros melhores, entre outras vantagens.

Ademais, o empréstimo para a Prefeitura da cidade de Araucária é muito simples e fácil de solicitar. Contudo, é só clicar no botão Solicite e preencher o formulário para que nosso time de consultores possa entrar em contato.

Consignado Prefeitura Araucária + Vantagens

Conheça agora quais são as vantagens de se adquirir um empréstimo pela prefeitura de Araucária.

  • Sem consulta aos órgãos de proteção ao crédito SPC e SERASA
  • Aqui, os prazos mais longos para pagar
  • Parcelas fixas
  • Desconto direto na folha de pagamento
  • Taxas de juros são mais em conta
  • Aqui, não existe a cobrança de TAC
  • Valor máximo liberado: R$ 12.000,00

Regulamentação

O empréstimo Consignado é uma linha de crédito regulamentada e atende a lei 10.820 de 17 de Dezembro de 2003. Contudo, a regulamentação sobre o empréstimo consignado foi recentemente atualizada através da resolução 722 em 20 de Fevereiro de 2015. Ademais, essa lei que define além de prazos e condições, as obrigações entre as partes.

Margem consignável

  • Margem de Consignação: 30% (trinta por cento)
  • No entanto, a margem deve estar POSITIVA em pelo R$0,01 (um centavo).
  • A margem ZERADA no sistema significa MARGEM NEGATIVA. No entanto, para este caso, o cálculo deverá ser manual para identificar o real valor (negativo) da margem.

Documentos Necessários

  • RG ou CNH
  • Cadastro de Pessoa Física (CPF)
  • Comprovante de endereço atualizado
  • Último comprovante de rendimento

Ademais, a apresentação de todos os documentos de forma legível e dentro dos prazos de validade ajudam a agilizar seu empréstimo.

Empréstimo Consignado Prefeitura de Arapongas

Arapongas é uma cidade pertencente ao interior do estado do Paraná. Localiza-se na Região Metropolitana de Londrina. Contudo, na área econômica, o município tem crescido a cada ano que passa. Arapongas é uma das cidades que mais cresceram no estado nos últimos anos. Empresas como Havan e Super Muffato, se instalaram no município, gerando muitos empregos locais.

Com o empréstimo consignado da prefeitura de Arapongas, os servidores públicos poderão utilizar o dinheiro para pagar alguma dívida ou até mesmo viajar, emprestar dinheiro, reformar a casa, etc, …

Ademais, o empréstimo para a Prefeitura da cidade de Arapongas é muito simples e fácil de solicitar. Contudo, é só clicar no botão Solicite e preencher o formulário para que nosso time de consultores possa entrar em contato.

Consignado Prefeitura Arapongas + Vantagens para Você

Conheça agora quais são as vantagens de se adquirir um empréstimo pela prefeitura de Arapongas.

  • Sem consulta aos órgãos SPC e SERASA
  • Aqui, os prazos são mais extensos para pagar
  • Parcelas fixas
  • Desconto direto na folha de pagamento
  • As taxas de juros são as menores do mercado
  • Não possui TAC
  • Valor máximo liberado: R$ 12.000,00

Regulamentação

O empréstimo Consignado é uma linha de crédito regulamentada e atende a lei 10.820 de 17 de Dezembro de 2003. Contudo, a regulamentação sobre o empréstimo consignado foi recentemente atualizada através da resolução 722 em 20 de Fevereiro de 2015. Ademais, essa lei que define além de prazos e condições, as obrigações entre as partes.

Margem consignável

  • Margem de Consignação: 30% (trinta por cento)
  • No entanto, a margem deve estar POSITIVA em pelo R$0,01 (um centavo).
  • A margem ZERADA no sistema significa MARGEM NEGATIVA. No entanto, para este caso, o cálculo deverá ser manual para identificar o real valor (negativo) da margem.

Documentos Necessários

  • Cédula de identidade (RG) ou Carteira Nacional de Habilitação (CNH)
  • CPF
  • Comprovante de residência
  • Último contracheque

Ademais, a apresentação de todos os documentos de forma legível e dentro dos prazos de validade ajudam a agilizar seu empréstimo.

Empréstimo Consignado Prefeitura de Teresópolis

Teresópolis é uma cidade localizada no estado do Rio de Janeiro. A economia do município baseia-se na Agropecuária, onde são cultivados tomate, banana, tangerina, mandioca e batata-doce. Contudo, em Teresópolis também existe a criação de bovinos, equinos, suínos e caprinos.

O Empréstimo Consignado Prefeitura Teresópolis é uma ótima opção para o servidor público. Com ele, o funcionário poderá trocar de carro, pagar uma dívida, viajar, pagar dívidas, etc, …

Ademais, o empréstimo para a Prefeitura do município de Teresópolis é muito simples e fácil de solicitar. Contudo, é só clicar no botão Solicite e preencher o formulário para que nosso time de consultores possa entrar em contato.

Consignado Prefeitura Teresópolis + Vantagens

Conheça agora quais são as vantagens de se adquirir um empréstimo pela prefeitura do município de Teresópolis.

  • Sem consulta aos órgãos de proteção ao crédito SPC e SERASA
  • Os prazos são mais extensos para pagamento
  • Parcelas fixas
  • Desconto direto na folha de pagamento
  • Aqui, as taxas de juros são vantajosas
  • Sem cobrança de TAC
  • Valor máximo liberado: R$ 8.000,00

Regulamentação

O empréstimo Consignado é uma linha de crédito regulamentada e atende a lei 10.820 de 17 de Dezembro de 2003. Contudo, a regulamentação sobre o empréstimo consignado foi recentemente atualizada através da resolução 722 em 20 de Fevereiro de 2015. Ademais, essa lei que define além de prazos e condições, as obrigações entre as partes.

Margem consignável

  • Margem de Consignação: 30% (trinta por cento)
  • No entanto, a margem deve estar POSITIVA em pelo R$0,01 (um centavo).
  • A margem ZERADA no sistema significa MARGEM NEGATIVA. No entanto, para este caso, o cálculo deverá ser manual para identificar o real valor (negativo) da margem.

Documentos Necessários

  • RG ou Carteira de Habilitação (CNH)
  • CPF
  • Comprovante de residência
  • Último comprovante de renda

Ademais, a apresentação de todos os documentos de forma legível e dentro dos prazos de validade ajudam a agilizar seu empréstimo.

Empréstimo Consignado Prefeitura de Simões Filho

A cidade de Simões Filho fica localizada no estado da Bahia, ao lado da capital, Salvador. Referente a Economia, Simões Filho possui o Centro Industrial de Aratu, que é um complexo multissetorial, e o Polo Industrial de Camaçari. No entanto, esse Polo de Camaçari é o maior pólo industrial do estado.

O empréstimo consignado que a Prefeitura de Simões Filho oferece aos seus funcionários, está repleta de benefícios, como por exemplo um prazo maior para pagamento das parcelas, sem consulta ao SPC e ao SERASA, sem cobrança de TAC, entre outros.

Ademais, o empréstimo para a Prefeitura da cidade de Simões Filho é muito simples e fácil de solicitar. Contudo, é só clicar no botão Solicite e preencher o formulário para que nosso time de consultores possa entrar em contato.

Consignado Prefeitura Simões Filho + Vantagens

Conheça agora quais são as vantagens de se adquirir um empréstimo pela prefeitura do município de Simões Filho.

  • Não haverá consulta aos órgãos de proteção ao crédito SPC e SERASA
  • Aqui, os prazos são maiores para efetuar o pagamento
  • Parcelas fixas
  • Desconto direto na folha de pagamento
  • As taxas de juros são melhores do que as praticadas no mercado
  • Não possui TAC
  • Valor máximo liberado: R$ 7.500,00

Regulamentação

O empréstimo Consignado é uma linha de crédito regulamentada e atende a lei 10.820 de 17 de Dezembro de 2003. Contudo, a regulamentação sobre o empréstimo consignado foi recentemente atualizada através da resolução 722 em 20 de Fevereiro de 2015. Ademais, essa lei que define além de prazos e condições, as obrigações entre as partes.

Margem consignável

  • Margem de Consignação: 30% (trinta por cento)
  • No entanto, a margem deve estar POSITIVA em pelo R$0,01 (um centavo).
  • A margem ZERADA no sistema significa MARGEM NEGATIVA. No entanto, para este caso, o cálculo deverá ser manual para identificar o real valor (negativo) da margem.

Documentos Necessários

  • RG ou CNH
  • Cadastro de Pessoa Física (CPF)
  • Comprovante de residência atual
  • Último contracheque

Ademais, a apresentação de todos os documentos de forma legível e dentro dos prazos de validade ajudam a agilizar seu empréstimo.

Empréstimo Consignado Prefeitura de São Sebastião

São Sebastião é uma estância balneária localizada no litoral do estado de São Paulo. Pertence a microrregião de Caraguatatuba. Existem diversas ilhas na região. Contudo, a mais famosa é a ilha de São Sebastião, localizada na cidade de Ilha Bela. Quanto as praias, São Sebastião possui 36 registradas.

O Empréstimo Consignado que a Prefeitura do município de São Sebastião oferece aos seu servidores públicos, possui diversos benefícios, além do valor máximo liberado ser muito atrativo. Saiba mais abaixo:

Ademais, o empréstimo para a Prefeitura da cidade de São Sebastião é muito simples e fácil de solicitar. Contudo, é só clicar no botão Solicite e preencher o formulário para que nosso time de consultores possa entrar em contato.

Consignado Prefeitura São Sebastião + Vantagens para Você

Conheça agora quais são as vantagens de se adquirir um empréstimo pela prefeitura do município de São Sebastião.

  • Sem consulta ao SPC e ao SERASA
  • Prazos maiores para pagar
  • Parcelas fixas
  • Desconto direto na folha de pagamento
  • Taxa de juros mais justa
  • Sem cobrança de TAC
  • Valor máximo liberado: R$ 11.250,00

Regulamentação

O empréstimo Consignado é uma linha de crédito regulamentada e atende a lei 10.820 de 17 de Dezembro de 2003. Contudo, a regulamentação sobre o empréstimo consignado foi recentemente atualizada através da resolução 722 em 20 de Fevereiro de 2015. Ademais, essa lei que define além de prazos e condições, as obrigações entre as partes.

Margem consignável

  • Margem de Consignação: 30% (trinta por cento)
  • No entanto, a margem deve estar POSITIVA em pelo R$0,01 (um centavo).
  • A margem ZERADA no sistema significa MARGEM NEGATIVA. No entanto, para este caso, o cálculo deverá ser manual para identificar o real valor (negativo) da margem.

Documentos Necessários

  • Cédula de Identificação (RG) ou Carteira de Motorista (CNH)
  • CPF
  • Comprovante de residência atual
  • Último comprovante de renda

Ademais, a apresentação de todos os documentos de forma legível e dentro dos prazos de validade ajudam a agilizar seu empréstimo.

Empréstimo Consignado Prefeitura de Santarém

A cidade de Santarém fica localizada no estado do Pará. Chamada de capital do Tapajós, o importante rio nasce no Mato Grosso, banha parte do Pará e desaguá no Rio Amazonas. Contudo, Santarém é o terceiro município mais populoso do estado, atrás somente da capital Belém e da cidade de Ananindeua.

O Empréstimo Consignado que a Prefeitura do município de Santarém oferece aos seu servidores públicos, possui benefícios como por exemplo um prazo mais longo para pagamento, uma taxa de juros mais justa, entre outros.

Ademais, o empréstimo para a Prefeitura da cidade de Santarém é muito simples e fácil de solicitar. Contudo, é só clicar no botão Solicite e preencher o formulário para que nosso time de consultores possa entrar em contato.

Consignado Prefeitura Santarém + Vantagens

Conheça agora quais são as vantagens de se adquirir um empréstimo pela prefeitura do município de Santarém.

  • Não haverá consulta aos órgãos de proteção ao crédito SPC e SERASA
  • Prazos maiores para efetuar o pagamento
  • Parcelas fixas
  • Desconto direto na folha de pagamento
  • Uma taxa de juros mais justa
  • Sem cobrança de TAC
  • Valor máximo liberado: R$ 16.000,00

Regulamentação

O empréstimo Consignado é uma linha de crédito regulamentada e atende a lei 10.820 de 17 de Dezembro de 2003. Contudo, a regulamentação sobre o empréstimo consignado foi recentemente atualizada através da resolução 722 em 20 de Fevereiro de 2015. Ademais, essa lei que define além de prazos e condições, as obrigações entre as partes.

Margem consignável

  • Margem de Consignação: 30% (trinta por cento)
  • No entanto, a margem deve estar POSITIVA em pelo R$0,01 (um centavo).
  • A margem ZERADA no sistema significa MARGEM NEGATIVA. No entanto, para este caso, o cálculo deverá ser manual para identificar o real valor (negativo) da margem.

Documentos Necessários

  • Registro Geral (RG) ou Carteira de Motorista (CNH)
  • CPF
  • Comprovante de residência
  • Último comprovante de rendimento

Ademais, a apresentação de todos os documentos de forma legível e dentro dos prazos de validade ajudam a agilizar seu empréstimo.

Empréstimo Consignado Prefeitura de Pirassununga

Pirassununga é uma cidade localizada no interior do estado de São Paulo, mais precisamente na Região Centro-Oeste do estado. O município abriga importantes órgãos e instituições como por exemplo a Academia da Força Aérea, na qual formam-se oficiais de aviação, infantaria e intendência. O Forte Anhanguera onde abriga o 13º regimento da cavalaria mecanizado do Exército Brasileiro também integra a cidade.

O empréstimo consignado que a prefeitura do município de Pirassununga oferece aos seus servidores públicos está cheio de benefícios como por exemplo um prazo maior para pagamento das parcelas, taxas de juros menores, entre outros.

Ademais, o empréstimo para a Prefeitura da cidade de Pirassununga é muito simples e fácil de solicitar. Contudo, é só clicar no botão Solicite e preencher o formulário para que nosso time de consultores possa entrar em contato.

Consignado Prefeitura Pirassununga + Vantagens

Conheça agora quais são as vantagens de se adquirir um empréstimo pela prefeitura do município de Pirassununga.

  • Sem consulta ao SPC e ao SERASA
  • Os prazos são mais longos para efetuar o pagamento
  • Parcelas fixas
  • Desconto direto na folha de pagamento
  • Taxas de juros melhores do que as taxas praticadas no mercado
  • Sem cobrança de TAC
  • Valor máximo liberado: R$ 9.000,00

Regulamentação

O empréstimo Consignado é uma linha de crédito regulamentada e atende a lei 10.820 de 17 de Dezembro de 2003. Contudo, a regulamentação sobre o empréstimo consignado foi recentemente atualizada através da resolução 722 em 20 de Fevereiro de 2015. Ademais, essa lei que define além de prazos e condições, as obrigações entre as partes.

Margem consignável

  • Margem de Consignação: 30% (trinta por cento)
  • No entanto, a margem deve estar POSITIVA em pelo R$0,01 (um centavo).
  • A margem ZERADA no sistema significa MARGEM NEGATIVA. No entanto, para este caso, o cálculo deverá ser manual para identificar o real valor (negativo) da margem.

Documentos Necessários

  • Cédula de Identidade (RG) ou CNH
  • Cadastro de Pessoa Física (CPF)
  • Comprovante de residência
  • Último comprovante de renda

Ademais, a apresentação de todos os documentos de forma legível e dentro dos prazos de validade ajudam a agilizar seu empréstimo.

Empréstimo Consignado Prefeitura de Petrolina

O município de Petrolina está localizado no estado de Pernambuco, Região Nordeste do nosso Brasil. Merece destaque o cultivo de uva na cidade de Petrolina. Contudo, além de uva, o município cultiva manga e banana. A cidade possui o Aeroporto Internacional de Petrolina – Senador Nilo Coelho, sendo um dos principais da região nordeste.

A prefeitura de Patrocínio oferece aos seus servidores o consignado que é uma modalidade de empréstimo com desconto na folha de pagamento. Conheça abaixo quais são os seus benefícios:

Ademais, o empréstimo para a Prefeitura da cidade de Petrolina é muito simples e fácil de solicitar. Contudo, é só clicar no botão Solicite e preencher o formulário para que nosso time de consultores possa entrar em contato.

Consignado Prefeitura Petrolina + Vantagens para Você

Conheça agora quais são as vantagens de se adquirir um empréstimo pela prefeitura do município de Petrolina.

  • Sem consulta aos órgãos de proteção ao crédito SPC e SERASA
  • Prazos mais extensos para pagar
  • Parcelas fixas
  • Desconto direto na folha de pagamento
  • As taxas de juros são competitivas
  • Não possui a cobrança de TAC
  • Valor máximo liberado: R$ 12.750,00

Regulamentação

O empréstimo Consignado é uma linha de crédito regulamentada e atende a lei 10.820 de 17 de Dezembro de 2003. Contudo, a regulamentação sobre o empréstimo consignado foi recentemente atualizada através da resolução 722 em 20 de Fevereiro de 2015. Ademais, essa lei que define além de prazos e condições, as obrigações entre as partes.

Margem consignável

  • Margem de Consignação: 30% (trinta por cento)
  • No entanto, a margem deve estar POSITIVA em pelo R$0,01 (um centavo).
  • A margem ZERADA no sistema significa MARGEM NEGATIVA. No entanto, para este caso, o cálculo deverá ser manual para identificar o real valor (negativo) da margem.

Documentos Necessários

  • Cédula de Identidade (RG) ou Carteira Nacional de Habilitação (CNH)
  • CPF
  • Comprovante de endereço atualizado
  • Último contracheque

Ademais, a apresentação de todos os documentos de forma legível e dentro dos prazos de validade ajudam a agilizar seu empréstimo.

Empréstimo Consignado Prefeitura de Parauapebas

Parauapebas é uma cidade brasileira situada no estado do Pará, Região Norte do Brasil. O município pertente a Mesorregião do Sudeste Paraense. Contudo, Parauapebas tem a sua economia voltada para a atividade mineradora, principalmente na Mina de Carajás. A principal renda da cidade é na extração do minério de ferro. Atividades agrícolas e de pecuária também fazer parte da renda do município.

O empréstimo consignado que a prefeitura de Parauapebas oferece para os servidores públicos possui um prazo mais extenso para pagamento das parcelas, além da taxa de juros ser a menor do mercado. Descubra quais são os demais benefícios logo abaixo:

Ademais, o empréstimo para a Prefeitura da cidade de Parauapebas é muito simples e fácil de solicitar. Contudo, é só clicar no botão Solicite e preencher o formulário para que nosso time de consultores possa entrar em contato.

Consignado Prefeitura Parauapebas + Vantagens

Conheça agora quais são as vantagens de se adquirir um empréstimo pela prefeitura do município de Parauapebas.

  • Não haverá consulta ao SPC e ao SERASA
  • Os prazos são mais longos para pagamento
  • Parcelas fixas
  • Desconto direto na folha de pagamento
  • Taxa de juros mais atraentes do que as praticadas no mercado
  • Não possui a cobrança de TAC
  • Valor máximo liberado: R$ 11.200,00

Regulamentação

O empréstimo Consignado é uma linha de crédito regulamentada e atende a lei 10.820 de 17 de Dezembro de 2003. Contudo, a regulamentação sobre o empréstimo consignado foi recentemente atualizada através da resolução 722 em 20 de Fevereiro de 2015. Ademais, essa lei que define além de prazos e condições, as obrigações entre as partes.

Margem consignável

  • Margem de Consignação: 30% (trinta por cento)
  • No entanto, a margem deve estar POSITIVA em pelo R$0,01 (um centavo).
  • A margem ZERADA no sistema significa MARGEM NEGATIVA. No entanto, para este caso, o cálculo deverá ser manual para identificar o real valor (negativo) da margem.

Documentos Necessários

  • Carteira de Identidade (RG) ou Carteira Nacional de Habilitação (CNH)
  • Cadastro de Pessoa Física (CPF)
  • Comprovante de endereço atual
  • Último comprovante de rendimento

Ademais, a apresentação de todos os documentos de forma legível e dentro dos prazos de validade ajudam a agilizar seu empréstimo.

Problemas na Portabilidade Safra de Empréstimo?

É comum e corriqueiro no meu dia a dia como correspondente bancário se deparar com uma situação de total desespero por parte de relatos de clientes que acessam nosso blog e nos confidenciam a respeito de como o Banco Safra tem lhes causado diversos problemas.

O Portal Consignados não faz discriminação de instituição financeira e todo seu material tem o objetivo de ajudar a melhorar o setor, portanto não iremos ficar mais quietos diante de problemas relacionados ao setor.

Principais Problemas na Portabilidade Safra

Alguns fatos relatados com mais frequência pelos nossos usuários, amigos e clientes são:

  • Falta de Informação sobre Saldo a Receber
  • Informações divergentes
  • Falta de Conhecimento no Refinanciamento pós portabilidade

Contudo, um detalhe muito importante a ser colocado, é que até o momento quem recebe do banco a ser portado a confirmação do saldo devedor, não se tem uma relação exata do que realmente será quitado. Certamente, essa é uma falha do produto.

O caso acima se aplica na portabilidade com troco, ou seja, após a portabilidade ser realizada é feito um refinanciamento.

A portabilidade com troco atende a mesma lógica do refinanciamento, ou seja:

(Valor do Contrato Atual) – (Saldo devedor) = O que o Cliente irá receber

O grande problema é que este fato não é explicado de forma objetiva. Contudo, o cliente acha que está fazendo a portabilidade e que, pela diferença de juros vai receber um valor sem precisar refinanciar seu contrato.

A portabilidade em si, não movimenta valores, ou seja, ela simplesmente tira sua dívida de um banco e passa para outro. No entanto, somente se for refinanciar que vai liberar valores.

Veja como funciona

O que se tem visto no mercado é uma ligação por parte de alguém que se diz “Funcionário do Banco Safra” dizendo : “Olha seu contrato foi celebrado com taxa de juros abusiva. No entanto, por este motivo estaremos adequando a taxa de juros realizando uma portabilidade”.

Já viu alguma instituição financeira ligando pra dizer que você tem dinheiro pra lhe depositar? Seja pelo desespero ou pela falta de informação, muitos clientes têm se deparado com tal situação.

O Banco Safra, em forma de defesa, tem colocado a culpa nos corretores. Na verdade, isso é uma covardia até porque se tratando de uma instituição que conhecemos bem podemos afirmar: “O Banco Safra liga para todos os clientes confirmando a operação”.

Se liga confirmando a operação, porquê então permite que isso aconteça?

Infelizmente, existe uma prática muito comum por parte do Banco de jogar toda e qualquer despesa a cargo do correspondente. Contudo, isso ocorre até em casos onde um DOC é devolvido é o correspondente que paga pela reapresentação.

Abandono total do setor

Nosso setor é extremamente carente de uma regulamentação mais justa para os profissionais que nela trabalham.

A grande maioria das instituições não promovem treinamentos e nem mesmo controle de qualidade. Contudo, elas apenas utilizam uma mão de obra praticamente escrava para executar o que o próprio Banco não tem competência para fazer, até mesmo por questões de lucro prefere utilizar.

A verdade é que se existe um culpado é a falta de controle por parte das instituições em acompanhar o trabalho deste setor. No entanto, apenas se pune, não se orienta, apenas se cobra, não se dá nem sequer uma ajuda ao profissional deste setor.

Com a baixa remuneração, falta de incentivo e controle, se instala no setor maus profissionais e péssimas instituições financeiras celebrando milhões de contratos.

Onde estão as autoridades? É recorrente, é vício e nada se tem sido feito. Só pra ilustrar, o INSS que deveria fiscalizar ou punir a instituição que se comporte desta forma e não fazem nada.

Pode haver prestação de serviço por parte de uma instituição que praticamente utiliza mão de obra escrava? É moral isso!

Brasil, mostra tua cara! Quero ver quem paga pra gente ficar assim!

Enviamos esta matéria ao Banco Safra. No entanto, até o momento da publicação, não obtivemos resposta sobre a postura do Banco à respeito dos problemas na Portabilidade Safra.

Empréstimo Consignado Prefeitura de Mesquita

O município de Mesquita está localizado no estado do Rio de Janeiro, região sudeste do nosso país. A cidade integra a Região Metropolitana da capital do estado, Rio de Janeiro. Contudo, Mesquita é o município mais novo da Baixada Fluminense. Seu nome é uma homenagem ao Barão de Mesquita, proprietário de antigas fazendas da região.

O Empréstimo Consignado que a Prefeitura da cidade de Mesquita oferece aos seu servidores públicos, possui diversos benefícios tais como um prazo mais longo para pagamento, uma taxa de juros mais justa, não possui cobrança de TAC, entre outros.

Ademais, o empréstimo para a Prefeitura do município de Mesquita é muito simples e fácil de solicitar. Contudo, é só clicar no botão Solicite e preencher o formulário para que nosso time de consultores possa entrar em contato.

Consignado Prefeitura Mesquita + Vantagens

Conheça agora quais são as vantagens de se adquirir um empréstimo pela prefeitura do município de Mesquita.

  • Sem consulta aos órgãos de proteção ao crédito SPC e SERASA
  • Os prazos são maiores para pagamento
  • Parcelas fixas
  • Desconto direto na folha de pagamento
  • Taxa de juros mais vantajosas
  • Sem cobrança de TAC
  • Valor máximo liberado: R$ 9.000,00

Regulamentação

O empréstimo Consignado é uma linha de crédito regulamentada e atende a lei 10.820 de 17 de Dezembro de 2003. Contudo, a regulamentação sobre o empréstimo consignado foi recentemente atualizada através da resolução 722 em 20 de Fevereiro de 2015. Ademais, essa lei que define além de prazos e condições, as obrigações entre as partes.

Margem consignável

  • Margem de Consignação: 30% (trinta por cento)
  • No entanto, a margem deve estar POSITIVA em pelo R$0,01 (um centavo).
  • A margem ZERADA no sistema significa MARGEM NEGATIVA. No entanto, para este caso, o cálculo deverá ser manual para identificar o real valor (negativo) da margem.

Documentos Necessários

  • RG ou Carteira de Motorista (CNH)
  • CPF
  • Comprovante de residência
  • Último comprovante de renda

Ademais, a apresentação de todos os documentos de forma legível e dentro dos prazos de validade ajudam a agilizar seu empréstimo.

Empréstimo Consignado Prefeitura de Juazeiro

Juazeiro é uma cidade pertencente ao estado da Bahia, mais precisamente na mesorregião do Vale São Franciscano da Bahia. Contudo, na economia, Juazeiro se destaca dos demais por ser o município mais industrializado do vale do São Francisco. Merece destaque o cultivo de Manga, que é um dos maiores da região.

O consignado que a Prefeitura de Juazeiro oferece para os seus funcionários permite que o servidor público adquira quais bens quiser, sem a necessidade de informar para qual finalidade o dinheiro será utilizado.

Ademais, o empréstimo para a Prefeitura da cidade de Juazeiro é muito simples e fácil de solicitar. Contudo, é só clicar no botão Solicite e preencher o formulário para que nosso time de consultores possa entrar em contato.

Consignado Prefeitura Juazeiro + Vantagens para Você

Conheça agora quais são as vantagens de se adquirir um empréstimo pela prefeitura do município de Juazeiro.

  • Sem consulta ao SPC e SERASA
  • Prazos mais longos para pagamento
  • Parcelas fixas
  • Desconto direto na folha de pagamento
  • Taxas de juros melhores
  • Sem cobrança de TAC
  • Valor máximo liberado: R$ 12.750,00

Regulamentação

O empréstimo Consignado é uma linha de crédito regulamentada e atende a lei 10.820 de 17 de Dezembro de 2003. Contudo, a regulamentação sobre o empréstimo consignado foi recentemente atualizada através da resolução 722 em 20 de Fevereiro de 2015. Ademais, essa lei que define além de prazos e condições, as obrigações entre as partes.

Margem consignável

  • Margem de Consignação: 30% (trinta por cento)
  • No entanto, a margem deve estar POSITIVA em pelo R$0,01 (um centavo).
  • A margem ZERADA no sistema significa MARGEM NEGATIVA. No entanto, para este caso, o cálculo deverá ser manual para identificar o real valor (negativo) da margem.

Documentos Necessários

  • Cédula de Identidade (RG) ou Carteira de Habilitação (CNH)
  • Cadastro de Pessoa Física (CPF)
  • Comprovante de endereço atualizado
  • Último contracheque

Ademais, a apresentação de todos os documentos de forma legível e dentro dos prazos de validade ajudam a agilizar seu empréstimo.

Empréstimo Consignado Prefeitura de Joinville

Joinville é uma cidade localizada na região norte do estado de Santa Catarina. Com referência a quantidade de habitantes, o município de Joinville é maior do que a própria capital do estado, Florianópolis e é a 3ª cidade mais populosa da Região Sul do Brasil. Contudo, Joinville sedia o maior festival de dança do mundo, O Festival de Dança de Joinville.

O empréstimo consignado que a Prefeitura de Joinville oferece aos seus funcionários, está repleta de benefícios, como por exemplo um prazo maior para pagar as parcelas, sem consulta ao SPC e SERASA, sem cobrança de TAC, entre outros.

Ademais, o empréstimo para a Prefeitura da cidade de Joinville é muito simples e fácil de solicitar. Contudo, é só clicar no botão Solicite e preencher o formulário para que nosso time de consultores possa entrar em contato.

Consignado Prefeitura Joinville + Vantagens

Conheça agora quais são as vantagens de se adquirir um empréstimo pela prefeitura do município de Joinville.

  • Não haverá consulta aos órgãos SPC e SERASA
  • Os prazos são maiores para pagar
  • Parcelas fixas
  • Desconto direto na folha de pagamento
  • Taxas de juros mais justas do que as praticadas no mercado
  • Não possui TAC
  • Valor máximo liberado: R$ 8.500,00

Regulamentação

O empréstimo Consignado é uma linha de crédito regulamentada e atende a lei 10.820 de 17 de Dezembro de 2003. Contudo, a regulamentação sobre o empréstimo consignado foi recentemente atualizada através da resolução 722 em 20 de Fevereiro de 2015. Ademais, essa lei que define além de prazos e condições, as obrigações entre as partes.

Margem consignável

  • Margem de Consignação: 30% (trinta por cento)
  • No entanto, a margem deve estar POSITIVA em pelo R$0,01 (um centavo).
  • A margem ZERADA no sistema significa MARGEM NEGATIVA. No entanto, para este caso, o cálculo deverá ser manual para identificar o real valor (negativo) da margem.

Documentos Necessários

  • RG ou CNH
  • CPF
  • Comprovante de residência
  • Último comprovante de rendimento

Ademais, a apresentação de todos os documentos de forma legível e dentro dos prazos de validade ajudam a agilizar seu empréstimo.

Empréstimo Consignado Prefeitura de Ilhabela

Ilhabela é uma cidade localizada no litoral norte do estado de São Paulo, na microrregião de São Sebastião. O município é banhado pelo Oceano Atlântico e sua distância perante a capital do estado é de 135 km. Contudo, a economia da Estância Balneária de Ilhabela baseia´-se no turismo e na construção civil.

O empréstimo consignado que a prefeitura de Ilhabela oferece aos seus funcionários possui vantagens como por exemplo um prazo mais extenso para pagamento das parcelas, taxas de juros mais atraentes, entre outros.

Ademais, o empréstimo para a Prefeitura da cidade de Ilhabela é muito simples e fácil de solicitar. Contudo, é só clicar no botão Solicite e preencher o formulário para que nosso time de consultores possa entrar em contato.

Consignado Prefeitura Ilhabela + Vantagens para Você

Conheça agora quais são as vantagens de se adquirir um empréstimo pela prefeitura de Ilhabela.

  • Não há consulta aos órgãos de proteção ao crédito SPC e SERASA
  • Prazos mais longos para pagamento
  • Parcelas fixas
  • Desconto direto na folha de pagamento
  • Aqui, as taxas de juros são mais em conta
  • Sem cobrança de TAC
  • Valor máximo liberado: R$ 15.000,00

Regulamentação

O empréstimo Consignado é uma linha de crédito regulamentada e atende a lei 10.820 de 17 de Dezembro de 2003. Contudo, a regulamentação sobre o empréstimo consignado foi recentemente atualizada através da resolução 722 em 20 de Fevereiro de 2015. Ademais, essa lei que define além de prazos e condições, as obrigações entre as partes.

Margem consignável

  • Margem de Consignação: 30% (trinta por cento)
  • No entanto, a margem deve estar POSITIVA em pelo R$0,01 (um centavo).
  • A margem ZERADA no sistema significa MARGEM NEGATIVA. No entanto, para este caso, o cálculo deverá ser manual para identificar o real valor (negativo) da margem.

Documentos Necessários

  • Cédula de Identidade (RG) ou CNH
  • Cadastro de Pessoa Física (CPF)
  • Comprovante de endereço atualizado
  • Último contracheque

Ademais, a apresentação de todos os documentos de forma legível e dentro dos prazos de validade ajudam a agilizar seu empréstimo.

Empréstimo Consignado Prefeitura de Candeias

O município de Candeias fica localizado no estado da Bahia, região nordeste do nosso país. A cidade de Candeias ocupa a 11ª posição refente ao Produto Interno Bruto (PIB) do estado da Bahia. Contudo, sua economia está centrada no Porto de Aratu, que é um dos mais importantes portos do Brasil. Candeias está próxima da Refinaria Landunfo Alves, a 2ª maior do país.

Com o empréstimo consignado que a prefeitura de Candeias oferece, os servidores públicos poderão utilizar o dinheiro para pagar dívidas, viajar, reformar a casa, etc, …

Ademais, o empréstimo para a Prefeitura da cidade de Candeias é muito simples e fácil de solicitar. Contudo, é só clicar no botão Solicite e preencher o formulário para que nosso time de consultores possa entrar em contato.

Consignado Prefeitura Candeias + Vantagens para Você

Conheça agora quais são as vantagens de se adquirir um empréstimo pela prefeitura de Candeias.

  • Sem consulta ao SPC e SERASA
  • Os prazos são mais extensos para pagar
  • Parcelas fixas
  • Desconto direto na folha de pagamento
  • As taxas de juros são mais interessantes
  • Não haverá cobrança de TAC
  • Valor máximo liberado: R$ 18.000,00

Regulamentação

O empréstimo Consignado é uma linha de crédito regulamentada e atende a lei 10.820 de 17 de Dezembro de 2003. Contudo, a regulamentação sobre o empréstimo consignado foi recentemente atualizada através da resolução 722 em 20 de Fevereiro de 2015. Ademais, essa lei que define além de prazos e condições, as obrigações entre as partes.

Margem consignável

  • Margem de Consignação: 30% (trinta por cento)
  • No entanto, a margem deve estar POSITIVA em pelo R$0,01 (um centavo).
  • A margem ZERADA no sistema significa MARGEM NEGATIVA. No entanto, para este caso, o cálculo deverá ser manual para identificar o real valor (negativo) da margem.

Documentos Necessários

  • Registro Geral (RG) ou Carteira de Habilitação (CNH)
  • CPF
  • Comprovante de residência
  • Último comprovante de renda

Ademais, a apresentação de todos os documentos de forma legível e dentro dos prazos de validade ajudam a agilizar seu empréstimo.

Empréstimo Consignado Prefeitura de Votorantim

A cidade de Votorantim está localizada no interior do estado de São Paulo. A capital do cimento, assim como é conhecida, faz parte da Microrregião de Sorocaba. Contudo, o setor industrial é o que mais de destaca referente a economia do município de Votorantim. A cidade ainda possui uma agricultura e uma pecuária bem ativa no comércio.

O consignado que a prefeitura de Votorantim oferece aos seus funcionários visa incentivar o empréstimo no qual o servidor público poderá viajar, pagar uma dívida, reformar a casa, etc, …

Ademais, o empréstimo para a Prefeitura da cidade de Votorantim é muito simples e fácil de solicitar. Contudo, é só clicar no botão Solicite e preencher o formulário para que nosso time de consultores possa entrar em contato.

Consignado Prefeitura Votorantim + Vantagens para Você

Conheça agora quais são as vantagens de se adquirir um empréstimo pela prefeitura de Votorantim.

  • Não haverá consulta aos órgãos SPC e SERASA
  • Os prazos são maiores para pagamento
  • Parcelas fixas
  • Desconto direto na folha de pagamento
  • Aqui, as taxas de juros são melhores
  • Sem cobrança de TAC
  • Valor máximo liberado: R$ 11.250,00

Regulamentação

O empréstimo Consignado é uma linha de crédito regulamentada e atende a lei 10.820 de 17 de Dezembro de 2003. Contudo, a regulamentação sobre o empréstimo consignado foi recentemente atualizada através da resolução 722 em 20 de Fevereiro de 2015. Ademais, essa lei que define além de prazos e condições, as obrigações entre as partes.

Margem consignável

  • Margem de Consignação: 30% (trinta por cento)
  • No entanto, a margem deve estar POSITIVA em pelo R$0,01 (um centavo).
  • A margem ZERADA no sistema significa MARGEM NEGATIVA. No entanto, para este caso, o cálculo deverá ser manual para identificar o real valor (negativo) da margem.

Documentos Necessários

  • Cédula de Identidade (RG) ou Carteira de Motorista (CNH)
  • Cadastro de Pessoa Física (CPF)
  • Comprovante de endereço atual
  • Último comprovante de rendimento

Ademais, a apresentação de todos os documentos de forma legível e dentro dos prazos de validade ajudam a agilizar seu empréstimo.

Empréstimo Consignado Prefeitura de Toledo

Toledo é uma cidade pertencente ao interior do estado do Paraná. Chamada de “Capital do Agronegócio do Paraná,” Toledo se destaca pelo seu solo fértil e plano, sendo assim um dos maiores produtores de grãos do estado. Contudo, o turismo é uma atividade que se destaca em Toledo, que se prepara para ser a “Industria do Terceiro Milênio.”

O empréstimo consignado da Prefeitura de Toledo possibilita seus funcionários a adquirirem bens e as parcelas são descontadas na folha de pagamento.

Ademais, o empréstimo para a Prefeitura da cidade de Toledo é muito simples e fácil de solicitar. Contudo, é só clicar no botão Solicite e preencher o formulário para que nosso time de consultores possa entrar em contato.

Consignado Prefeitura Toledo + Vantagens

Conheça agora quais são as vantagens de se adquirir um empréstimo pela prefeitura do município de Toledo.

  • Sem consulta ao SPC e SERASA
  • Prazos maiores para pagar
  • Parcelas fixas
  • Desconto direto na folha de pagamento
  • Taxas de juros justas
  • Não haverá cobrança de TAC
  • Valor máximo liberado: R$ 12.000,00

Regulamentação

O empréstimo Consignado é uma linha de crédito regulamentada e atende a lei 10.820 de 17 de Dezembro de 2003. Contudo, a regulamentação sobre o empréstimo consignado foi recentemente atualizada através da resolução 722 em 20 de Fevereiro de 2015. Ademais, essa lei que define além de prazos e condições, as obrigações entre as partes.

Margem consignável

  • Margem de Consignação: 30% (trinta por cento)
  • No entanto, a margem deve estar POSITIVA em pelo R$0,01 (um centavo).
  • A margem ZERADA no sistema significa MARGEM NEGATIVA. No entanto, para este caso, o cálculo deverá ser manual para identificar o real valor (negativo) da margem.

Documentos Necessários

  • RG ou CNH
  • Cadastro de Pessoa Física (CPF)
  • Comprovante de endereço
  • Último contracheque

Ademais, a apresentação de todos os documentos de forma legível e dentro dos prazos de validade ajudam a agilizar seu empréstimo.

Empréstimo Consignado Prefeitura de Serra Talhada

A cidade de Serra Talhada fica no estado de Pernambuco. Conhecida como a capital do Xaxado, tradicional dança pernambucana praticada no passado pelos cangaceiros, Serra Talhada recebeu este nome devido a um morro que parece que foi cortado. Contudo, o município tem a sua economia voltada para o comércio, lazer e cultura.

O Empréstimo Consignado que a Prefeitura do município de Serra Talhada destina aos seus servidores públicos, possui uma série de benefícios, tais como aumento do prazo para pagamento das parcelas, taxas de juros menores, os órgãos de proteção ao crédito não serão consultados, entre outros benefícios.

Ademais, o empréstimo para a Prefeitura da cidade de Serra Talhada é muito simples e fácil de solicitar. Contudo, é só clicar no botão Solicite e preencher o formulário para que nosso time de consultores possa entrar em contato.

Consignado Prefeitura Serra Talhada + Vantagens para Você

Conheça agora quais são as vantagens de se adquirir um empréstimo pela prefeitura do município de Serra Talhada.

  • Os órgãos SPC e SERASA não serão consultados
  • Prazos mais extensos para pagar
  • Parcelas fixas
  • Desconto direto na folha de pagamento
  • As taxas de juros são atraentes
  • Não possui TAC
  • Valor máximo liberado: R$ 15.000,00

Regulamentação

O empréstimo Consignado é uma linha de crédito regulamentada e atende a lei 10.820 de 17 de Dezembro de 2003. Contudo, a regulamentação sobre o empréstimo consignado foi recentemente atualizada através da resolução 722 em 20 de Fevereiro de 2015. Ademais, essa lei que define além de prazos e condições, as obrigações entre as partes.

Margem consignável

  • Margem de Consignação: 30% (trinta por cento)
  • No entanto, a margem deve estar POSITIVA em pelo R$0,01 (um centavo).
  • A margem ZERADA no sistema significa MARGEM NEGATIVA. No entanto, para este caso, o cálculo deverá ser manual para identificar o real valor (negativo) da margem.

Documentos Necessários

  • Carteira de Identidade (RG) ou Carteira de Habilitação (CNH)
  • Cadastro de Pessoa Física (CPF)
  • Comprovante de residência atual
  • Último comprovante de renda

Ademais, a apresentação de todos os documentos de forma legível e dentro dos prazos de validade ajudam a agilizar seu empréstimo.

Empréstimo Consignado Prefeitura de São Bernardo do Campo

São Bernardo do Campo é uma cidade localizada na microrregião da cidade de São Paulo, pertencente ao estado de São Paulo. Contudo, o município de São Bernardo do Campo é conhecido como o “Polo Automotivo do Brasil,” devido as montadoras de automóveis terem se instalado na cidade.

O empréstimo consignado que a prefeitura do município de SBC oferece aos seus servidores públicos é repleto de benefícios como por exemplo um prazo maior para pagar as parcelas, taxas de juros atraentes, entre outros.

Ademais, o empréstimo para a Prefeitura da cidade de São Bernardo do Campo é muito simples e fácil de solicitar. Contudo, é só clicar no botão Solicite e preencher o formulário para que nosso time de consultores possa entrar em contato.

Consignado Prefeitura São Bernardo do Campo + Vantagens

Conheça agora quais são as vantagens de se adquirir um empréstimo pela prefeitura do município de SBC.

  • Sem consulta ao SPC e SERASA
  • Prazos maios longos para efetuar o pagamento
  • Parcelas fixas
  • Desconto direto na folha de pagamento
  • Taxas de juros mais interessantes do que as praticadas no mercado
  • Sem cobrança de TAC
  • Valor máximo liberado: R$ 9.000,00

Regulamentação

O empréstimo Consignado é uma linha de crédito regulamentada e atende a lei 10.820 de 17 de Dezembro de 2003. Contudo, a regulamentação sobre o empréstimo consignado foi recentemente atualizada através da resolução 722 em 20 de Fevereiro de 2015. Ademais, essa lei que define além de prazos e condições, as obrigações entre as partes.

Margem consignável

  • Margem de Consignação: 30% (trinta por cento)
  • No entanto, a margem deve estar POSITIVA em pelo R$0,01 (um centavo).
  • A margem ZERADA no sistema significa MARGEM NEGATIVA. No entanto, para este caso, o cálculo deverá ser manual para identificar o real valor (negativo) da margem.

Documentos Necessários

  • Cédula de Identidade (RG) ou CNH
  • CPF
  • Comprovante de residência atualizado
  • Último comprovante de renda

Ademais, a apresentação de todos os documentos de forma legível e dentro dos prazos de validade ajudam a agilizar seu empréstimo.

Empréstimo Consignado Prefeitura de Rolândia

Rolândia é um município que pertence ao estado do Paraná, mas precisamente localizado na Região Metropolitana da capital do estado, Londrina. Referente a Economia, antigamente só os cafezais que geravam dinheiro para a cidade. Contudo, hoje, além de cultivar soja, milho, trigo e laranja, Rolândia conta com uma empresas pecuaristas.

O empréstimo consignado que a prefeitura de Rolândia oferece para os servidores públicos possui um prazo mais longo para pagar as parcelas, além de não realizarem a pesquisa ao SPC e SERASA. Descubra quais são os demais benefícios abaixo:

Ademais, o empréstimo para a Prefeitura da cidade de Rolândia é muito simples e fácil de solicitar. Contudo, é só clicar no botão Solicite e preencher o formulário para que nosso time de consultores possa entrar em contato.

Consignado Prefeitura Rolândia + Vantagens

Conheça agora quais são as vantagens de se adquirir um empréstimo pela prefeitura do município de Rolândia.

  • Sem consulta ao órgãos SPC e SERASA
  • Os prazos são mais largos para pagamento
  • Parcelas fixas
  • Desconto direto na folha de pagamento
  • Taxa de juros menores do que as praticadas no mercado
  • Não possui TAC
  • Valor máximo liberado: R$ 12.000,00

Regulamentação

O empréstimo Consignado é uma linha de crédito regulamentada e atende a lei 10.820 de 17 de Dezembro de 2003. Contudo, a regulamentação sobre o empréstimo consignado foi recentemente atualizada através da resolução 722 em 20 de Fevereiro de 2015. Ademais, essa lei que define além de prazos e condições, as obrigações entre as partes.

Margem consignável

  • Margem de Consignação: 30% (trinta por cento)
  • No entanto, a margem deve estar POSITIVA em pelo R$0,01 (um centavo).
  • A margem ZERADA no sistema significa MARGEM NEGATIVA. No entanto, para este caso, o cálculo deverá ser manual para identificar o real valor (negativo) da margem.

Documentos Necessários

  • Registro Geral (RG) ou Carteira Nacional de Habilitação (CNH)
  • CPF
  • Comprovante de endereço atual
  • Último contracheque

Ademais, a apresentação de todos os documentos de forma legível e dentro dos prazos de validade ajudam a agilizar seu empréstimo.

Empréstimo Consignado Prefeitura de Rio Bonito

O município de Rio Bonito está localizado na Região Metropolitana da cidade Rio de Janeiro, capital do estado do Rio de Janeiro. Rio Bonito tem uma localização privilegiada, estando em Niterói. Antigamente, o município pertencia ao interior do estado. Contudo, em 2013, Rio Bonito foi declarado região metropolitana da cidade do Rio de Janeiro.

O Empréstimo Consignado que a Prefeitura do município de Rio Bonito oferece aos seu servidores públicos, possui diversos benefícios tais como um prazo maior para pagamento, uma taxa de juros melhor, entre outros.

Ademais, o empréstimo para a Prefeitura da cidade de Rio Bonito é muito simples e fácil de solicitar. Contudo, é só clicar no botão Solicite e preencher o formulário para que nosso time de consultores possa entrar em contato.

Consignado Prefeitura Rio Bonito + Vantagens para Você

Conheça agora quais são as vantagens de se adquirir um empréstimo pela prefeitura do município de Rio Bonito.

  • Não há consulta ao órgãos de proteção ao crédito SPC e SERASA
  • Prazos extensos para pagar
  • Parcelas fixas
  • Desconto direto na folha de pagamento
  • Taxa de juro mais justa
  • Sem cobrança de TAC
  • Valor máximo liberado: R$ 7.500,00

Regulamentação

O empréstimo Consignado é uma linha de crédito regulamentada e atende a lei 10.820 de 17 de Dezembro de 2003. Contudo, a regulamentação sobre o empréstimo consignado foi recentemente atualizada através da resolução 722 em 20 de Fevereiro de 2015. Ademais, essa lei que define além de prazos e condições, as obrigações entre as partes.

Margem consignável

  • Margem de Consignação: 30% (trinta por cento)
  • No entanto, a margem deve estar POSITIVA em pelo R$0,01 (um centavo).
  • A margem ZERADA no sistema significa MARGEM NEGATIVA. No entanto, para este caso, o cálculo deverá ser manual para identificar o real valor (negativo) da margem.

Documentos Necessários

  • Cédula de Identificação (RG) ou Carteira de Motorista (CNH)
  • Cadastro de Pessoa Física (CPF)
  • Comprovante de residência
  • Último comprovante de rendimento

Ademais, a apresentação de todos os documentos de forma legível e dentro dos prazos de validade ajudam a agilizar seu empréstimo.

Empréstimo Consignado Prefeitura de Porto Nacional

Fundada em 13 de Julho de 1738, a cidade de Porto Nacional pertence ao estado do Tocantins, que é localizado a sudeste da Região Norte do Brasil. No entanto, o município tem uma excelente localização no estado, estando próximo da capital do Tocantins, Palmas. Essa localização privilegiada é um importante acesso a algumas regiões do estado.

No consignado que a prefeitura do município de Porto Nacional oferece aos seus servidores públicos, o valor das parcelas é descontado na folha de pagamento do funcionário.

Ademais, o empréstimo para a Prefeitura da cidade de Porto Nacional é muito simples e fácil de solicitar. Contudo, é só clicar no botão Solicite e preencher o formulário para que nosso time de consultores possa entrar em contato.

Consignado Prefeitura Porto Nacional + Vantagens

Conheça agora quais são as vantagens de se adquirir um empréstimo pela prefeitura do município de Porto Nacional.

  • Sem consulta ao SPC e ao SERASA
  • Longos prazos para pagar
  • Parcelas fixas
  • Desconto direto na folha de pagamento
  • Taxas de juros menores do que as praticadas no mercado
  • Não possui TAC
  • Valor máximo liberado: R$ 15.000,00

Regulamentação

O empréstimo Consignado é uma linha de crédito regulamentada e atende a lei 10.820 de 17 de Dezembro de 2003. Contudo, a regulamentação sobre o empréstimo consignado foi recentemente atualizada através da resolução 722 em 20 de Fevereiro de 2015. Ademais, essa lei que define além de prazos e condições, as obrigações entre as partes.

Margem consignável

  • Margem de Consignação: 30% (trinta por cento)
  • No entanto, a margem deve estar POSITIVA em pelo R$0,01 (um centavo).
  • A margem ZERADA no sistema significa MARGEM NEGATIVA. No entanto, para este caso, o cálculo deverá ser manual para identificar o real valor (negativo) da margem.

Documentos Necessários

  • Carteira de Identidade (RG) ou Carteira Nacional de Habilitação (CNH)
  • CPF
  • Comprovante de endereço atualizado
  • Último comprovante de renda

Ademais, a apresentação de todos os documentos de forma legível e dentro dos prazos de validade ajudam a agilizar seu empréstimo.

Empréstimo Consignado Prefeitura de Ponta Porã

Ponta Porã é um município localizado no interior do estado de Mato Grosso do Sul. Ademais, a cidade faz divisa com Pedro Juan Caballero, no Paraguai. Ponta Porã tem a sua economia voltada para a pecuária, a agricultura e a extração de madeiras. Todo o trabalho feito na cidade tem alguma relação com o comércio, com a indústria e com a prestação de serviços.

A Prefeitura da cidade de Ponta Porã disponibilizou para os servidores públicos um empréstimo consignado no qual as parcelas são descontadas na folha de pagamento. Além dessa facilidade, o empréstimo consignado possibilita pagar as parcelas em um prazo maior e uma taxa de juros mais justa.

Ademais, o empréstimo para a Prefeitura da cidade de Ponta Porã é muito simples e fácil de solicitar. Contudo, é só clicar no botão Solicite e preencher o formulário para que nosso time de consultores possa entrar em contato.

Consignado Prefeitura Ponta Porã + Vantagens para Você

Conheça agora quais são as vantagens de se adquirir um empréstimo pela prefeitura do município de Ponta Porã.

  • Não há consulta ao SPC e SERASA
  • Os prazos são maiores para pagamento das parcelas
  • As Parcelas são fixas
  • Desconto direto na folha de pagamento
  • Taxas de juros mais justas
  • Sem cobrança de TAC
  • Valor máximo liberado: R$ 9.000,00

Regulamentação

O empréstimo Consignado é uma linha de crédito regulamentada e atende a lei 10.820 de 17 de Dezembro de 2003. Contudo, a regulamentação sobre o empréstimo consignado foi recentemente atualizada através da resolução 722 em 20 de Fevereiro de 2015. Ademais, essa lei que define além de prazos e condições, as obrigações entre as partes.

Margem consignável

  • Margem de Consignação: 30% (trinta por cento)
  • No entanto, a margem deve estar POSITIVA em pelo R$0,01 (um centavo).
  • A margem ZERADA no sistema significa MARGEM NEGATIVA. No entanto, para este caso, o cálculo deverá ser manual para identificar o real valor (negativo) da margem.

Documentos Necessários

  • Carteira de Identificação (RG) ou CNH
  • Cadastro de Pessoa Física (CPF)
  • Comprovante de residência
  • Último contracheque

Ademais, a apresentação de todos os documentos de forma legível e dentro dos prazos de validade ajudam a agilizar seu empréstimo.

Empréstimo Consignado Prefeitura de Patrocínio

A cidade de Patrocínio está localizada no interior do estado de Minas Gerais. O município pertence a Mesorregião do Triângulo Mineiro. Contudo, Patrocínio tem sua economia baseada na agricultura e na pecuária. Suas principais atividades econômicas são a produção de café e do gado leiteiro. Cultiva-se também o milho, a soja, o feijão, o algodão, o arroz e a mandioca.

A prefeitura de Patrocínio oferece aos seus servidores um consignado que é uma modalidade de empréstimo com desconto na folha de pagamento. Além dessa facilidade, o empréstimo consignado possibilita pagar as parcelas em um prazo maior e uma taxa de juros mais justa.

Ademais, o empréstimo para a Prefeitura da cidade de Patrocínio é muito simples e fácil de solicitar. Contudo, é só clicar no botão Solicite e preencher o formulário para que nosso time de consultores possa entrar em contato.

Consignado Prefeitura Patrocínio + Vantagens para Você

Conheça agora quais são as vantagens de se adquirir um empréstimo pela prefeitura do município de Patrocínio.

  • Sem consulta aos órgãos SPC e SERASA
  • Os prazos são mais extensos para pagar
  • Parcelas fixas
  • Desconto direto na folha de pagamento
  • Taxas de juros competitivas
  • Não possui TAC
  • Valor máximo liberado: R$ 9.000,00

Regulamentação

O empréstimo Consignado é uma linha de crédito regulamentada e atende a lei 10.820 de 17 de Dezembro de 2003. Contudo, a regulamentação sobre o empréstimo consignado foi recentemente atualizada através da resolução 722 em 20 de Fevereiro de 2015. Ademais, essa lei que define além de prazos e condições, as obrigações entre as partes.

Margem consignável

  • Margem de Consignação: 30% (trinta por cento)
  • No entanto, a margem deve estar POSITIVA em pelo R$0,01 (um centavo).
  • A margem ZERADA no sistema significa MARGEM NEGATIVA. No entanto, para este caso, o cálculo deverá ser manual para identificar o real valor (negativo) da margem.

Documentos Necessários

  • Cédula de Identidade (RG) ou Carteira Nacional de Habilitação (CNH)
  • CPF
  • Comprovante de endereço
  • Último comprovante de renda

Ademais, a apresentação de todos os documentos de forma legível e dentro dos prazos de validade ajudam a agilizar seu empréstimo.

Empréstimo Consignado Prefeitura de Mauá

O município de Mauá está localizado na região metropolitana da cidade de São Paulo. No entanto, a cidade pertente ao ABC Paulista, zona Sudeste da Grande São Paulo. Antigamente, a renda  da cidade de Mauá vinham exclusivamente das fábricas de porcelana, Essa renda exclusiva do passado deu ao município o apelido “Capital da Porcelana”. Hoje, a cidade obtém sua renda na área metalúrgica e nas indústrias químicas e petroquímicas.

O empréstimo consignado da prefeitura da cidade de Mauá é oferecido aos servidores públicos que necessitam de dinheiro para pagar alguma dívida, realizar viagens, emprestar dinheiro para os familiares, etc, …

Ademais, o empréstimo para a Prefeitura da cidade de Mauá é muito simples e fácil de solicitar. Contudo, é só clicar no botão Solicite e preencher o formulário para que nosso time de consultores possa entrar em contato.

Consignado Prefeitura Mauá + Vantagens

Conheça agora quais são as vantagens de se adquirir um empréstimo pela prefeitura do município de Mauá.

  • Não há consulta ao SPC e ao SERASA
  • Prazos maiores para pagamento
  • Parcelas fixas
  • Desconto direto na folha de pagamento
  • Taxas de juros mais baixas
  • Sem cobrança de TAC
  • Valor máximo liberado: R$ 15.000,00

Regulamentação

O empréstimo Consignado é uma linha de crédito regulamentada e atende a lei 10.820 de 17 de Dezembro de 2003. Contudo, a regulamentação sobre o empréstimo consignado foi recentemente atualizada através da resolução 722 em 20 de Fevereiro de 2015. Ademais, essa lei que define além de prazos e condições, as obrigações entre as partes.

Margem consignável

  • Margem de Consignação: 30% (trinta por cento)
  • No entanto, a margem deve estar POSITIVA em pelo R$0,01 (um centavo).
  • A margem ZERADA no sistema significa MARGEM NEGATIVA. No entanto, para este caso, o cálculo deverá ser manual para identificar o real valor (negativo) da margem.

Documentos Necessários

  • Registro Geral (RG) ou Carteira Nacional de Habilitação (CNH)
  • Cadastro de Pessoa Física (CPF)
  • Comprovante de endereço atual
  • Último comprovante de rendimento

Ademais, a apresentação de todos os documentos de forma legível e dentro dos prazos de validade ajudam a agilizar seu empréstimo.

Empréstimo Consignado Prefeitura de Mairiporã

Mairiporã é uma cidade localizada na região metropolitana da cidade de São Paulo. O município fica próximo de Franco da Rocha. Antigamente, Mairiporã se chamava Juquery, um dos mais famosos e importantes hospitais psiquiátricos do país. Contudo, em 1948, o nome da cidade foi modificado para Mairiporã, devido ao nome Juquery ser associado como alguém que possui transtornos mentais.

A prefeitura do município de Mairiporã está com uma excelente oportunidade para os seus servidores públicos. É um consignado no qual o funcionário poderá pegar dinheiro emprestado sem burocracia e com desconto na folha de pagamento.

Ademais, o empréstimo para a Prefeitura da cidade de Mairiporã é muito simples e fácil de solicitar. Contudo, é só clicar no botão Solicite e preencher o formulário para que nosso time de consultores possa entrar em contato.

Consignado Prefeitura Mairiporã + Vantagens para Você

Conheça agora quais são as vantagens de se adquirir um empréstimo pela prefeitura do município de Mairiporã.

  • Sem consulta aos órgãos de proteção ao crédito SPC e SERASA
  • Prazos diferenciados para pagamento
  • Parcelas fixas
  • Desconto direto na folha de pagamento
  • As taxas de juros são mais atraentes
  • Não possui TAC
  • Valor máximo liberado: R$ 12.000,00

Regulamentação

O empréstimo Consignado é uma linha de crédito regulamentada e atende a lei 10.820 de 17 de Dezembro de 2003. Contudo, a regulamentação sobre o empréstimo consignado foi recentemente atualizada através da resolução 722 em 20 de Fevereiro de 2015. Ademais, essa lei que define além de prazos e condições, as obrigações entre as partes.

Margem consignável

  • Margem de Consignação: 30% (trinta por cento)
  • No entanto, a margem deve estar POSITIVA em pelo R$0,01 (um centavo).
  • A margem ZERADA no sistema significa MARGEM NEGATIVA. No entanto, para este caso, o cálculo deverá ser manual para identificar o real valor (negativo) da margem.

Documentos Necessários

  • Documento de Identificação (RG) ou CNH
  • Cadastro de Pessoa Física (CPF)
  • Comprovante de residência atual
  • Último contracheque

Ademais, a apresentação de todos os documentos de forma legível e dentro dos prazos de validade ajudam a agilizar seu empréstimo.

Empréstimo Consignado Prefeitura de Campina Grande do Sul

Campina Grande do Sul é um município localizado no interior do estado do Paraná. A cidade é localizada na região metropolitana de Curitiba, capital do estado. Contudo, Campina Grande do Sul possui a maior arena coberta da América Latina. Essa arena já foi palco de diversos festivais e eventos, tais como Kakifest, a festa do caqui. Na cidade, encontra-se o ponto mais alto do sul do Brasil, o Pico Paraná.

O empréstimo consignado que a prefeitura de Campina Grande do Sul oferece aos seus funcionários possui vantagens como um prazo maior para pagar as parcelas, as taxas de juros que são mais atraentes, o desconto que é feito direto na folha de pagamento, entre outros.

Ademais, o empréstimo para a Prefeitura da cidade de Campina Grande do Sul é muito simples e fácil de solicitar. Contudo, é só clicar no botão Solicite e preencher o formulário para que nosso time de consultores possa entrar em contato.

Consignado Prefeitura Capina Grande do Sul + Vantagens

Conheça agora quais são as vantagens de se adquirir um empréstimo pela prefeitura de Campina Grande do Sul.

  • Não haverá consulta aos órgãos SPC e SERASA
  • Prazos mais longos para pagar
  • Parcelas fixas
  • Desconto direto na folha de pagamento
  • Aqui, as taxas de juros são menores
  • Sem cobrança de TAC
  • Valor máximo liberado: R$ 10.000,00

Regulamentação

O empréstimo Consignado é uma linha de crédito regulamentada e atende a lei 10.820 de 17 de Dezembro de 2003. Contudo, a regulamentação sobre o empréstimo consignado foi recentemente atualizada através da resolução 722 em 20 de Fevereiro de 2015. Ademais, essa lei que define além de prazos e condições, as obrigações entre as partes.

Margem consignável

  • Margem de Consignação: 30% (trinta por cento)
  • No entanto, a margem deve estar POSITIVA em pelo R$0,01 (um centavo).
  • A margem ZERADA no sistema significa MARGEM NEGATIVA. No entanto, para este caso, o cálculo deverá ser manual para identificar o real valor (negativo) da margem.

Documentos Necessários

  • (Cédula de Identidade (RG) ou Carteira Nacional de Habilitação (CNH)
  • CPF
  • Comprovante de endereço
  • Último comprovante de renda

Ademais, a apresentação de todos os documentos de forma legível e dentro dos prazos de validade ajudam a agilizar seu empréstimo.

Empréstimo Consignado Prefeitura de Ponte Nova

O município de Ponte Nova fica localizado no interior do estado de Minas Gerais. Contudo, a cidade está situada na mesorregião da mata mineira. Fundada no dia 12 de Dezembro de 1770, Ponte Nova é cortada por importantes rodovias estaduais, tais como: MG-262, MG-066, MG-326 e MG-329. A BR-20 que liga Minas Gerais ao Rio de Janeiro também corta o município.

O empréstimo consignado que a Prefeitura de Ponte Nova oferece aos seus funcionários, está repleta de benefícios, como por exemplo um prazo maior para pagar as parcelas que serão descontadas na folha do pagamento, sem consulta aos órgão de proteção ao crédito, entre outros.

Ademais, o empréstimo para a Prefeitura da cidade de Ponte Nova é muito simples e fácil de solicitar. Contudo, é só clicar no botão Solicite e preencher o formulário para que nosso time de consultores possa entrar em contato.

Consignado Prefeitura Ponte Nova + Vantagens

Conheça agora quais são as vantagens de se adquirir um empréstimo pela prefeitura do município de Ponte Nova.

  • Sem consulta ao SPC e ao SERASA
  • Os prazos são maiores para pagamento
  • Parcelas fixas
  • Desconto direto na folha de pagamento
  • Taxas de juros mais mais justas
  • Não possui TAC
  • Valor máximo liberado: R$ 8.500,00

Regulamentação

O empréstimo Consignado é uma linha de crédito regulamentada e atende a lei 10.820 de 17 de Dezembro de 2003. Contudo, a regulamentação sobre o empréstimo consignado foi recentemente atualizada através da resolução 722 em 20 de Fevereiro de 2015. Ademais, essa lei que define além de prazos e condições, as obrigações entre as partes.

Margem consignável

  • Margem de Consignação: 30% (trinta por cento)
  • No entanto, a margem deve estar POSITIVA em pelo R$0,01 (um centavo).
  • A margem ZERADA no sistema significa MARGEM NEGATIVA. No entanto, para este caso, o cálculo deverá ser manual para identificar o real valor (negativo) da margem.

Documentos Necessários

  • RG ou Carteira Nacional de Habilitação (CNH)
  • Cadastro de Pessoa Física (CPF)
  • Comprovante de residência atualizado
  • Último comprovante de rendimento

Ademais, a apresentação de todos os documentos de forma legível e dentro dos prazos de validade ajudam a agilizar seu empréstimo.

Empréstimo Consignado Prefeitura de Poá

Estância Hidromineral de Poá, ou simplesmente Poá é uma cidade localizada da Região Metropolitana de Mogi das Cruzes, interior de São Paulo. Contudo, os setores econômicos que mais crescem na cidade de Poá e que são a sua subsistência são: Industrial (com destaque para o fabricante de refratários Ibar e para a multinacional Aunde, que produz tecidos automotivos), comercial (nas Ruas 26 de Março e 9 de Julho) e prestadores de serviços (destaque para o Banco Itaú).

Consignado é uma vantajosa modalidade de empréstimo, onde o valor das parcelas é debitado direto do benefício. A Prefeitura de Poá oferece este serviço para os seus servidores públicos. 

Ademais, o empréstimo para a Prefeitura da cidade de Poá é muito simples e fácil de solicitar. Contudo, é só clicar no botão Solicite e preencher o formulário para que nosso time de consultores possa entrar em contato.

Consignado Prefeitura Poá + Vantagens para Você

Conheça agora quais são as vantagens de se adquirir um empréstimo pela prefeitura do município de Poá.

  • Não haverá consulta aos órgãos de proteção ao crédito SPC e SERASA
  • Os prazos são mais longos para pagamento
  • Parcelas fixas
  • Desconto direto na folha de pagamento
  • Taxas de juros mais atrativas
  • Sem cobrança de TAC
  • Valor máximo liberado: R$ 12.000,00

Regulamentação

O empréstimo Consignado é uma linha de crédito regulamentada e atende a lei 10.820 de 17 de Dezembro de 2003. Contudo, a regulamentação sobre o empréstimo consignado foi recentemente atualizada através da resolução 722 em 20 de Fevereiro de 2015. Ademais, essa lei que define além de prazos e condições, as obrigações entre as partes.

Margem consignável

  • Margem de Consignação: 30% (trinta por cento)
  • No entanto, a margem deve estar POSITIVA em pelo R$0,01 (um centavo).
  • A margem ZERADA no sistema significa MARGEM NEGATIVA. No entanto, para este caso, o cálculo deverá ser manual para identificar o real valor (negativo) da margem.

Documentos Necessários

  • Cédula de Identidade (RG) ou CNH
  • CPF
  • Comprovante de endereço
  • Último comprovante de renda

Ademais, a apresentação de todos os documentos de forma legível e dentro dos prazos de validade ajudam a agilizar seu empréstimo.

Empréstimo Consignado Prefeitura da Paraíba do Sul

Paraíba do Sul é um município localizado no interior do estado do Rio de Janeiro. A cidade possui pontos turísticos como por exemplo a pedra de Monte Cristo que é famosa por suas lendas e mistérios. No entanto, há também o museu Tiradentes, conhecido também como museu da Inconfidência. Uma curiosidade é que este museu foi inaugurado para mostrar as etapas da escavação onde foram encontrados ossos atribuídos ao braço e tórax de Tiradentes.

O empréstimo consignado que a prefeitura de Paraíba do Sul oferece aos servidores públicos possui benefícios tais como: redução na taxa de juros, prazos maiores para pagamento, não existirá cobrança de TAC, entre outros.

Ademais, o empréstimo para a Prefeitura da cidade de Paraíba do Sul é muito simples e fácil de solicitar. Contudo, é só clicar no botão Solicite e preencher o formulário para que nosso time de consultores possa entrar em contato.

Consignado Prefeitura Paraíba do Sul + Vantagens

Conheça agora quais são as vantagens de se adquirir um empréstimo pela prefeitura do município de Paraíba do Sul.

  • Sem consulta aos órgãos SPC e SERASA
  • Prazos maiores para pagar
  • Parcelas fixas
  • Desconto direto na folha de pagamento
  • Taxas de juros justas
  • Não possui TAC
  • Valor máximo liberado: R$ 7.500,00

Regulamentação

O empréstimo Consignado é uma linha de crédito regulamentada e atende a lei 10.820 de 17 de Dezembro de 2003. Contudo, a regulamentação sobre o empréstimo consignado foi recentemente atualizada através da resolução 722 em 20 de Fevereiro de 2015. Ademais, essa lei que define além de prazos e condições, as obrigações entre as partes.

Margem consignável

  • Margem de Consignação: 30% (trinta por cento)
  • No entanto, a margem deve estar POSITIVA em pelo R$0,01 (um centavo).
  • A margem ZERADA no sistema significa MARGEM NEGATIVA. No entanto, para este caso, o cálculo deverá ser manual para identificar o real valor (negativo) da margem.

Documentos Necessários

  • Carteira de Identidade (RG) ou Carteira Nacional de Habilitação (CNH)
  • Cadastro de Pessoa Física (CPF)
  • Comprovante de residência atualizado
  • Último contracheque

Ademais, a apresentação de todos os documentos de forma legível e dentro dos prazos de validade ajudam a agilizar seu empréstimo.

Empréstimo Consignado Prefeitura de Nova Serrana

Nova Serrana é uma cidade localizada no interior do estado de Minas Gerais. Fundada em 1º de Janeiro de 1954, sua principal atividade econômica é a produção de calçados e sandálias masculinas, femininas e infantis. Ao todo, a cidade confecciona 55% de toda a produção de calçados no Brasil. No entanto, Nova Serrana é o município que mais cresce no estado mineiro.

O consignado é a modalidade de empréstimo que mais cresce no Brasil, pois suas parcelas são descontadas direto no benefício ou na folha de pagamento. A Prefeitura do município de Nova Serrana disponibiliza esse benefício aos seus servidores públicos. Saiba mais abaixo:

Ademais, o empréstimo para a Prefeitura da cidade de Nova Serrana é muito simples e fácil de solicitar. Contudo, é só clicar no botão Solicite e preencher o formulário para que nosso time de consultores possa entrar em contato.

Consignado Prefeitura Nova Serrana + Vantagens para Você

Conheça agora quais são as vantagens de se adquirir um empréstimo pela prefeitura do município de Nova Serrana.

  • Não haverá consulta aos órgãos SPC e SERASA
  • Prazos maiores para pagar
  • Parcelas fixas
  • Desconto direto na folha de pagamento
  • Taxas de juros mais atrativas
  • Sem cobrança de TAC
  • Valor máximo liberado: R$ 8.500,00

Regulamentação

O empréstimo Consignado é uma linha de crédito regulamentada e atende a lei 10.820 de 17 de Dezembro de 2003. Contudo, a regulamentação sobre o empréstimo consignado foi recentemente atualizada através da resolução 722 em 20 de Fevereiro de 2015. Ademais, essa lei que define além de prazos e condições, as obrigações entre as partes.

Margem consignável

  • Margem de Consignação: 30% (trinta por cento)
  • No entanto, a margem deve estar POSITIVA em pelo R$0,01 (um centavo).
  • A margem ZERADA no sistema significa MARGEM NEGATIVA. No entanto, para este caso, o cálculo deverá ser manual para identificar o real valor (negativo) da margem.

Documentos Necessários

  • Cédula de Identidade (RG) ou CNH
  • CPF
  • Comprovante de endereço atual
  • Último comprovante de rendimento

Ademais, a apresentação de todos os documentos de forma legível e dentro dos prazos de validade ajudam a agilizar seu empréstimo.

Empréstimo Consignado Prefeitura de Nova Iguaçu

Nova Iguaçu é uma cidade pertencente ao estado do Rio de Janeiro. Ela fica situada na Região Metropolitana da capital do estado que é a cidade do Rio de Janeiro. É a maior cidade da baixada carioca. Contudo, o significado do nome do município é Rio Grande. Em Nova Iguaçu, a economia gira em torno da Indústria, da Agricultura e do Comércio e Serviços, onde possui um dos mais importantes Centros Comerciais do estado.

O Empréstimo Consignado que a Prefeitura da cidade de Nova Iguaçu destina aos seus servidores públicos, possui uma série de benefícios, tais como aumento do prazo para pagamento das parcelas, taxas de juros mais atraentes, O SPC e o SERASA não serão consultados, entre outras benefícios.

Ademais, o empréstimo para a Prefeitura da cidade de Nova Iguaçu é muito simples e fácil de solicitar. Contudo, é só clicar no botão Solicite e preencher o formulário para que nosso time de consultores possa entrar em contato.

Consignado Prefeitura Nova Iguaçu + Vantagens

Conheça agora quais são as vantagens de se adquirir um empréstimo pela prefeitura do município de Nova Iguaçu.

  • Sem consulta ao SPC e ao SERASA
  • Prazos extensos para pagar
  • Parcelas fixas
  • Desconto direto na folha de pagamento
  • Taxas de juros menores do que as praticadas no mercado
  • Não possui TAC
  • Valor máximo liberado: R$ 7.500,00

Regulamentação

O empréstimo Consignado é uma linha de crédito regulamentada e atende a lei 10.820 de 17 de Dezembro de 2003. Contudo, a regulamentação sobre o empréstimo consignado foi recentemente atualizada através da resolução 722 em 20 de Fevereiro de 2015. Ademais, essa lei que define além de prazos e condições, as obrigações entre as partes.

Margem consignável

  • Margem de Consignação: 30% (trinta por cento)
  • No entanto, a margem deve estar POSITIVA em pelo R$0,01 (um centavo).
  • A margem ZERADA no sistema significa MARGEM NEGATIVA. No entanto, para este caso, o cálculo deverá ser manual para identificar o real valor (negativo) da margem.

Documentos Necessários

  • Registro Geral (RG) ou CNH
  • Cadastro de Pessoa Física (CPF)
  • Comprovante de residência atualizado
  • Último comprovante de renda

Ademais, a apresentação de todos os documentos de forma legível e dentro dos prazos de validade ajudam a agilizar seu empréstimo.

Empréstimo Consignado Prefeitura de Marília

O município de Marília está localizado no interior do estado de São Paulo. Contudo, é muito comum que os bairros próximos fiquem com aroma de doces, chocolates e biscoitos, já que empresas como Marilan funcionam dia e noite na cidade. Na cidade de Marília, diversas empresas famosas foram fundadas, como por exemplo o Banco Bradesco, a empresa Dori, entre outras.

No empréstimo consignado, o servidor público terá um prazo maior para pagar as parcelas, além de ter uma taxa de juros mas atrativa. A Prefeitura de Marília oferece essas opções e muito mais para os seus funcionários.

Ademais, o empréstimo para a Prefeitura da cidade de Marília é muito simples e fácil de solicitar. Contudo, é só clicar no botão Solicite e preencher o formulário para que nosso time de consultores possa entrar em contato.

Consignado Prefeitura Marília + Vantagens para Você

Conheça agora quais são as vantagens de se adquirir um empréstimo pela prefeitura do município de Marília.

  • Não haverá consulta aos órgãos de proteção ao crédito SPC e SERASA
  • Prazos mais longos para pagamento
  • Parcelas fixas
  • Desconto direto na folha de pagamento
  • Taxas de juros atrativas
  • Sem cobrança de TAC
  • Valor máximo liberado: R$ 12.000,00

Regulamentação

O empréstimo Consignado é uma linha de crédito regulamentada e atende a lei 10.820 de 17 de Dezembro de 2003. Contudo, a regulamentação sobre o empréstimo consignado foi recentemente atualizada através da resolução 722 em 20 de Fevereiro de 2015. Ademais, essa lei que define além de prazos e condições, as obrigações entre as partes.

Margem consignável

  • Margem de Consignação: 30% (trinta por cento)
  • No entanto, a margem deve estar POSITIVA em pelo R$0,01 (um centavo).
  • A margem ZERADA no sistema significa MARGEM NEGATIVA. No entanto, para este caso, o cálculo deverá ser manual para identificar o real valor (negativo) da margem.

Documentos Necessários

  • Documento de Identificação (RG) ou Carteira Nacional de Habilitação (CNH)
  • CPF
  • Comprovante de residência
  • Último contracheque

Ademais, a apresentação de todos os documentos de forma legível e dentro dos prazos de validade ajudam a agilizar seu empréstimo.

Empréstimo Consignado em Caieiras

Se você está buscando por Empréstimo Consignado em Caieiras agora pode ir em uma loja para ir diretamente e contratar seu empréstimo consignado. O portal consignados checou e atesta que a Qualicred é uma empresa edonea e está devidamente autorizada a trabalhar com empréstimo consignado. Conheça os principais produtos comercializados pela Qualicred em Caieiras.

Portabilidade com +Troco

Temos as melhores taxas para portar seu contrato de empréstimo consignado! Reduzimos os juros para aumentar seu valor na Portabilidade. solicite um consulta sem compromisso!

BMG Card

Precisando de um Cartão de Crédito que seja até 400% mais barato?  Temos uma opção que vai mudar sua vida!

Novo ou Refin?

Trabalhamos com todos os bancos de empréstimo consignado e nosso time de consultores estarão analisando para você todas as possíbilidades em crédito. Solicite e confira!

Empréstimo Consignado em Caieiras+Facilidades

A Qualy Cred está localizada em Caieiras e foi certificada pelo Portal Consignados, através de sua qualidade no atendimento e possui profissionais competentes. No entanto, ficamos seguros e a vontade em lhe indicar para que possa ir pessoalmente contratar seu empréstimo consignado com segurança.

Soluções Inteligentes!

Linhas de Crédito convêncionais já não estão lhe atendendo mais? Temos opções de crédito nas mais variadas modalidades para você conseguir pagar suas díuvidas e ficar no azul, Confira:

  • Empréstimo Consignado Novo
  • Portabilidade
  • Refinanciamento
  • Cartões de Crédito Consignado
  • Compra de Dívida de Consignado

Agende uma visita ou fale com um de nossos consultores!

Receba as novidades do Portal Consignados

Se inscreva em nossa NewsLetter e fique por dentro de todas as novidades do setor de crédito consignado

Onde estamos localizados

Venha tomar um café conosco!

Av Pauliceia 888 – Sala 3 – Laranjeiras – Caieiras – SP

Conheça um pouco da História da Qualy Cred

Qualy Cred está no mercado desde 2010. Seu fundador é o Sr. Felipe Luiz Pereira, formado em Administração de Empresas e Certificado pela ANEPS, vem atuando mais fortemente em operações de portabilidade, com parcerias com Bancos como :

  • Banco Safra
  • JV Itaú
  • Banco Panamericano

Especialista em Portabilidade e com um excelente relacionamento nos Bancos que trabalha, a Qualy Cred tem conseguido ir além de simplesmente fazer uma portabilidade. Contudo, ela realmente está reduzindo as taxas de juros a um nível totalmente espetacular.

O Portal Consignados fez o teste e avaliou sua operação e é simplesmente a mais rápida do Mercado “Como assim? Portabilidade liberada em menos de 10 dias úteis? Espetacular…

Certificamos a Qualy Cred e constatamos que realmente é uma empresa séria e trabalha de forma correta. Ademais, todo o seu time de consultores é certificado e regulamentado para operar com empréstimo consignado. No entanto, podemos afirmar que são responsáveis, amistosos e muito competentes.

SOMOS CORRESPONDENTES AUTORIZADOS PELA ANEPS, QUE REGULA A ATIVIDADE DO CORRESPONDENTE BANCÁRIO

Fale Conosco

Através de nossos canais digitais você também pode tirar todas as suas dúvidas, falar com um de nossos consultores e simular seu empréstimo consignado e muito mais. Escolha ao lado a melhor opção para você de falar conosco!

QUALYCRED LTDA – CNPJ: 29.856.169/0001-20

Empréstimo Consignado Prefeitura de Marabá

O município de Marabá pertence ao estado do Pará. Com uma localização privilegiada, Marabá é referência entre o encontro entre dois grandes rios, o Tocantins e o Itacaiúnas. Contudo, a cidade de Marabá e a quarta mais populosa do estado paraense. Ao longo de sua história, a cidade também ficou conhecida por ser “Terra da Castanha” e a “Cidade Poema.”

No Empréstimo Consignado da Prefeitura de Marabá, os servidores públicos poderão utilizar o dinheiro para fazer uma viagem, trocar de carro, adquirir algum bem, pagar dívidas, emprestar para familiares e amigos, etc, …

Ademais, o empréstimo para a Prefeitura da cidade de Marabá é muito simples e fácil de solicitar. Contudo, é só clicar no botão Solicite e preencher o formulário para que nosso time de consultores possa entrar em contato.

Consignado Prefeitura Marabá + Vantagens para Você

Conheça agora quais são as vantagens de se adquirir um empréstimo pela prefeitura do município de Marabá.

  • Sem consulta aos órgãos SPC e SERASA
  • Prazos extensos para pagamento
  • Parcelas fixas
  • Desconto direto na folha de pagamento
  • Taxas de juros competitivas
  • Não possui TAC
  • Valor máximo liberado: R$ 16.000,00

Regulamentação

O empréstimo Consignado é uma linha de crédito regulamentada e atende a lei 10.820 de 17 de Dezembro de 2003. Contudo, a regulamentação sobre o empréstimo consignado foi recentemente atualizada através da resolução 722 em 20 de Fevereiro de 2015. Ademais, essa lei que define além de prazos e condições, as obrigações entre as partes.

Margem consignável

  • Margem de Consignação: 30% (trinta por cento)
  • No entanto, a margem deve estar POSITIVA em pelo R$0,01 (um centavo).
  • A margem ZERADA no sistema significa MARGEM NEGATIVA. No entanto, para este caso, o cálculo deverá ser manual para identificar o real valor (negativo) da margem.

Documentos Necessários

  • Registro Geral (RG) ou Carteira Nacional de Habilitação (CNH)
  • Cadastro de Pessoa Física (CPF)
  • Comprovante de endereço atualizado
  • Último comprovante de rendimento

Ademais, a apresentação de todos os documentos de forma legível e dentro dos prazos de validade ajudam a agilizar seu empréstimo.

Empréstimo Consignado Prefeitura de Janaúba

Janaúba é um município localizado no interior do estado de Minas Gerais. Foi fundado em 27 de Dezembro de 1948. Suas principais atividades econômicas são: A agricultura, a pecuária e o comércio. Contudo, a cidade de Janaúba possui o famoso estádio Gentil Lima, mais conhecido como Tupizão, pertencente ao clube da cidade, a Associação Atlética Tupi.

O empréstimo consignado é a melhor forma do servidor público adquirir algum bem ou pagar uma dívida. A Prefeitura da cidade de Janaúba possui essa modalidade de empréstimo e a oferece aos seus funcionários. Saiba mais logo abaixo:

Ademais, o empréstimo para a Prefeitura da cidade de Janaúba é muito simples e fácil de solicitar. Contudo, é só clicar no botão Solicite e preencher o formulário para que nosso time de consultores possa entrar em contato.

Consignado Prefeitura Janaúba + Vantagens

Conheça agora quais são as vantagens de se adquirir um empréstimo pela prefeitura do município de Janaúba.

  • Não há consulta ao SPC e ao SERASA
  • Prazos longos para pagar
  • Parcelas fixas
  • Desconto direto na folha de pagamento
  • Taxas de juros atrativas
  • Sem cobrança de TAC
  • Valor máximo liberado: R$ 8.500,00

Regulamentação

O empréstimo Consignado é uma linha de crédito regulamentada e atende a lei 10.820 de 17 de Dezembro de 2003. Contudo, a regulamentação sobre o empréstimo consignado foi recentemente atualizada através da resolução 722 em 20 de Fevereiro de 2015. Ademais, essa lei que define além de prazos e condições, as obrigações entre as partes.

Margem consignável

  • Margem de Consignação: 30% (trinta por cento)
  • No entanto, a margem deve estar POSITIVA em pelo R$0,01 (um centavo).
  • A margem ZERADA no sistema significa MARGEM NEGATIVA. No entanto, para este caso, o cálculo deverá ser manual para identificar o real valor (negativo) da margem.

Documentos Necessários

  • Documento de Identidade (RG) ou Carteira Nacional de Habilitação (CNH)
  • CPF
  • Comprovante de residência
  • Último constracheque

Ademais, a apresentação de todos os documentos de forma legível e dentro dos prazos de validade ajudam a agilizar seu empréstimo.

Empréstimo Consignado Prefeitura de Itaboraí

A cidade de Itaboraí fica localizada no estado do Rio de Janeiro. Itaboraí faz parte da Região Metropolitana da cidade do Rio de Janeiro, capital do estado. Seu nome é de origem Tupi e significa “Rio da Pedra Bonita.” Contudo, as principais atividades econômicas na cidade são: A apicultura, a agricultura de subsistência, a pecuária, o extrativismo mineral, manufatura cerâmica para decoração, entre outros.

O empréstimo consignado que a prefeitura de Itaboraí oferece aos seus servidores públicos contém benefícios como por exemplo as parcelas que possuem um prazo maior para serem pagas ou as taxas de juros bem atrativas. Confira mais informações abaixo:

Ademais, o empréstimo para a Prefeitura da cidade de Itaboraí é muito simples e fácil de solicitar. Contudo, é só clicar no botão Solicite e preencher o formulário para que nosso time de consultores possa entrar em contato.

Consignado Prefeitura Itaboraí + Vantagens para Você

Conheça agora quais são as vantagens de se adquirir um empréstimo pela prefeitura do município de Itaboraí.

  • Sem consulta ao SPC e ao SERASA
  • Prazos diferenciados para pagamento
  • Parcelas fixas
  • Desconto direto na folha de pagamento
  • Taxas de juros mais justas
  • Não possui TAC
  • Valor máximo liberado: R$ 15.000,00

Regulamentação

O empréstimo Consignado é uma linha de crédito regulamentada e atende a lei 10.820 de 17 de Dezembro de 2003. Contudo, a regulamentação sobre o empréstimo consignado foi recentemente atualizada através da resolução 722 em 20 de Fevereiro de 2015. Ademais, essa lei que define além de prazos e condições, as obrigações entre as partes.

Margem consignável

  • Margem de Consignação: 30% (trinta por cento)
  • No entanto, a margem deve estar POSITIVA em pelo R$0,01 (um centavo).
  • A margem ZERADA no sistema significa MARGEM NEGATIVA. No entanto, para este caso, o cálculo deverá ser manual para identificar o real valor (negativo) da margem.

Documentos Necessários

  • Cédula de Identidade (RG) ou CNH
  • Cadastro de Pessoa Física (CPF)
  • Comprovante de endereço
  • Último comprovante de rendimento

Ademais, a apresentação de todos os documentos de forma legível e dentro dos prazos de validade ajudam a agilizar seu empréstimo.

Empréstimo Consignado Whatsapp

O nosso suporte via Whatsapp é destinado para você cliente ou usuário que acessou o portal consignados. Contudo, nele disponibilizamos suporte aos produtos do portal consignados, ajudamos e tiramos suas dúvidas relacionadas aos produtos e serviços que trabalhamos.

Empréstimo Consignado Whatsapp é no Portal Consignados!

O Portal consignados tem consultores especializados nos mais diversos convênios e modalidade de crédito com o objetivo de lhe atender em sua necessidade de crédito. Por este motivo, o ideal é sempre buscar um consultor especializado. No entanto, basta clicar na situação funcional ou produto que será direcionado a um especialista.

Assuntos não Atendidos

Somos um correspondente bancário e não temos acesso a proposta de outras promotoras ou resolvemos problemas internos dos Bancos aos quais trabalhamos.

No entanto, infelizmente, não temos esse acesso o que dificulta muito a solução de algum problema de origem Banco, ou de outras promotoras Contamos com sua compreensão!

Alguns artigos publicados em nosso blog são de operações de crédito a qual não operamos. Contudo, o objetivo da postagem foi de apenas caráter informativo.

Nestes casos ,utilize os comentários do próprio blog para deixar sua dúvida que dentro de no máximo 24 horas sua dúvida será esclarecida.

Informações Adicionais

O portal consignados é um canal para você contratar seu empréstimo consignado, tirar suas dúvidas e fazer amizades. Utilize esse canal com respeito e paciência. Ademais, nosso time de consultores sempre estará falando com alguém durante o expediente. Por isso, podemos demorar um pouco a responder.

No entanto, isso não significa que não estamos interessado em você e sim que estamos trabalhando para ajudar ao maior número de pessoas possível.

Toda e qualquer linha de crédito é regulamentada pelo Banco Central do Brasil. Sempre consulte no site do Banco Central se a Instituição Financeira tem registro.

Você sabia?

Com mais de 17 anos no Mercado de Empréstimo Consignado, o Portal Consignados conta com uma equipe treinada para lhe auxiliar na melhor decisão. No entanto, o Portal Consignados trabalha em parceria com diversos bancos para lhe oferecer sempre o melhor negócio.

Empréstimo Consignado Prefeitura de Casa Nova

O município de Casa Nova localiza-se no interior do estado da Bahia, no semiárido nordestino. Casa Nova faz parte da Região Administrativa Integrada de Desenvolvimento do Polo Petrolina e Juazeiro. Contudo, a economia da cidade gira em torno da produção de Vinho, onde mais de 1 milhão de garrafas são feitas anualmente em Casa Nova. O município também possui o maior rebanho de cabras do estado.

O empréstimo consignado que a prefeitura de Casa Nova oferece aos seus servidores públicos visa melhorar a qualidade de vida de seus funcionários. Veja quais são os benefícios ofertados abaixo:

Ademais, o empréstimo para a Prefeitura da cidade de Casa Nova é muito simples e fácil de solicitar. Contudo, é só clicar no botão Solicite e preencher o formulário para que nosso time de consultores possa entrar em contato.

Consignado Prefeitura Casa Nova + Vantagens

Conheça agora quais são as vantagens de se adquirir um empréstimo pela prefeitura do município de Casa Nova.

  • Sem consulta aos órgãos de proteção ao crédito SPC e SERASA
  • Prazos mais longos para pagamento
  • Parcelas fixas
  • Desconto direto na folha de pagamento
  • Taxas de juros menores do que as praticadas no mercado
  • Sem cobrança de TAC
  • Valor máximo liberado: R$ 8.500,00

Regulamentação

O empréstimo Consignado é uma linha de crédito regulamentada e atende a lei 10.820 de 17 de Dezembro de 2003. Contudo, a regulamentação sobre o empréstimo consignado foi recentemente atualizada através da resolução 722 em 20 de Fevereiro de 2015. Ademais, essa lei que define além de prazos e condições, as obrigações entre as partes.

Margem consignável

  • Margem de Consignação: 30% (trinta por cento)
  • No entanto, a margem deve estar POSITIVA em pelo R$0,01 (um centavo).
  • A margem ZERADA no sistema significa MARGEM NEGATIVA. No entanto, para este caso, o cálculo deverá ser manual para identificar o real valor (negativo) da margem.

Documentos Necessários

  • Registro Geral (RG) ou Carteira Nacional de Habilitação (CNH)
  • CPF
  • Comprovante de residência atual
  • Último comprovante de renda

Ademais, a apresentação de todos os documentos de forma legível e dentro dos prazos de validade ajudam a agilizar seu empréstimo.

Empréstimo Consignado Prefeitura de Brumadinho

A cidade de Brumadinho fica localizada na região metropolitana de Belo Horizonte, que é a capital do estado de Minas Gerais. Contudo, o município de Brumadinho foi fundado em 25 de Maio de 1955 e ele é muito importante para a região metropolitana da capital do estado Belo Horizonte, pois é ele que abastece mais de um quarto dos mananciais de água da região.

O empréstimo que a prefeitura da cidade de Brumadinho oferece é excelente para que os seus funcionários possam trocar de carro, viajar, reformar a casa, entre outras coisas. Veja mais abaixo:

Ademais, o empréstimo para a Prefeitura da cidade de Brumadinho é muito simples e fácil de solicitar. Contudo, é só clicar no botão Solicite e preencher o formulário para que nosso time de consultores possa entrar em contato.

Consignado Prefeitura Brumadinho + Vantagens para Você

Conheça agora quais são as vantagens de se adquirir um empréstimo pela prefeitura do município de Brumadinho.

  • Não haverá consulta aos órgãos SPC e SERASA
  • Prazos diferenciados para pagamento
  • Parcelas fixas
  • Desconto direto na folha de pagamento
  • Taxas de juros mais atraentes
  • Não possui cobrança de TAC
  • Valor máximo liberado: R$ 8.500,00

Regulamentação

O empréstimo Consignado é uma linha de crédito regulamentada e atende a lei 10.820 de 17 de Dezembro de 2003. Contudo, a regulamentação sobre o empréstimo consignado foi recentemente atualizada através da resolução 722 em 20 de Fevereiro de 2015. Ademais, essa lei que define além de prazos e condições, as obrigações entre as partes.

Margem consignável

  • Margem de Consignação: 30% (trinta por cento)
  • No entanto, a margem deve estar POSITIVA em pelo R$0,01 (um centavo).
  • A margem ZERADA no sistema significa MARGEM NEGATIVA. No entanto, para este caso, o cálculo deverá ser manual para identificar o real valor (negativo) da margem.

Documentos Necessários

  • Documento de Identificação (RG) ou CNH
  • CPF
  • Comprovante de endereço atualizado
  • Último comprovante de rendimento

Ademais, a apresentação de todos os documentos de forma legível e dentro dos prazos de validade ajudam a agilizar seu empréstimo.

Empréstimo Consignado Prefeitura de Bertioga

Bertioga é uma cidade situada na zona metropolitana da baixada Santista, no litoral do estado de São Paulo. Seu nume é de origem tupi que significa “Casa do Peixe Branco.” Contudo, o município de Bertioga possui o primeiro forte do Brasil. Ele se chama São João. Outros pontos turísticos são: Foz do Rio Itaguaré, Morro de São Lourenço e um dos mais famosos SESCS (Serviço Social do Comércio), onde frequentemente ocorrem excursões.

O empréstimo consignado que a prefeitura de Bertioga oferece aos seus funcionários possui benefícios tais como: prazos maiores para pagar, desconto direto na folha de pagamento do servidor, taxa de juros mais baixas, entre outros.

Ademais, o empréstimo para a Prefeitura da cidade de Bertioga é muito simples e fácil de solicitar. Contudo, é só clicar no botão Solicite e preencher o formulário para que nosso time de consultores possa entrar em contato.

Consignado Prefeitura Bertioga + Vantagens

Conheça agora quais são as vantagens de se adquirir um empréstimo pela prefeitura do município de Bertioga.

  • Sem consulta aos órgãos SPC e SERASA
  • Os prazos são mais extensos para pagar
  • Parcelas fixas
  • Desconto direto na folha de pagamento
  • Taxas de juros mais justas
  • Sem cobrança de TAC
  • Valor máximo liberado: R$ 11.250,00

Regulamentação

O empréstimo Consignado é uma linha de crédito regulamentada e atende a lei 10.820 de 17 de Dezembro de 2003. Contudo, a regulamentação sobre o empréstimo consignado foi recentemente atualizada através da resolução 722 em 20 de Fevereiro de 2015. Ademais, essa lei que define além de prazos e condições, as obrigações entre as partes.

Margem consignável

  • Margem de Consignação: 30% (trinta por cento)
  • No entanto, a margem deve estar POSITIVA em pelo R$0,01 (um centavo).
  • A margem ZERADA no sistema significa MARGEM NEGATIVA. No entanto, para este caso, o cálculo deverá ser manual para identificar o real valor (negativo) da margem.

Documentos Necessários

  • Cédula de Identidade (RG)
  • Cadastro de Pessoa Física (CPF)
  • Comprovante de residência
  • Último comprovante de renda

Ademais, a apresentação de todos os documentos de forma legível e dentro dos prazos de validade ajudam a agilizar seu empréstimo.

Empréstimo Consignado Prefeitura de Serra

O município de Serra é localizado no estado do Espírito Santo. A cidade pertence a região metropolitana de Vitória, capital do estado. O Monte Mestre Álvaro, marca a Geografia da cidade. No entanto, outro local importante na cidade é a praia do Jacaraípe, conhecida como a sede dos campeonatos de Surf. A cidade de Serra tem sua economia baseada no comércio varejista, com diversos shoppings e lojas.

O empréstimo consignado é uma excelente oportunidade de conquistar os bens que almeja. A Prefeitura de Serra oferece aos seus servidores públicos essa possibilidade através de em empréstimo consignado com desconto em folha e parcelas que cabem no seu bolso, pois não excedem a margem dos 30%.

Ademais, o empréstimo para a Prefeitura da cidade de Serra é muito simples e fácil de solicitar. Contudo, é só clicar no botão Solicite e preencher o formulário para que nosso time de consultores possa entrar em contato.

Consignado Prefeitura Serra + Vantagens Para Você

Conheça agora quais são as vantagens de se adquirir um empréstimo pela prefeitura do município de Serra.

  • Não haverá consulta aoo órgãos de proteção ao crédito SPC e SERASA
  • Prazos maiores para pagar
  • Parcelas fixas
  • Desconto direto na folha de pagamento
  • Taxas de juros melhores do que as encontradas no mercado
  • Não possui TAC
  • Valor máximo liberado: R$ 9.000,00

Regulamentação

O empréstimo Consignado é uma linha de crédito regulamentada e atende a lei 10.820 de 17 de Dezembro de 2003. Contudo, a regulamentação sobre o empréstimo consignado foi recentemente atualizada através da resolução 722 em 20 de Fevereiro de 2015. Ademais, essa lei que define além de prazos e condições, as obrigações entre as partes.

Margem consignável

  • Margem de Consignação: 30% (trinta por cento)
  • No entanto, a margem deve estar POSITIVA em pelo R$0,01 (um centavo).
  • A margem ZERADA no sistema significa MARGEM NEGATIVA. No entanto, para este caso, o cálculo deverá ser manual para identificar o real valor (negativo) da margem.

Documentos Necessários

  • Documento de Identificação (RG) ou Carteira de Habilitação (CNH)
  • CPF
  • Comprovante de endereço
  • Último contracheque

Ademais, a apresentação de todos os documentos de forma legível e dentro dos prazos de validade ajudam a agilizar seu empréstimo.

Empréstimo Consignado Prefeitura de Governador Valadares

Governador Valadares é uma cidade situada no estado de Minas Gerais. Está localizada no Vale do Rio Doce. O PIB (Produto Interno Bruto) da Princesinha do Vale, como é conhecida no estado, destaca-se a áreas de prestação de serviço. A agricultura e a pecuária se destacam na renda da cidade. Contudo, são produzidos e cultivados milho, mandioca, banana, feijão, arroz e laranja.

O consignado que a Prefeitura de Governador Valadares oferece aos seus servidores públicos um empréstimo consignado com taxas de juros menores do que as praticadas no mercado, além do prazo para pagamento da parcela ser maior.

Ademais, o empréstimo para a Prefeitura da cidade de Governador Valadares é muito simples e fácil de solicitar. Contudo, é só clicar no botão Solicite e preencher o formulário para que nosso time de consultores possa entrar em contato.

Consignado Prefeitura Governador Valadares + Vantagens

Conheça agora quais são as vantagens de se adquirir um empréstimo pela prefeitura do município de Governador Valadares.

  • Sem consulta ao SPC e ao SERASA
  • Prazos diferenciados para pagar
  • Parcelas fixas
  • Desconto direto na folha de pagamento
  • Taxas de juros menores
  • Sem cobrança de TAC
  • Valor máximo liberado: R$ 8.500,00

Regulamentação

O empréstimo Consignado é uma linha de crédito regulamentada e atende a lei 10.820 de 17 de Dezembro de 2003. Contudo, a regulamentação sobre o empréstimo consignado foi recentemente atualizada através da resolução 722 em 20 de Fevereiro de 2015. Ademais, essa lei que define além de prazos e condições, as obrigações entre as partes.

Margem consignável

  • Margem de Consignação: 30% (trinta por cento)
  • No entanto, a margem deve estar POSITIVA em pelo R$0,01 (um centavo).
  • A margem ZERADA no sistema significa MARGEM NEGATIVA. No entanto, para este caso, o cálculo deverá ser manual para identificar o real valor (negativo) da margem.

Documentos Necessários

  • Registro Geral (RG) ou Carteira Nacional de Habilitação (CNH)
  • Cadastro de Pessoa Física (CPF)
  • Comprovante de endereço atual
  • Último comprovante de rendimento

Ademais, a apresentação de todos os documentos de forma legível e dentro dos prazos de validade ajudam a agilizar seu empréstimo.

Empréstimo Consignado Prefeitura de Coronel Fabriciano

Coronel Fabriciano é uma cidade localizada no interior de Minas Gerais. O município pertence a Região Metropolitana do Vale do Aço. Contudo, as tradições culturais da cidade Coronel Fabriciano como fandango ou marujadas, tradicional dança típica, o artesanato e festas religiosas como São Sebastião, a semana santa e o Corpo de Cristo fazem parte da sua agenda de atrações.

O consignado que a Prefeitura de Coronel Fabriciano oferece aos seus servidores públicos está repleto de benefícios. Trata-se de um empréstimo com desconto na folha de pagamento, não ultrapassando a margem de 30%. Isso significa que o empréstimo consignado não comprometerá financeiramente o funcionário.

Ademais, o empréstimo para a Prefeitura da cidade de Coronel Fabriciano é muito simples e fácil de solicitar. Contudo, é só clicar no botão Solicite e preencher o formulário para que nosso time de consultores possa entrar em contato.

Consignado Prefeitura Coronel Fabriciano + Vantagens

Conheça agora quais são as vantagens de se adquirir um empréstimo pela prefeitura do município de Coronel Fabriciano.

  • Não haverá consulta ao SPC e ao SERASA
  • Prazos mais longos para pagar
  • Parcelas fixas
  • Desconto direto na folha de pagamento
  • Taxas de juros justas
  • Não possui TAC
  • Valor máximo liberado: R$ 8.500,00

Regulamentação

O empréstimo Consignado é uma linha de crédito regulamentada e atende a lei 10.820 de 17 de Dezembro de 2003. Contudo, a regulamentação sobre o empréstimo consignado foi recentemente atualizada através da resolução 722 em 20 de Fevereiro de 2015. Ademais, essa lei que define além de prazos e condições, as obrigações entre as partes.

Margem consignável

  • Margem de Consignação: 30% (trinta por cento)
  • No entanto, a margem deve estar POSITIVA em pelo R$0,01 (um centavo).
  • A margem ZERADA no sistema significa MARGEM NEGATIVA. No entanto, para este caso, o cálculo deverá ser manual para identificar o real valor (negativo) da margem.

Documentos Necessários

  • Documento de Identidade (RG) ou CNH
  • CPF
  • Comprovante de endereço atualizado
  • Último comprovante de renda

Ademais, a apresentação de todos os documentos de forma legível e dentro dos prazos de validade ajudam a agilizar seu empréstimo.

Empréstimo Consignado Prefeitura de Moreno

A cidade de Moreno está localizada no estado de Pernambuco, Região Nordeste do Brasil. O município é formado pelo distrito sede e pelo distrito de Bonança. A economia da cidade de Moreno é formada pela agropecuária. No entanto, este é o setor que mais emprega na cidade para o cultivo de cana de açúcar, coco, banana. acerola e maracujá. Merece destaque na economia local o comércio da cidade.

O empréstimo consignado que a prefeitura de Moreno oferece aos seus servidores públicos fornece uma taxa de juros mais atrativa do que as que são normalmente praticadas no mercado, além do desconto direto na folha de pagamento. Logicamente, este desconto está dentro da margem dos 30%, ou seja, não compromete a renda do funcionário.

Ademais, o empréstimo para a Prefeitura da cidade de Moreno é muito simples e fácil de solicitar. Contudo, é só clicar no botão Solicite e preencher o formulário para que nosso time de consultores possa entrar em contato.

Consignado Prefeitura Moreno + Vantagens para Você

Conheça agora quais são as vantagens de se adquirir um empréstimo pela prefeitura do município de Moreno.

  • Sem consulta aos órgãos SPC e SERASA
  • Prazos maiores para pagamento
  • Parcelas fixas
  • Desconto direto na folha de pagamento
  • Taxas de juros convidativas
  • Sem cobrança de TAC
  • Valor máximo liberado: R$ 5.000,00

Regulamentação

O empréstimo Consignado é uma linha de crédito regulamentada e atende a lei 10.820 de 17 de Dezembro de 2003. Contudo, a regulamentação sobre o empréstimo consignado foi recentemente atualizada através da resolução 722 em 20 de Fevereiro de 2015. Ademais, essa lei que define além de prazos e condições, as obrigações entre as partes.

Margem consignável

  • Margem de Consignação: 30% (trinta por cento)
  • No entanto, a margem deve estar POSITIVA em pelo R$0,01 (um centavo).
  • A margem ZERADA no sistema significa MARGEM NEGATIVA. No entanto, para este caso, o cálculo deverá ser manual para identificar o real valor (negativo) da margem.

Documentos Necessários

  •  RG ou CNH
  • CPF
  • Comprovante de residência
  • Último contracheque

Ademais, a apresentação de todos os documentos de forma legível e dentro dos prazos de validade ajudam a agilizar seu empréstimo.

Empréstimo Consignado Prefeitura de São Vicente

São Vicente é um município localizado no litoral do estado de São Paulo. A cidade fica na Região Metropolitana da Baixada Santista. No entanto, São Vicente é a 2ª cidade mais populosa do litoral de São Paulo, perdendo a 1ª posição apenas para Santos. A cidade possui 5 praias. São elas: praia do Itararé, praia dos Milionários, praia de São Vicente (conhecida como praia do Gonzaguinha), praia de Itaquitanduva e praia de Paranapuã.

O consignado que a prefeitura de São Vicente oferece aos servidores públicos é um empréstimo com desconto em folha de pagamento e taxas de juros menores. Veja mais informações abaixo:

Ademais, o empréstimo para a Prefeitura da cidade de São Vicente é muito simples e fácil de solicitar. Contudo, é só clicar no botão Solicite e preencher o formulário para que nosso time de consultores possa entrar em contato.

Consignado Prefeitura São Vicente + Vantagens

Conheça agora quais são as vantagens de se adquirir um empréstimo pela prefeitura do município de São Vicente.

  • Não haverá consulta ao SPC e ao SERASA
  • Prazos diferenciados para pagamento
  • Parcelas fixas
  • Desconto direto na folha de pagamento
  • Taxas de juros mais atraentes
  • Não possui TAC
  • Valor máximo liberado: R$ 12.000,00

Regulamentação

O empréstimo Consignado é uma linha de crédito regulamentada e atende a lei 10.820 de 17 de Dezembro de 2003. Contudo, a regulamentação sobre o empréstimo consignado foi recentemente atualizada através da resolução 722 em 20 de Fevereiro de 2015. Ademais, essa lei que define além de prazos e condições, as obrigações entre as partes.

Margem consignável

  • Margem de Consignação: 30% (trinta por cento)
  • No entanto, a margem deve estar POSITIVA em pelo R$0,01 (um centavo).
  • A margem ZERADA no sistema significa MARGEM NEGATIVA. No entanto, para este caso, o cálculo deverá ser manual para identificar o real valor (negativo) da margem.

Documentos Necessários

  • Cédula de Identidade (RG) ou Carteira Nacional de Habilitação (CNH)
  • Cadastro de Pessoa Física (CPF)
  • Comprovante de endereço atual
  • Último comprovante de renda

Ademais, a apresentação de todos os documentos de forma legível e dentro dos prazos de validade ajudam a agilizar seu empréstimo.

Empréstimo Consignado Prefeitura de Colina

Colina é uma cidade localizada no interior do estado de São Paulo. No município de Colina, está localizada a Estação Experimental de Zootecnia especialista na pesquisa em equinos (cavalos). Contudo, durante o mês de Julho, Colina realiza a tradicional festa do cavalo. Deste modo, o município ficou nacionalmente conhecido como “A capital nacional do cavalo.”

O empréstimo consignado que a é oferecido pela prefeitura da cidade de Colina possui uma das taxas de juros mais baixas do mercado, além do prazo para o pagamento das parcelas ser mais extenso.

Ademais, o empréstimo para a Prefeitura da cidade de Colina é muito simples e fácil de solicitar. Contudo, é só clicar no botão Solicite e preencher o formulário para que nosso time de consultores possa entrar em contato.

Consignado Prefeitura Colina + Vantagens para Você

Conheça agora quais são as vantagens de se adquirir um empréstimo pela prefeitura do município de Colina.

  • Sem consulta aos órgãos SPC e SERASA
  • Prazos mais longos para pagamento
  • Parcelas fixas
  • Desconto direto na folha de pagamento
  • Taxas de juros menores do que as praticadas no mercado
  • Sem cobrança de TAC
  • Valor máximo liberado: R$ 12.000,00

Regulamentação

O empréstimo Consignado é uma linha de crédito regulamentada e atende a lei 10.820 de 17 de Dezembro de 2003. Contudo, a regulamentação sobre o empréstimo consignado foi recentemente atualizada através da resolução 722 em 20 de Fevereiro de 2015. Ademais, essa lei que define além de prazos e condições, as obrigações entre as partes.

Margem consignável

  • Margem de Consignação: 30% (trinta por cento)
  • No entanto, a margem deve estar POSITIVA em pelo R$0,01 (um centavo).
  • A margem ZERADA no sistema significa MARGEM NEGATIVA. No entanto, para este caso, o cálculo deverá ser manual para identificar o real valor (negativo) da margem.

Documentos Necessários

  • Documento de Identificação (RG) ou CNH
  • Cadastro de Pessoa Física (CPF)
  • Comprovante de residência atual
  • Último comprovante de rendimento

Ademais, a apresentação de todos os documentos de forma legível e dentro dos prazos de validade ajudam a agilizar seu empréstimo.

Empréstimo Consignado Prefeitura de Morro Agudo

Morro Agudo é um município localizado no interior do estado de São Paulo, na região metropolitana de Ribeirão Preto. O município de Morro Agudo, em sua maioria, é formado por muitos descendentes de imigrantes italianos e portugueses. No entanto, há também famílias de imigrantes japoneses, alemães, árabes e espanhóis, todos vindos entre os séculos 19 e 20.

A Prefeitura da cidade de Morro Agudo disponibilizou para os seus servidores públicos um empréstimo consignado. Nele, o funcionário terá um prazo maior para pagar as parcelas, além das taxas de juros que são baixas. Veja mais informações abaixo:

Ademais, o empréstimo para a Prefeitura da cidade de Morro Agudo é muito simples e fácil de solicitar. Contudo, é só clicar no botão Solicite e preencher o formulário para que nosso time de consultores possa entrar em contato.

Consignado Prefeitura Morro Agudo + Vantagens para Você

Conheça agora quais são as vantagens de se adquirir um empréstimo pela prefeitura do município de Morro Agudo.

  • Não haverá consulta ao SPC e SERASA
  • Os prazos para pagamento são maiores
  • Parcelas fixas
  • Desconto direto na folha de pagamento
  • Taxas de juros mais justas e, consequentemente, menores do que as praticadas no mercado
  • Não possui TAC
  • Valor máximo liberado: R$ 9.000,00

Regulamentação

O empréstimo Consignado é uma linha de crédito regulamentada e atende a lei 10.820 de 17 de Dezembro de 2003. Contudo, a regulamentação sobre o empréstimo consignado foi recentemente atualizada através da resolução 722 em 20 de Fevereiro de 2015. Ademais, essa lei que define além de prazos e condições, as obrigações entre as partes.

Margem consignável

  • Margem de Consignação: 30% (trinta por cento)
  • No entanto, a margem deve estar POSITIVA em pelo R$0,01 (um centavo).
  • A margem ZERADA no sistema significa MARGEM NEGATIVA. No entanto, para este caso, o cálculo deverá ser manual para identificar o real valor (negativo) da margem.

Documentos Necessários

  • Registro Geral (RG) ou Carteira Nacional de Habilitação (CNH)
  • Cadastro de Pessoa Física (CPF)
  • Comprovante de edereço atual
  • Último comprovante de renda

Ademais, a apresentação de todos os documentos de forma legível e dentro dos prazos de validade ajudam a agilizar seu empréstimo.

Empréstimo Consignado Prefeitura de Vespasiano

Vespasiano é uma cidade localizada no interior do estado de Minas Gerais. O município começou a se desenvolver na mesma hora que a capital do estado, Belo Horizonte, começou a crescer. Contudo, a principal renda da cidade de Vespasiano é a indústria. No município estão instaladas empresas como por exemplo Cimento Liz, a Belgo Mineira Bekeart, a Tecnometal e a Delp.

A prefeitura do município de Vespasiano oferece aos seus servidores públicos um empréstimo consignado no qual eles poderão adquirir o bem que quiser e as parcelas serão descontadas direto na folha de pagamento.

Ademais, o empréstimo para a Prefeitura da cidade de Vespasiano é muito simples e fácil de solicitar. Contudo, é só clicar no botão Solicite e preencher o formulário para que nosso time de consultores possa entrar em contato.

Consignado Prefeitura Vespasiano + Vantagens para Você

Conheça agora quais são as vantagens de se adquirir um empréstimo pela prefeitura do município de Vespasiano.

  • Não haverá consulta aos órgãos de proteção ao crédito SPC e SERASA
  • Os prazos são mais longos para pagamento
  • Parcelas fixas
  • Desconto direto na folha de pagamento
  • Taxas de juros mais baixas do que as praticadas no mercado
  • Sem cobrança de TAC
  • Valor máximo liberado: R$ 8.500,00

Regulamentação

O empréstimo Consignado é uma linha de crédito regulamentada e atende a lei 10.820 de 17 de Dezembro de 2003. Contudo, a regulamentação sobre o empréstimo consignado foi recentemente atualizada através da resolução 722 em 20 de Fevereiro de 2015. Ademais, essa lei que define além de prazos e condições, as obrigações entre as partes.

Margem consignável

  • Margem de Consignação: 30% (trinta por cento)
  • No entanto, a margem deve estar POSITIVA em pelo R$0,01 (um centavo).
  • A margem ZERADA no sistema significa MARGEM NEGATIVA. No entanto, para este caso, o cálculo deverá ser manual para identificar o real valor (negativo) da margem.

Documentos Necessários

  • Cédula de Identidade (RG) ou CNH
  • CPF
  • Comprovante de residência atualizado
  • Último contracheque

Ademais, a apresentação de todos os documentos de forma legível e dentro dos prazos de validade ajudam a agilizar seu empréstimo.

Empréstimo Consignado Prefeitura de Armação dos Búzios

A bela cidade de Armação de Búzios ou, como é mais comumente chamada, Búzios faz parte da região do lagos no estado do Rio de Janeiro. No entanto, Búzios é uma península dotada de 23 praias, onde de um lado recebe-se correntes marítimas do Equador e do outro lado as paias recebem correntes marítimas do Polo Sul. Devido aos constantes ventos fortes, o município é ideal para a prática de esportes como Iatismo e Voo Livre.

O empréstimo consignado que a prefeitura de Búzios oferece aos seus servidores públicos parcelas com juros menores do que os praticados no mercado além de não possuir cobrança de TAC e o prazo ser mais longo para o pagamento das parcelas.

Ademais, o empréstimo para a Prefeitura da cidade de Búzios é muito simples e fácil de solicitar. Contudo, é só clicar no botão Solicite e preencher o formulário para que nosso time de consultores possa entrar em contato.

Consignado Prefeitura Armação de Búzios + Vantagens

Conheça agora quais são as vantagens de se adquirir um empréstimo pela prefeitura do município de Búzios.

  • Sem consulta aos órgãos SPC e SERASA
  • Prazos mais extensos para pagar
  • Parcelas fixas
  • Desconto direto na folha de pagamento
  • Taxas de juros atrativas
  • Não possui TAC
  • Valor máximo liberado: R$ 7.500,00

Regulamentação

O empréstimo Consignado é uma linha de crédito regulamentada e atende a lei 10.820 de 17 de Dezembro de 2003. Contudo, a regulamentação sobre o empréstimo consignado foi recentemente atualizada através da resolução 722 em 20 de Fevereiro de 2015. Ademais, essa lei que define além de prazos e condições, as obrigações entre as partes.

Margem consignável

  • Margem de Consignação: 30% (trinta por cento)
  • No entanto, a margem deve estar POSITIVA em pelo R$0,01 (um centavo).
  • A margem ZERADA no sistema significa MARGEM NEGATIVA. No entanto, para este caso, o cálculo deverá ser manual para identificar o real valor (negativo) da margem.

Documentos Necessários

  • Documento de Identidade (RG) ou Carteira Nacional de Habilitação (CNH)
  • Cadastro de Pessoa Física (CPF)
  • Comprovante de endereço atual
  • Último comprovante de rendimento

Ademais, a apresentação de todos os documentos de forma legível e dentro dos prazos de validade ajudam a agilizar seu empréstimo.

Problemas com BMG Card?

O Portal consignados é um correspondente Bancário com responsabilidade e compromisso com o mercado, e é justamente por isso que está abrindo o seu espaço para poder tentar lhe ajudar a resolver seus problemas com BMG Card.

Problemas com BMG Card – Centrais de Atendimento

O Banco BMG disponibiliza centrais de atendimento especializadas com uma equipe qualificada e pronta para entender o seu problema e buscar para você uma solução. Contudo, escolha a opção que mais se encaixa com você e ligue.

  • BMG CARD 4002 7007 (capitais) e 0800 770 1790 (interior)
  • SAC 0800 9799 099
  • Deficientes auditivos ou de fala  0800 9797 333
  • OUVIDORIA 0800 723 2044

Não encontrou o Tópico para o seu Problema?

É bastante comum você se sentir totalmente perdido ou precisar resolver algum tipo de problema com BMG Card e buscar uma solução ou ajuda. Por isso, estamos aqui! Caso não tenha encontrado a solução dos seus problemas, o portal consignados pode lhe ajudar e orientar.

Conte conosco!

Quem Somos

O Portal consignados não é o Banco BMG. Somos apenas um correspondente bancário engajado com o setor. Temos você, que é usuário do nosso portal, como nosso maior bem.

Trabalhamos há mais de 20 anos no setor de crédito e estamos desde o inicio do crédito consignado. No entanto, isso não significa que sabemos tudo ou que somos melhores. Temos boa vontade em orientar e ajudar sempre a quem precisa de orientação ou ajuda.

O Banco BMG é um dos melhores Bancos no setor de crédito consignado, por isso, é extremamente importante sua participação em reportar o que está ocorrendo que está lhe tirando o sono. No entanto, nosso objetivo não é somente lhe ajudar, mas tentar mostrar ao Banco onde ele pode melhorar.

Sua Participação é Importante

Você sabia que o Portal Consignados mantêm um blog e que seu comentário é visualizado por milhares de pessoas todos os dias? Por isso contamos com sua participação deixando seu comentário, dúvida ou sugestão.

Você sabia?

Com mais de 17 anos no Mercado de Empréstimo Consignado, o Portal Consignados conta com uma equipe treinada para lhe auxiliar na melhor decisão. No entanto, o Portal Consignados trabalha em parceria com diversos bancos para lhe oferecer sempre o melhor negócio.

Empréstimo Consignado Prefeitura de Nova Lima

Nova Lima é uma cidade localizada no estado de Minas Gerais. O município está situado na região metropolitana de Belo Horizonte. Em Nova Lima, se instalam condomínios de alto padrão nos bairros Vila da Serra e Vale do Sereno. Em 2010, um estudo apontou Nova Lima como a primeira cidade do estado de Minas Gerais em qualidade de vida. A sua economia gira em torno da extração de minério de ferro.

O empréstimo consignado que a prefeitura do município de Nova Lima oferece aos seus servidores públicos é repleto de benefícios como por exemplo um prazo maior para pagar as parcelas, as taxas de juros atraentes, entre outros.

Ademais, o empréstimo para a Prefeitura da cidade de Nova Lima é muito simples e fácil de solicitar. Contudo, é só clicar no botão Solicite e preencher o formulário para que nosso time de consultores possa entrar em contato.

Consignado Prefeitura Nova Lima + Vantagens para Você

Conheça agora quais são as vantagens de se adquirir um empréstimo pela prefeitura do município de Nova Lima.

  • Sem consulta ao órgãos SPC e SERASA
  • Prazos maios longos para pagar
  • Parcelas fixas
  • Desconto direto na folha de pagamento
  • Taxas de juros mais interessantes do que as praticadas no mercado
  • Sem cobrança de TAC
  • Valor máximo liberado: R$ 8.500,00

Regulamentação

O empréstimo Consignado é uma linha de crédito regulamentada e atende a lei 10.820 de 17 de Dezembro de 2003. Contudo, a regulamentação sobre o empréstimo consignado foi recentemente atualizada através da resolução 722 em 20 de Fevereiro de 2015. Ademais, essa lei que define além de prazos e condições, as obrigações entre as partes.

Margem consignável

  • Margem de Consignação: 30% (trinta por cento)
  • No entanto, a margem deve estar POSITIVA em pelo R$0,01 (um centavo).
  • A margem ZERADA no sistema significa MARGEM NEGATIVA. No entanto, para este caso, o cálculo deverá ser manual para identificar o real valor (negativo) da margem.

Documentos Necessários

  • Cédula de Identidade (RG) ou CNH
  • CPF
  • Comprovante de residência atualizado
  • Último comprovante de renda

Ademais, a apresentação de todos os documentos de forma legível e dentro dos prazos de validade ajudam a agilizar seu empréstimo.

Empréstimo Consignado Prefeitura de Araguari

A cidade de Araguari integra o estado de Minas Gerais. O município está localizado no norte do Triângulo Mineiro. A Cidade Sorriso, como é chamada no estado de Minas, começa a sua história em 1888. Com uma posição estratégica, a cidade está no eixo São Paulo-Brasília e está interligada a todo o Brasil por meio de rodovias ou ferrovias. Em Araguari, estão localizadas as 3 maiores produtoras de suco do país, Maguari, Dafruta e Izzy. A cidade é também a maior produtora de tomate do estado.

O empréstimo oferecido aos funcionários públicos de Araguari, pretende fornecer condições para que todos os seus servidores possam trocar de carro ou reformar a casa. Saiba mais abaixo!

Ademais, o empréstimo para a Prefeitura da cidade de Araguari é muito simples e fácil de solicitar. Contudo, é só clicar no botão Solicite e preencher o formulário para que nosso time de consultores possa entrar em contato.

Consignado Prefeitura Araguari + Vantagens para Você

Conheça agora quais são as vantagens de se adquirir um empréstimo pela prefeitura do município de Araguari.

  • Sem consulta ao SPC e SERASA
  • Prazos diferenciados para pagamento
  • Parcelas fixas
  • Desconto direto na folha de pagamento
  • Taxas de juros menores
  • Não possui TAC
  • Valor máximo liberado: R$ 8.500,00

Regulamentação

O empréstimo Consignado é uma linha de crédito regulamentada e atende a lei 10.820 de 17 de Dezembro de 2003. Contudo, a regulamentação sobre o empréstimo consignado foi recentemente atualizada através da resolução 722 em 20 de Fevereiro de 2015. Ademais, essa lei que define além de prazos e condições, as obrigações entre as partes.

Margem consignável

  • Margem de Consignação: 30% (trinta por cento)
  • No entanto, a margem deve estar POSITIVA em pelo R$0,01 (um centavo).
  • A margem ZERADA no sistema significa MARGEM NEGATIVA. No entanto, para este caso, o cálculo deverá ser manual para identificar o real valor (negativo) da margem.

Documentos Necessários

  • Registro Geral (RG) ou Carteira Nacional de Habilitação (CNH)
  • Cadastro de Pessoa Física (CPF)
  • Comprovante de residência
  • Último comprovante de rendimento

Ademais, a apresentação de todos os documentos de forma legível e dentro dos prazos de validade ajudam a agilizar seu empréstimo.

Portabilidade sem Troco Com redução de Parcelas

Safra é um grupo presente em 22 países e trás na bagagem com uma história de mais de 175 anos. Atualmente, o Safra é a quarta maior instituição financeira privada do Brasil. Sempre procurando se adaptar a modernidade e sem medo de arriscar, o banco Safra apresenta o seu mais recente produto, o SafraPay, que é modalidade para pagamentos e transações online.

A Portabilidade sem troco do Safra é uma grande oportunidade para de adquirir desconto nas parcelas. Descubra quais são os seus benefícios abaixo:

Ademais, a Portabilidade sem troco que o banco Safra oferece é muito simples e fácil de solicitar. Contudo, basta clicar no botão Solicite e preencher o formulário para que nosso time de consultores possa entrar em contato.

Portabilidade sem Troco Safra + Vantagens

Fazer a portabilidade com o banco Safra é uma forma para reduzir os juros e continuar com o mesmo prazo do contrato anterior.

Conheça quais são as vantagens de realizar a portabilidade pelo banco Safra, como por exemplo:

  • Inativos/Aposentados e Pensionistas
  • Idade de 26 a 75 anos, 11 meses e 29 dias
  • Renda mínima: R$ 600,00
  • Troco mínimo permitido: R$100,00
  • Faz para analfabetos nos estados (Bahia, Ceará, Pernambuco, Distrito Federal, Goiás, Espírito Santo, Minas Gerais, Rio de Janeiro, São Paulo, Rio Grande do Sul, Paraná e Santa Catarina)
  • Utiliza 100% da margem de segurança
  • Não faz margem negativa
  • Faz transferência de dívida

Cobramos R$ 250,00 (duzentos e cinquenta reais) para fazer todo o processo de Portabilidade sem Troco.

Taxa de Juros

As taxas de juros podem variar de acordo com o prazo e período ao qual se contratou se empréstimo consignado. Contudo, uma recomendação que sempre damos é que se verifique qual foi a taxa de juros contratada pelo seu contrato antigo. Também é importante que se faça a comparação com a taxa de juros cobrada na portabilidade de seu empréstimo consignado.

Prazo x Refinanciamento

Na maioria da vezes, a portabilidade é realizada mediante um refinanciamento. Aliás, a regra do Banco Central é que ao portar seu contrato, ele deverá manter o mesmo valor de parcela, quantidade de parcelas pagas e prazo.

Contudo, muitas vezes o cliente é abordado com esta informação, mas com a promessa que receberá um valor em troca. Isto é mentira! Ao fazer a portabilidade, seu contrato será refinanciado e voltará para o prazo inicial ou até mesmo para o prazo máximo conforme convênio.

Amparo Legal

A portabilidade de empréstimo consignado está regulamentada através da resolução Nº 4.292 de 20 de Dezembro de 2013 do Banco Central do Brasil. Nesta resolução, estabelece a relação entre as instituições financeiras e clientes. Essa atitude agiliza o processo e evita abusos por ambos os lados. Contudo, a portabilidade é um direito seu e nós do portal consignados fazemos valer.

Documentação Necessária

  • RG ou CNH
  • CPF
  • Comprovante de residência atualizado
  • Detalhamento atualizado

Você Sabia?

A portabilidade é recomendada para clientes que possuam contratos com taxa de juros superiores as praticadas. No entanto, atualmente indicada para clientes que possuam algum impedimento junto a instituição financeira que esteja pagando seu empréstimo consignado ou impedidas por alguma política de crédito que atualmente impeça de refinanciar seu contrato.

Diminuir valor de parcela no Empréstimo Consignado

Diminuir valor de parcela no empréstimo consignado pode parecer algo impossível. No entanto, durante muito tempo este tipo de operação era impossível. Contudo, temos boas notícias para você! Agora você pode!

Diminuir valor de parcela entenda o que Mudou

Com a regulamentação da portabilidade, muitas instituições financeiras começaram uma espécie de batalha para obter uma carteira de clientes mesmo que para isso fosse necessário tirar você do seu banco e trazer seu contrato para outra instituição financeira.

Consulte a tabela de juros do Banco Central para saber quais as taxas praticadas pelas instituições financeiras e assim tentar diminuir o valor de parcela do seu empréstimo consignado.

No início era apenas trocar de banco, o que já ajudou muita gente. No entanto, como se sabe, algumas instituições mudam sua política de crédito com tamanha velocidade que o cliente se sente refém e não consegue mais nem ao mesmo refinanciar seus contratos devido a não se enquadrar mais nas condições exigidas pelo seu banco.

Com o surgimento da portabilidade, tal situação melhorou muito. Até então era o único benefício que existia. Agora você pode também diminuir o valor de parcela.

Competição x Vantagens

O cenário atual para o empréstimo consignado é de uma grande quantidade de clientes tomados, ou seja, a grande maioria já comprometeu sua margem consignável com empréstimos não abrindo espaço para novos Bancos ou Instituições financeiras. Por isso, ficou mais fácil diminuir o valor de parcela no seu contrato de empréstimo consignado.

Alternativa super Interessante

Em minha vida profissional já passaram diversas situações. Contudo, a mais comum era escutar dos clientes que, mesmo limitados a 30% o que matematicamente é o ideal, seu comprometimento mensal era alto. Isso significa que o valor pago mensal estava atrapalhando nas demais despesas.

Neste caso, até então não se tinha o que fazer. Infelizmente, agora o cenário mudou e, por fim, o cliente tem uma alternativa.

Portabilidade sem Troco

Pode parecer estranho o nome “Portabilidade sem Troco”, mas de fato até pouco tempo só se portava contratos se fosse refinanciar seu contrato posteriormente. Este seria um refinanciamento com taxa diferenciada conseguindo assim diminuir o valor de parcela no empréstimo consignado.

Agora o cenário mudou. Você pode portar seu contrato com taxas a partir de 1.2%, reduzindo assim sua parcela e mantendo o prazo do seu contrato, como por exemplo:

Um contrato da Caixa onde a parcela é de R$ 134,31 e faltando apenas 27 parcelas para acabar. Este contrato possui um saldo devedor de R$ 2.738,18. Ao portar,  ficaria uma parcela de R$ 117,77, ou seja, uma economia no total a prazo de R$ 446,55.

Quer saber calcular como ficaria para você diminuir valor de parcela no seu caso? É bem simples. O primeiro passo seria saber:

  • O Valor de Parcela Atual
  • O Valor do seu saldo devedor
  • A Taxa de juros (Utilize como exemplo a do Banco Safra 1,1% na portabilidade)
  • Acesse a Calculadora do Cidadão e preencha apenas os campos: Número de meses, Taxa de juros mensal, valor financiado que é seu saldo devedor e clique em calcular.

Calculador do Cidadão

Pronto terá o valor exato da parcela corrigida conforme taxa de juros escolhida. Contudo, assim terá uma noção de como ficaria o valor da sua parcela ao portar seu contrato e, consequentemente, diminuir valor de parcela no seu empréstimo consignado.

Nem tudo são Flores

Na teoria parece ótimo, não é verdade? Contudo, na prática nem tanto. Apesar de existir a possibilidade de diminuir valor de parcela no consignado, é muito difícil conseguir quem faça esse tipo de operação e os motivos pelos quais irei destacar são:

  • Este tipo de operação não remunera o consultor ou correspondente
  • As instituições escondem do cliente tal situação, afinal querem emprestar mais
  • O risco na portabilidade é até 500% maior que em uma operação Normal

Infelizmente ainda precisamos avançar mais no setor. No entanto, de fato, o setor tem melhorado com alternativas como a Portabilidade sem Troco.

O Portal consignados têm ajudado a milhares de clientes a diminuir valor de parcela nos seus contratos de empréstimo consignado, através de sua consultoria financeira. Contudo, dentro do possível, ou seja, nem tudo conseguimos fazer por aqui devido a envolver mão de obra, custo com sistemas entre outras situações. No entanto, sempre buscamos chegar em um bom senso que seja bom para todas as partes.

Empréstimo Consignado Prefeitura de Ribeirão das Neves

O município de Ribeirão das Neves pertence ao estado de Minas Gerais. Antigamente, Ribeirão das Neves era considerada cidade dormitório, pois a maior parte dos moradores trabalhavam em Belo Horizonte, capital de Minas Gerais, ou nos municípios vizinhos pertencentes a região metropolitana da capital mineira. Contudo, a sua economia concentra-se na indústria e no comércio em geral.

A prefeitura da cidade Ribeirão das Neves oferece aos seus funcionários públicos um empréstimo no qual é debitado diretamente da folha de pagamento, sem comprometer o financeiro do financeiro, pois a porcentagem do débito é de 30%.

Ademais, o empréstimo para a Prefeitura da cidade de Ribeirão das Neves é muito simples e fácil de solicitar. Contudo, é só clicar no botão Solicite e preencher o formulário para que nosso time de consultores possa entrar em contato.

Consignado Prefeitura Ribeirão das Neves + Vantagens

Conheça agora quais são as vantagens de se adquirir um empréstimo pela prefeitura do município de Ribeirão das Neves.

  • Não há consulta aos órgãos SPC e SERASA
  • Longos prazos para efetuar o pagamento
  • Parcelas fixas
  • Desconto direto na folha de pagamento
  • Taxas de juros mais atraentes
  • Sem cobrança de TAC
  • Valor máximo liberado: R$ 8.500,00

Regulamentação

O empréstimo Consignado é uma linha de crédito regulamentada e atende a lei 10.820 de 17 de Dezembro de 2003. Contudo, a regulamentação sobre o empréstimo consignado foi recentemente atualizada através da resolução 722 em 20 de Fevereiro de 2015. Ademais, essa lei que define além de prazos e condições, as obrigações entre as partes.

Margem consignável

  • Margem de Consignação: 30% (trinta por cento)
  • No entanto, a margem deve estar POSITIVA em pelo R$0,01 (um centavo).
  • A margem ZERADA no sistema significa MARGEM NEGATIVA. No entanto, para este caso, o cálculo deverá ser manual para identificar o real valor (negativo) da margem.

Documentos Necessários

  •  Documento de Identidade (RG) ou Carteira Nacional de Habilitação (CNH)
  • Cadastro de Pessoa Física (CPF)
  • Comprovante de endereço
  • Último comprovante de rendimento

Ademais, a apresentação de todos os documentos de forma legível e dentro dos prazos de validade ajudam a agilizar seu empréstimo.

Empréstimo Consignado Prefeitura de Teófilo Otoni

A cidade de Teófilo Otoni é localizada no estado de Minas Gerais. O município começou a ser desbravado no início do século 16. a procura de ouro e diamante. A cidade ficou famosa e é chamada até hoje de capital das pedras preciosas. Contudo, além da exploração mineral, a cidade possui atrações turísticas de valores culturais e históricas, como o prédio da CEMIG, a Praça Germânica e a Igreja Matriz.

No empréstimo consignado que a prefeitura de Teófilo Otoni oferece, os funcionários públicos terão um prazo maior para pagar as parcelas, além da comodidade das parcelas serem descontadas dito na folha de pagamento.

Ademais, o empréstimo para a Prefeitura da cidade Teófilo Otoni é muito simples e fácil de solicitar. Contudo, é só clicar no botão Solicite e preencher o formulário para que nosso time de consultores possa entrar em contato.

Consignado Prefeitura Teófilo Otoni + Vantagens para Você

Conheça agora quais são as vantagens de se adquirir um empréstimo pela prefeitura do município de Teófilo Otoni.

  • Sem consulta aos órgãos SPC e SERASA
  • Os prazos são mais extensos para efetuar o pagamento
  • Parcelas fixas
  • Desconto direto na folha de pagamento
  • Taxas de juros justas
  • Não possui cobrança de TAC
  • Valor máximo liberado: R$ 8.500,00

Regulamentação

O empréstimo Consignado é uma linha de crédito regulamentada e atende a lei 10.820 de 17 de Dezembro de 2003. Contudo, a regulamentação sobre o empréstimo consignado foi recentemente atualizada através da resolução 722 em 20 de Fevereiro de 2015. Ademais, essa lei que define além de prazos e condições, as obrigações entre as partes.

Margem consignável

  • Margem de Consignação: 30% (trinta por cento)
  • No entanto, a margem deve estar POSITIVA em pelo R$0,01 (um centavo).
  • A margem ZERADA no sistema significa MARGEM NEGATIVA. No entanto, para este caso, o cálculo deverá ser manual para identificar o real valor (negativo) da margem.

Documentos Necessários

  •  Documento de Identificação (RG) ou Carteira Nacional de Habilitação (CNH)
  • CPF
  • Comprovante de residência
  • Último comprovante de renda

Ademais, a apresentação de todos os documentos de forma legível e dentro dos prazos de validade ajudam a agilizar seu empréstimo.

Empréstimo Consignado Prefeitura de Santo Antônio do Monte

A cidade de Santo Antônio do Monte pertence ao estado de Minas Gerais. Fundada em 16 de Novembro de 1875, o município fica próximo de importantes cidades mineiras, tais como: Lagoa da Prata, Divinópolis, São Sebastião do Oeste, Arcos, Bom Despacho, Formiga e Luz. Contudo, a cidade é exemplo internacional sobre a atenção primária a saúde. Esse modelo está sendo apresentado através de seminário para diversas cidades brasileiras, inclusive de outros estados.

O consignado é uma forma de conseguir dinheiro, não comprometendo o seu orçamento. A margem do empréstimo não ultrapassa 30% do salário do funcionário público. A Prefeitura de Santo Antônio do Monte traz essa grande oportunidade para os seus servidores.

Ademais, o empréstimo para a Prefeitura da cidade de Sto. Antônio do Monte é muito simples e fácil de solicitar. Contudo, é só clicar no botão Solicite e preencher o formulário para que nosso time de consultores possa entrar em contato.

Consignado Prefeitura Santo Antônio do Monte + Vantagens

Conheça agora quais são as vantagens de se adquirir um empréstimo pela prefeitura do município de Sto. Antônio.

  • Sem consulta aos órgãos SPC e SERASA
  • Os prazos são flexíveis para pagamento
  • Parcelas fixas
  • Desconto direto na folha de pagamento
  • Taxas de juros atrativas
  • Sem cobrança de TAC
  • Valor máximo liberado: R$ 7.500,00

Regulamentação

O empréstimo Consignado é uma linha de crédito regulamentada e atende a lei 10.820 de 17 de Dezembro de 2003. Contudo, a regulamentação sobre o empréstimo consignado foi recentemente atualizada através da resolução 722 em 20 de Fevereiro de 2015. Ademais, essa lei que define além de prazos e condições, as obrigações entre as partes.

Margem consignável

  • Margem de Consignação: 30% (trinta por cento)
  • No entanto, a margem deve estar POSITIVA em pelo R$0,01 (um centavo).
  • A margem ZERADA no sistema significa MARGEM NEGATIVA. No entanto, para este caso, o cálculo deverá ser manual para identificar o real valor (negativo) da margem.

Documentos Necessários

  •  Registro Geral (RG) ou CNH
  • Cadastro de Pessoa Física (CPF)
  • Comprovante de endereço atual
  • Último comprovante de renda

Ademais, a apresentação de todos os documentos de forma legível e dentro dos prazos de validade ajudam a agilizar seu empréstimo.

Empréstimo Consignado Prefeitura de Feira de Santana

Feira de Santana é um município pertencente ao estado da Bahia. Feira, como também é conhecida, é a segunda cidade mais populosa do estado, perdendo somente para a capital Salvador. Contudo, Feira de Santana é o principal centro político, urbano, tecnológico, educacional, imobiliário, industrial, financeiro, administrativo, econômico, comercial e cultural do interior da Bahia e é um dos principais do nordeste.

O Consignado da Prefeitura de Feira é um empréstimo cujo desconto é feito direto através da folha de pagamento do servidor público. São diversos benefícios que esse tipo de empréstimo oferece. Descubra quais são logo abaixo:

Ademais, o empréstimo para a Prefeitura da cidade de Feira de Santana é muito simples e fácil de solicitar. Contudo, é só clicar no botão Solicite e preencher o formulário para que nosso time de consultores possa entrar em contato.

Consignado Prefeitura Feira de Santana + Vantagens

Conheça agora quais são as vantagens de se adquirir um empréstimo pela prefeitura do município de Feira.

  • Não haverá consulta aos órgãos de proteção ao crédito SPC e SERASA
  • Os prazos são maiores para o pagamento das parcelas
  • Parcelas fixas
  • Desconto direto na folha de pagamento
  • Taxas de juros competitivas
  • Não possui TAC
  • Valor máximo liberado: R$ 12.000,00

Regulamentação

O empréstimo Consignado é uma linha de crédito regulamentada e atende a lei 10.820 de 17 de Dezembro de 2003. Contudo, a regulamentação sobre o empréstimo consignado foi recentemente atualizada através da resolução 722 em 20 de Fevereiro de 2015. Ademais, essa lei que define além de prazos e condições, as obrigações entre as partes.

Margem consignável

  • Margem de Consignação: 30% (trinta por cento)
  • No entanto, a margem deve estar POSITIVA em pelo R$0,01 (um centavo).
  • A margem ZERADA no sistema significa MARGEM NEGATIVA. No entanto, para este caso, o cálculo deverá ser manual para identificar o real valor (negativo) da margem.

Documentos Necessários

  •  RG ou Carteira Nacional de Habilitação (CNH)
  • Cadastro de Pessoa Física (CPF)
  • Comprovante de residência atualizado
  • Último contracheque

Ademais, a apresentação de todos os documentos de forma legível e dentro dos prazos de validade ajudam a agilizar seu empréstimo.

Empréstimo Consignado Prefeitura de Campo Mourão

Campo Mourão é uma cidade pertencente ao estado do Paraná. O município fica próximo de Cianorte, Cascavel e Maringá. A cidade de Campo Mourão tem a sua economia voltada para a agricultura, no plantio de soja e milho. Contudo, o município foi fundado em 10 de Outubro de 1947. Nele, está localizado a sede da Coamo que é a maior cooperativa do Brasil e a terceira maior do mundo.

O empréstimo consignado é uma grande oportunidade do servidor público comprar um carro ou fazer uma longa viagem. Conheça mais sobre o empréstimo para os funcionários da Prefeitura de Campo Mourão abaixo:

Ademais, o empréstimo para a Prefeitura da cidade de Campo Mourão é muito simples e fácil de solicitar. Contudo, é só clicar no botão Solicite e preencher o formulário para que nosso time de consultores possa entrar em contato.

Consignado Prefeitura Campo Mourão + Vantagens

Conheça agora quais são as vantagens de se adquirir um empréstimo pela prefeitura do município de Campo Mourão.

  • Sem consulta consulta aos órgãos SPC e SERASA
  • Os prazos são diferenciados para pagamento das parcelas
  • Parcelas fixas
  • Desconto direto na folha de pagamento
  • Taxas de juros atrativas
  • Não possui TAC
  • Valor máximo liberado: R$ 12.000,00

Regulamentação

O empréstimo Consignado é uma linha de crédito regulamentada e atende a lei 10.820 de 17 de Dezembro de 2003. Contudo, a regulamentação sobre o empréstimo consignado foi recentemente atualizada através da resolução 722 em 20 de Fevereiro de 2015. Ademais, essa lei que define além de prazos e condições, as obrigações entre as partes.

Margem consignável

  • Margem de Consignação: 30% (trinta por cento)
  • No entanto, a margem deve estar POSITIVA em pelo R$0,01 (um centavo).
  • A margem ZERADA no sistema significa MARGEM NEGATIVA. No entanto, para este caso, o cálculo deverá ser manual para identificar o real valor (negativo) da margem.

Documentos Necessários

  •  Documento de identificação (RG) ou Carteira Nacional de Habilitação (CNH)
  • CPF
  • Comprovante de rendereço
  • Último contracheque

Ademais, a apresentação de todos os documentos de forma legível e dentro dos prazos de validade ajudam a agilizar seu empréstimo.

Empréstimo Consignado Prefeitura de Gurupi

Gurupi é um município brasileiro pertencente ao estado do Tocantins. A cidade fica no divisor de águas entre os rios Araguaia e Tocantins. Gurupi é o terceiro maior município do estado, sendo o pólo regional de toda a região sul do estado do Tocantins. Sua economia é voltada para a agricultura e para a pecuária. O nome da cidade é de origem indígena e significa “Rio das Plantações.”

O consignado da Prefeitura da cidade de Gurupi oferece uma taxa de juros atrativa e o limite máximo disponível é suficiente para realizar viagens, reformas, pagar dívidas, emprestar dinheiro ou o que quiser.

Ademais, o empréstimo para a Prefeitura da cidade de Gurupi é muito simples e fácil de solicitar. Contudo, é só clicar no botão Solicite e preencher o formulário para que nosso time de consultores possa entrar em contato.

Consignado Prefeitura Gurupi + Vantagens para Você, Servidor

Conheça agora quais são as vantagens de se adquirir um empréstimo pela prefeitura do município de Gurupi.

  • Não haverá consulta aos órgãos SPC e SERASA
  • Os prazos mais longos para pagar
  • Parcelas fixas
  • Desconto direto na folha de pagamento
  • Taxas de juros reduzidas
  • Sem cobrança de TAC
  • Valor máximo liberado: R$ 13.000,00

Regulamentação

O empréstimo Consignado é uma linha de crédito regulamentada e atende a lei 10.820 de 17 de Dezembro de 2003. Contudo, a regulamentação sobre o empréstimo consignado foi recentemente atualizada através da resolução 722 em 20 de Fevereiro de 2015. Ademais, essa lei que define além de prazos e condições, as obrigações entre as partes.

Margem consignável

  • Margem de Consignação: 30% (trinta por cento)
  • No entanto, a margem deve estar POSITIVA em pelo R$0,01 (um centavo).
  • A margem ZERADA no sistema significa MARGEM NEGATIVA. No entanto, para este caso, o cálculo deverá ser manual para identificar o real valor (negativo) da margem.

Documentos Necessários

  •  Documento de identidade (RG) ou CNH
  • Cadastro de Pessoa Física (CPF)
  • Comprovante de residência atualizado
  • Último comprovante de rendimento

Ademais, a apresentação de todos os documentos de forma legível e dentro dos prazos de validade ajudam a agilizar seu empréstimo.

Empréstimo Consignado Prefeitura de Rancharia

Rancharia é uma cidade situada no interior do estado de São Paulo. O município é conhecido como capital estadual do algodão. Esse título lhe foi dado em 1956. A pecuária também movimenta bem a economia da cidade de Rancharia. No entanto, um grande destaque no município é a empresa de queijos e derivados Ipanema. Seu clima é chuvoso no verão e seco no inverno.

No empréstimo consignado oferecido pela Prefeitura de Rancharia, o servidor público será descontado diretamente na folha de pagamento, sempre respeitando a sua margem. Saiba mais abaixo:

Ademais, o empréstimo para a Prefeitura da cidade de Rancharia é muito simples e fácil de solicitar. Contudo, é só clicar no botão Solicite e preencher o formulário para que nosso time de consultores possa entrar em contato.

Consignado Prefeitura Rancharia + Vantagens para Você

Conheça agora quais são as vantagens de se adquirir um empréstimo pela prefeitura do município de Rancharia.

  • Sem consulta aos órgãos de proteção ao crédito SPC e SERASA
  • Prazos mais longos para pagamento
  • Parcelas fixas
  • Desconto direto na folha de pagamento
  • Taxas de juros mais atrativas
  • Sem cobrança de TAC
  • Valor máximo liberado: R$ 9.000,00

Regulamentação

O empréstimo Consignado é uma linha de crédito regulamentada e atende a lei 10.820 de 17 de Dezembro de 2003. Contudo, a regulamentação sobre o empréstimo consignado foi recentemente atualizada através da resolução 722 em 20 de Fevereiro de 2015. Ademais, essa lei que define além de prazos e condições, as obrigações entre as partes.

Margem consignável

  • Margem de Consignação: 30% (trinta por cento)
  • No entanto, a margem deve estar POSITIVA em pelo R$0,01 (um centavo).
  • A margem ZERADA no sistema significa MARGEM NEGATIVA. No entanto, para este caso, o cálculo deverá ser manual para identificar o real valor (negativo) da margem.

Documentos Necessários

  •  Registro Geral (RG) ou Carteira Nacional de Habilitação (CNH)
  • Cadastro de Pessoa Física (CPF)
  • Comprovante de residência atual
  • Último comprovante de renda

Ademais, a apresentação de todos os documentos de forma legível e dentro dos prazos de validade ajudam a agilizar seu empréstimo.

Empréstimo Consignado Prefeitura de Linhares

Linhares é uma cidade localizada no estado do Espírito Santo. A cidade é banhada pelo oceano Atlântico. O município se destaca como o maior pólo de desenvolvimento econômico e social do Espírito Santo. No entanto, Linhares é considerada a quinta melhor cidade de porte médio do Brasil. Sua fundação é datada de 22 de Agosto de 1800. Linhares é o maior produtor de mamão do estado.

O empréstimo consignado é uma grande oportunidade para o servidor público mudar de vida. No consignado da Prefeitura de Linhares, o servidor poderá trocar de carro, fazer viagem, pagar uma dívida, etc, …

Ademais, o empréstimo para a Prefeitura da cidade de Linhares é muito simples e fácil de solicitar. Contudo, é só clicar no botão Solicite e preencher o formulário para que nosso time de consultores possa entrar em contato.

Consignado Prefeitura Linhares + Vantagens para Você

Conheça agora quais são as vantagens de se adquirir um empréstimo pela prefeitura do município de Linhares.

  • Sem consulta aos órgãos SPC e SERASA
  • Prazos mais extensos para pagamento
  • Parcelas fixas
  • Desconto direto na folha de pagamento
  • Taxas de juros menores
  • Não possui TAC
  • Valor máximo liberado: R$ 13.500,00

Regulamentação

O empréstimo Consignado é uma linha de crédito regulamentada e atende a lei 10.820 de 17 de Dezembro de 2003. Contudo, a regulamentação sobre o empréstimo consignado foi recentemente atualizada através da resolução 722 em 20 de Fevereiro de 2015. Ademais, essa lei que define além de prazos e condições, as obrigações entre as partes.

Margem consignável

  • Margem de Consignação: 30% (trinta por cento)
  • No entanto, a margem deve estar POSITIVA em pelo R$0,01 (um centavo).
  • A margem ZERADA no sistema significa MARGEM NEGATIVA. No entanto, para este caso, o cálculo deverá ser manual para identificar o real valor (negativo) da margem.

Documentos Necessários

  •  Registro Geral (RG) ou Carteira Nacional de Habilitação (CNH)
  • CPF
  • Comprovante de endereço atualizado
  • Último Contracheque

Ademais, a apresentação de todos os documentos de forma legível e dentro dos prazos de validade ajudam a agilizar seu empréstimo.

Empréstimo Consignado Prefeitura de Rio Branco

Rio Branco é uma cidade situada na região norte do Brasil. Também é a capital do estado do Acre. O município de Rio Branco localiza-se as margens do Rio Acre. Contudo, sua economia é baseada no extrativismo vegetal, principalmente na borracha. A madeira é o produto que a cidade mais exporta. Os outros produtos que o município produz são: castanha do Pará, fruto do açaí e óleo da copaíba.

O empréstimo oferecido pela Prefeitura de Rio Branco para os seus servidores possui um dos mais altos limites liberados nessa categoria, como também oferece um prazo maior para pagamento.

Ademais, o empréstimo para a Prefeitura da cidade de Rio Branco é muito simples e fácil de solicitar. Contudo, é só clicar no botão Solicite e preencher o formulário para que nosso time de consultores possa entrar em contato.

Consignado Prefeitura Rio Branco + Vantagens para Você

Conheça agora quais são as vantagens de se adquirir um empréstimo pela prefeitura do município de Rio Branco.

  • Não há consulta aos órgãos de proteção ao crédito SPC e SERASA
  • Prazos mais longos  para pagamento
  • Parcelas fixas
  • Desconto direto na folha de pagamento
  • Taxas de juros reduzidas
  • Sem cobrança de TAC
  • Valor máximo liberado: R$ 22.500,00

Regulamentação

O empréstimo Consignado é uma linha de crédito regulamentada e atende a lei 10.820 de 17 de Dezembro de 2003. Contudo, a regulamentação sobre o empréstimo consignado foi recentemente atualizada através da resolução 722 em 20 de Fevereiro de 2015. Ademais, essa lei que define além de prazos e condições, as obrigações entre as partes.

Margem consignável

  • Margem de Consignação: 30% (trinta por cento)
  • No entanto, a margem deve estar POSITIVA em pelo R$0,01 (um centavo).
  • A margem ZERADA no sistema significa MARGEM NEGATIVA. No entanto, para este caso, o cálculo deverá ser manual para identificar o real valor (negativo) da margem.

Documentos Necessários

  •  Registro Geral (RG) ou CNH
  • Cadastro de Pessoa Física (CPF)
  • Comprovante de endereço
  • Último Comprovante de rendimento

Ademais, a apresentação de todos os documentos de forma legível e dentro dos prazos de validade ajudam a agilizar seu empréstimo.

Empréstimo Consignado Prefeitura de Teixeira de Freitas

A cidade de Teixeira de Freitas fica localizada no interior do estado da Bahia. Sua distância é de 800 km da capital do estado, Salvador. No entanto, a cidade recebeu este nome em homenagem ao baiano Mario Augusto Teixeira de Freitas, fundador do Instituto Nacional de Estatística que mais tarde mudou seu nome para Instituto Brasileiro de Geografia e Estatística (IBGE). Fundada em 09 de Maio de 1985, ainda é uma cidade jovem, mas em ascendência.

A prefeitura do município de Teixeira de Freitas oferece aos seus funcionários públicos uma excelente oportunidade de mudar de vida para melhor. O empréstimo descontado na folha de pagamento é confiável e seu valor máximo liberado dá condições dos servidores trocarem de carro, realizarem viagens, reformar a casa ou ainda pagar dívidas.

Ademais, o empréstimo para a Prefeitura da cidade de Teixeira de Freitas é muito simples e fácil de solicitar. Contudo, é só clicar no botão Solicite e preencher o formulário para que nosso time de consultores possa entrar em contato.

Consignado Prefeitura Teixeira de Freitas + Vantagens

Conheça agora quais são as vantagens de se adquirir um empréstimo pela prefeitura do município de Teixeira de Freitas.

  • Sem consulta aos órgãos de proteção ao crédito SPC e SERASA
  • Prazos diferenciados para pagamento
  • Parcelas fixas
  • Desconto direto na folha de pagamento
  • Taxas de juros justas, se comparadas aos mercado
  • Não possui cobrança de TAC
  • Valor máximo liberado: R$ 20.000,00

Regulamentação

O empréstimo Consignado é uma linha de crédito regulamentada e atende a lei 10.820 de 17 de Dezembro de 2003. Contudo, a regulamentação sobre o empréstimo consignado foi recentemente atualizada através da resolução 722 em 20 de Fevereiro de 2015. Ademais, essa lei que define além de prazos e condições, as obrigações entre as partes.

Margem consignável

  • Margem de Consignação: 30% (trinta por cento)
  • No entanto, a margem deve estar POSITIVA em pelo R$0,01 (um centavo).
  • A margem ZERADA no sistema significa MARGEM NEGATIVA. No entanto, para este caso, o cálculo deverá ser manual para identificar o real valor (negativo) da margem.

Documentos Necessários

  •  RG ou CNH
  • Cadastro de Pessoa Física (CPF)
  • Comprovante de residência atualizado
  • Último Comprovante de renda

Ademais, a apresentação de todos os documentos de forma legível e dentro dos prazos de validade ajudam a agilizar seu empréstimo.

Empréstimo Consignado Prefeitura de Maringá

Maringá é um município brasileiro pertencente ao interior do estado do Paraná. A cidade é a terceira mais populosa do estado. É uma das cidades mais arborizadas e limpas do país. Maringá, Maringá é o nome de uma música de Joubert de Carvalho. Reza a lenda que os operários cantavam essa música noite e dia. Contudo, essa foi uma bela homenagem está na placa da Rua Joubert de Carvalho que diz o seguinte: “Compositor da música que deu nome à cidade.”

O consignado é uma forma de empréstimo na qual o servidor público tem as parcelas descontadas diretamente na folha de pagamento. Além disso, no Empréstimo Consignado da Prefeitura da cidade de Maringá, o taxa de juros não é abusiva. Veja mais abaixo:

Ademais, o empréstimo para a Prefeitura da cidade de Maringá é muito simples e fácil de solicitar. Contudo, é só clicar no botão Solicite e preencher o formulário para que nosso time de consultores possa entrar em contato.

Consignado Prefeitura Maringá + Vantagens para Você

Conheça agora quais são as vantagens de se adquirir um empréstimo pela prefeitura do município de Maringá.

  • Sem consulta ao SPC e SERASA
  • Prazos maiores para pagar
  • Parcelas fixas
  • Desconto direto na folha de pagamento
  • Taxas de juros atrativas
  • Sem cobrança de TAC
  • Valor máximo liberado: R$ 12.000,00

Regulamentação

O empréstimo Consignado é uma linha de crédito regulamentada e atende a lei 10.820 de 17 de Dezembro de 2003. Contudo, a regulamentação sobre o empréstimo consignado foi recentemente atualizada através da resolução 722 em 20 de Fevereiro de 2015. Ademais, essa lei que define além de prazos e condições, as obrigações entre as partes.

Margem consignável

  • Margem de Consignação: 30% (trinta por cento)
  • No entanto, a margem deve estar POSITIVA em pelo R$0,01 (um centavo).
  • A margem ZERADA no sistema significa MARGEM NEGATIVA. No entanto, para este caso, o cálculo deverá ser manual para identificar o real valor (negativo) da margem.

Documentos Necessários

  • Carteira de identidade (RG) ou Carteira Nacional de Habilitação (CNH)
  • Cadastro de Pessoa Física (CPF)
  • Comprovante de endereço atualizado
  • Comprovante de renda (o último)

Ademais, a apresentação de todos os documentos de forma legível e dentro dos prazos de validade ajudam a agilizar seu empréstimo.

Empréstimo Consignado Prefeitura de Bebedouro

Bebedouro é uma cidade localizada no interior do estado de São Paulo. A origem do seu nome deve-se a um córrego chamado Bebedor, que no século 19 era posada para peões de boiadeiro. Na economia, o município de Bebedouro se destaca pelas industrias de suco de laranja, de óleos vegetais e de fertilizantes. Contudo, Bebedouro é conhecida internacionalmente como Califórnia Brasileira.

O empréstimo consignado é a grande oportunidade para o servidor público mudar de vida. Com o empréstimo, o funcionário da Prefeitura de Bebedouro poderá trocar de carro, fazer uma boa viagem ou comprar o que quiser.

Ademais, o empréstimo para a Prefeitura da cidade de Bebedouro é muito simples e fácil de solicitar. Contudo, é só clicar no botão Solicite e preencher o formulário para que nosso time de consultores possa entrar em contato.

Consignado Prefeitura Bebedouro + Vantagens para Você

Conheça agora quais são as vantagens de se adquirir um empréstimo pela prefeitura do município de Bebedouro.

  • Sem consulta aos órgãos de proteção ao crédito SPC e SERASA
  • Longos prazos para pagamento
  • Parcelas fixas
  • Desconto direto na folha de pagamento
  • Taxas de juros mais justas
  • Não possui TAC
  • Valor máximo liberado: R$ 12.000,00

Regulamentação

O empréstimo Consignado é uma linha de crédito regulamentada e atende a lei 10.820 de 17 de Dezembro de 2003. Contudo, a regulamentação sobre o empréstimo consignado foi recentemente atualizada através da resolução 722 em 20 de Fevereiro de 2015. Ademais, essa lei que define além de prazos e condições, as obrigações entre as partes.

Margem consignável

  • Margem de Consignação: 30% (trinta por cento)
  • No entanto, a margem deve estar POSITIVA em pelo R$0,01 (um centavo).
  • A margem ZERADA no sistema significa MARGEM NEGATIVA. No entanto, para este caso, o cálculo deverá ser manual para identificar o real valor (negativo) da margem.

Documentos Necessários

  • Cédula de identidade RG ou Carteira Nacional de Habilitação (CNH)
  • CPF
  • Comprovante de residência
  • Comprovante de rendimento (o último)

Ademais, a apresentação de todos os documentos de forma legível e dentro dos prazos de validade ajudam a agilizar seu empréstimo.

Consignado Prefeitura de Porto Velho

Porto Velho é a capital do estado de Rondônia. É a única capital do Brasil que faz fronteira com outro país, a Bolívia. Porto velho foi fundado pela empresa americana Madeira Mamoré Railway Company em 1907, durante a construção da ferrovia Madeira Mamoré. Em 1914, pertencia ao município do Amazonas. Contudo, somente em 1943, a cidade virou a capital do estado de Rondônia.

O empréstimo consignado que a prefeitura de Porto Velho oferece aos seus servidores, tem o objetivo de auxiliar o funcionário a comprar o bem que quiser ou pagar alguma dívida, realizar viagens, …

Ademais, o empréstimo para a Prefeitura da cidade de Porto Velho é muito simples e fácil de solicitar. Contudo, é só clicar no botão Solicite e preencher o formulário para que nosso time de consultores possa entrar em contato.

Empréstimo Consignado Prefeitura Porto Velho + Vantagens

Conheça agora quais são as vantagens de se adquirir um empréstimo pela prefeitura do município de Porto Velho.

  • Não haverá consulta aos órgãos SPC e SERASA
  • Prazos mais longos para pagar
  • Parcelas fixas
  • Desconto direto na folha de pagamento
  • Taxas de juros mais atraentes
  • Sem cobrança de TAC
  • Valor máximo liberado: R$ 12.000,00

Regulamentação

O empréstimo Consignado é uma linha de crédito regulamentada e atende a lei 10.820 de 17 de Dezembro de 2003. Contudo, a regulamentação sobre o empréstimo consignado foi recentemente atualizada através da resolução 722 em 20 de Fevereiro de 2015. Ademais, essa lei que define além de prazos e condições, as obrigações entre as partes.

Margem consignável

  • Margem de Consignação: 30% (trinta por cento)
  • No entanto, a margem deve estar POSITIVA em pelo R$0,01 (um centavo).
  • A margem ZERADA no sistema significa MARGEM NEGATIVA. No entanto, para este caso, o cálculo deverá ser manual para identificar o real valor (negativo) da margem.

Documentos Necessários

  • RG ou Carteira Nacional de Habilitação (CNH)
  • Cadastro de Pessoa Física (CPF)
  • Comprovante de endereço atualizado
  • Último comprovante de renda

Ademais, a apresentação de todos os documentos de forma legível e dentro dos prazos de validade ajudam a agilizar seu empréstimo.

Empréstimo Consignado Prefeitura de Teresina

Teresina está localizada na região nordeste do Brasil. A cidade é capital do estado do Piauí. Teresina é a sétima capital mais populosa do Brasil. O município de Terê desenvolveu-se através da navegação fluvial por meio do Rio Parnaíba. Ganhou pelo escritor Coelho Neto, o belo codinome de cidade verde, em razão das suas ruas e avenidas serem repletas de árvores. Teresina tem seu destaque na indústria têxtil e de confecções.

O empréstimo consignado caracteriza-se pelo desconto na folha de pagamento. Contudo, no consignado que a prefeitura de Teresina oferta para os seus servidores públicos, além dessa vantagem, o prazo para pagamento é maior e a taxa de juros é mais atrativa.

Ademais, o empréstimo para a Prefeitura do município de Teresina é muito simples e fácil de solicitar. Contudo, é só clicar no botão Solicite e preencher o formulário para que nosso time de consultores possa entrar em contato.

Consignado Prefeitura Teresina + Vantagens para Você

Conheça agora quais são as vantagens de se adquirir um empréstimo pela prefeitura da cidade de Teresina.

  • Não haverá consulta aos órgãos SPC e SERASA
  • Prazos maiores para pagamento
  • Parcelas fixas
  • Desconto direto na folha de pagamento
  • Taxas de juros menores
  • Não possui TAC
  • Valor máximo liberado: R$ 7.500,00

Regulamentação

O empréstimo Consignado é uma linha de crédito regulamentada e atende a lei 10.820 de 17 de Dezembro de 2003. Contudo, a regulamentação sobre o empréstimo consignado foi recentemente atualizada através da resolução 722 em 20 de Fevereiro de 2015. Ademais, essa lei que define além de prazos e condições, as obrigações entre as partes.

Margem consignável

  • Margem de Consignação: 30% (trinta por cento)
  • No entanto, a margem deve estar POSITIVA em pelo R$0,01 (um centavo).
  • A margem ZERADA no sistema significa MARGEM NEGATIVA. No entanto, para este caso, o cálculo deverá ser manual para identificar o real valor (negativo) da margem.

Documentos Necessários

  • Registro Geral (RG) ou Carteira Nacional de Habilitação (CNH)
  • Cadastro de Pessoa Física (CPF)
  • Comprovante de residência
  • Último comprovante de rendimento

Ademais, a apresentação de todos os documentos de forma legível e dentro dos prazos de validade ajudam a agilizar seu empréstimo.

Consignado Prefeitura de Juiz de Fora

Juiz de Fora é um município localizado no interior do estado de Minas Gerais. A interessante história do nome da cidade dá-se a um Juiz de Fora, que em 1850 foi nomeado pela Coroa Portuguesa, para atuar onde não havia Juiz de Direito. Esse juiz hospedou-se por um curto prazo em uma fazenda da região. Contudo, na época, essa fazenda passou a ser conhecida como Sesmaria do Juiz de Fora.

O empréstimo consignado que a Prefeitura da cidade de Juiz de Fora oferece aos seus servidores, libera um dos maiores limites. O Portal Consignados revela qual é este valor abaixo:

Ademais, o empréstimo para a Prefeitura do município de Juiz de Fora é muito simples e fácil de solicitar. Contudo, é só clicar no botão Solicite e preencher o formulário para que nosso time de consultores possa entrar em contato.

Empréstimo Consignado Prefeitura Juiz de Fora + Vantagens

Conheça agora quais são as vantagens de se adquirir um empréstimo pela prefeitura da cidade de Juiz de Fora.

  • Sem consulta aos órgãos de proteção do crédito SPC e SERASA
  • Prazos diferenciados para pagamento
  • Parcelas fixas
  • Desconto direto na folha de pagamento
  • Taxas de juros melhores do que as praticadas no mercado
  • Não possui TAC
  • Valor máximo liberado: R$ 25.000,00

Regulamentação

O empréstimo Consignado é uma linha de crédito regulamentada e atende a lei 10.820 de 17 de Dezembro de 2003. Contudo, a regulamentação sobre o empréstimo consignado foi recentemente atualizada através da resolução 722 em 20 de Fevereiro de 2015. Ademais, essa lei que define além de prazos e condições, as obrigações entre as partes.

Margem consignável

  • Margem de Consignação: 30% (trinta por cento)
  • No entanto, a margem deve estar POSITIVA em pelo R$0,01 (um centavo).
  • A margem ZERADA no sistema significa MARGEM NEGATIVA. No entanto, para este caso, o cálculo deverá ser manual para identificar o real valor (negativo) da margem.

Documentos Necessários

  • Registro Geral (RG) ou CNH
  • Cadastro de Pessoa Física (CPF)
  • Comprovante de endereço
  • Último comprovante de renda

Ademais, a apresentação de todos os documentos de forma legível e dentro dos prazos de validade ajudam a agilizar seu empréstimo.

Consignado Prefeitura de Angra dos Reis

Angra dos Reis é um paraíso situado no estado do Rio de Janeiro. Possui em média 365 ilhas. Os portugueses a descobriram em 1502. No entanto, sua colonização só ocorreu a partir do ano de 1556. Graças a instalação do terminal marítimo da Baía da Ilha Grande feita pela Petrobrás na região do Ponta Leste, seu porto é um dos mais movimentados do país, graças ao transporte de grandes quantidades de petróleo.

O consignado que a Prefeitura de Angra dos Reis oferece aos seus servidores públicos é um empréstimo cujo maior benefício são as excelentes taxas, diferentes das praticadas no mercado. Confira outras informações abaixo:

Ademais, o empréstimo para a Prefeitura do município de Angra é muito simples e fácil de solicitar. Contudo, é só clicar no botão Solicite e preencher o formulário para que nosso time de consultores possa entrar em contato.

Empréstimo Consignado Prefeitura Angra dos Reis + Vantagens

Conheça agora quais são as vantagens de se adquirir um empréstimo pela prefeitura da cidade de Angra.

  • Sem consulta aos órgãos de proteção do crédito SPC e SERASA
  • Prazos estendidos para efetuar o pagamento
  • Parcelas fixas
  • Desconto direto na folha de pagamento
  • Taxas de juros muito atraentes
  • Sem cobrança de TAC
  • Valor máximo liberado: R$ 7.500,00

Regulamentação

O empréstimo Consignado é uma linha de crédito regulamentada e atende a lei 10.820 de 17 de Dezembro de 2003. Contudo, a regulamentação sobre o empréstimo consignado foi recentemente atualizada através da resolução 722 em 20 de Fevereiro de 2015. Ademais, essa lei que define além de prazos e condições, as obrigações entre as partes.

Margem consignável

  • Margem de Consignação: 30% (trinta por cento)
  • No entanto, a margem deve estar POSITIVA em pelo R$0,01 (um centavo).
  • A margem ZERADA no sistema significa MARGEM NEGATIVA. No entanto, para este caso, o cálculo deverá ser manual para identificar o real valor (negativo) da margem.

Documentos Necessários

  • RG ou CNH
  • CPF
  • Comprovante de residência atualizado
  • Último contracheque

Ademais, a apresentação de todos os documentos de forma legível e dentro dos prazos de validade ajudam a agilizar seu empréstimo.

Consignado Prefeitura de Salvador

Salvador está localizado na região nordeste do país e é a capital do estado da Bahia. Salvador foi a primeira capital do Brasil. Seu primeiro nome foi São Salvador da Bahia de todos os Santos. A cidade também entrou no Guiness Book (O livro dos Recordes) como o maior carnaval de rua do mundo. Contudo, o município possui o bairro do Pelourinho, famoso pela sua arquitetura colonial portuguesa com monumentos históricos do século 17 até o início do século 20.

O consignado oferecido pela prefeitura de Salvador, incentiva o funcionário público a adquirir um empréstimo com desconto em folha e taxas de juros justas.

Ademais, o empréstimo para a Prefeitura do município de Dourados é muito simples e fácil de solicitar. Contudo, é só clicar no botão Solicite e preencher o formulário para que nosso time de consultores possa entrar em contato.

Empréstimo Consignado Prefeitura Salvador + Vantagens

Conheça agora quais são as vantagens de se adquirir um empréstimo pela prefeitura do município de Salvador.

  • Não há consulta aos órgãos SPC e SERASA
  • Prazos estendidos para pagar
  • Parcelas fixas
  • Desconto direto na folha de pagamento
  • Taxas de juros competitivas
  • Não possui cobrança de TAC
  • Valor máximo liberado: R$ 13.500,00

Regulamentação

O empréstimo Consignado é uma linha de crédito regulamentada e atende a lei 10.820 de 17 de Dezembro de 2003. Contudo, a regulamentação sobre o empréstimo consignado foi recentemente atualizada através da resolução 722 em 20 de Fevereiro de 2015. Ademais, essa lei que define além de prazos e condições, as obrigações entre as partes.

Margem consignável

  • Margem de Consignação: 30% (trinta por cento)
  • No entanto, a margem deve estar POSITIVA em pelo R$0,01 (um centavo).
  • A margem ZERADA no sistema significa MARGEM NEGATIVA. No entanto, para este caso, o cálculo deverá ser manual para identificar o real valor (negativo) da margem.

Documentos Necessários

  • Registro Geral (RG) ou Carteira Nacional de Habilitação (CNH)
  • Cadastro de Pessoa Física (CPF)
  • Comprovante de endereço atualizado
  • Último comprovante de renda

Ademais, a apresentação de todos os documentos de forma legível e dentro dos prazos de validade ajudam a agilizar seu empréstimo.

Consignado Prefeitura de Saquarema

Saquarema é uma cidade litorânea do estado do Rio de Janeiro. O município é conhecido como a capital nacional do Surfe. Sua ecologia é maravilhosa, na qual podemos destacar suas belas praias, lagoas, cachoeiras e montanhas. Contudo, na cidade é realizada a celebração mais antiga do Círio de Nazaré. Saquarema tem como padroeira Nossa Senhora do Nazaré. A cidade também é conhecida como A casa do Voleyball Brasileiro, pois a confederação tem sua sede instalada na bela Saquarema.

E empréstimo consignado oferecido pela Prefeitura da cidade de Saquarema visa auxiliar os servidores públicos a adquirirem os bens que necessitam. Confira quais são os benefícios desse empréstimo abaixo:

Ademais, o empréstimo para a Prefeitura do município de Dourados é muito simples e fácil de solicitar. Contudo, é só clicar no botão Solicite e preencher o formulário para que nosso time de consultores possa entrar em contato.

Empréstimo Consignado Prefeitura Saquarema + Vantagens

Conheça agora quais são as vantagens de se adquirir um empréstimo pela prefeitura do município de Saquarema.

  • Sem consulta aos órgãos SPC e SERASA
  • Prazos mais largos para pagamento
  • Parcelas fixas
  • Desconto direto na folha de pagamento
  • Taxas de juros justas, se comparada as praticadas no mercado
  • Sem cobrança de TAC
  • Valor máximo liberado: R$ 7.500,00

Regulamentação

O empréstimo Consignado é uma linha de crédito regulamentada e atende a lei 10.820 de 17 de Dezembro de 2003. Contudo, a regulamentação sobre o empréstimo consignado foi recentemente atualizada através da resolução 722 em 20 de Fevereiro de 2015. Ademais, essa lei que define além de prazos e condições, as obrigações entre as partes.

Margem consignável

  • Margem de Consignação: 30% (trinta por cento)
  • No entanto, a margem deve estar POSITIVA em pelo R$0,01 (um centavo).
  • A margem ZERADA no sistema significa MARGEM NEGATIVA. No entanto, para este caso, o cálculo deverá ser manual para identificar o real valor (negativo) da margem.

Documentos Necessários

  • RG ou Carteira Nacional de Habilitação
  • Cadastro de Pessoa Física (CPF)
  • Comprovante de residência atual
  • Último comprovante de rendimento

Ademais, a apresentação de todos os documentos de forma legível e dentro dos prazos de validade ajudam a agilizar seu empréstimo.

Empréstimo Consignado Prefeitura Ipatinga

Ipatinga é uma cidade localizada no interior do estado de Minas Gerais. É o décimo município mais populoso do estado mineiro. Sua fama de capital do aço não é em vão, pois está localizada na região metropolitana do vale do aço. Em 2012, o SEBRAE apontou a cidade de Ipatinga como o sétimo melhor município mineiro para iniciar uma empresa. Esse apontamento se deve ao fato de sua privilegiada localização e acesso aos demais cidades pertencentes ao Vale do Aço.

O empréstimo que a prefeitura de Ipatinga oferece aos seus servidores públicos está repleta de informações vantajosas. Veja quais são essas informações abaixo:

Ademais, o empréstimo para a Prefeitura do município de Dourados é muito simples e fácil de solicitar. Contudo, é só clicar no botão Solicite e preencher o formulário para que nosso time de consultores possa entrar em contato.

Empréstimo Consignado Prefeitura Ipatinga + Vantagens

Conheça agora quais são as vantagens de se adquirir um empréstimo pela prefeitura da cidade de Ipatinga.

  • Sem consulta ao SPC e ao SERASA
  • Prazos maiores para pagamento
  • Parcelas fixas
  • Desconto direto na folha de pagamento
  • Taxas de juros justas, se comparada as praticadas no mercado
  • Não possui TAC
  • Valor máximo liberado: R$ 25.000,00

Regulamentação

O empréstimo Consignado é uma linha de crédito regulamentada e atende a lei 10.820 de 17 de Dezembro de 2003. Contudo, a regulamentação sobre o empréstimo consignado foi recentemente atualizada através da resolução 722 em 20 de Fevereiro de 2015. Ademais, essa lei que define além de prazos e condições, as obrigações entre as partes.

Margem consignável

  • Margem de Consignação: 30% (trinta por cento)
  • No entanto, a margem deve estar POSITIVA em pelo R$0,01 (um centavo).
  • A margem ZERADA no sistema significa MARGEM NEGATIVA. No entanto, para este caso, o cálculo deverá ser manual para identificar o real valor (negativo) da margem.

Documentos Necessários

  • Registro Geral (RG) ou Carteira Nacional de Habilitação (CNH)
  • CPF
  • Comprovante de endereço aturalizado
  • Último comprovante de renda

Ademais, a apresentação de todos os documentos de forma legível e dentro dos prazos de validade ajudam a agilizar seu empréstimo.

Empréstimo Consignado Prefeitura Dourados

Dourados é uma cidade brasileira localizada no estado do Mato Grosso do Sul, região centro-oeste do Brasil. O município está localizado entre a Serra do Maracaju e a bacia do Rio Paraná. Sua bebida típica é o Tererê, que é feita com erva-mate em água fria. Normalmente essa bebida é consumida com limão ou hortelã. Contudo, Dourados mantém o 3º maior PIB dentre as cidades do estado do Mato Grosso do Sul.

Fazer um empréstimo consignado é o desejo de muitos servidores, pois o desconto é realizado diretamente na folha do benefício, não atrapalhando em nada a vida financeira do funcionário público. A prefeitura da cidade de Dourados oferece aos seus servidores públicos essa chance de mudar de vida para melhor, através do empréstimo.

Ademais, o empréstimo para a Prefeitura do município de Dourados é muito simples e fácil de solicitar. Contudo, é só clicar no botão Solicite e preencher o formulário para que nosso time de consultores possa entrar em contato.

Empréstimo Consignado Prefeitura Dourados + Vantagens

Conheça agora quais são as vantagens de se adquirir um empréstimo pela prefeitura da cidade de Dourados.

  • Não haverá consulta ao SPC e ao SERASA
  • Prazos estendidos para pagamento
  • Parcelas fixas
  • Desconto direto na folha de pagamento
  • Taxas de juros atraentes
  • Sem cobrança de TAC
  • Valor máximo liberado: R$ 11.900,00

Regulamentação

O empréstimo Consignado é uma linha de crédito regulamentada e atende a lei 10.820 de 17 de Dezembro de 2003. Contudo, a regulamentação sobre o empréstimo consignado foi recentemente atualizada através da resolução 722 em 20 de Fevereiro de 2015. Ademais, essa lei que define além de prazos e condições, as obrigações entre as partes.

Margem consignável

  • Margem de Consignação: 30% (trinta por cento)
  • No entanto, a margem deve estar POSITIVA em pelo R$0,01 (um centavo).
  • A margem ZERADA no sistema significa MARGEM NEGATIVA. No entanto, para este caso, o cálculo deverá ser manual para identificar o real valor (negativo) da margem.

Documentos Necessários

  • RG ou CNH
  • Cadastro de Pessoa Física (CPF)
  • Comprovante de residência
  • Último comprovante de rendimento

Ademais, a apresentação de todos os documentos de forma legível e dentro dos prazos de validade ajudam a agilizar seu empréstimo.

Empréstimo Consignado Prefeitura Itu

Itu é uma cidade situada no interior do estado de São Paulo. A cidade situa-se na região metropolitana de Sorocaba. Sua população é formada por descendentes de imigrantes japoneses, portugueses, italianos, além de migrantes de outras regiões do nosso país. Itu é famosa por diversos objetos serem bem maiores do que estamos habituados em ver. Atualmente, a cidade tem 408 anos.

O empréstimo consignado ofertado para os servidores públicos da prefeitura da cidade de itu, visa proporcionar a solução para quem precisa trocar de carro, fazer reformas na casa ou ainda precisa viajar.

Ademais, o empréstimo para a Prefeitura da cidade de Itu é muito simples e fácil de solicitar. Contudo, é só clicar no botão Solicite e preencher o formulário para que nosso time de consultores possa entrar em contato.

Empréstimo Consignado Prefeitura Itu + Vantagens

Conheça agora quais são as vantagens de se adquirir um empréstimo pela prefeitura do município de Itu.

  • Sem consulta ao SPC e SERASA
  • Prazos diferenciados para pagamento
  • Parcelas fixas
  • Desconto direto na folha de pagamento
  • Taxas de juros baixas
  • Não possui TAC

Regulamentação

O empréstimo Consignado é uma linha de crédito regulamentada e atende a lei 10.820 de 17 de Dezembro de 2003. Contudo, a regulamentação sobre o empréstimo consignado foi recentemente atualizada através da resolução 722 em 20 de Fevereiro de 2015. Ademais, essa lei que define além de prazos e condições, as obrigações entre as partes.

Margem consignável

  • Margem de Consignação: 30% (trinta por cento)
  • No entanto, a margem deve estar POSITIVA em pelo R$0,01 (um centavo).
  • A margem ZERADA no sistema significa MARGEM NEGATIVA. No entanto, para este caso, o cálculo deverá ser manual para identificar o real valor (negativo) da margem.

Documentos Necessários

  • Registro Geral (RG) ou Carteira Nacional de Habilitação (CNH)
  • CPF
  • Comprovante de endereço
  • Último comprovante de renda

Ademais, a apresentação de todos os documentos de forma legível e dentro dos prazos de validade ajudam a agilizar seu empréstimo.

Consignado Prefeitura Várzea Paulista

Várzea Paulista é uma cidade situada no estado de São Paulo. É um município pertencente a Aglomeração Urbana da cidade de Jundiaí. A cidade de Várzea Paulista iniciou a sua história em 1867, quando os ingleses construíram os trilhos do trem que liga Santos a Jundiaí. Somente em 21 de Março de 1965, que houve a fundação e Várzea Paulista passou a ser uma cidade.

O empréstimo consignado Prefeitura Várzea Paulista é uma excelente oportunidade para que os servidores públicos possam comprar o bem ou o produto que quiserem.

Ademais, o empréstimo para a Prefeitura da cidade de Várzea Paulista é muito simples e fácil de solicitar. Contudo, é só clicar no botão Solicite e preencher o formulário para que nosso time de consultores possa entrar em contato.

Consignado Prefeitura Várzea Paulista + Vantagens para Você

Conheça agora quais são as vantagens de se adquirir um empréstimo pela prefeitura do município de Várzea Paulista.

  • Não haverá consulta aos órgãos de proteção ao crédito SPC e SERASA
  • Prazos mais longos para pagamento
  • Parcelas fixas
  • Desconto direto na folha de pagamento
  • Taxas de juros competitivas
  • Sem cobrança de TAC

Regulamentação

O empréstimo Consignado é uma linha de crédito regulamentada e atende a lei 10.820 de 17 de Dezembro de 2003. Contudo, a regulamentação sobre o empréstimo consignado foi recentemente atualizada através da resolução 722 em 20 de Fevereiro de 2015. Ademais, essa lei que define além de prazos e condições, as obrigações entre as partes.

Margem consignável

  • Margem de Consignação: 30% (trinta por cento)
  • No entanto, a margem deve estar POSITIVA em pelo R$0,01 (um centavo).
  • A margem ZERADA no sistema significa MARGEM NEGATIVA. No entanto, para este caso, o cálculo deverá ser manual para identificar o real valor (negativo) da margem.

Documentos Necessários

  • RG ou CNH
  • Cadastro de Pessoa Física (CPF)
  • Comprovante de endereço atual
  • Último contracheque

Ademais, a apresentação de todos os documentos de forma legível e dentro dos prazos de validade ajudam a agilizar seu empréstimo.

Empréstimo Consignado Prefeitura Itanhaém

Itanhaém é um município localizado no litoral de São Paulo. A cidade faz parte da Baixada Santista. Itanhaém tem 486 anos. Com isso, é a segunda cidade mais antiga do Brasil. O município é conhecido como “A Namorada do Sol” e “Amazônia Paulista”. Além de suas praias, Itanhaém possui passeios de barco no rio e em alto-mar. No entanto, é um excelente local para fazer trilha.

O empréstimo consignado é uma grande oportunidade de adquirir o produto ou bem que você quiser com a vantagem do desconto ser diretamente na folha de pagamento. A Prefeitura de Itanhaém oferece esse empréstimo com diversos benefícios aos seus servidores.

Ademais, o empréstimo para a Prefeitura do município de Itanhaém é muito simples e fácil de solicitar. Contudo, é só clicar no botão Solicite e preencher o formulário para que nosso time de consultores possa entrar em contato.

Empréstimo Consignado Prefeitura Itanhaém + Vantagens

Conheça agora quais são as vantagens de se adquirir um empréstimo pela prefeitura da cidade de Itanhaém.

  • Sem consulta aos órgãos SPC e SERASA
  • Prazos maiores para pagar
  • Parcelas fixas
  • Desconto direto na folha de pagamento
  • Taxas de juros menores do que as praticadas no mercado
  • Sem necessidade de cobrança de TAC

Regulamentação

O empréstimo Consignado é uma linha de crédito regulamentada e atende a lei 10.820 de 17 de Dezembro de 2003. Contudo, a regulamentação sobre o empréstimo consignado foi recentemente atualizada através da resolução 722 em 20 de Fevereiro de 2015. Ademais, essa lei que define além de prazos e condições, as obrigações entre as partes.

Margem consignável

  • Margem de Consignação: 30% (trinta por cento)
  • No entanto, a margem deve estar POSITIVA em pelo R$0,01 (um centavo).
  • A margem ZERADA no sistema significa MARGEM NEGATIVA. No entanto, para este caso, o cálculo deverá ser manual para identificar o real valor (negativo) da margem.

Documentos Necessários

  • Registro Geral (RG) ou Carteira Nacional de Habilitação (CNH)
  • Cadastro de Pessoa Física (CPF)
  • Comprovante de residência
  • Último contracheque

Ademais, a apresentação de todos os documentos de forma legível e dentro dos prazos de validade ajudam a agilizar seu empréstimo.

Empréstimo Consignado Prefeitura Olímpia

Olímpia é uma cidade localizada no interior do estado de São Paulo. Conhecida como a Capital Nacional do Folclore, no qual diversos grupos de várias localidades do Brasil se reúnem para apresentarem danças típicas de suas regiões. Essa festa é anual e é a maior e mais importante manifestação folclórica do país. Contudo, a cidade ainda possui um museu de história e folclore chamado Maria Olímpia, no qual possui um acervo com mais de 3 mil peças.

O empréstimo consignado que a Prefeitura de Olímpia oferece aos seus funcionários possui desconto direto na folha de pagamento. Veja quais são os benefícios abaixo: 

Ademais, o empréstimo para a Prefeitura da cidade de Olímpia é muito simples e fácil de solicitar. Contudo, é só clicar no botão Solicite e preencher o formulário para que nosso time de consultores possa entrar em contato.

Empréstimo Consignado Prefeitura Olímpia + Vantagens para você

Conheça agora quais são as vantagens de se adquirir um empréstimo pela prefeitura do município de Olímpia.

  • Sem necessidade de consulta aos órgãos SPC e SERASA
  • Prazos extensos para pagar
  • Parcelas fixas
  • Desconto direto na folha de pagamento
  • Taxas de juros justas
  • Sem cobrança de TAC

Regulamentação

O empréstimo Consignado é uma linha de crédito regulamentada e atende a lei 10.820 de 17 de Dezembro de 2003. Contudo, a regulamentação sobre o empréstimo consignado foi recentemente atualizada através da resolução 722 em 20 de Fevereiro de 2015. Ademais, essa lei que define além de prazos e condições, as obrigações entre as partes.

Margem consignável

  • Margem de Consignação: 30% (trinta por cento)
  • No entanto, a margem deve estar POSITIVA em pelo R$0,01 (um centavo).
  • A margem ZERADA no sistema significa MARGEM NEGATIVA. No entanto, para este caso, o cálculo deverá ser manual para identificar o real valor (negativo) da margem.

Documentos Necessários

  • Registro Geral (RG) ou Carteira Nacional de Habilitação (CPF)
  • CPF
  • Comprovante de endereço
  • Último comprovante de renda

Ademais, a apresentação de todos os documentos de forma legível e dentro dos prazos de validade ajudam a agilizar seu empréstimo.

Empréstimo Consignado Prefeitura Canoas

Canoas é uma cidade do interior do estado do Rio Grande do Sul. A cidade fica próxima da capital do estado, Porto Alegre. Canoas recebeu este nome devido à confecção de canoas em 1874. Essa confecção fez a população aumentar consideravelmente. Canoas possui alguns dos maiores pólos universitários tais como Instituto Federal do Rio Grande do Sul (IFRS), IPUC, entre outros.

O empréstimo consignado é uma excelente oportunidade para que o servidor da Prefeitura de Canoas tenha a oportunidade de adquirir o bem que quiser. Veja quais são os benefícios em adquirir o empréstimo abaixo:

Ademais, o empréstimo para a Prefeitura de Canoas é muito simples e fácil de solicitar. Contudo, é só clicar no botão Solicite e preencher o formulário para que nosso time de consultores possa entrar em contato.

Empréstimo Consignado Prefeitura Canoas + Vantagens para você

Conheça agora quais são as vantagens de se adquirir um empréstimo pela prefeitura do município de Canoas.

  • Sem consulta aos órgãos SPC e SERASA
  • Prazos diferenciados para pagamento
  • Parcelas fixas
  • Desconto direto na folha de pagamento
  • Taxas de juros bem atrativas
  • Não possui TAC

Regulamentação

O empréstimo Consignado é uma linha de crédito regulamentada e atende a lei 10.820 de 17 de Dezembro de 2003. Contudo, a regulamentação sobre o empréstimo consignado foi recentemente atualizada através da resolução 722 em 20 de Fevereiro de 2015. Ademais, essa lei que define além de prazos e condições, as obrigações entre as partes.

Margem consignável

  • Margem de Consignação: 30% (trinta por cento)
  • No entanto, a margem deve estar POSITIVA em pelo R$0,01 (um centavo).
  • A margem ZERADA no sistema significa MARGEM NEGATIVA. No entanto, para este caso, o cálculo deverá ser manual para identificar o real valor (negativo) da margem.

Documentos Necessários

  • Registro Geral (RG) ou Carteira Nacional de Habilitação
  • Cadastro de Pessoa Física (CPF)
  • Comprovante de residência atualizado
  • Último comprovante de renda

Ademais, a apresentação de todos os documentos de forma legível e dentro dos prazos de validade ajudam a agilizar seu empréstimo.

Empréstimo Consignado Prefeitura Barretos

Barretos é uma cidade localizada no interior do estado de São Paulo.Fica nos arredores de Ribeirão Preto. Barretos é conhecida em todo o Brasil pela sua festa do peão de boiadeiro. Contudo, essa é a maior festa de rodeio do país. Fundada em 1854, a cidade era chamada de Espírito Santo de Barretos. Somente em 1906, que a cidade passou a se chamar Barretos.

O crédito do empréstimo ofertado aos servidores públicos da cidade de Barretos poderá ser usado para adquirir algum produto, fazer viagens, pagar dívidas ou emprestar para algum familiar. Quem decide o destino do crédito é você, servidor. 

Ademais, o empréstimo para a Prefeitura de Barretos é muito simples e fácil de solicitar. Contudo, é só clicar no botão Solicite e preencher o formulário para que nosso time de consultores possa entrar em contato.

Consignado Prefeitura Barretos + Vantagens para você

Conheça agora quais são as vantagens de se adquirir um empréstimo pela prefeitura da cidade de Barretos.

  • Não haverá consulta aos órgãos de proteção ao crédito SPC e SERASA
  • Prazos flexíveis para pagar
  • Parcelas fixas
  • Desconto na folha de pagamento
  • Taxas de juros menores
  • Sem cobrança de TAC

Regulamentação

O empréstimo Consignado é uma linha de crédito regulamentada e atende a lei 10.820 de 17 de Dezembro de 2003. Contudo, a regulamentação sobre o empréstimo consignado foi recentemente atualizada através da resolução 722 em 20 de Fevereiro de 2015. Ademais, essa lei que define além de prazos e condições, as obrigações entre as partes.

Margem consignável

  • Margem de Consignação: 30% (trinta por cento)
  • No entanto, a margem deve estar POSITIVA em pelo R$0,01 (um centavo).
  • A margem ZERADA no sistema significa MARGEM NEGATIVA. No entanto, para este caso, o cálculo deverá ser manual para identificar o real valor (negativo) da margem.

Documentos Necessários

  • Registro Geral (RG) ou Carteira de Habilitação
  • Cadastro de Pessoa Física (CPF)
  • Comprovante de residência
  • Último comprovante de rendimento

Ademais, a apresentação de todos os documentos de forma legível e dentro dos prazos de validade ajudam a agilizar seu empréstimo.

Consignado Prefeitura Praia Grande

Praia Grande é uma cidade localizada no litoral do estado de São Paulo. O município pertence a Região Metropolitana da Baixada Santista. Sua economia é baseada quase que totalmente no turismo, como também nas prestação de serviço e comércio. Falando em prestação de serviço, a cidade lidera em número de formalizações de MEI (Micro Empreendedores individuais)

No empréstimo consignado, o servidor público da Prefeitura do município de Praia Grande receberá o crédito a vista. O valor das parcelas será automaticamente descontado da sua folha de pagamento. O servidor poderá usar o dinheiro para o que quiser.

Ademais, o empréstimo para a Prefeitura de Praia Grande é muito simples e fácil de solicitar. Contudo, é só clicar no botão Solicite e preencher o formulário para que nosso time de consultores possa entrar em contato.

Consignado Prefeitura Praia Grande + Vantagens para você

Conheça agora quais são as vantagens de se adquirir um empréstimo pela prefeitura do município de Praia Grande.

  • Sem consulta aos órgãos de proteção ao crédito SPC e SERASA
  • Prazos mais longos para efetuar o pagamento
  • Parcelas fixas
  • Desconto direto na folha de pagamento
  • Taxas de juros bem atraentes
  • Não possui TAC

Regulamentação

O empréstimo Consignado é uma linha de crédito regulamentada e atende a lei 10.820 de 17 de Dezembro de 2003. Contudo, a regulamentação sobre o empréstimo consignado foi recentemente atualizada através da resolução 722 em 20 de Fevereiro de 2015. Ademais, essa lei que define além de prazos e condições, as obrigações entre as partes.

Margem consignável

  • Margem de Consignação: 30% (trinta por cento)
  • No entanto, a margem deve estar POSITIVA em pelo R$0,01 (um centavo).
  • A margem ZERADA no sistema significa MARGEM NEGATIVA. No entanto, para este caso, o cálculo deverá ser manual para identificar o real valor (negativo) da margem.

Documentos Necessários

  • RG ou CNH
  • Cadastro de Pessoa Física (CPF)
  • Comprovante de residência atualizado
  • Último comprovante de rendimento

Ademais, a apresentação de todos os documentos de forma legível e dentro dos prazos de validade ajudam a agilizar seu empréstimo.

Empréstimo Consignado Prefeitura Assis

Assis é um município localizado no interior do estado de São Paulo. A cidade de Assis possui algumas nomenclaturas como por exemplo: Cidade Fraternal e Cidade do Software e da Tecnologia. Não é para menos, pois ali estão instaladas empresas de Software, tais como Vivo, Cabonnet, InfoAssis, Olá Telecom, entre outras. Sua economia é quase que inteiramente concentrada no setor de comércio e serviços.

Empréstimo Consignado é uma modalidade na qual o servidor público da Prefeitura de Assis poderá utilizar o crédito para adquirir um novo carro, fazer uma reforma na casa ou ainda realizar a viagem dos seus sonhos.

Ademais, o empréstimo para a Prefeitura de Assis é muito simples e fácil de solicitar. Contudo, é só clicar no botão Solicite e preencher o formulário para que nosso time de consultores possa entrar em contato.

Empréstimo Consignado Prefeitura Assis + Vantagens

Conheça agora quais são as vantagens de se adquirir um empréstimo pela prefeitura da cidade de Assis.

  • Sem consulta aos órgãos de proteção ao crédito SPC e SERASA
  • Prazos mais longos para efetuar o pagamento
  • Parcelas fixas
  • Desconto na folha de pagamento
  • Taxas de juros justas
  • Sem cobrança de TAC

Regulamentação

O empréstimo Consignado é uma linha de crédito regulamentada e atende a lei 10.820 de 17 de Dezembro de 2003. Contudo, a regulamentação sobre o empréstimo consignado foi recentemente atualizada através da resolução 722 em 20 de Fevereiro de 2015. Ademais, essa lei que define além de prazos e condições, as obrigações entre as partes.

Margem consignável

  • Margem de Consignação: 30% (trinta por cento)
  • No entanto, a margem deve estar POSITIVA em pelo R$0,01 (um centavo).
  • A margem ZERADA no sistema significa MARGEM NEGATIVA. No entanto, para este caso, o cálculo deverá ser manual para identificar o real valor (negativo) da margem.

Documentos Necessários

  • Registro Geral (RG) ou Carteira Nacional de Habilitação (CNH)
  • Cadastro de Pessoa Física (CPF)
  • Comprovante de endereço atual
  • Último comprovante de renda

Ademais, a apresentação de todos os documentos de forma legível e dentro dos prazos de validade ajudam a agilizar seu empréstimo.

Empréstimo Consignado Prefeitura Palmas

Palmas é um município localizado na região Norte. Conhecida como a mais brasileira das capitais, Palmas nasceu e foi projetada para ser a capital do estado do Tocantins. Com isso, se tornou a mais nova capital estadual do país. Possui a melhor qualidade de vida entre as capitais e municípios do norte. Seu crescimento ocorreu na década de 1990.

O empréstimo consignado é uma grande oportunidade de mudar de vida pagando suas dívidas, trocando o carro, reformando a casa, fazendo viagens, etc, … Você, que é servidor da Prefeitura de Palmas, não perca essa oportunidade.

Ademais, o empréstimo para a Prefeitura de Palmas é muito simples e fácil de solicitar. Contudo, é só clicar no botão Solicite e preencher o formulário para que nosso time de consultores possa entrar em contato.

Empréstimo Consignado Prefeitura Palmas + Vantagens

Conheça agora quais são as vantagens de se adquirir um empréstimo pela prefeitura do município de Palmas.

  • Sem consulta aos órgãos SPC e SERASA
  • Prazos mais longos para pagamento
  • Parcelas fixas
  • Desconto direto na folha de pagamento
  • Taxas de juros reduzidas
  • Não possui cobrança de TAC
  • Libera até R$ 25.000,00

Regulamentação

O empréstimo Consignado é uma linha de crédito regulamentada e atende a lei 10.820 de 17 de Dezembro de 2003. Contudo, a regulamentação sobre o empréstimo consignado foi recentemente atualizada através da resolução 722 em 20 de Fevereiro de 2015. Ademais, essa lei que define além de prazos e condições, as obrigações entre as partes.

Margem consignável

  • Margem de Consignação: 30% (trinta por cento)
  • No entanto, a margem deve estar POSITIVA em pelo R$0,01 (um centavo).
  • A margem ZERADA no sistema significa MARGEM NEGATIVA. No entanto, para este caso, o cálculo deverá ser manual para identificar o real valor (negativo) da margem.

Documentos Necessários

  • Registro Geral (RG) ou Carteira Nacional de Habilitação (CNH)
  • CPF
  • Comprovante de residência atualizado
  • Último contracheque

Ademais, a apresentação de todos os documentos de forma legível e dentro dos prazos de validade ajudam a agilizar seu empréstimo.

Empréstimo Consignado Prefeitura Manaus

Manaus é a capital do estado do Amazonas. A cidade é um dos maiores destinos turísticos do país. Sua fundação ocorreu em 24/10/1669. No início do século XX, Manaus ficou conhecida como a Paris dos Trópicos, devido a sua modernização durante a época de borracha. A cidade de Manaus ocupa o 7º lugar dentre as cidades mais populosas do país.

O consignado é uma ótima oportunidade que o servidor da prefeitura de Manaus tem para poder quitar uma dívida, trocar de carro, emprestar dinheiro para familiares, etc, …

Ademais, o empréstimo para a Prefeitura de Manaus é muito simples e fácil de solicitar. Contudo, é só clicar no botão Solicite e preencher o formulário para que nosso time de consultores possa entrar em contato.

Empréstimo Consignado Prefeitura Manaus + Vantagens

Conheça agora quais são as vantagens de se adquirir um empréstimo pela prefeitura do município de Manaus.

  • Sem consulta aos órgãos de proteção ao crédito SPC e SERASA
  • Prazos flexíveis para pagar
  • Parcelas fixas
  • Desconto direto na folha de pagamento
  • Taxas de juros reduzidas
  • Sem cobrança TAC
  • Libera até R$ 20.000,00

Regulamentação

O empréstimo Consignado é uma linha de crédito regulamentada e atende a lei 10.820 de 17 de Dezembro de 2003. Contudo, a regulamentação sobre o empréstimo consignado foi recentemente atualizada através da resolução 722 em 20 de Fevereiro de 2015. Ademais, essa lei que define além de prazos e condições, as obrigações entre as partes.

Margem consignável

  • Margem de Consignação: 30% (trinta por cento)
  • No entanto, a margem deve estar POSITIVA em pelo R$0,01 (um centavo).
  • A margem ZERADA no sistema significa MARGEM NEGATIVA. No entanto, para este caso, o cálculo deverá ser manual para identificar o real valor (negativo) da margem.

Documentos Necessários

  • Registro Geral (RG) ou Carteira Nacional de Habilitação (CNH)
  • Cadastro de Pessoa Física (CPF)
  • Comprovante de endereço atualizado
  • Último comprovante de rendimento

Ademais, a apresentação de todos os documentos de forma legível e dentro dos prazos de validade ajudam a agilizar seu empréstimo.

Empréstimo Consignado Prefeitura Uberlândia

Uberlândia é uma cidade situada no interior do estado de Minas Gerais. Contudo, é o 12º município mais populoso do Brasil. Sua fundação é datada de 31/08/1888. A prefeitura disponibiliza escolinhas de esportes no município. As modalidades oferecidas são: voleibol, basquete, handebol, futsal, natação, futebol, karatê, judô e atletismo.

O consignado ofertado para os servidores públicos da prefeitura de Uberlândia consiste em fazer um empréstimo no qual o funcionário poderá trocar de carro, reformar a casa, realizar uma viagem, etc, …

Ademais, o empréstimo para a Prefeitura de Uberlândia é muito simples e fácil de solicitar. Contudo, é só clicar no botão Solicite e preencher o formulário para que nosso time de consultores possa entrar em contato.

Empréstimo Consignado Prefeitura Uberlândia + Vantagens

Conheça agora quais são as vantagens de se adquirir um empréstimo pela prefeitura da cidade de Uberlândia.

  • Não haverá consulta aos órgãos de proteção ao crédito SPC e SERASA
  • Prazos extensos para efetuar o pagamento
  • Parcelas fixas
  • Desconto direto na folha de pagamento
  • Taxas de juros atraentes
  • Sem cobrança TAC
  • Libera até R$ 22.500,00

Regulamentação

O empréstimo Consignado é uma linha de crédito regulamentada e atende a lei 10.820 de 17 de Dezembro de 2003. Contudo, a regulamentação sobre o empréstimo consignado foi recentemente atualizada através da resolução 722 em 20 de Fevereiro de 2015. Ademais, essa lei que define além de prazos e condições, as obrigações entre as partes.

Margem consignável

  • Margem de Consignação: 30% (trinta por cento)
  • No entanto, a margem deve estar POSITIVA em pelo R$0,01 (um centavo).
  • A margem ZERADA no sistema significa MARGEM NEGATIVA. No entanto, para este caso, o cálculo deverá ser manual para identificar o real valor (negativo) da margem.

Documentos Necessários

  • Registro Geral (RG) ou CNH
  • Cadastro de Pessoa Física (CPF)
  • Comprovante de endereço atual
  • Último comprovante de renda

Ademais, a apresentação de todos os documentos de forma legível e dentro dos prazos de validade ajudam a agilizar seu empréstimo.

Consignado Prefeitura Francisco Morato

O município de Francisco Morato fica localizado na região metropolitana de São Paulo. Morato, como é conhecido pelos seus habitantes, surgiu na segunda metade do século 19 sob o nome de Povoado de Vila Belém. Nasceu como distrito de Franco de Rocha e teve sua emancipação em 21/03/1965. Após a emancipação, a cidade foi obrigada a mudar de nome e o nome sugerido foi Francisco Morato, famoso político, advogado e professor da Faculdade de Direito do Largo São Francisco, em São Paulo.

O empréstimo oferecido aos servidores públicos da Prefeitura de Francisco Morato, visa realizar os sonhos dos seus funcionários com excelentes taxas de juros.

Ademais, o empréstimo para a Prefeitura de Francisco Morato é muito simples e fácil de solicitar. Contudo, é só clicar no botão Solicite e preencher o formulário para que nosso time de consultores possa entrar em contato.

Consignado Prefeitura Francisco Morato + Vantagens

Conheça agora quais são as vantagens de se adquirir um empréstimo pela prefeitura do município de Francisco Morato:

  • Sem consulta ao SPC e SERASA
  • Prazos extensos para pagamento
  • Parcelas fixas
  • Desconto direto na folha de pagamento
  • Taxas de juros reduzidas
  • Sem cobrança de TAC

Regulamentação

O empréstimo Consignado é uma linha de crédito regulamentada e atende a lei 10.820 de 17 de Dezembro de 2003. Contudo, a regulamentação sobre o empréstimo consignado foi recentemente atualizada através da resolução 722 em 20 de Fevereiro de 2015. Ademais, essa lei que define além de prazos e condições, as obrigações entre as partes.

Margem consignável

  • Margem de Consignação: 30% (trinta por cento)
  • No entanto, a margem deve estar POSITIVA em pelo R$0,01 (um centavo).
  • A margem ZERADA no sistema significa MARGEM NEGATIVA. No entanto, para este caso, o cálculo deverá ser manual para identificar o real valor (negativo) da margem.

Documentos Necessários

  • Registro Geral (RG) ou Carteira Nacional de Habilitação (CNH)
  • CPF
  • Comprovante de endereço atualizado
  • Último comprovante de renda

Ademais, a apresentação de todos os documentos de forma legível e dentro dos prazos de validade ajudam a agilizar seu empréstimo.

Empréstimo Consignado Prefeitura Franco da Rocha

Franco é um município localizado na região metropolitana da cidade de São Paulo. Tanto a cidade de Franco da Rocha quanto a estação de trem de Franco receberam este nome devido a inauguração do Hospital Psiquiátrico médico psiquiátrico Francisco Franco da Rocha. Anteriormente, tanto o hospital quanto a cidade era chamados de Juquery.

O consignado ofertado para os servidores públicos da prefeitura de Franco consiste em fazer um empréstimo no qual o funcionário poderá trocar de carro, reformar a casa, realizar uma viagem, etc, …

Ademais, o empréstimo para a Prefeitura de Franco da Rocha é muito simples e fácil de solicitar. Contudo, é só clicar no botão Solicite e preencher o formulário para que nosso time de consultores possa entrar em contato.

Consignado Prefeitura Franco da Rocha + Vantagens

Conheça agora quais são as vantagens de se adquirir um empréstimo pela prefeitura do município de Franco da Rocha:

  • Não haverá consulta aos órgãos de proteção ao crédito SPC e SERASA
  • Prazos mais longos para efetuar o pagamento
  • Parcelas fixas
  • Desconto direto na folha de pagamento
  • Taxas de juros reduzidas
  • Não possui TAC

Regulamentação

O empréstimo Consignado é uma linha de crédito regulamentada e atende a lei 10.820 de 17 de Dezembro de 2003. Contudo, a regulamentação sobre o empréstimo consignado foi recentemente atualizada através da resolução 722 em 20 de Fevereiro de 2015. Ademais, essa lei que define além de prazos e condições, as obrigações entre as partes.

Margem consignável

  • Margem de Consignação: 30% (trinta por cento)
  • No entanto, a margem deve estar POSITIVA em pelo R$0,01 (um centavo).
  • A margem ZERADA no sistema significa MARGEM NEGATIVA. No entanto, para este caso, o cálculo deverá ser manual para identificar o real valor (negativo) da margem.

Documentos Necessários

  • RG ou CNH
  • Cadastro de Pessoa Física
  • Comprovante de endereço atualizado
  • Último comprovante de rendimento

Ademais, a apresentação de todos os documentos de forma legível e dentro dos prazos de validade ajudam a agilizar seu empréstimo.

Empréstimo Consignado Prefeitura Araraquara

Araraquara é um município localizado no interior do estado de São Paulo. É comumente chamada de Morada do Sol. Araraquara está entre as cidades mais desenvolvidas do país nos quesitos qualidade de vida, saúde, educação e renda. É a maior produtora de laranja do Brasil e uma das maiores produtoras de cana de açúcar e café.

O empréstimo consignado oferecido para a prefeitura de Araraquara é destinado aos seus servidores públicos. Um grande benefício desse empréstimo é o seu prazo que é extenso.

Ademais, o empréstimo para a Prefeitura de Araraquara é muito simples e fácil de solicitar. Contudo, é só clicar no botão Solicite e preencher o formulário para que nosso time de consultores possa entrar em contato.

Empréstimo Consignado Prefeitura Araraquara + Vantagens

Conheça agora quais são as vantagens de se adquirir um empréstimo pela prefeitura da cidade de Araraquara:

  • Sem consulta aos órgãos de proteção ao crédito SPC e SERASA
  • Os prazos são mais longos para efetuar o pagamento
  • Parcelas fixas
  • Desconto direto na folha de pagamento
  • As taxas de Juros são atrativas
  • Sem cobrança de TAC

Regulamentação

O empréstimo Consignado é uma linha de crédito regulamentada e atende a lei 10.820 de 17 de Dezembro de 2003. Contudo, a regulamentação sobre o empréstimo consignado foi recentemente atualizada através da resolução 722 em 20 de Fevereiro de 2015. Ademais, essa lei que define além de prazos e condições, as obrigações entre as partes.

Margem consignável

  • Margem de Consignação: 30% (trinta por cento)
  • No entanto, a margem deve estar POSITIVA em pelo R$0,01 (um centavo).
  • A margem ZERADA no sistema significa MARGEM NEGATIVA. No entanto, para este caso, o cálculo deverá ser manual para identificar o real valor (negativo) da margem.

Documentos Necessários

  • Registro Geral (RG) ou Carteira Nacional de Habilitação (CNH)
  • CPF
  • Comprovante de endereço atualizado
  • Último comprovante de rendimento

Ademais, a apresentação de todos os documentos de forma legível e dentro dos prazos de validade ajudam a agilizar seu empréstimo.

Empréstimo Consignado Prefeitura Varginha

A cidade de Varginha está localizada no estado de Minhas Gerais. Em 1996, ficou mundialmente conhecida devido ao avistamento de um extraterrestre em um terreno. Varginha possui um dos principais centros de comércio e produção de café do mundo. Em 2011, a revista Veja apontou Varginha como a 7ª melhor cidade para se viver e investir do país.

O empréstimo consignado oferecido aos funcionários públicos da prefeitura de Varginha é uma excelente oportunidade para investir no seu negócio, para viajar, para comprar um carro, etc, …

Ademais, o empréstimo para a Prefeitura de Ribeirão Preto é muito simples e fácil de solicitar. Contudo, é só clicar no botão Solicite e preencher o formulário para que nosso time de consultores possa entrar em contato.

Consignado Prefeitura Varginha + Vantagens para Você

Conheça agora quais são as vantagens de se adquirir um empréstimo pela prefeitura da cidade de Varginha:

  • Sem consulta aos órgãos de proteção ao crédito SPC e SERASA
  • Prazos longos para efetuar pagamento
  • Parcelas fixas
  • Desconto será direto na folha de pagamento
  • Taxa de Juros reduzidas
  • Não possui TAC

Regulamentação

O empréstimo Consignado é uma linha de crédito regulamentada e atende a lei 10.820 de 17 de Dezembro de 2003. Contudo, a regulamentação sobre o empréstimo consignado foi recentemente atualizada através da resolução 722 em 20 de Fevereiro de 2015. Ademais, essa lei que define além de prazos e condições, as obrigações entre as partes.

Margem consignável

  • Margem de Consignação: 30% (trinta por cento)
  • No entanto, a margem deve estar POSITIVA em pelo R$0,01 (um centavo).
  • A margem ZERADA no sistema significa MARGEM NEGATIVA. No entanto, para este caso, o cálculo deverá ser manual para identificar o real valor (negativo) da margem.

Documentos Necessários

  • Registro Geral (RG) ou Carteira Nacional de Habilitação (CNH)
  • Cadastro de Pessoa Física (CPF)
  • Comprovante de residência atual
  • Último contracheque

Ademais, a apresentação de todos os documentos de forma legível e dentro dos prazos de validade ajudam a agilizar seu empréstimo.

Consignado Prefeitura Ribeirão Preto

Ribeirão Preto é uma cidade localizada no interior do estado de São Paulo. A bela Ribeirão Preto está entre os 30 maiores municípios do país. Contudo, sua fundação é datada de 1856. Em 201, Ribeirão Preto foi declarada como “Polo Tecnológico”, devido a diversos investimentos feitos na região nas áreas de Bioenergia e Tecnologia da Informação.

O Consignado da Prefeitura da cidade de Ribeirão Preto é um empréstimo direcionado aos funcionários da Prefeitura. Com ele,o servidor público poderá realizar uma viagem, pagar dívidas, trocar de carro, emprestar dinheiro para a família, etc, …

Ademais, o empréstimo para a Prefeitura de Ribeirão Preto é muito simples e fácil de solicitar. Contudo, é só clicar no botão Solicite e preencher o formulário para que nosso time de consultores possa entrar em contato.

Consignado Prefeitura Ribeirão Preto + Vantagens

Conheça agora quais são as vantagens de se adquirir um empréstimo pela prefeitura de Ribeirão Preto:

  • Não haverá consultas aos órgãos SPC e SERASA
  • Prazos estendidos para pagar
  • Parcelas fixas
  • Desconto na folha de pagamento
  • Taxa de Juros menores
  • Sem cobrança de TAC

Regulamentação

O empréstimo Consignado é uma linha de crédito regulamentada e atende a lei 10.820 de 17 de Dezembro de 2003. Contudo, a regulamentação sobre o empréstimo consignado foi recentemente atualizada através da resolução 722 em 20 de Fevereiro de 2015. Ademais, essa lei que define além de prazos e condições, as obrigações entre as partes.

Margem consignável

  • Margem de Consignação: 30% (trinta por cento)
  • No entanto, a margem deve estar POSITIVA em pelo R$0,01 (um centavo).
  • A margem ZERADA no sistema significa MARGEM NEGATIVA. No entanto, para este caso, o cálculo deverá ser manual para identificar o real valor (negativo) da margem.

Documentos Necessários

  • Registro Geral (RG) ou Carteira Nacional de Habilitação (CNH)
  • CPF
  • Comprovante de endereço atualizado
  • Último comprovante de renda

Ademais, a apresentação de todos os documentos de forma legível e dentro dos prazos de validade ajudam a agilizar seu empréstimo.

Empréstimo Consignado Prefeitura Fortaleza

Fortaleza é uma cidade situada no estado do Ceará, região Nordeste do Brasil. Conhecida por suas belas praias e pelas feiras a beira-mar. É em Fortaleza, capital do estado do Ceará, que está localizado o Beach Park, que é o maior parque aquático da América Latina. Contudo, a cidade possui 2 centros de eventos: Centro de Convenções de Fortaleza e Centro de Eventos do Ceará.

O consignado oferecido aos servidores da Prefeitura de Fortaleza é um empréstimo cujo maior benefício é sua taxa de juros atraente. Conheça outros benefícios logo abaixo:

Ademais, o empréstimo para a Prefeitura de Fortaleza é muito simples e fácil de solicitar. Contudo, é só clicar no botão Solicite e preencher o formulário para que nosso time de consultores possa entrar em contato.

Consignado Prefeitura Fortaleza + Vantagens para Você

Conheça agora quais são as vantagens de se adquirir o empréstimo pela prefeitura da cidade de Fortaleza:

  • Sem consulta aos órgão de proteção ao crédito SPC e SERASA
  • Prazo de até 72 vezes para efetuar o pagamento
  • Parcelas fixas
  • Desconto direto na folha de pagamento
  • Taxa de Juros bem atraentes
  • Não possui TAC

Regulamentação

O empréstimo Consignado é uma linha de crédito regulamentada e atende a lei 10.820 de 17 de Dezembro de 2003. Contudo, a regulamentação sobre o empréstimo consignado foi recentemente atualizada através da resolução 722 em 20 de Fevereiro de 2015. Ademais, essa lei que define além de prazos e condições, as obrigações entre as partes.

Margem consignável

  • Margem de Consignação: 30% (trinta por cento)
  • No entanto, a margem deve estar POSITIVA em pelo R$0,01 (um centavo).
  • A margem ZERADA no sistema significa MARGEM NEGATIVA. No entanto, para este caso, o cálculo deverá ser manual para identificar o real valor (negativo) da margem.

Documentos Necessários

  • Registro Geral (RG) ou Carteira Nacional de Habilitação (CNH)
  • Cadastro de Pessoa Física (CPF)
  • Comprovante de residência atualizado
  • Último comprovante de rendimento

Ademais, a apresentação de todos os documentos de forma legível e dentro dos prazos de validade ajudam a agilizar seu empréstimo.

Empréstimo Consignado Prefeitura Taubaté

Taubaté é uma cidade situada no interior do estado de São Paulo. Está localizada na região do Vale do Paraíba. Taubaté desempenhou um papel fundamental na evolução histórica e econômica do Brasil. Descobriu ouro no estado de Minas Gerais, fundando diversas cidades. Em 1906, era o município paulista que mais produzia café. Contudo, Taubaté é a cidade pioneira do Vale do Paraíba.

O empréstimo consignado da Prefeitura de Taubaté é oferecido aos seus funcionários públicos. Merecem destaque o longo prazo para pagamento das parcelas e a taxa de juros reduzida. Conheça mais abaixo!

Ademais, o empréstimo para a Prefeitura de Taubaté é muito simples e fácil de solicitar. Contudo, é só clicar no botão Solicite e preencher o formulário para que nosso time de consultores possa entrar em contato.

Consignado Prefeitura Taubaté + Vantagens para Você

Conheça agora quais são as vantagens de se adquirir o empréstimo pela prefeitura de Taubaté:

  • Não haverá consulta ao SPC ou SERASA
  • Prazos mais extensos para pagamento
  • Parcelas fixas
  • Desconto direto na folha de pagamento
  • Taxa de Juros atraentes
  • Sem cobrança de TAC ou Seguros

Regulamentação

O empréstimo Consignado é uma linha de crédito regulamentada e atende a lei 10.820 de 17 de Dezembro de 2003. Contudo, a regulamentação sobre o empréstimo consignado foi recentemente atualizada através da resolução 722 em 20 de Fevereiro de 2015. Ademais, essa lei que define além de prazos e condições, as obrigações entre as partes.

Margem consignável

  • Margem de Consignação: 30% (trinta por cento)
  • No entanto, a margem deve estar POSITIVA em pelo R$0,01 (um centavo).
  • A margem ZERADA no sistema significa MARGEM NEGATIVA. No entanto, para este caso, o cálculo deverá ser manual para identificar o real valor (negativo) da margem.

Documentos Necessários

  • Registro Geral (RG) ou Carteira Nacional de Habilitação (CNH)
  • CPF
  • Comprovante de residência atualizado
  • Último comprovante de rendimento

Ademais, a apresentação de todos os documentos de forma legível e dentro dos prazos de validade ajudam a agilizar seu empréstimo.

Consignado Prefeitura Rio Claro

Rio Claro é uma cidade situada no interior do estado de São Paulo. A cidade de Rio Claro é conhecida como a capital da alegria. No esporte, Rio Claro se destaca também com 2 clubes integrando o futebol estadual. Contudo, são eles: Rio Claro Futebol Clube e Velo Clube.No Basquete, merece destaque o clube Rio Claro Basquete, que adquiriu diversos títulos estaduais, nacionais e internacionais.

O empréstimo consignado destinado aos funcionários da Prefeitura de Rio Claro possui uma taxa de juros bem atrativa. Veja quais são os benefícios de adquirir o empréstimo aqui!

Ademais, o empréstimo para a Prefeitura de Rio Claro é muito simples e fácil de solicitar. Contudo, é só clicar no botão Solicite e preencher o formulário para que nosso time de consultores possa entrar em contato.

Consignado Prefeitura Rio Claro + Vantagens para Você

Conheça agora quais são as vantagens de se adquirir o empréstimo pela prefeitura de Rio Claro:

  • Sem consulta ao SPC ou ao SERASA
  • Prazos flexíveis para efetuar o pagamento
  • Parcelas fixas
  • O desconto é diretamente na folha de pagamento
  • Taxa de Juros menores
  • Não há cobrança de TAC ou Seguros

Regulamentação

O empréstimo Consignado é uma linha de crédito regulamentada e atende a lei 10.820 de 17 de Dezembro de 2003. Contudo, a regulamentação sobre o empréstimo consignado foi recentemente atualizada através da resolução 722 em 20 de Fevereiro de 2015. Ademais, essa lei que define além de prazos e condições, as obrigações entre as partes.

Margem consignável

  • Margem de Consignação: 30% (trinta por cento)
  • No entanto, a margem deve estar POSITIVA em pelo R$0,01 (um centavo).
  • A margem ZERADA no sistema significa MARGEM NEGATIVA. No entanto, para este caso, o cálculo deverá ser manual para identificar o real valor (negativo) da margem.

Documentos Necessários

  • Registro Geral (RG) ou Carteira Nacional de Habilitação (CNH)
  • CPF
  • Comprovante de endereço atualizado
  • Último contracheque

Ademais, a apresentação de todos os documentos de forma legível e dentro dos prazos de validade ajudam a agilizar seu empréstimo.

Empréstimo Consignado IPREM

O Instituto de Previdência Municipal (IPREM) de São Paulo exerce um importante papel que é gerenciar o Regime Próprio da Previdência Social dos servidores públicos de SP. Contudo, seu foco consiste na análise e concessão de pensões por morte dos servidores e do pagamento das aposentadorias dos órgãos da administração pública.

O empréstimo consignado oferecido aos servidores do Instituto de Previdência Municipal da cidade de São Paulo é excelente para fazer uma grande viagem, comprar um carro, investir, etc, …

Ademais, o Consignado do IPREM-SP é muito simples e fácil de solicitar. Contudo, basta clicar no botão Solicite e preencher o formulário para que nosso time de consultores possa entrar em contato.

Empréstimo Consignado IPREM-SP + Vantagens para Você

Conheça quais são os benefícios ofertados pelo Consignado Instituto de Previdência Municipal – SP, como por exemplo:

  • Sem consulta aos órgãos de proteção ao crédito SPC e SERASA
  • Desconto na folha de pagamento
  • Taxas de juros reduzidas
  • A data de corte será todo dia 12
  • O prazo máximo será de até 96 meses para pagar
  • O crédito ocorrerá na conta salário do servidor

Política de Crédito

Este produto está condicionado a política interna conforme regras abaixo:

Limite de idade X Valores Liberados

  • De 21 anos completos a 69 anos e 11 meses – R$ 100.000,00
  • De 70 anos completos a 74 anos e 11 meses – R$ 50.000,00

Público Alvo

O empréstimo ofertado para o Instituto de Previdência Municipal de SP está destinado ao seguinte público, como por exemplo:

  • Aposentados e Pensionistas do IPREM-SP
  • Servidores Efetivos

Consulte nossa equipe de suporte para confirmar se seu convênio está ativo para poder contratar.

Regulamentação

Todas as modalidades de crédito consignado atendem a uma regulamentação do Banco Central e Lei 10.820 que determinam as regras de contratação. No entanto, os convênios firmados entre seu órgão têm regras específicas as quais serão consideradas na liberação do seu Crédito. As instituições financeiras têm políticas de crédito especificas conforme perfil do cliente. Portanto, tais regras também serão consideradas.

Documentação Necessária

Para contratar o empréstimo consignado IPREM, é necessário apresentar os seguintes documentos:

  • Registro Geral (RG) ou Carteira Nacional de Habilitação (CNH)
  • Cadastro de Pessoa Física (CPF)
  • Comprovante de endereço atual
  • Último comprovante de renda

Supremo Tribunal Federal – Conheça suas competências!

O Supremo Tribunal Federal é o mais alto patamar do poder judiciário brasileiro. Contudo, sua principal função é proteger o que diz a Constituição Federal de 1988, conforme conta no artigo nº 102 da mesma. Sua cúpula é composta por 11 ministros com idade entre 35 e 65 anos. Conforme consta no artigo 12, parágrafo 3 da Constituição de 88, todos os membros deverão ser brasileiros natos.

Ademais, a denominação Supremo Tribunal Federal foi pronunciada pela primeira vez na Constituição Provisória em 1890.

O Presidente do STF é também o Presidente do Conselho Nacional de Justiça. Contudo, essa informação encontra-se no artigo 103-B do inciso I da CF-1988.

Competências do Supremo Tribunal Federal

Compete ao STF processar e julgar nas infrações legais comuns, como por exemplo:

  • Seus próprios ministros
  • O presidente da República
  • O vice-presidente
  • Os membros do Congresso Nacional
  • O procurador Geral da República

Compete ao Supremo Tribunal Federal processar e julgar nas infrações penais comuns, como por exemplo:

  • Os comandantes das nossas forças armadas (Exército, Marinha e Aeronáutica)
  • Membros do Tribunal de Contas da União
  • Os chefes de missão diplomática de caráter permanente

Contudo, o Presidente e o Vice-Presidente são eleitos pelos ministros pertencentes ao plenário do tribunal. O prazo máximo para a permanência no cargo é de 2 anos. Cada uma das 2 turmas é constituída por 5 ministros. O membro mais antigo é quem presidirá a sua respectiva turma. Sua permanência no cargo será de 1 ano. Este não poderá se reeleger até que todos os membros da turma tenha se tornado Presidente.

No entanto, o STF possui tarefas de suma importância que deverão ser cumpridas corretamente. Cabe ao nosso poder judiciário cumprir a lei.

Você sabia?

Com mais de 17 anos no Mercado de Empréstimo Consignado e com uma equipe treinada para lhe auxiliar na melhor decisão. No entanto, o Portal Consignados trabalha em parceria com diversos bancos para lhe oferecer sempre o melhor negócio.

Contrate seu empréstimo consignado clicando aqui

Empréstimo Consignado Prefeitura Diadema

Diadema é um município pertencente ao estado de São Paulo. Diadema é o 14º município mais populoso do estado e é o 55º mais populoso do país. A cidade já foi distrito de São Bernardo do Campo até sua emancipação, no final da década de 1950. No entanto, Diadema possui 2 Terminais Metropolitanos: O Metropolitano Diadema e o Metropolitano Piraporinha.

O empréstimo consignado oferecido para os servidores públicos da Prefeitura de Diadema é uma excelente oportunidade para pagar uma dívida, fazer uma viagem, trocar de carro, etc, … Confira abaixo quais são os benefícios!

Ademais, o Consignado Prefeitura de Diadema é muito simples e fácil de solicitar. Contudo, é só clicar no botão Solicite e preencher o formulário para que nosso time de consultores possa entrar em contato.

Consignado Prefeitura Diadema + Vantagens

Conheça agora quais são as vantagens de se adquirir o consignado pela prefeitura de Diadema:

  • Não há Consulta ao SPC ou SERASA
  • Prazo mais longos para pagar
  • Parcelas fixas
  • No entanto, desconto diretamente na folha de pagamento
  • Taxa de Juros menores
  • Sem cobrança de TAC ou Seguros

Regulamentação

O empréstimo Consignado é uma linha de crédito regulamentada e atende a lei 10.820 de 17 de Dezembro de 2003. Contudo, a regulamentação sobre o empréstimo consignado foi recentemente atualizada através da resolução 722 em 20 de Fevereiro de 2015. Ademais, essa lei que define além de prazos e condições, as obrigações entre as partes.

Margem consignável

  • Margem de Consignação: 30% (trinta por cento)
  • No entanto, a margem deve estar POSITIVA em pelo R$0,01 (um centavo).
  • A margem ZERADA no sistema significa MARGEM NEGATIVA. No entanto, para este caso, o cálculo deverá ser manual para identificar o real valor (negativo) da margem.

Documentos Necessários

  • Registro Geral (RG) ou Carteira Nacional de Habilitação (CNH)
  • Cadastro de Pessoa Física (CPF)
  • Comprovante de endereço atual

Ademais, a apresentação de todos os documentos de forma legível e dentro dos prazos de validade ajudam a agilizar seu empréstimo.

Consignado Prefeitura Niterói

O município de Niterói está localizado na região metropolitana do Rio de Janeiro. Niterói possui o maior índice de desenvolvimento humano municipal do estado do Rio de Janeiro e o 7º maior do Brasil. É considerada a 12ª entre as 100 melhores cidades do Brasil para se fazer negócio. Contudo, Niterói é o 45º município mais rico do país.

O consignado da Prefeitura de Niterói é feito para você que é funcionário público e que precisa de dinheiro para adquirir um carro, reformar a casa ou fazer uma viagem. São diversos benefícios. Confira abaixo!

Ademais, o Consignado Prefeitura de Niterói é muito simples e fácil de solicitar. Contudo, é só clicar no botão Solicite e preencher o formulário para que nosso time de consultores possa entrar em contato.

Consignado Prefeitura Niterói + Vantagens

Conheça agora quais são as vantagens de se adquirir o consignado pela prefeitura de Niterói:

  • Sem Consulta no SPC ou SERASA
  • Prazo mais longos para pagamento
  • Parcelas fixas
  • No entanto, desconto direto na folha
  • Taxa de Juros atrativas
  • Não há cobrança de TAC ou Seguros

Situação funcional permitida

  • Estatutários
  • CLT concursados admitidos há no mínimo 3 meses.

Situação funcional não permitida

  • CLT com prazo determinado;
  • Contratado;
  • Comissionado;
  • Aposentados e Pensionistas que recebam pelo INSS

Considerações sobre público alvo

No entanto, para confirmação de estabilidade no contra cheque, deverá conter o desconto da Previdência IPAMV.

Regulamentação

O empréstimo Consignado é uma linha de crédito regulamentada e atende a lei 10.820 de 17 de Dezembro de 2003. Contudo, a regulamentação sobre o empréstimo consignado foi recentemente atualizada através da resolução 722 em 20 de Fevereiro de 2015. Ademais, essa lei que define além de prazos e condições, as obrigações entre as partes.

Margem consignável

  • Margem de Consignação: 30% (trinta por cento)
  • No entanto, a margem deve estar POSITIVA em pelo R$0,01 (um centavo).
  • A margem ZERADA no sistema significa MARGEM NEGATIVA. No entanto, para este caso, o cálculo deverá ser manual para identificar o real valor (negativo) da margem.

Idade x Valor

  • Idade de 18 anos completos até 59 anos e 11 meses: R$ 200.000,00

Documentos Necessários

  • Registro Geral (RG) ou Carteira Nacional de Habilitação (CNH)
  • Cadastro de Pessoa Física (CPF)
  • Comprovante de endereço atualizado

Ademais, a apresentação de todos os documentos de forma legível e dentro dos prazos de validade ajudam a agilizar seu empréstimo.

Consignado Tribunal de Justiça ES

O Tribunal de Justiça existe desde 1609, na Bahia. O TJ teve diversos nomes como por exemplo Tribunal da Relação (em 1609), Casa de Suplicação do Brasil (em 1808). Em 1828, foi extinta a Casa de Suplicação do Brasil para a criação do Supremo Tribunal de Justiça. Em 1934 se chamava Corte da Apelação e em 1937 de Tribunal da Apelação. No entanto, só em 1946 que passaram a se chamar Tribunais de Justiça.

O Empréstimo destina-se aos servidores do Tribunal de Justiça do estado do Espírito Santo. O consignado possui um prazo mais longo para pagar e parcelas descontadas direto da folha de pagamento.

Ademais, o Consignado do TJ-ES é muito simples e fácil de solicitar. Contudo, basta clicar no botão Solicite e preencher o formulário para que nosso time de consultores possa entrar em contato.

Consignado Tribunal de Justiça ES + Vantagens para Você

Conheça as principais vantagens do consignado TJ do Espírito Santo, como por exemplo:

  • O dia do corte da fatura será todo dia 05 do mês
  • Prazo Máximo: 96 meses para pagar
  • O crédito ocorrerá na conta salário do servidor

Política de Crédito

Este produto está condicionado a política interna conforme regras abaixo:

Limite de idade X Valores Liberados

  • De 21 anos completos a 69 anos e 11 meses – R$ 250.000,00
  • De 70 anos completos a 74 anos e 11 meses – R$ 50.000,00

Público Alvo

O empréstimo ofertado ao Tribunal de Justiça ES está destinado ao seguinte público, como por exemplo:

  • Aposentados que recebam pelo TJ-ES.
  • Servidores Estatutários

No entanto, consulte nossa equipe de suporte para confirmar se seu convênio está ativo para poder contratar.

Regulamentação

Todas as modalidades de crédito consignado atendem a uma regulamentação do Banco Central e Lei 10.820 que determinam as regras de contratação. No entanto, os convênios firmados entre seu órgão têm regras específicas as quais serão consideradas na liberação do seu Crédito. As instituições financeiras têm políticas de crédito especificas conforme perfil do cliente. Portanto, tais regras também serão consideradas.

Documentação Necessária

Para contratar o empréstimo consignado do Tribunal de Justiça, é necessário apresentar os seguintes documentos:

  • Registro Geral ou Carteira Nacional de Habilitação
  • Cadastro de Pessoas Físicas
  • Comprovante de residência
  • Último comprovante de renda

Empréstimo Consignado Tribunal de Justiça SP

O Tribunal de Justiça é um órgão constituído por juízes de segunda instância, aos quais são chamados de desembargadores. Nos tribunais de justiça haverá um Conselho de Magistratura, com função disciplinar, do qual serão membros o presidente, o primeiro vice-presidente, o segundo vice-presidente e o corregedor.

Esse Empréstimo Consignado é destinado ao servidores do Tribunal de Justiça do estado de São Paulo. O consignado possui um prazo mais longo para pagar e parcelas descontadas diretamente da folha de pagamento.

Ademais, o Consignado do TJ-SP é muito simples e fácil de solicitar. Contudo, basta clicar no botão Solicite e preencher o formulário para que nosso time de consultores possa entrar em contato.

Consignado Tribunal de Justiça SP + Vantagens para Você

Conheça as principais vantagens do consignado TJ de São Paulo, como por exemplo:

  • Dia do corte da Fatura: 8º dia útil
  • Prazo Máximo: 96 meses para pagar
  • O crédito ocorrerá na conta salário do servidor

Política de Crédito

Este produto está condicionado a política interna conforme regras abaixo:

Limite de idade X Valores Liberados

  • De 21 anos completos a 69 anos e 11 meses – R$ 250.000,00
  • De 70 anos completos a 74 anos e 11 meses – R$ 50.000,00

Público Alvo

O empréstimo ofertado ao Tribunal de Justiça de SP está destinado ao seguinte público, como por exemplo:

  • Aposentados e Pensionistas que recebam pelo TJ-SP.
  • Servidores Ativos e Magistrados
  • Servidores Inativos

Consulte nossa equipe de suporte para confirmar se seu convênio está ativo para poder contratar.

Regulamentação

Todas as modalidades de crédito consignado atendem a uma regulamentação do Banco Central e Lei 10.820 que determinam as regras de contratação. No entanto, os convênios firmados entre seu órgão têm regras específicas as quais serão consideradas na liberação do seu Crédito. As instituições financeiras têm políticas de crédito especificas conforme perfil do cliente. Portanto, tais regras também serão consideradas.

Documentação Necessária

Para contratar o empréstimo consignado do Tribunal de justiça, é necessário apresentar os seguintes documentos:

  • RG ou CNH
  • CPF
  • Comprovante de endereço atualizado
  • Último contracheque

Empréstimo Consignado Supremo Tribunal Federal DF

O Supremo Tribunal Federal de Brasília é a mais alta instância do poder judiciário brasileiro. Os 11 juízes que fazem parte do STF são chamados de ministros. Esse cargo não tem relação alguma com os ministros do governo. O Supremo Tribunal Federal é o guardião das leis que fazem parte da Constituição Federal de 1988.

Esse Empréstimo Consignado é destinado ao servidores do Supremo Tribunal Federal de Brasília. É uma grande oportunidade para comprar algum bem como por exemplo um carro ou dar entrada em uma casa, pagar uma dívida, etc, …

Ademais, o Consignado direcionado ao STF do Distrito Federal é muito simples e fácil de solicitar. Contudo, basta clicar no botão Solicite e preencher o formulário para que nosso time de consultores possa entrar em contato.

Consignado Supremo Tribunal Federal DF + Vantagens

O empréstimo consignado para o STF é feito através do cartão de crédito. Conheça as principais vantagens, como por exemplo:

  • Dia do corte da Fatura é todo dia 08 de cada mês
  • Vencimento da fatura dia 25 de cada mês.
  • O prazo para a entrega do cartão é de 15 dias úteis
  • Não é cobrado anuidade para este cartão, nem taxa de manutenção.
  • Permite até 2 cartões adicionais
  • Tarifa de saque: R$ 15,00
  • Tele saque: R$ 15,00

Política de Crédito

Este produto está condicionado a política interna conforme regras abaixo:

Limite de idade X Valores Liberados

  • De 21 anos completos a 69 anos e 11 meses – R$ 30.000,00
  • De 70 anos completos a 74 anos e 11 meses – R$ 4.000,00

Regras de Concessão de Limite e Saque

  • Margem mínima para concessão do cartão: R$ 33,33
  • Valor mínimo do limite: R$ 600,00
  • Vamos máximo do limite: R$ 30.000,00

Público Alvo

O cartão de crédito ofertado ao STF do Distrito Federal está destinado ao seguinte público, como por exemplo:

  • Aposentados
  • Pensionistas
  • Servidores Estatutários

Consulte nossa equipe de suporte para confirmar se seu convênio está ativo para poder contratar.

Regulamentação

Todas as modalidades de crédito consignado atendem a uma regulamentação do Banco Central e Lei 10.820 que determinam as regras de contratação. No entanto, os convênios firmados entre seu órgão têm regras específicas as quais serão consideradas na liberação do seu Crédito. As instituições financeiras têm políticas de crédito especificas conforme perfil do cliente. Portanto, tais regras também serão consideradas.

Consignado Governo Sergipe

Sergipe é um estado pertencente a região Nordeste do nosso país. Sua capital, Aracaju, é a maior cidade do estado. A agricultura é a principal fonte de renda do estado, onde são produzidos a cana-de-açúcar, a laranja e o coco. O extrativismo é outra atividade de renda. Contudo, neste setor, são retirados o petróleo e o gás natural.

O consignado do Governo do Sergipe é um empréstimo destinado aos servidores públicos estaduais. Um dos principais benefícios oferecidos para os servidores é o fato do prazo para pagamento das parcelas ser flexível.

Ademais, o empréstimo destinado ao governo do estado do Sergipe é muito simples e fácil de solicitar. No entanto, basta clicar no botão Solicite e preencher o formulário para que nosso time de consultores possa entrar em contato.

Consignado Governo Sergipe + Vantagens

O consignado oferecido ao estado do Sergipe possui diversas informações importantes, como por exemplo:

  • Sem consulta aos órgãos de proteção ao crédito SPC e SERASA
  • Desconto na folha de pagamento
  • No entanto, não possui TAC
  • Taxas de juros convidativas
  • Prazo extensos para efetuar o pagamento

Público Alvo

O consignado para o Governo do estado do Sergipe está destinado aos seguintes servidores estaduais:

  •  Servidores Ativos
  • Aposentados
  • Pensionistas

Cálculo de Margem

A margem consignável é o limite máximo que se pode comprometer em parcelas de empréstimo consignado. Portanto, para calcular a margem, aplicamos as seguintes regras:

Calculo 70% = ((Total de Proventos * 70%) – (Total de Descontos)).

Caso não tenha margem consignável, considere nossa opção para Refinanciamento de seus contratos.

Regulamentação

Todas as modalidades de crédito Consignado atendem a uma regulamentação do Banco Central e Lei 10.820. Estes, por sua vez, determinam as regras de contratação. No entanto, os convênios firmados entre seu órgão tem regras específicas as quais serão consideradas na liberação do seu Crédito. Contudo, as instituições financeiras têm políticas de crédito específicas conforme perfil do cliente. Portanto, tais regras também serão consideradas.

Documentação

  • Registro Geral (RG)
  • Cadastro de Pessoa Física (CPF)
  • Comprovante de residência atualizado
  • Último contracheque

Consignado Governo Distrito Federal

O Distrito Federal está localizado na Região Centro-Oeste do país. Faz divisa com os estados de Goiás e de Minas Gerais. Contudo, a construção do Distrito Federal foi um projeto idealizado pelo presidente na época Juscelino Kubitschek de transferir a capital nacional, que antes era Rio de Janeiro, para o centro do Brasil. No entanto, o Distrito Federal passou a sediar a nova capital do país, Brasília. Esse trâmite ocorreu em 1946.

O empréstimo oferecido aos servidores públicos estaduais do Distrito Federal possui parcelas fixas e prazos mais longos para pagamento.

Ademais, o empréstimo destinado ao governo do estado do Distrito Federal é muito simples e fácil de solicitar. No entanto, basta clicar no botão Solicite e preencher o formulário para que nosso time de consultores possa entrar em contato.

Consignado Governo Distrito Federal + Vantagens

O consignado oferecido ao estado do Distrito Federal possui informações relevantes, como por exemplo:

  • Sem consulta aos órgãos de proteção ao crédito SPC e SERASA
  • Desconto direto na folha de pagamento
  • Taxas atraentes
  • Prazo de até 96 meses para pagar

Público Alvo

O consignado para o Governo do estado do Distrito Federal está destinado aos seguintes servidores estaduais:

  •  Servidores Ativos
  • Polícia Militar
  • Polícia Civil

Cálculo de Margem

A margem consignável é o limite máximo que se pode comprometer em parcelas de empréstimo consignado. Portanto, para calcular a margem, aplicamos as seguintes regras:

Calculo 70% = ((Total de Proventos * 70%) – (Total de Descontos)).

Caso não tenha margem consignável, considere nossa opção para Refinanciamento de seus contratos.

Regulamentação

Todas as modalidades de crédito Consignado atendem a uma regulamentação do Banco Central e Lei 10.820. Estes, por sua vez, determinam as regras de contratação. No entanto, os convênios firmados entre seu órgão tem regras específicas as quais serão consideradas na liberação do seu Crédito. Contudo, as instituições financeiras têm políticas de crédito específicas conforme perfil do cliente. Portanto, tais regras também serão consideradas.

Documentação

  • Registro Geral ou Carteira Nacional de Habilitação
  • CPF
  • Comprovante de residência atual
  • Comprovante de rendimento (o último)

Consignado Governo Tocantins

O estado do Tocantins localiza-se na região norte do Brasil. Sua capital é a cidade de Palmas. Contudo, o Tocantins possui um dos mais baixos índices de densidade demográfica do país. O clima do estado é o tropical. No entanto, seus rios mais importantes são: Araguaia, Tocantins, Javaés, Rio das Balsas, entre outros. Sua economia baseia-se na produção de arroz, feijão, milho, soja e melancia.

Com o empréstimo consignado ofertado aos servidores estaduais do Tocantins, você poderá viajar, pagar dívidas, comprar um carro, …

Ademais, o empréstimo destinado ao governo do estado do Tocantins é muito simples e fácil de solicitar. No entanto, basta clicar no botão Solicite e preencher o formulário para que nosso time de consultores possa entrar em contato.

Consignado Governo Tocantins + Vantagens

O consignado oferecido ao estado do Tocantins possui informações relevantes, como por exemplo:

  • Não há consulta ao SPC e ao SERASA
  • Sem cobrança de TAC
  • No consignado Tocantins, as taxas são atraentes
  • Prazos flexíveis para pagar

Público Alvo

O consignado para o Governo do estado de Tocantins está destinado aos seguintes servidores estaduais:

  •  Ativos
  • Aposentados
  • Pensionistas
  • Concursado
  • Aposentadoria por invalidez

Cálculo de Margem

A margem consignável é o limite máximo que se pode comprometer em parcelas de empréstimo consignado. Portanto, para calcular a margem, aplicamos as seguintes regras:

Calculo 70% = ((Total de Proventos * 70%) – (Total de Descontos)).

Caso não tenha margem consignável, considere nossa opção para Refinanciamento de seus contratos.

Regulamentação

Todas as modalidades de crédito Consignado atendem a uma regulamentação do Banco Central e Lei 10.820. Estes, por sua vez, determinam as regras de contratação. No entanto, os convênios firmados entre seu órgão tem regras específicas as quais serão consideradas na liberação do seu Crédito. Contudo, as instituições financeiras têm políticas de crédito específicas conforme perfil do cliente. Portanto, tais regras também serão consideradas.

Documentação

  • RG ou CNH
  • Cadastro de Pessoa Física (CPF)
  • Comprovante de residência atualizado
  • Comprovante de renda (o último)

Consignado Governo Piauí

O estado do Piauí está localizado na região nordeste do Brasil. Sua capital é Teresina. Os rios mais importantes do estado são: Parnaíba, Poti, Canindé, Piauí e São Nicolau. Todos esses rios pertencem à bacia do Rio Parnaíba. O Estado do Piauí produz arroz, cana-de-açúcar, algodão e mandioca. Contudo, Teresina foi a primeira capital planejada do país.

O Empréstimo Consignado destinado os servidores estaduais do Piauí possui os menores juros do mercado. Confira!

Ademais, o empréstimo destinado ao governo do estado do Piauí é muito simples e fácil de solicitar. No entanto, basta clicar no botão Solicite e preencher o formulário para que nosso time de consultores possa entrar em contato.

Consignado Governo Piauí + Vantagens

O consignado oferecido ao estado do Piauí possui diversas informações atraentes, como por exemplo:

  • Sem consulta aos órgãos SPC e SERASA
  • Não possui TAC
  • Taxas de juros reduzidas
  • Prazos mais longos para pagamento

Público Alvo

O consignado para o Governo do Piauí está destinado aos seguintes servidores estaduais:

  •  Efetivos/Ativos
  • Aposentados
  • Pensionistas

Cálculo de Margem

A margem consignável é o limite máximo que se pode comprometer em parcelas de empréstimo consignado. Portanto, para calcular a margem, aplicamos as seguintes regras:

Calculo 70% = ((Total de Proventos * 70%) – (Total de Descontos)).

Caso não tenha margem consignável, considere nossa opção para Refinanciamento de seus contratos.

Regulamentação

Todas as modalidades de crédito Consignado atendem a uma regulamentação do Banco Central e Lei 10.820. Estes, por sua vez, determinam as regras de contratação. No entanto, os convênios firmados entre seu órgão tem regras específicas as quais serão consideradas na liberação do seu Crédito. Contudo, as instituições financeiras têm políticas de crédito específicas conforme perfil do cliente. Portanto, tais regras também serão consideradas.

Documentação

  • Documento de identificação Registro Geral RG ou Carteira Nacional de Habilitação CNH
  • Cadastro de Pessoa Física (CPF)
  • Comprovante de endereço atual
  • Comprovante de rendimento (o último)

Consignado Governo Roraima

O estado de Roraima localiza-se na região norte do Brasil. Soa capital é a cidade de Boa Vista. Contudo, Roraima é o estado menos populoso do nosso país. Sua economia baseia-se no setor terciário, onde é registrado uma alta taxa de crescimento. Seu PIB (Produto Interno Bruto) é o menor do país.

O empréstimo consignado para o Governo de Roraima é designado aos servidores públicos estaduais. Com taxas de juros competitivas, esta certamente é a melhor opção. Confira!

Ademais, o empréstimo para os servidores do estado de Roraima é muito simples e fácil de solicitar. No entanto, basta clicar no botão Solicite e preencher o formulário para que nosso time de consultores possa entrar em contato.

Consignado Governo Roraima + Vantagens

O consignado oferecido ao estado do Roraima possui várias informações relevantes, como por exemplo:

  • Não será feita consulta aos órgãos SPC e SERASA
  • Sem cobrança de TAC
  • Suas taxas são bem atraentes
  • Seus prazos são flexíveis

Público Alvo

O consignado para o Governo do Roraima está destinado ao seguinte público:

  • Servidores Efetivos/Ativos
  • Servidores Aposentados
  • Servidores Pensionistas

Cálculo de Margem

A margem consignável é o limite máximo que se pode comprometer em parcelas de empréstimo consignado. Portanto, para calcular a margem, aplicamos as seguintes regras:

Calculo 70% = ((Total de Proventos * 70%) – (Total de Descontos)).

Caso não tenha margem consignável, considere nossa opção para Refinanciamento de seus contratos.

Regulamentação

Todas as modalidades de crédito Consignado atendem a uma regulamentação do Banco Central e Lei 10.820. Estes, por sua vez, determinam as regras de contratação. No entanto, os convênios firmados entre seu órgão tem regras específicas as quais serão consideradas na liberação do seu Crédito. Contudo, as instituições financeiras têm políticas de crédito específicas conforme perfil do cliente. Portanto, tais regras também serão consideradas.

Documentação

  • Documento de identificação RG ou CNH
  • Cadastro de Pessoa Física (CPF)
  • Comprovante de residência atual
  • Comprovante de renda (o último)

Consignado Governo Amapá

Amapá é um estado localizado na região norte do Brasil. Sua capital é Macapá. O Amapá fazia parte do estado do Pará. No entanto, em 1943 ocorreu o desmembramento e o Amapá virou território nacional. Somente em 1988 que o Amapá virou estado com implementação da Constituição Federal. No estado, sua vegetação é rica e tropical.

 No empréstimo consignado ofertado para os servidores públicos estaduais do Amapá, os prazos para pagamento são flexíveis.

Ademais, o empréstimo para o Governo do Amapá é muito simples e fácil de solicitar. No entanto, basta clicar no botão Solicite e preencher o formulário para que nosso time de consultores possa entrar em contato.

Consignado Governo Amapá + Vantagens

O consignado oferecido ao estado do Amapá possui diversas vantagens, como por exemplo:

  • Não terá consulta no SPC e nem no SERASA
  • Não possui TAC
  • Ademais, as taxas são competitivas
  • Prazos diferenciados para pagar

Público Alvo

O consignado para o Governo do Amapá está destinado ao seguinte público:

  • Servidores Efetivos
  • Servidores Aposentados
  • Servidores Pensionistas

Cálculo de Margem

A margem consignável é o limite máximo que se pode comprometer em parcelas de empréstimo consignado. Portanto, para calcular a margem, aplicamos as seguintes regras:

Calculo 70% = ((Total de Proventos * 70%) – (Total de Descontos)).

Caso não tenha margem consignável, considere nossa opção para Refinanciamento de seus contratos.

Regulamentação

Todas as modalidades de crédito Consignado atendem a uma regulamentação do Banco Central e Lei 10.820. Estes, por sua vez, determinam as regras de contratação. No entanto, os convênios firmados entre seu órgão tem regras específicas as quais serão consideradas na liberação do seu Crédito. Contudo, as instituições financeiras têm políticas de crédito específicas conforme perfil do cliente. Portanto, tais regras também serão consideradas.

Documentação

  • Registro Geral (RG) ou Carteira Nacional de Habilitação (CNH)
  • Cadastro de Pessoa Física (CPF)
  • Comprovante de endereço
  • Último comprovante de rendimento

Consignado Governo Rio Grande do Sul

O Rio Grande do Sul está situado na região sul do nosso país. Sua capital é Porto Alegre. O estado do Rio Grande do Sul possui diversas unidades de conservação ecológica. Citarei duas, como por exemplo: Parque Nacional da Serra Geral e o Refúgio de Vida Silvestre da Ilha dos Lobos. O Pico do Monte Negro é o ponto mais alto do estado.

 O consignado ofertado para os servidores públicos do estado do Rio Grande do Sul possui um prazo maior para pagar. Veja mais, abaixo!

Ademais, o empréstimo para o Governo do Rio Grande do Sul é muito simples e fácil de solicitar. No entanto, basta clicar no botão Solicite e preencher o formulário para que nosso time de consultores possa entrar em contato.

Consignado Governo Rio Grande do Sul + Vantagens

O consignado oferecido ao estado do Rio Grande do Sul possui diversas vantagens, como por exemplo:

  • Sem consulta no SPC ou no SERASA
  • Sem cobrança de TAC
  • Ademais, suas taxas são as menores
  • Prazos mais longos para efetuar o pagamento

Público Alvo

O consignado para os servidores públicos do governo do RS está destinado ao seguinte público:

  • Efetivos
  • Aposentados
  • Pensionistas

Cálculo de Margem

A margem consignável é o limite máximo que se pode comprometer em parcelas de empréstimo consignado. Portanto, para calcular a margem, aplicamos as seguintes regras:

Calculo 70% = ((Total de Proventos * 70%) – (Total de Descontos)).

Caso não tenha margem consignável, considere nossa opção para Refinanciamento de seus contratos.

Regulamentação

Todas as modalidades de crédito Consignado atendem a uma regulamentação do Banco Central e Lei 10.820. Estes, por sua vez, determinam as regras de contratação. No entanto, os convênios firmados entre seu órgão tem regras específicas as quais serão consideradas na liberação do seu Crédito. Contudo, as instituições financeiras têm políticas de crédito específicas conforme perfil do cliente. Portanto, tais regras também serão consideradas.

Documentação

  • Registro Geral ou Carteira Nacional de Habilitação
  • Cadastro de Pessoa Física
  • Comprovante de residência
  • Último comprovante de renda

Consignado Governo Rio Grande do Norte

O estado do Rio Grande do Norte está localizado na região nordeste do Brasil e possui o oceano atlântico ao seu norte. Possui grande destaque no setor de serviços. O estado do Rio Grande do Norte é responsável pela produção de mais de 95% do sal brasileiro. Sou capital é a cidade de Natal.

O empréstimo consignado que é oferecido aos servidores do governo do Rio Grande do Norte, tem como principal objetivo a taxa de juros reduzida. entretanto, confira mais informações nas linhas abaixo.

Ademais, o empréstimo para o Governo do Rio Grande do Norte é muito simples e fácil de solicitar. No entanto, basta clicar no botão Solicite e preencher o formulário para que nosso time de consultores possa entrar em contato.

Consignado Governo Rio Grande do Norte + Vantagens

O consignado oferecido ao estado do Rio Grande do Norte possui diversas vantagens, como por exemplo:

  • Não será feita consulta ao SPC e nem ao SERASA
  • Não possui TAC
  • Contudo, possui taxas atraentes
  • Prazos flexíveis para pagamento

Público Alvo

O consignado para os servidores públicos do governo do RN está destinado ao seguinte público:

  • Servidores Efetivos
  • Aposentados
  • Pensionistas

Cálculo de Margem

A margem consignável é o limite máximo que se pode comprometer em parcelas de empréstimo consignado. Portanto, para calcular a margem, aplicamos as seguintes regras:

Calculo 70% = ((Total de Proventos * 70%) – (Total de Descontos)).

Caso não tenha margem consignável, considere nossa opção para Refinanciamento de seus contratos.

Regulamentação

Todas as modalidades de crédito Consignado atendem a uma regulamentação do Banco Central e Lei 10.820. Estes, por sua vez, determinam as regras de contratação. No entanto, os convênios firmados entre seu órgão tem regras específicas as quais serão consideradas na liberação do seu Crédito. Contudo, as instituições financeiras têm políticas de crédito específicas conforme perfil do cliente. Portanto, tais regras também serão consideradas.

Documentação

  • Documento de identificação RG ou CNH
  • CPF
  • Comprovante de endereço atual
  • Último contracheque

Consignado Governo Pará

O estado do Pará localiza-se na região norte do Brasil. Sua capital se chama Belém, onde possui uma das maiores festas religiosas do mundo. Sua renda é baseada no extrativismo mineral, como por exemplo ferro, baixista, ouro, etc, … Contudo, fazem parte do estado os rios Tapajós, Xingu, Amazonas, Tocantins e Pará.

O empréstimo consignado realizado pelo Governo do Pará destina-se aos Servidores Públicos Estaduais que necessitam de dinheiro com uma taxa de juros reduzida.

Ademais, o empréstimo oferecido aos servidores estaduais do Pará é muito simples e fácil de solicitar. No entanto, basta clicar no botão Solicite e preencher o formulário para que nosso time de consultores possa entrar em contato.

Consignado Governo Pará + Vantagens

O consignado oferecido para o governo do estado do Pará possui diversas vantagens, como por exemplo:

  • Não faremos consulta aos órgãos de proteção ao crédito SPC e SERASA
  • Sem cobrança de TAC
  • Contudo, possui ótimas taxas
  • Prazos flexíveis para pagar

Público Alvo

O consignado para os servidores públicos do governo de PA está destinado ao seguinte público:

  • Servidores Efetivos
  • Aposentados
  • Pensionistas

Cálculo de Margem

A margem consignável é o limite máximo que se pode comprometer em parcelas de empréstimo consignado. Portanto, para calcular a margem, aplicamos as seguintes regras:

Calculo 70% = ((Total de Proventos * 70%) – (Total de Descontos)).

Caso não tenha margem consignável, considere nossa opção para Refinanciamento de seus contratos.

Regulamentação

Todas as modalidades de crédito Consignado atendem a uma regulamentação do Banco Central e Lei 10.820. Estes, por sua vez, determinam as regras de contratação. No entanto, os convênios firmados entre seu órgão tem regras específicas as quais serão consideradas na liberação do seu Crédito. Contudo, as instituições financeiras têm políticas de crédito específicas conforme perfil do cliente. Portanto, tais regras também serão consideradas.

Documentação

  • Documento de identificação RG ou CNH
  • Cadastro de Pessoa Física CPF
  • Comprovante de Residência atual
  • Último comprovante de rendimento

Consignado Governo Ceará

Ceará é um estado pertencente a região nordeste do Brasil. Sua capital é a bela Fortaleza. No Ceará, encontra-se um dos maiores parques aquáticos da América Latina que é o Beach Park, localizado na praia do Porto das Dunas. Contudo, na capital Fortaleza, está localizado o estádio de futebol Castelão.

O empréstimo consignado que os servidores públicos estaduais do Ceará têm direito, é uma excelente oportunidade para trocar de carro ou fazer uma viagem. Conheça os detalhes, abaixo!

Ademais, o empréstimo oferecido ao governo Cearense é muito simples e fácil de solicitar. No entanto, basta clicar no botão Solicite e preencher o formulário para que nosso time de consultores possa entrar em contato.

Consignado Governo Ceará + Vantagens

O consignado oferecido para o governo do estado do Ceará possui diversas vantagens, como por exemplo:

  • Sem Consulta aos órgãos de proteção ao crédito SPC e SERASA
  • Não possui cobrança de TAC
  • Contudo, possui excelentes taxas
  • Flexibilidade no prazo para efetuar o pagamento

Público Alvo

O consignado para os servidores públicos do governo de CE está destinado ao seguinte público:

  • Servidores Efetivos
  • Aposentados
  • Pensionistas

Cálculo de Margem

A margem consignável é o limite máximo que se pode comprometer em parcelas de empréstimo consignado. Portanto, para calcular a margem, aplicamos as seguintes regras:

Calculo 70% = ((Total de Proventos * 70%) – (Total de Descontos)).

Caso não tenha margem consignável, considere nossa opção para Refinanciamento de seus contratos.

Regulamentação

Todas as modalidades de crédito Consignado atendem a uma regulamentação do Banco Central e Lei 10.820. Estes, por sua vez, determinam as regras de contratação. No entanto, os convênios firmados entre seu órgão tem regras específicas as quais serão consideradas na liberação do seu Crédito. Contudo, as instituições financeiras têm políticas de crédito específicas conforme perfil do cliente. Portanto, tais regras também serão consideradas.

Documentação

  • Documento de identificação RG ou CNH
  • Cadastro de Pessoa Física CPF
  • Comprovante de Residência atual
  • Último comprovante de renda

Consignado Governo Alagoas

Alagoas é um estado brasileiro localizado na Região Nordeste. Sua capital é Maceió, onde está localizada a sede administrativa Palácio República dos Palmares. Ademais, o estado do Alagoas é um dos maiores produtores de cana-de-açúcar do país.

O consignado do Governo de Alagoas é um empréstimo para Servidores Públicos Estaduais que necessitam de dinheiro com certa urgência seja para pagar dívidas, trocar o carro, viajar, etc, …

Ademais, o empréstimo ofertado para o governo Alagoano é muito simples e fácil de solicitar. No entanto, basta clicar no botão Solicite e preencher o formulário para que nosso time de consultores possa entrar em contato.

Consignado Governo Alagoas + Vantagens

O consignado oferecido para o governo do estado de Alagoas possui diversas vantagens, como por exemplo:

  • Sem Consulta aos órgãos SPC/SERASA
  • Não possui TAC
  • Contudo, possui as melhores taxas
  • Flexibilidade no pagamento

Público Alvo

O consignado para os servidores públicos do governo de AL está destinado ao seguinte público:

  • Servidores Efetivos
  • Aposentados
  • Pensionistas

A exigência é que o público alvo receba o benefício pelo Governo de Alagoas.

Cálculo de Margem

A margem consignável é o limite máximo que se pode comprometer em parcelas de empréstimo consignado. Portanto, para calcular a margem, aplicamos as seguintes regras:

Calculo 70% = ((Total de Proventos * 70%) – (Total de Descontos)).

Caso não tenha margem consignável, considere nossa opção para Refinanciamento de seus contratos.

Regulamentação

Todas as modalidades de crédito Consignado atendem a uma regulamentação do Banco Central e Lei 10.820. Estes, por sua vez, determinam as regras de contratação. No entanto, os convênios firmados entre seu órgão tem regras específicas as quais serão consideradas na liberação do seu Crédito. Contudo, as instituições financeiras têm políticas de crédito específicas conforme perfil do cliente. Portanto, tais regras também serão consideradas.

Documentação

  • Documento de identificação RG
  • Cadastro de Pessoa Física CPF
  • Comprovante de Endereço
  • Último comprovante de rendimento

Consignado Governo Goiás

Goiás é um estado localizado na região Centro-Oeste do Brasil. Contudo, Goiânia é a sua capital. Goiás é o estado mais populoso da região centro-oeste. Rico em fauna, o estado possui diversos parques de proteção ambiental. Dentre eles, poderemos citar o Parque Nacional da Chapada dos Veadeiros e o Parque Nacional das Emas.

O empréstimo consignado governo de Goiás destina-se somente a Servidores Públicos. Conheça mais, abaixo!

Ademais, o empréstimo ofertado para o governo de Goiás é muito simples e fácil de solicitar. No entanto, basta clicar no botão Solicite e preencher o formulário para que nosso time de consultores possa entrar em contato.

Consignado Governo Goiás + Vantagens

O consignado oferecido para o governo do estado de Goiás possui diversas vantagens, como por exemplo:

  • Sem Consulta ao SPC/SERASA
  • Sem cobrança de TAC
  • Contudo, possui taxas atraentes
  • Prazo de até 96 meses para pagar

Público Alvo

O consignado para os servidores públicos do governo de GO está destinado ao seguinte público:

  • Servidores Ativos
  • Servidores Concursados
  • Servidores Inativos

Cálculo de Margem

A margem consignável é o limite máximo que se pode comprometer em parcelas de empréstimo consignado. Portanto, para calcular a margem, aplicamos as seguintes regras:

Calculo 70% = ((Total de Proventos * 70%) – (Total de Descontos)).

Caso não tenha margem consignável, considere nossa opção para Refinanciamento de seus contratos.

Regulamentação

Todas as modalidades de crédito Consignado atendem a uma regulamentação do Banco Central e Lei 10.820. Estes, por sua vez, determinam as regras de contratação. No entanto, os convênios firmados entre seu órgão tem regras específicas as quais serão consideradas na liberação do seu Crédito. Contudo, as instituições financeiras têm políticas de crédito específicas conforme perfil do cliente. Portanto, tais regras também serão consideradas.

Idade e Limites de Crédito

  • Idade de 21 anos até 69 anos e 11 meses = R$ 250.000,00
  • Idade de 70 anos até 74 anos e 11 meses = R$ 50.000,00

Documentação

  • Documento de identificação
  • CPF
  • Comprovante de Endereço
  • Último contracheque

Consignado Governo Espírito Santo

O estado do Espírito Santo possui sua renda voltada para a exportação de minério de ferro através do porto situado na sua capital, Vitória. Também fazem parte da renda do estado a agricultura, onde se cultiva café, arroz, feijão, cacau, entre outros. A pecuária também marca presença na criação de gado de corte e leiteiro.

O consignado destinado ao Governo do estado do Espírito Santo está repleto de boas condições! No entanto destina-se somente aos Servidores Públicos. Saiba mais, abaixo!

Ademais, o empréstimo ofertado para o governo do estado do Espírito Santo é muito simples e fácil de solicitar. No entanto, basta clicar no botão Solicite e preencher o formulário para que nosso time de consultores possa entrar em contato.

Consignado Governo Espírito Santo + Vantagens

O consignado oferecido para o governo do Espírito Santo possui diversas vantagens, como por exemplo:

  • Sem Consulta aos órgãos SPC/SERASA
  • Não cobra TAC
  • Contudo, possui as melhores taxas do mercado
  • Longo prazo para efetuar o pagamento

Público Alvo

O consignado para os servidores públicos do governo do ES está destinado ao seguinte público:

  • Servidores Efetivos (Ativos)
  • Pensionista
  • Aposentado

O empréstimo para os servidores estaduais do Espírito Santo será liberado através do cartão de crédito.

Cálculo de Margem

A margem consignável é o limite máximo que se pode comprometer em parcelas de empréstimo consignado. Portanto, para calcular a margem, aplicamos as seguintes regras:

Calculo 70% = ((Total de Proventos * 70%) – (Total de Descontos)).

Caso não tenha margem consignável, considere nossa opção para Refinanciamento de seus contratos.

Regulamentação

Todas as modalidades de crédito Consignado atendem a uma regulamentação do Banco Central e Lei 10.820. Estes, por sua vez, determinam as regras de contratação. No entanto, os convênios firmados entre seu órgão tem regras específicas as quais serão consideradas na liberação do seu Crédito. Contudo, as instituições financeiras têm políticas de crédito específicas conforme perfil do cliente. Portanto, tais regras também serão consideradas.

Idade e Limites de Crédito

  • Idade de 18 anos até 70 anos = R$ 15.000,00
  • Idade de 71 anos até 75 anos = R$ 2.000,00

Documentação

  • Documento de identificação RG
  • Cadastro de Pessoa Física (CPF)
  • Comprovante de Residência
  • Último comprovante de rendimento

Consignado Governo Rondônia

Rondônia é um estado pertencente a região norte do Brasil. Sua capital é a cidade de Porto Velho. Criado em 1982, o estado é responsável por 11% do Produto Interno Bruto (PIB) da região norte. Contudo, sua economia baseia-se na agricultura e na pecuária e no extrativismo da madeira, de minérios e da borracha.

Esse empréstimo consignado é oferecido para o governo do estado de Rondônia aos servidores públicos que necessitam de dinheiro para pagar dívida, viajar, fazer uma reforma, etc, …

Ademais, o Consignado Governo de Rondônia é muito simples e fácil de solicitar. No entanto, é só clicar no botão Solicite e preencher o formulário para que nosso time de consultores possa entrar em contato.

Consignado Governo Rondônia + Vantagens

O consignado oferecido para o governo de Rondônia possui ótimas condições. No entanto, confira algumas:

  • Sem Consultas ao SPC e ao SERASA
  • No entanto, não existe cobrança de TAC
  • Contudo, possui taxas bem interessantes
  • Possui prazos mais longos para pagar

Público Alvo

O Consignado Governo do estado de Rondônia está destinado ao seguinte público:

  • Servidor ativo/efetivo
  • Servidor Aposentado
  • Servidor Pensionista
  • Celetista

Cálculo de Margem

A margem consignável é o limite máximo que se pode comprometer em parcelas de empréstimo consignado. Ademais, para calcular a margem, aplicamos as seguintes regras:

Calculo 70% = ((Total de Proventos * 70%) – (Total de Descontos)).

No entanto, caso não tenha margem consignável, considere nossa opção para Refinanciamento de seus contratos.

Regulamentação

Todas as modalidades de crédito Consignado atendem a uma regulamentação do Banco Central e Lei 10.820. Estes, por sua vez, determinam as regras de contratação. No entanto, os convênios firmados entre seu órgão tem regras específicas as quais serão consideradas na liberação do seu Crédito. Contudo, as instituições financeiras têm políticas de crédito específicas conforme perfil do cliente. Portanto, tais regras também serão consideradas.

Idade x Valor

  • Idade de 18 anos até 67 anos e 11 meses = Valor máximo liberado: R$ 200.000,00
  • Idade de 68 anos até 69 anos e 11 meses = Valor máximo liberado: R$ 170.000,00
  • Idade de 70 anos até 71 anos e 11 meses = Valor máximo liberado: R$ 120.000,00
  • Idade de 72 anos até 74 anos e 11 meses = Valor máximo liberado: R$ 30.000,00

Pensionista

  • Idade de 18 anos até 25 anos = Valor liberado: De R$ 250,00 até R$ 200.000,00

Celetista

  • Até 59 anos e 11 meses = R$ 200.000,00

Documentação

  • RG
  • CPF
  • Comprovante de Residência
  • Último contracheque

Empréstimo Consignado Governo Acre

Acre é um estado brasileiro pertencente a região norte. Sua capital é a cidade de Rio Branco. O Acre foi criado em 1877 pela Bolívia. Em 1904, o Brasil conquistou a terra e a batizou de Território Federal do Acre. Somente em 1962, o então presidente do Brasil João Goulard decretou o Acre como sendo um estado brasileiro. Sua renda vem quase que exclusivamente da produção e exportação da borracha.

O consignado do governo do estado do Acre é um empréstimo que possui ótimas condições para os servidores públicos.

Ademais, o Consignado Governo do estado do Acre é muito simples e fácil de solicitar. No entanto, basta clicar no botão Solicite e preencher o formulário para que nosso time de consultores possa entrar em contato.

Consignado Governo Acre + Vantagens

O empréstimo ofertado para o governo do Acre é repleto de ótimas condições. Contudo, confira algumas:

  • Sem Consultas ao SPC/SERASA
  • No entanto, sem cobrança de TAC
  • Contudo, possui taxas de juros baixas
  • Possui prazos extensos para pagar

Público Alvo

O Consignado Governo do estado do Acre está destinado ao seguinte público:

  • Servidor ativo/efetivo
  • Servidor Aposentado
  • Servidor Pensionista
  • Celetista

Cálculo de Margem

A margem consignável é o limite máximo que se pode comprometer em parcelas de empréstimo consignado. Ademais, para calcular a margem, aplicamos as seguintes regras:

Calculo 70% = ((Total de Proventos * 70%) – (Total de Descontos)).

No entanto, caso não tenha margem consignável, considere nossa opção para Refinanciamento de seus contratos.

Regulamentação

Todas as modalidades de crédito Consignado atendem a uma regulamentação do Banco Central e Lei 10.820. Estes, por sua vez, determinam as regras de contratação. No entanto, os convênios firmados entre seu órgão tem regras específicas as quais serão consideradas na liberação do seu Crédito. Contudo, as instituições financeiras têm políticas de crédito específicas conforme perfil do cliente. Portanto, tais regras também serão consideradas.

Idade x Valor

  • Idade de 18 anos até 67 anos e 11 meses = Valor máximo liberado: R$ 200.000,00
  • Idade de 68 anos até 69 anos e 11 meses = Valor máximo liberado: R$ 170.000,00
  • Idade de 70 anos até 71 anos e 11 meses = Valor máximo liberado: R$ 120.000,00
  • Idade de 72 anos até 74 anos e 11 meses = Valor máximo liberado: R$ 30.000,00

Pensionista

  • Idade de 18 anos até 25 anos = Valor liberado: De R$ 250,00 até R$ 200.000,00

Celetista

  • Até 59 anos e 11 meses = R$ 200.000,00

Documentação

  • Registro Geral
  • Cadastro de Pessoa Física
  • Comprovante de Endereço
  • Último comprovante de rendimento

Empréstimo Consignado Governo Paraíba

Paraíba é um estado localizado na região nordeste do Brasil. Sua capital é João Pessoa. Diversos escritores e poetas brasileiros nasceram na Paraíba, como por exemplo: Augusto do Anjos (poeta), Pedro Américo (pintor de cenas da história nacional), Assis Chateaubriant (fundador do MASP e da TV Tupi), entre outros.

O empréstimo consignado destinado ao Governo do Estado da Paraíba é excelente para você que precisa de dinheiro para pagar uma conta, comprar um carro ou realizar uma viagem. Descubra mais abaixo!

Ademais, o Consignado Governo do estado da Paraíba é muito simples e fácil de solicitar. No entanto, basta clicar no botão Solicite e preencher o formulário para que nosso time de consultores possa entrar em contato.

Consignado Governo Paraíba + Vantagens

O empréstimo ofertado para o governo do estado da Paraíba é repleto de vantagens. No entanto, confira algumas:

  • Sem Consultas ao SPC/SERASA
  • No entanto, não tem TAC
  • Contudo, possui taxas de juros bem atrativas
  • Possui prazos maiores para pagar

Público Alvo

O Consignado Governo da PB está destinado ao seguinte público:

  • Servidor ativo/efetivo
  • Servidor Aposentado
  • Servidor Pensionista

Cálculo de Margem

A margem consignável é o limite máximo que se pode comprometer em parcelas de empréstimo consignado. Ademais, para calcular a margem, aplicamos as seguintes regras:

Calculo 70% = ((Total de Proventos * 70%) – (Total de Descontos)).

No entanto, caso não tenha margem consignável, considere nossa opção para Refinanciamento de seus contratos.

Regulamentação

Todas as modalidades de crédito Consignado atendem a uma regulamentação do Banco Central e Lei 10.820. Estes, por sua vez, determinam as regras de contratação. No entanto, os convênios firmados entre seu órgão tem regras específicas as quais serão consideradas na liberação do seu Crédito. Contudo, as instituições financeiras têm políticas de crédito específicas conforme perfil do cliente. Portanto, tais regras também serão consideradas.

Idade x Valor

  • Idade de 18 anos até 67 anos e 11 meses = Valor máximo liberado: R$ 200.000,00
  • Idade de 68 anos até 69 anos e 11 meses = Valor máximo liberado: R$ 170.000,00
  • Idade de 70 anos até 71 anos e 11 meses = Valor máximo liberado: R$ 120.000,00
  • Idade de 72 anos até 74 anos e 11 meses = Valor máximo liberado: R$ 30.000,00

Pensionista

  • Idade de 18 anos até 25 anos = Valor liberado: De R$ 250,00 até R$ 200.000,00

Documentação

  • Registro Geral
  • Cadastro de Pessoa Física
  • Comprovante de Endereço
  • Último comprovante de rendimento

Consignado Governo Amazonas

O Amazonas é o maior estado do Brasil. Localizado na região norte e coberto pela maior floresta tropical do mundo, a floresta Amazônica. Sua capital é Manaus, que a cidade mais populosa do estado. No entanto, é o sexto estado mais rico do Brasil. Em seu território, abriga-se diversas empresas nacionais e internacionais.

Este cartão de crédito é oferecido para os Servidores Públicos Estaduais do Amazonas. Se você é funcionário público do governo e está precisando de dinheiro, saiba que este cartão poderá ser a sua salvação.

Ademais, o cartão de crédito ofertado para o estado Amazonense é muito simples e fácil de solicitar. No entanto, é só clicar no botão Solicite e preencher o formulário para que nosso time de consultores possa entrar em contato.

Cartão de Crédito Estado do Amazonas + Vantagens

O cartão de crédito fornecido pelo governo do estado do Amazonas tem diversas vantagens, como por exemplo:

  • Não tem Consulta no SPC/SERASA
  • Não cobra TAC
  • Contudo, possui taxas de juros reduzidas
  • Prazos mais longos para pagar

Público Alvo

O cartão de crédito para os servidores públicos do AM está destinado ao seguinte público:

  • Servidor ativo/efetivo admitido estatutário
  • CLT Concursado
  • Servidor Aposentado ou Pensionista

Cálculo de Margem

A margem consignável é o limite máximo que se pode comprometer em parcelas de empréstimo consignado. Portanto, para calcular a margem, aplicamos as seguintes regras:

Calculo 70% = ((Total de Proventos * 70%) – (Total de Descontos)).

Caso não tenha margem consignável, considere nossa opção para Refinanciamento de seus contratos.

Regulamentação

Todas as modalidades de crédito Consignado atendem a uma regulamentação do Banco Central e Lei 10.820. Estes, por sua vez, determinam as regras de contratação. No entanto, os convênios firmados entre seu órgão tem regras específicas as quais serão consideradas na liberação do seu Crédito. Contudo, as instituições financeiras têm políticas de crédito específicas conforme perfil do cliente. Portanto, tais regras também serão consideradas.

Idade x Valor

  • Idade de 21 anos até 69 anos e 11 meses = Valor máximo liberado: R$ 250.000,00
  • Idade de 70 anos até 74 anos e 11 meses = Valor máximo liberado: R$ 50.000,00

Documentação

  • Documento de identificação
  • CPF
  • Comprovante de Endereço
  • Último contracheque

Empréstimo Consignado Governo Maranhão

O estado do Maranhão está localizado em uma posição estratégica entre as regiões Norte e Nordeste do Brasil. Sua capital é a cidade de São Luís. De belezas naturais, o estado do Maranhão possui a Chapada das Mesas, o Parque Estadual da Lagoa da Jansen e a Mata dos Cocais.

O Empréstimo Consignado que o Governo do Maranhão possui, certamente lhe atenderá. Esse empréstimo possui taxa de juros atraentes. Saiba agora mesmo mais informações e vantagens!

Ademais, o Consignado Governo do Maranhão é muito simples e fácil de solicitar. No entanto, basta clicar no botão Solicite e preencher o formulário para que nosso time de consultores possa entrar em contato.

Consignado Governo Maranhão + Vantagens

O empréstimo consignado realizado para o governo do estado do Maranhão é repleto de vantagens. No entanto, confira algumas:

  • Não tem Consulta no SPC e nem no SERASA
  • No entanto, não possui cobrança de TAC
  • O crédito será enviado para a conta especificada no comprovante de rendimento
  • Contudo, possui taxas de juros menores
  • Possui prazos maiores para efetuar o pagamento

Público Alvo

O Consignado Governo do MA está destinado ao seguinte público:

  • Servidor ativo/efetivo
  • Celetista
  • Comissionado
  • Contratado
  • Servidor Aposentado
  • Servidor Pensionista

Cálculo de Margem

A margem consignável é o limite máximo que se pode comprometer em parcelas de empréstimo consignado. Ademais, para calcular a margem, aplicamos as seguintes regras:

Calculo 70% = ((Total de Proventos * 70%) – (Total de Descontos)).

No entanto, caso não tenha margem consignável, considere nossa opção para Refinanciamento de seus contratos.

Regulamentação

Todas as modalidades de crédito Consignado atendem a uma regulamentação do Banco Central e Lei 10.820. Estes, por sua vez, determinam as regras de contratação. No entanto, os convênios firmados entre seu órgão tem regras específicas as quais serão consideradas na liberação do seu Crédito. Contudo, as instituições financeiras têm políticas de crédito específicas conforme perfil do cliente. Portanto, tais regras também serão consideradas.

Idade x Valor

  • Idade de 18 anos até 67 anos e 11 meses = Valor máximo liberado: R$ 200.000,00
  • Idade de 68 anos até 69 anos e 11 meses = Valor máximo liberado: R$ 170.000,00
  • Idade de 70 anos até 71 anos e 11 meses = Valor máximo liberado: R$ 120.000,00
  • Idade de 72 anos até 74 anos e 11 meses = Valor máximo liberado: R$ 30.000,00

Celetista

  • Idade de 18 anos até 59 anos e 11 meses = Valor máximo liberado: R$ 200.000,00

Documentação

  • RG
  • CPF
  • Comprovante de Endereço
  • Último comprovante de rendimento

Consignado Governo Mato Grosso

Mato Grosso é um estado pertencente a região centro-oeste do Brasil. Sua capital é Cuiabá. É um estado banhado por diversos rios. /citaremos alguns: Rio Araguaia, Xingu, Paraguai e São Lourenço. Em MT, existem as seguintes unidades de conservação a nível nacional: Parque nacional do Xingu, parque nacional do Pantanal do estado de Mato Grosso, entre outros.

O consignado destinado ao governo do estado de Mato Grosso é um empréstimo para quem precisa de dinheiro sem juros abusivos. Conheça mais abaixo!

Ademais, o Consignado Governo do Mato Grosso é muito simples e fácil de solicitar. No entanto, basta clicar no botão Solicite e preencher o formulário para que nosso time de consultores possa entrar em contato.

Consignado Governo Mato Grosso + Vantagens para você

O empréstimo consignado pelo governo do Mato Grosso é repleto de vantagens. No entanto, confira as principais:

  • Não tem Consulta no SPC e nem no SERASA
  • No entanto, não possui cobrança de TAC
  • Contudo, possui taxas de Juros atraentes
  • Possui prazos mais extensos para pagar

Público Alvo

O Consignado Governo do MT está destinado ao seguinte público:

  • Servidor ativo/efetivo com cargo em comissão
  • Comissionado
  • Contratado
  • Servidor Aposentado
  • Servidor Pensionista

Cálculo de Margem

A margem consignável é o limite máximo que se pode comprometer em parcelas de empréstimo consignado. Ademais, para calcular a margem, aplicamos as seguintes regras:

Calculo 70% = ((Total de Proventos * 70%) – (Total de Descontos)).

No entanto, caso não tenha margem consignável, considere nossa opção para Refinanciamento de seus contratos.

Regulamentação

Todas as modalidades de crédito Consignado atendem a uma regulamentação do Banco Central e Lei 10.820. Estes, por sua vez, determinam as regras de contratação. No entanto, os convênios firmados entre seu órgão tem regras específicas as quais serão consideradas na liberação do seu Crédito. Contudo, as instituições financeiras têm políticas de crédito específicas conforme perfil do cliente. Portanto, tais regras também serão consideradas.

Idade x Valor

  • Idade de 18 anos até 67 anos e 11 meses = Valor máximo liberado: R$ 200.000,00
  • Idade de 68 anos até 69 anos e 11 meses = Valor máximo liberado: R$ 170.000,00
  • Idade de 70 anos até 71 anos e 11 meses = Valor máximo liberado: R$ 120.000,00
  • Idade de 72 anos até 74 anos e 11 meses = Valor máximo liberado: R$ 30.000,00

Documentação

  • RG
  • CPF
  • Comprovante de Endereço
  • Último contracheque

Empréstimo Consignado BMG INSS

Linha de crédito consignado BMG INSS, disponível para aposentados e pensionistas do INSS, com desconto em folha de pagamento.

Como Funciona o Consignado BMG INSS

O Empréstimo Consignado BMG INSS tem condições especiais as quais iremos detalhar de forma bem simples e objetiva para você. Continue lendo e veja como o empréstimo consignado do Banco BMG pode lhe ajudar!

O empréstimo consignado BMG INSS é portanto, a melhor opção que existe hoje no mercado para esta finalidade. Além de ser muito mais barato, ainda não cobra TAC. Portanto, é uma modalidade de crédito muito barata!

Diante disso, essa é uma boa opção se você é aposentado ou pensionista do INSS e está pensando em uma modalidade de crédito para pagar suas contas.

Ademais, o Consignado BMG INSS é muito simples e fácil de solicitar. Basta clicar no botão Solicite, escolher a opção BMG e preencher o formulário para que nosso time de consultores possa entrar em contato.

Empréstimo Consignado BMG INSS +Vantagens

Desfrute também de algumas das vantagens que só o BMG tem:

  • Sem Consulta
  • Parcelas Fixas
  • Prazos mais Longos para pagar
  • Taxas à partir de 1,6% a.m

Público Atendido

Esta modalidade de crédito é destinada à APOSENTADOS e PENSIONISTASdo INSS em conformidade com convênio firmado entre o Instituto Nacional de Seguridade Social e o BMG.

Para os demais convênios, consulte nossa equipe de suporte, pois estamos aqui para isso!

Política de Crédito

Um dos detalhes mais importantes antes de contratar, é analisar seu perfil. A política de crédito do banco atende as seguintes regras, como por exemplo:

  • Idade de 23 a 77 anos
  • Não atende a espécie 32 do INSS
  • Espécie 21 somente acima de 40 anos

O Banco não atende a clientes do Estado do Maranhão e Piauí. Contudo, podemos analisar outras opções.

Opções De Crédito

Linhas de Crédito específicas que atendem a sua necessidade, como por exemplo o Refinanciamento, Portabilidade e Cartões como o BMG Card são opções que você encontra aqui no Portal Consignados.

Dúvidas Frequentes

Conheça algumas das principais dúvidas de nossos clientes em relação ao empréstimo consignado BMG INSS. No entanto, caso tenha a sua, não hesite em nos chamar!

Posso fazer um empréstimo consignado mesmo tendo nome sujo?

Resposta: No empréstimo consignado você não precisa se preocupar com restrições junto ao SERASA ou SPC.

Existe correção monetária no valor das minhas parcelas?

Resposta: As parcelas são fixas e você sabe o quanto vai pagar do ínicio ao final do seu contrato de empréstimo.

Qual o maior número de vezes que posso pagar meu empréstimo consignado Banco BMG INSS?

Resposta: Parcelamentos em até 72 meses para pagar com taxas de juros diferenciadas para você que é cliente BMG aposentado ou Pensionista do INSS.

O Empréstimo Consignado INSS do Banco BMG é portanto, uma das melhores opções no mercado atualmente!

História do Banco BMG

Banco BMGBanco BMG é uma instituição financeira com uma história de mais de 80 anos. Foi o banco precursor do empréstimo consignado no Brasil tendo como seu produto principal o empréstimo consignado INSS BMG. O BMG se tornou especialista em entender os problemas dos aposentados e pensionistas do INSS. Atualmente, o Banco BMG se uniu com o Banco Itaú. Portanto, com essa fusão se tornou o Maior Banco do setor de consignados.

NOTA AO LEITOR

O portal consignados tem como objetivo orientar e ajudar os consumidores de crédito consignado, com artigos e informações importantantes. Quaisquer problemas com relação a instituição financeira relacionada a este artigo é de extrema e única responsábilidade da instituição. Ajude o portal consignados a manter seu trabalho de ajuda e denuncia em casos de abusos, optando por contratar seu empréstimo através de nossos parceiros.

Consignado Governo Mato Grosso do Sul

O estado do Mato Grosso do Sul está localizado na região centro-oeste do Brasil. Sua capital é Campo Grande. A extremidade ocidental do estado é coberta pelo Pantanal. As principais atividades econômicas do estado são: a agricultura, a pecuária e a indústria alimentícia, de cimento e mineração.

Se você é servidor do governo do estado de Mato Grosso do Sul, saiba que esse empréstimo foi feito para você. Confira abaixo as informações!

Ademais, o Consignado Governo do Mato Grosso do Sul é muito simples e fácil de solicitar. No entanto, basta clicar no botão Solicite e preencher o formulário para que nosso time de consultores possa entrar em contato.

Consignado Governo Mato Grosso do Sul + Vantagens

O empréstimo consignado pelo governo do Mato Grosso do Sul é repleto de vantagens. No entanto, confira as principais:

  • Não tem Consulta no SPC/SERASA
  • Não cobra TAC
  • Contudo, possui taxas de Juros bem atraentes
  • Prazos mais longos para pagar

Público Alvo

O Consignado Governo do MS está destinado ao seguinte público:

  • Servidor ativo/efetivo admitido estatutário
  • CLT Concursado
  • Servidor Aposentado ou Pensionista

Cálculo de Margem

A margem consignável é o limite máximo que se pode comprometer em parcelas de empréstimo consignado. Portanto, para calcular a margem, aplicamos as seguintes regras:

Calculo 70% = ((Total de Proventos * 70%) – (Total de Descontos)).

Caso não tenha margem consignável, considere nossa opção para Refinanciamento de seus contratos.

Regulamentação

Todas as modalidades de crédito Consignado atendem a uma regulamentação do Banco Central e Lei 10.820. Estes, por sua vez, determinam as regras de contratação. No entanto, os convênios firmados entre seu órgão tem regras específicas as quais serão consideradas na liberação do seu Crédito. Contudo, as instituições financeiras têm políticas de crédito específicas conforme perfil do cliente. Portanto, tais regras também serão consideradas.

Política de Crédito

Contudo, este produto está condicionado a política interna do Banco conforme regra abaixo:

Idade x Valor

  • Idade de 21 anos até 69 anos e 11 meses = Valor máximo liberado: R$ 250.000,00
  • Idade de 70 anos até 74 anos e 11 meses = Valor máximo liberado: R$ 50.000,00

Documentação

  • Carteira de Identidade
  • CPF
  • Comprovante de Residência

Consignado Governo Pernambuco

O estado de Pernambuco tem como a sua capital, a bela cidade do Recife. Pernambuco foi o primeiro núcleo econômico do Brasil, no qual foi destaque na extração de pau-Brasil. Ademais, possui como paraísos tropicais os arquipélagos de Fernando de Noronha, São Pedro e São Paulo.

 O empréstimo consignado do Governo de Pernambuco é destinado aos seus funcionários públicos e é altamente recomendado pelo Portal Consignados.

Ademais, o Consignado Governo Paraná é muito simples e fácil de solicitar. No entanto, basta clicar no botão Solicite e preencher o formulário para que nosso time de consultores possa entrar em contato.

Consignado Governo Pernambuco + Vantagens

Você, que é servidor público do governo de Pernambuco e está necessitando de dinheiro com urgência, confira as vantagens do empréstimo consignado:

  • Não tem Consulta no SPC nem SERASA
  • Não cobra TAC (Taxa de Abertura de Crédito)
  • Contudo, possui taxas de Juros competitivas
  • Prazo de até 72 meses para pagar

Público Alvo

O Consignado Governo de Pernambuco está destinado ao seguinte público:

  • Servidor ativo/efetivo admitido há no mínimo 3 meses como estatutário
  • Servidor Aposentado
  • Pensionista

Cálculo de Margem

A margem consignável é o limite máximo que se pode comprometer em parcelas de empréstimo consignado. Portanto, para calcular a margem, aplicamos as seguintes regras:

Calculo 70% = ((Total de Proventos * 70%) – (Total de Descontos)).

Caso não tenha margem consignável, considere nossa opção para Refinanciamento de seus contratos.

Regulamentação

Todas as modalidades de crédito Consignado atendem a uma regulamentação do Banco Central e Lei 10.820. Estes, por sua vez, determinam as regras de contratação. No entanto, os convênios firmados entre seu órgão tem regras específicas as quais serão consideradas na liberação do seu Crédito. Contudo, as instituições financeiras têm políticas de crédito específicas conforme perfil do cliente. Portanto, tais regras também serão consideradas.

Política de Crédito

Contudo, este produto está condicionado a política interna do Banco conforme regra abaixo:

Idade x Valor

  • Idade mínima : 21 anos
  • Valor máximo liberado para idade mínima: R$ 250.000,00
  • Idade máxima: 74 anos e 11 meses
  • Valor máximo liberado para idade máxima: R$ 50.000,00

Documentação

  • Carteira de Identidade
  • CPF
  • Comprovante de Residência

Consignado Prefeitura Olinda

Olinda é conhecida por seus bonecos gigantes, pela sua beleza estonteante e pelos seus ritmos característicos como o Frevo e o Maracatu. Contudo, em 2006, foi eleita a primeira capital brasileira da cultura. Sua fundação é datada de 1535, sendo a mais antiga cidade brasileira e ser declarada Patrimônio Histórico e Cultural da Humanidade pela Unesco em 1982.

O empréstimo consignado da Prefeitura de Olinda é feito para você que é funcionário público e que precisa de dinheiro sem burocracia e com agilidade. Recomendo adquirir o consignado prefeitura de Olinda!

Ademais, o Consignado Prefeitura de Olinda é muito simples e fácil de solicitar. Contudo, é só clicar no botão Solicite e preencher o formulário para que nosso time de consultores possa entrar em contato.

Consignado Prefeitura Olinda + Vantagens

Veja agora quais são as vantagens de se adquirir o consignado pela prefeitura de Olinda:

  • Sem Consulta no SPC ou SERASA
  • Prazo de até 72 vezes
  • Parcelas Fixas
  • No entanto, com desconto em folha
  • Taxa de Juros Menores
  • Ademais, sem Cobrança de TAC ou Seguros

Situação funcional permitida

  • Estatutários
  • CLT concursados admitidos há no mínimo 3 meses.

Situação funcional não permitida

  • CLT com prazo determinado;
  • Contratado;
  • Comissionado;
  • Aposentados e Pensionistas que recebam pelo INSS

Considerações sobre público alvo

No entanto, para confirmação de estabilidade no contra cheque, deverá conter o desconto da Previdência IPAMV.

Regulamentação

O empréstimo Consignado é uma linha de crédito regulamentada e atende a lei 10.820 de 17 de Dezembro de 2003. Contudo, a regulamentação sobre o empréstimo consignado foi recentemente atualizada através da resolução 722 em 20 de Fevereiro de 2015. Ademais, essa lei que define além de prazos e condições, as obrigações entre as partes.

Margem consignável

  • Margem de Consignação: 30% (trinta por cento)
  • No entanto, a margem deve estar POSITIVA em pelo R$0,01 (um centavo).
  • A margem ZERADA no sistema significa MARGEM NEGATIVA. No entanto, para este caso, o cálculo deverá ser manual para identificar o real valor (negativo) da margem.

Ademais, por determinação da Prefeitura de Vitória o Crédito, só poderá ser enviado para conta onde o servidor recebe seu salário.

Idade x Valor

  • Idade mínima : 21 anos
  • Valor máximo liberado para idade mínima: R$ 250.000,00
  • Idade máxima: 70 anos
  • Valor máximo liberado para idade máxima: R$ 50.000,00

Documentos Necessários

  • RG ou CNH
  • CPF
  • Comprovante de Residência Atual

Ademais, a apresentação de todos os documentos de forma legível e dentro dos prazos de validade ajudam a agilizar seu empréstimo.

Consignado Siape Banco do Brasil

Conheça todas as vantagens obter um empréstimo consignado pelo Banco do Brasil! O Banco do Brasil é tradicional e moderno ao mesmo tempo. Digo isso por que o Banco do Brasil é versátil, ou seja, se adequa em qualquer situação. Com grandes parcerias e um time de sucesso, certamente é um banco que merece o nosso reconhecimento.

O Banco do Brasil é reconhecido por oferecer soluções para os agricultores. Mas isso não é tudo. Além do Brasil, o BB tem agências espalhadas em mais de 20 países, sempre oferecendo um excelente atendimento e uma infraestrutura que nenhum outro tem.

Ademais, o consignado Siape do Banco do Brasil é muito simples e fácil de solicitar. No entanto, é só clicar no botão Solicite e preencher o formulário para que nosso time de consultores possa entrar em contato.

Consignado Siape Banco do Brasil + Vantagens

Confira as vantagens do Consignado Servidores Federais pelo Banco do Brasil, como por exemplo:

  • Prazo mais longos para pagar
  • Efetuar o intencionamento no Portal do Servidor SIGAC
  • O crédito estará disponível na sua conta em até 30 minutos
  • É necessário ser correntista do Banco do Brasil
  • Desconto em folha de pagamento
  • As menores taxas de juros

Público Alvo

O empréstimo consignado Siape do Banco do Brasil atende ao seguinte público:

  • Servidores Federais

Análise de Margem

Aliás, nosso time de consultores está preparado em realizar consultas personalizadas a fim de proporcionar à você cliente, todas as opções possíveis em crédito.

Contudo, as principais são:

  • Empréstimo Novo (Condicionado a sua Margem dos 30%)
  • Refinanciamento
  • Portabilidade
  • Cartão de Crédito Consignado (Condicionado a sua margem dos 5%)

Nosso foco é analisar qual a melhor opção para você. Por isso, gostamos de colocar à sua disposição todas as possibilidades, mas a escolha é sempre sua.

Documentação Necessária

  • RG
  • CPF
  • Comprovante de Residência

OBS: Poderá ser solicitado documentos adicionais, conforme convênio e política de aprovação da Instituição Financeira.

Regulamentação

O Consignado Siape possui uma legislação específica para preservar seu direito, que é a Lei 10.820. Contudo, nesta lei está previsto o pagamento com desconto em folha e as condições gerais do empréstimo consignado.

Crédito Pessoal Automático Banco do Brasil

Conheça todas as vantagens do Crédito Pessoal Automático que o Banco do Brasil possui. Aliás, o BB é um dos bancos mais completos deste país. Com quase 210 anos de vida, o Banco do Brasil certamente possui algum produto que é compatível com o que você procura.

O BB é um banco que o povo brasileiro poderá falar que realmente é seu. Inaugurado pelos portugueses na cidade do Rio de Janeiro em 1808 e com sede em Brasília, este é um banco que nunca abandonou este nosso querido país.

Ademais, o crédito pessoal oferecido pelo Banco do Brasil é muito simples e fácil de solicitar. Contudo, é só clicar no botão Solicite e preencher o formulário para que nosso time de consultores possa entrar em contato.

Crédito Pessoal Automático Banco do Brasil + Vantagens

Conheça agora como funciona o crédito pessoal automático que o Banco do Brasil tem para oferecer para você:

  • Prazos mais longos para pagar
  • O desconto será feito através de débito em conta. Contudo, assim não comprometerá a renda do cliente
  • Sem burocracia

Quem poderá contratar:

O crédito pessoal automático que o BB oferece poderá ser contratado por:

  • Aposentados do INSS
  • Pensionistas do INSS
  • Funcionários de empresas privadas

Requisitos para contratação

Para contratar o crédito automático, é necessário que:

  • o cliente seja correntista do Banco do Brasil
  • haja movimentação na conta

Prazo para liberação

  • O prazo para liberar o crédito pessoal é de 30 minutos.

Regulamentação

No entanto, o segmento de Crédito Pessoal é regulamentado e fiscalizado pelo Banco Central do Brasil.

Documentação Necessária para Contratação

Ademais, o cliente que já é correntista do Banco do Brasil deverá fornecer os seguintes dados dos seus documentos:

  • CPF
  • Agência
  • Número da conta

Empréstimo com antecipação de 13 salário – BB

O maior banco da América Latina iniciou suas atividades em 1809, no Rio de Janeiro. Contudo, no início, suas negociações eram voltadas para a emissão de papel-moeda e operação com depósitos, descontos e empréstimos hipotecários. No entanto, ao longo dos anos, passou a dedicar-se ao mercado de capitais. Hoje, o Banco do Brasil ocupa uma posição de destaque no Sistema Financeiro Nacional.

Posições de destaque no Mercado Financeiro, Empresa do ano de 2014 pela revista Isto É Dinheiro e várias outras conquistas. O Banco do Brasil possui uma história de muita luta, força, foco, companheirismo e paixão pelo o que faz. Recomendo fortemente o BB.

Ademais, a antecipação de 13º Salário pelo Banco do Brasil é muito simples e fácil de solicitar. Contudo, basta clicar no botão Solicite e preencher o formulário para que nosso time de consultores possa entrar em contato.

Empréstimo com antecipação de 13º + Vantagens

Conheça agora como funciona o empréstimo com antecipação de 13º que o Banco do Brasil tem para oferecer:

  • Antecipação liberada para quem tem limite de crédito vigente e disponível
  • O desconto será feito através de débito em conta. Contudo, assim não comprometerá a renda do cliente
  • O limite do crédito dependerá muito do salário do aposentado ou pensionista que recebe salário pelo BB
  • Carência de 7 meses para o 1º pagamento da parcela

Requisitos para contratação

Para contratar a antecipação do 13º salário, é necessário que:

  • o cliente seja correntista do Banco do Brasil
  • haja movimentação na conta

Prazo para liberação

  • O prazo para liberar o crédito para antecipação o 13º salário é de 30 minutos.

Regulamentação

Contudo, este produto é regulamentado e fiscalizado pelo Banco Central do Brasil.

Documentação Necessária para Contratação

O cliente que já é correntista do Banco do Brasil deverá apresentar os seguintes documentos:

  • CPF
  • Agência
  • Número da conta

Portabilidade CCB Brasil Financeira

A CCB atua no mercado desde 1954. Suas atividades começaram na China e é considerado como um dos maiores conglomerados do mundo. No Brasil, suas atividades começaram em 2014. Contudo, a instituição atende principalmente empresas de grande porte, onde opera carteiras de crédito, de investimento e de câmbio. Ademais, a instituição também atua no comércio exterior.

A CCB Brasil tem como objetivo ser o principal intermediador de negócios financeiros incentivando o comércio exterior entre Brasil e China.

Ademais, a Portabilidade pela CCB Brasil é muito simples e fácil de solicitar. Contudo, basta clicar no botão Solicite e preencher o formulário para que nosso time de consultores possa entrar em contato.

Portabilidade CCB Brasil Financeira + Vantagens

Fazer a portabilidade CCB Brasil é a melhor forma para reduzir os juros e continuar com o mesmo prazo do contrato anterior.

Conheça quais são as vantagens de realizar a portabilidade pela CCB Brasil Financeira, como por exemplo:

  • Sem burocracia
  • Atendimento agilizado e personalizado

Taxa de Juros

As taxas de juros podem variar de acordo com o prazo e período ao qual se contratou se empréstimo consignado. Contudo, uma recomendação que sempre damos é que se verifique qual foi a taxa de juros contratada pelo seu contrato antigo. Também é importante que se faça a comparação com a taxa de juros cobrada na portabilidade de seu empréstimo consignado.

Prazo x Refinanciamento

Na maioria da vezes, a portabilidade é realizada mediante um refinanciamento. Aliás, a regra do Banco Central é que ao portar seu contrato, ele deverá manter o mesmo valor de parcela, quantidade de parcelas pagas e prazo.

Contudo, muitas vezes o cliente é abordado com esta informação, mas com a promessa que receberá um valor em troca. Isto é mentira! Ao fazer a portabilidade, seu contrato será refinanciado e voltará para o prazo inicial ou até mesmo para o prazo máximo conforme convênio.

Amparo Legal

A portabilidade de empréstimo consignado está regulamentada através da resolução Nº 4.292 de 20 de Dezembro de 2013 do Banco Central do Brasil. Nesta resolução, estabelece a relação entre as instituições financeiras e clientes. Essa atitude agiliza o processo e evita abusos por ambos os lados. Contudo, a portabilidade é um direito seu e nós do portal consignados fazemos valer.

Você Sabia?

A portabilidade é recomendada para clientes que possuam contratos com taxa de juros superiores as praticadas. No entanto, atualmente indicada para clientes que possuam algum impedimento junto a instituição financeira que esteja pagando seu empréstimo consignado ou impedidas por alguma política de crédito que atualmente impeça de refinanciar seu contrato.

Portabilidade Barigui Financeira

Barigui é uma empresa fundada em 1995 que realiza crédito, financiamento e investimento. A Barigui possui uma subsidiária que é a Barigui Companhia Hipotecária, onde recebeu autorização do Banco Central do Brasil em 2011 e iniciou as suas atividades em 2012.

A meta da Barigui é ser a melhor instituição financeira do mercado. Lhe digo que se continuarem assim, essa meta será concretizada e não irá demorar muito não.

Ademais, a Portabilidade pela Barigui é muito simples e fácil de solicitar. Contudo, basta clicar no botão Solicite e preencher o formulário para que nosso time de consultores possa entrar em contato.

Portabilidade Barigui Financeira + Vantagens

A Portabilidade Barigui é o melhor meio para reduzir os juros e continuar com o mesmo prazo do contrato anterior.

Conheça quais são as vantagens de realizar a portabilidade pela Barigui Financeira, como por exemplo:

  • Livre de burocracia
  • Atendimento agilizado e personalizado

Taxa de Juros

As taxas de juros podem variar de acordo com o prazo e período ao qual se contratou se empréstimo consignado. Contudo, uma recomendação que sempre damos é que se verifique qual foi a taxa de juros contratada pelo seu contrato antigo. Também é importante que se faça a comparação com a taxa de juros cobrada na portabilidade de seu empréstimo consignado.

Prazo x Refinanciamento

Na maioria da vezes, a portabilidade é realizada mediante um refinanciamento. Aliás, a regra do Banco Central é que ao portar seu contrato, ele deverá manter o mesmo valor de parcela, quantidade de parcelas pagas e prazo.

Contudo, muitas vezes o cliente é abordado com esta informação, mas com a promessa que receberá um valor em troca. Isto é mentira! Ao fazer a portabilidade, seu contrato será refinanciado e voltará para o prazo inicial ou até mesmo para o prazo máximo conforme convênio.

Amparo Legal

A portabilidade de empréstimo consignado está regulamentada através da resolução Nº 4.292 de 20 de Dezembro de 2013 do Banco Central do Brasil. Nesta resolução, estabelece a relação entre as instituições financeiras e clientes. Essa atitude agiliza o processo e evita abusos por ambos os lados. Contudo, a portabilidade é um direito seu e nós do portal consignados fazemos valer.

Você Sabia?

A portabilidade é recomendada para clientes que possuam contratos com taxa de juros superiores as praticadas. No entanto, atualmente indicada para clientes que possuam algum impedimento junto a instituição financeira que esteja pagando seu empréstimo consignado ou impedidas por alguma política de crédito que atualmente impeça de refinanciar seu contrato.

Portabilidade Alfa Financeira

A Alfa financeira atua no mercado desde 1925. A Financeira Alfa faz parte do Conglomerado Alfa. Esse conglomerado é formado pela Rede Transamérica de rádio e TV, o Hotel Transamérica, o banco holandês ABN AMRO, o Teatro Alfa, a C&C Casa e Construção, entre outras, …Veja como é fácil realizar a Portabilidade pela financeira Alfa.

A Alfa financeira se mantém há quase 100 anos realizando transações com total transparência. Recomendo que porte seus empréstimos para a Alfa.

Ademais, a Portabilidade pela Alfa é muito simples e fácil de solicitar. Contudo, basta clicar no botão Solicite e preencher o formulário para que nosso time de consultores possa entrar em contato.

Portabilidade Alfa Financeira + Vantagens para Você

A Portabilidade da Alfa é o melhor meio para reduzir os juros e continuar com a quantidade de parcelas do contrato anterior. Você continua com o mesmo prazo das parcelas mas os juros irão diminuir.

Conheça quais são as vantagens de realizar a portabilidade pela Alfa Financeira, como por exemplo:

  • Sem burocracia
  • Atendimento agilizado
  • Fácil de portar

Taxa de Juros

As taxas de juros podem variar de acordo com o prazo e período ao qual se contratou se empréstimo consignado. Contudo, uma recomendação que sempre damos é que se verifique qual foi a taxa de juros contratada pelo seu contrato antigo. Também é importante que se faça a comparação com a taxa de juros cobrada na portabilidade de seu empréstimo consignado.

Prazo x Refinanciamento

Na maioria da vezes, a portabilidade é realizada mediante um refinanciamento. Aliás, a regra do Banco Central é que ao portar seu contrato, ele deverá manter o mesmo valor de parcela, quantidade de parcelas pagas e prazo.

Contudo, muitas vezes o cliente é abordado com esta informação, mas com a promessa que receberá um valor em troca. Isto é mentira! Ao fazer a portabilidade, seu contrato será refinanciado e voltará para o prazo inicial ou até mesmo para o prazo máximo conforme convênio.

Amparo Legal

A portabilidade de empréstimo consignado está regulamentada através da resolução Nº 4.292 de 20 de Dezembro de 2013 do Banco Central do Brasil. Nesta resolução, estabelece a relação entre as instituições financeiras e clientes. Essa atitude agiliza o processo e evita abusos por ambos os lados. Contudo, a portabilidade é um direito seu e nós do portal consignados fazemos valer.

Você Sabia?

A portabilidade é recomendada para clientes que possuam contratos com taxa de juros superiores as praticadas. No entanto, atualmente indicada para clientes que possuam algum impedimento junto a instituição financeira que esteja pagando seu empréstimo consignado ou impedidas por alguma política de crédito que atualmente impeça de refinanciar seu contrato.

Portabilidade Banco Itaú

Fundado em 1945 e com sede na capital do estado de São Paulo, o Banco Itaú mostra-se como um dos bancos mais seguros quanto as operações de crédito. Em 2008, o Itaú realizou uma fusão com o Unibanco. No entanto, essa fusão fez do banco Itaú em dos maiores deste país.

Embora seja um dos maiores bancos do Brasil e esteja presente em 21 países, o Banco Itaú jamais deixou de lado o carinho e a dedicação que possui por seus clientes.

Ademais, a Portabilidade pelo Banco Itaú é muito simples e fácil de solicitar. Contudo, basta clicar no botão Solicite e preencher o formulário para que nosso time de consultores possa entrar em contato.

Portabilidade Banco Itaú + Vantagens para Você

A Portabilidade realizada pelo Itaú é a melhor forma para reduzir os juros e continuar pagando as parcelas com a mesma quantidade do contrato anterior.

Conheça quais são as vantagens de realizar a portabilidade pelo Banco Itaú, como por exemplo:

  • Sem burocracia
  • Atendimento agilizado
  • Fácil de realizar

Taxa de Juros

As taxas de juros podem variar de acordo com o prazo e período ao qual se contratou se empréstimo consignado. Contudo, uma recomendação que sempre damos é que se verifique qual foi a taxa de juros contratada pelo seu contrato antigo. Também é importante que se faça a comparação com a taxa de juros cobrada na portabilidade de seu empréstimo consignado.

Prazo x Refinanciamento

Na maioria da vezes, a portabilidade é realizada mediante um refinanciamento. Aliás, a regra do Banco Central é que ao portar seu contrato, ele deverá manter o mesmo valor de parcela, quantidade de parcelas pagas e prazo.

Contudo, muitas vezes o cliente é abordado com esta informação, mas com a promessa que receberá um valor em troca. Isto é mentira! Ao fazer a portabilidade, seu contrato será refinanciado e voltará para o prazo inicial ou até mesmo para o prazo máximo conforme convênio.

Amparo Legal

A portabilidade de empréstimo consignado está regulamentada através da resolução Nº 4.292 de 20 de Dezembro de 2013 do Banco Central do Brasil. Nesta resolução, estabelece a relação entre as instituições financeiras e clientes. Essa atitude agiliza o processo e evita abusos por ambos os lados. Contudo, a portabilidade é um direito seu e nós do portal consignados fazemos valer.

Você Sabia?

A portabilidade é recomendada para clientes que possuam contratos com taxa de juros superiores as praticadas. No entanto, atualmente indicada para clientes que possuam algum impedimento junto a instituição financeira que esteja pagando seu empréstimo consignado ou impedidas por alguma política de crédito que atualmente impeça de refinanciar seu contrato.

Portabilidade Banco Santander

O Santander é um banco tradicionalista que surgiu em 1857, na Espanha. Ele é o maior Banco da Zona Euro e sua marca é considerada a 3ª mais valiosa da Espanha. No Brasil, o Santander gera um lucro de 30% ao banco. Certamente é um dos Bancos mais rentáveis do nosso país.

Um banco repleto de conquistas e parcerias. Esse é o Santander. Um banco que se preocupa com o que há de mais importante; a vida.

Ademais, a Portabilidade pelo Banco Santander é muito simples e fácil de solicitar. Contudo, é só clicar no botão Solicite e preencher o formulário para que nosso time de consultores possa entrar em contato.

Portabilidade Banco Santander + Vantagens para Você

A Portabilidade através do Banco Santander é o melhor meio para reduzir os juros e continuar com a quantidade de parcelas do contrato anterior.

Conheça quais são as vantagens de realizar a portabilidade pelo Santander, como por exemplo:

  • Livre de burocracia
  • Atendimento rápido
  • Fácil de portar

Taxa de Juros

As taxas de juros podem variar de acordo com o prazo e período ao qual se contratou se empréstimo consignado. Contudo, uma recomendação que sempre damos é que se verifique qual foi a taxa de juros contratada pelo seu contrato antigo. Também é importante que se faça a comparação com a taxa de juros cobrada na portabilidade de seu empréstimo consignado.

Prazo x Refinanciamento

Na maioria da vezes, a portabilidade é realizada mediante um refinanciamento. Aliás, a regra do Banco Central é que ao portar seu contrato, ele deverá manter o mesmo valor de parcela, quantidade de parcelas pagas e prazo.

Contudo, muitas vezes o cliente é abordado com esta informação, mas com a promessa que receberá um valor em troca. Isto é mentira! Ao fazer a portabilidade, seu contrato será refinanciado e voltará para o prazo inicial ou até mesmo para o prazo máximo conforme convênio.

Amparo Legal

A portabilidade de empréstimo consignado está regulamentada através da resolução Nº 4.292 de 20 de Dezembro de 2013 do Banco Central do Brasil. Nesta resolução, estabelece a relação entre as instituições financeiras e clientes. Essa atitude agiliza o processo e evita abusos por ambos os lados. Contudo, a portabilidade é um direito seu e nós do portal consignados fazemos valer.

Você Sabia?

A portabilidade é recomendada para clientes que possuam contratos com taxa de juros superiores as praticadas. No entanto, atualmente indicada para clientes que possuam algum impedimento junto a instituição financeira que esteja pagando seu empréstimo consignado ou impedidas por alguma política de crédito que atualmente impeça de refinanciar seu contrato.

Portabilidade Caixa Econômica Federal

A Caixa Econômica Federal é o banco da população brasileira. No entanto, com quase 160 anos de vida, administra a Loteria Federal do Brasil desde 1961. Seus projetos assistenciais como o “Minha casa, minha vida” e o “Bolsa Família” são muito procurados pelo Brasil afora.

Um banco com multi funções, atuando firmemente nos projetos sejam eles assistenciais ou não, administrando as casas lotéricas do Brasil, garantindo abono salarial para aqueles que trabalharam registrados nos anos anteriores. Essa é a CEF. Recomendo a portabilidade da Caixa.

Ademais, a Portabilidade pela Caixa Econômica Federal é muito simples e fácil de solicitar. Contudo, basta clicar no botão Solicite e preencher o formulário para que nosso time de consultores possa entrar em contato.

Portabilidade Caixa Econômica Federal + Vantagens

A Portabilidade CEF é o melhor meio para adquirir redução de juros e continuar com a quantidade de parcelas de onde parou.

Conheça quais são as vantagens de realizar a portabilidade pelo Banco Caixa, como por exemplo:

  • Agilidade no processo e sem burocracia
  • O procedimento é totalmente seguro e fácil de contratar

Taxa de Juros

As taxas de juros podem variar de acordo com o prazo e período ao qual se contratou se empréstimo consignado. Contudo, uma recomendação que sempre damos é que se verifique qual foi a taxa de juros contratada pelo seu contrato antigo. Também é importante que se faça a comparação com a taxa de juros cobrada na portabilidade de seu empréstimo consignado.

Prazo x Refinanciamento

Na maioria da vezes, a portabilidade é realizada mediante um refinanciamento. Aliás, a regra do Banco Central é que ao portar seu contrato, ele deverá manter o mesmo valor de parcela, quantidade de parcelas pagas e prazo.

Contudo, muitas vezes o cliente é abordado com esta informação, mas com a promessa que receberá um valor em troca. Isto é mentira! Ao fazer a portabilidade, seu contrato será refinanciado e voltará para o prazo inicial ou até mesmo para o prazo máximo conforme convênio.

Amparo Legal

A portabilidade de empréstimo consignado está regulamentada através da resolução Nº 4.292 de 20 de Dezembro de 2013 do Banco Central do Brasil. Nesta resolução, estabelece a relação entre as instituições financeiras e clientes. Essa atitude agiliza o processo e evita abusos por ambos os lados. Contudo, a portabilidade é um direito seu e nós do portal consignados fazemos valer.

Você Sabia?

A portabilidade é recomendada para clientes que possuam contratos com taxa de juros superiores as praticadas. No entanto, atualmente indicada para clientes que possuam algum impedimento junto a instituição financeira que esteja pagando seu empréstimo consignado ou impedidas por alguma política de crédito que atualmente impeça de refinanciar seu contrato.

Portabilidade Banco do Brasil

O Banco do Brasil é um dos bancos estatais do governo brasileiro. Ademais, além do BB, os outros bancos estatais que fazem parte do governo brasileiro são: Banco do Nordeste, Caixa Econômica Federal, Banco da Amazônia e Banco Nacional de Desenvolvimento Econômico e Social.

O Banco do Brasil é um dos bancos mais antigos do nosso país. Contudo, já se passaram mais de 200 anos desde a sua fundação e o BB continua crescendo cada vez mais e mais. Conhecimento e tradição caminhando lado a lado com o Banco do Brasil.

No entanto, a Portabilidade pelo Banco do Brasil é muito simples e fácil de solicitar. Contudo, basta clicar no botão Solicite e preencher o formulário para que nosso time de consultores possa entrar em contato.

Portabilidade Banco do Brasil + Vantagens

A Portabilidade é o melhor meio para adquirir redução de juros e continuar as parcelas de onde parou.

Conheça quais são as vantagens de realizar a portabilidade pelo Banco Bradesco, como por exemplo:

  • O processo é bem rápido e não tem burocracia
  • O trâmite é totalmente seguro e fácil de contratar

Taxa de Juros

As taxas de juros podem variar de acordo com o prazo e período ao qual se contratou se empréstimo consignado. Contudo, uma recomendação que sempre damos é que se verifique qual foi a taxa de juros contratada pelo seu contrato antigo. Também é importante que se faça a comparação com a taxa de juros cobrada na portabilidade de seu empréstimo consignado.

Prazo x Refinanciamento

Na maioria da vezes, a portabilidade é realizada mediante um refinanciamento. Aliás, a regra do Banco Central é que ao portar seu contrato, ele deverá manter o mesmo valor de parcela, quantidade de parcelas pagas e prazo.

Contudo, muitas vezes o cliente é abordado com esta informação, mas com a promessa que receberá um valor em troca. Isto é mentira! Ao fazer a portabilidade, seu contrato será refinanciado e voltará para o prazo inicial ou até mesmo para o prazo máximo conforme convênio.

Amparo Legal

A portabilidade de empréstimo consignado está regulamentada através da resolução Nº 4.292 de 20 de Dezembro de 2013 do Banco Central do Brasil. Nesta resolução, estabelece a relação entre as instituições financeiras e clientes. Essa atitude agiliza o processo e evita abusos por ambos os lados. Contudo, a portabilidade é um direito seu e nós do portal consignados fazemos valer.

Você Sabia?

A portabilidade é recomendada para clientes que possuam contratos com taxa de juros superiores as praticadas. No entanto, atualmente indicada para clientes que possuam algum impedimento junto a instituição financeira que esteja pagando seu empréstimo consignado ou impedidas por alguma política de crédito que atualmente impeça de refinanciar seu contrato.

Portabilidade Banco Bradesco

Bradesco é um banco tradicional. Sua fundação é datada de 1943. O Banco Bradesco realiza múltiplos serviços. Seu foco são as ações nas quais investe muito. Em 2002, o Banco Bradesco foi considerado uma das marcas mais valiosas da América Latina pela consultoria Brand Finance.

Reconhecido como uma das maiores instituições financeiras do país e possuindo diversos prêmios ao longo da sua carreira, o Bradesco é uma excelente escolha para realizar a Portabilidade. 

Ademais, a Portabilidade Salário Bradesco é muito simples e fácil de solicitar. Contudo, basta clicar no botão Solicite e preencher o formulário para que nosso time de consultores possa entrar em contato.

Portabilidade Salário Bradesco + Vantagens

Conheça quais são as vantagens de poder receber o salário no banco Bradesco, como por exemplo:

  • Processo rápido e sem burocracia
  • Não precisa ser correntista

Quem poderá contratar?

  • Funcionário de empresa privada
  • Funcionário público

Taxa de Juros

As taxas de juros podem variar de acordo com o prazo e período ao qual se contratou se empréstimo consignado. Contudo, uma recomendação que sempre damos é que se verifique qual foi a taxa de juros contratada pelo seu contrato antigo. Também é importante que se faça a comparação com a taxa de juros cobrada na portabilidade de seu empréstimo consignado.

Prazo x Refinanciamento

Na maioria da vezes, a portabilidade é realizada mediante um refinanciamento. Aliás, a regra do Banco Central é que ao portar seu contrato, ele deverá manter o mesmo valor de parcela, quantidade de parcelas pagas e prazo.

Contudo, muitas vezes o cliente é abordado com esta informação, mas com a promessa que receberá um valor em troca. Isto é mentira! Ao fazer a portabilidade, seu contrato será refinanciado e voltará para o prazo inicial ou até mesmo para o prazo máximo conforme convênio.

Amparo Legal

A portabilidade de empréstimo consignado está regulamentada através da resolução Nº 4.292 de 20 de Dezembro de 2013 do Banco Central do Brasil. Nesta resolução, estabelece a relação entre as instituições financeiras e clientes. Essa atitude agiliza o processo e evita abusos por ambos os lados. Contudo, a portabilidade é um direito seu e nós do portal consignados fazemos valer.

Você Sabia?

A portabilidade é recomendada para clientes que possuam contratos com taxa de juros superiores as praticadas. No entanto, atualmente indicada para clientes que possuam algum impedimento junto a instituição financeira que esteja pagando seu empréstimo consignado ou impedidas por alguma política de crédito que atualmente impeça de refinanciar seu contrato.

Portabilidade Banco Inter

Se você está sofrendo com os juros altos do seu banco, saiba que solicitar uma portabilidade poderá a ser a sua solução. O Inter é o primeiro Banco 100% digital do Brasil. Ele oferece diversos serviços aos seus clientes, entre eles a Portabilidade. O Banco Inter possui taxas de juros bem atrativas.

Inter é um banco inovador. Todos os seus serviços são realizados digitalmente. No entanto, seus clientes contam com um atendimento personalizado com muito respeito até que todas as dúvidas sejam sanadas.

Ademais, a Portabilidade do Banco Inter é muito simples e fácil de solicitar. Contudo, basta clicar no botão Solicite e preencher o formulário para que nosso time de consultores possa entrar em contato.

Portabilidade Banco Inter + Vantagens

Conheça as vantagens que o banco Inter disponibiliza para você, como por exemplo:

  • Processo fácil, simples e rápido
  • Segurança e sigilo são primordiais
  • A portabilidade é realizada em um piscar de olhos

Taxa de Juros

As taxas de juros podem variar de acordo com o prazo e período ao qual se contratou se empréstimo consignado. Contudo, uma recomendação que sempre damos é que se verifique qual foi a taxa de juros contratada pelo seu contrato antigo. Também é importante que se faça a comparação com a taxa de juros cobrada na portabilidade de seu empréstimo consignado.

Prazo x Refinanciamento

Na maioria da vezes, a portabilidade é realizada mediante um refinanciamento. Aliás, a regra do Banco Central é que ao portar seu contrato, ele deverá manter o mesmo valor de parcela, quantidade de parcelas pagas e prazo.

Contudo, muitas vezes o cliente é abordado com esta informação, mas com a promessa que receberá um valor em troca. Isto é mentira! Ao fazer a portabilidade, seu contrato será refinanciado e voltará para o prazo inicial ou até mesmo para o prazo máximo conforme convênio.

Amparo Legal

A portabilidade de empréstimo consignado está regulamentada através da resolução Nº 4.292 de 20 de Dezembro de 2013 do Banco Central do Brasil. Nesta resolução, estabelece a relação entre as instituições financeiras e clientes. Essa atitude agiliza o processo e evita abusos por ambos os lados. Contudo, a portabilidade é um direito seu e nós do portal consignados fazemos valer.

Você Sabia?

A portabilidade é recomendada para clientes que possuam contratos com taxa de juros superiores as praticadas. No entanto, atualmente indicada para clientes que possuam algum impedimento junto a instituição financeira que esteja pagando seu empréstimo consignado ou impedidas por alguma política de crédito que atualmente impeça de refinanciar seu contrato.

Parcele Banco CBSS – A nova opção para pagamento online

Conheça o Parcele! Este é o mais novo produto do Banco CBSS. É um banco ainda jovem, mas dotado de muita garra e caráter. Ademais, sua determinação o fez crescer muito nesses poucos anos de vida. Contudo, o CBSS realizou diversas parcerias e inovações em suas táticas e produtos. E com o Parcele não foi diferente. Veja a seguir e comprove!

O CBSS enxerga e dá o devido valor que os clientes esperam. O Banco reconhece que são os clientes que o mantém.  Ademais, com muita agilidade nas transações, o banco CBSS é uma das instituições mais promissoras do nosso país.

Parcele Banco CBSS + vantagens para você

Parcele é um produto que o CBSS criou para facilitar o comércio online sem a necessidade de usar o seu cartão de crédito e estourar o seu limite. É mais um produto inovador que o banco CBSS lança no mercado. No entanto, conheça agora todas as suas vantagens:

  • Poderá parcelar a sua compra online em até 24 vezes
  • Crédito liberado sem burocracia
  • Financia até 100% das suas compras
  • O pagamento da primeira parcela vencerá 30 dias após a finalização da compra
  • Você receberá a sua compra no seu endereço

Ademais, a forma de pagamento que o Parcele aceita é:

  • Boleto Online

Essa forma de pagamento irá aparecer antes da finalização da compra online na última opção como PARCELE. Após escolher a opção PARCELE, a compra poderá ser finalizada.

Obs: Os boletos e as informações do contrato serão encaminhados por e-mail.

Regulamentação

Contudo, a lei que regulamenta o comércio eletrônico no Brasil é o decreto nº 7962, de 15/03/2013.

Você sabia?

Com mais de 17 anos no Mercado de Empréstimo Consignado e com uma equipe treinada para lhe auxiliar na melhor decisão. No entanto, o Portal Consignados trabalha em parceria com diversos bancos para lhe oferecer sempre o melhor negócio.

Contrate seu empréstimo consignado clicando aqui

Banco CBSS Consignado INSS

O banco CBSS é um banco ainda jovem. Mas isso não significa que sua experiência seja pequena. Ao contrário, o CBSS já possui uma carteira com mais de 2 milhões de clientes. Firmando parcerias com grandes empresas e se dedicando ao mercado de créditos e seguros, o CBSS banco almeja seu crescimento com respeito e simplicidade.

O CBSS transmite confiança e solidez em todas as suas transações. É um banco inovador e criativo! Recomendo que conheçam o banco CBSS!

Ademais, o empréstimo consignado INSS pelo Banco CBSS é muito simples e fácil de solicitar. Contudo, basta clicar no botão Solicite e preencher o formulário para que nosso time de consultores especializados possa entrar em contato.

Banco CBSS Consignado INSS + Vantagens

Os produtos que o Banco CBSS comercializa são cartões de crédito com as bandeiras visa e Mastercard, Empréstimos Pessoais, Empréstimos Consignados e seguros.

Ademais, veja quais são as principais vantagens de contratar um empréstimo INSS com o Banco CBSS:

  • Parcelas Fixas
  • Desconto na folha do benefício
  • Não há consulta ao SPC/SERASA
  • Sem cobrança de TAC
  • Liberação do crédito agilizada
  • Prazos flexíveis para pagamento
  • Taxas de juros competitivas

Público Alvo

Esta modalidade de crédito está destinada ao seguinte público, como por exemplo:

  • Aposentados do INSS
  • Pensionistas do INSS

Analise de Margem

Contudo, para contratar um empréstimo consignado INSS, é necessário possuir margem consignável. Por este motivo, realizamos pesquisas junto ao INSS para conciliar sua necessidade à sua margem consignável. Não precisa se preocupar com as nossas pesquisas. Elas servem para lhe oferecer possibilidades, como por exemplo:

Documentação

Os documentos necessários para que você possa contratar seu empréstimo consignado INSS são:

  • RG
  • CPF
  • Comprovante de Residência

Regulamentação

O Empréstimo para aposentado possui uma legislação específica para preservar seu direito como aposentado ou pensionista do INSS, que é a Lei 10.820. Nesta lei, está previsto o pagamento com desconto em folha, de acordo com as condições gerais do empréstimo consignado do INSS. Contudo, a modalidade de crédito Consignado INSS se torna mais segura e transparente entre as partes.

Ademais, o Portal Consignados também analisa a sua necessidade comparando com a política de crédito do Banco. No entanto, fazemos esse procedimento com o intuito de evitar perdas de tempo ou reprovações.

No entanto, o Portal Consignados é especialista em empréstimo consignado!

Linhas de Empréstimo Banco Mercantil

O Banco Mercantil possui vasta experiência em diversos segmentos. No entanto, foi no empréstimo consignado onde realmente encontrou o seu lugar. Contudo, sua tradição e competência caminham lado a lado. Ademais, o respeito pelos funcionários e pelos clientes são características do Banco Mercantil do Brasil.

Linhas de Empréstimo Banco Mercantil + Vantagens

Conheça agora quais são as linhas de empréstimo que o Banco Mercantil do Brasil oferece aos seus clientes.

  • Empréstimo Consignado
  • Empréstimo Pessoal
  • Empréstimo 13º salário INSS
  • Portabilidade de Crédito
  • Financiamento de Veículos

Falaremos de cada linha de crédito separadamente.

Empréstimo Consignado

Empréstimo Consignado é um crédito simples, onde as parcelas são descontadas diretamente do seu benefício.

Quem poderá contratar?

  • Aposentados ou pensionistas do INSS que recebem o benefício no Mercantil
  • Aposentados ou pensionistas do INSS que não recebem o benefício no Mercantil
  • Servidores Públicos
  • Militares das Forças Armadas

Quais são as vantagens?

  • Excelente prazo para pagamento
  • Taxas de 1,68 a 1,96% a.m.
  • Desconto diretamente na folha de pagamento ou benefício
  • No entanto, as parcelas são fixas

Empréstimo Pessoal

Dinheiro rápido e sem burocracia. Ademais, não é necessário informar qual será a finalidade do dinheiro.

Quem poderá contratar?

  • Beneficiários do INSS que recebem seu benefício no Banco Mercantil. No entanto, o beneficiário deverá possuir limite pré-aprovado.

Quais são as vantagens?

  • O valor será debitado direto da conta
  • Taxa pré-fixada
  • Prazo de 2 meses até 36 meses
  • Contudo, o valor liberado será definido conforme o seu limite de crédito pré-aprovado.

Empréstimo 13º Salário INSS

Empréstimo onde você recebe agora o dinheiro e só paga quando receber o seu 13º salário.

Quem poderá contratar?

  • Aposentados ou pensionistas do INSS que recebem o benefício no Banco Mercantil

Quais são as vantagens?

  • Não precisa ser correntista do Mercantil. Só é necessário ter o limite pré-aprovado, considerando o valor do seu 13º salário.

Portabilidade de Crédito

É a transferência de empréstimo de um banco para o outro

Quem poderá contratar?

  • Contudo, todos poderão solicitar a portabilidade

Quais são as vantagens?

  • Todos os créditos em um único lugar
  • No entanto, ainda há a possibilidade de negociar a taxa de juros para uma taxa menor

Financiamento de Veículos

Financiamento é a melhor opção para quem quer comprar ou trocar de carro e não tem o dinheiro à vista para fazer negócio.

Quem poderá contratar?

  • Todos poderão contratar o financiamento

Quais são as vantagens?

  • Prazo até 48 meses para pagar
  • Ademais, é liberado até 80% do valor do bem

Regulamentação

Contudo, o Banco Central é a instituição que fiscaliza e que regulamenta as atividades de linhas de crédito no Brasil, através da lei nº 13.172. No entanto, essa lei datada em 2015, veio a substituir a lei nº 10.820.

Você sabia?

Com mais de 17 anos no Mercado de Empréstimo Consignado e com uma equipe treinada para lhe auxiliar na melhor decisão. No entanto, o Portal Consignados trabalha em parceria com diversos bancos para lhe oferecer sempre o melhor negócio.

Contrate seu empréstimo consignado clicando aqui

Empréstimo Consignado INSS Banco Mercantil

O Banco Mercantil do Brasil possui quase 80 anos de história. Hoje, seu foco é o empréstimo consignado INSS, no qual é disponível para aposentados ou pensionistas. Nas décadas de 60, 70 e 80, o Mercantil deu um salto gigantesco rumo ao sucesso quando incorporou diversos estabelecimentos bancários.

O Banco Mercantil possui experiência em diversos segmentos, mas foi no empréstimo consignado que decidiu se focar. Contudo, hoje é considerado um dos melhores bancos para fazer consignado.

Ademais, o empréstimo consignado INSS pelo Banco Mercantil do Brasil é muito simples e fácil de solicitar. Contudo, basta clicar no botão Solicite e preencher o formulário para que nosso time de consultores especializados possa entrar em contato.

Consignado INSS Banco Mercantil + Vantagens

No final do século XX, mas precisamente em 1999, o Banco Mercantil do Brasil ampliou seu patrimônio, onde mais de 100 agências foram inauguradas ou revitalizadas.

Ademais, veja quais são as principais vantagens de contratar um empréstimo INSS com o Banco Mercantil:

  • Parcelas Fixas
  • Desconto direto do benefício
  • Sem consulta ao SPC/SERASA
  • Sem cobrança de TAC
  • Liberação agilizada do crédito
  • Prazos longos para pagamento (até 72 meses)
  • Taxas de juros competitivas

Público Alvo

Esta modalidade de crédito está destinada ao seguinte público, como por exemplo:

  • Aposentados do INSS
  • Pensionistas do INSS

Analise de Margem

Contudo, para contratar um empréstimo consignado INSS, é necessário possuir margem consignável. Por este motivo, realizamos pesquisas junto ao INSS para conciliar sua necessidade à sua margem consignável. Não precisa se preocupar com as nossas pesquisas. Elas servem para lhe oferecer possibilidades, como por exemplo:

Documentação

Os documentos necessários para que você possa contratar seu empréstimo consignado INSS são:

  • RG
  • CPF
  • Comprovante de Residência

Regulamentação

O Empréstimo para aposentado possui uma legislação específica para preservar seu direito como aposentado ou pensionista do INSS, que é a Lei 10.820. Nesta lei, está previsto o pagamento com desconto em folha, de acordo com as condições gerais do empréstimo consignado do INSS. Contudo, a modalidade de crédito Consignado INSS se torna mais segura e transparente entre as partes.

O Portal Consignados também analisa a sua necessidade comparando com a política de crédito do Banco. No entanto, fazemos esse procedimento com o intuito de evitar perdas de tempo ou reprovações.

Não se preocupe, pois o Portal Consignados é especialista em empréstimo consignado!

Linhas de Empréstimo Consignado Paraná Banco

O banco do Paraná atua no mercado há quase 40 anos. É um banco que oferece múltiplos serviços para os seus clientes. Em 1995, o banco ingressou na área de Empréstimos Consignados, onde até hoje se mantém. Atualmente, o Paraná Banco possui 3 linhas para empréstimo consignado. No entanto, serão essas linhas que veremos neste artigo.

Linhas de Empréstimo Consignado Paraná Banco + Vantagens

Conforme dito no parágrafo anterior, o Banco do Paraná possui 3 linhas para empréstimo consignado. São elas:

  • Empréstimo Consignado INSS
  • Empréstimo Consignado Servidores Públicos
  • Empréstimo Consignado Militares

Veremos cada linha separadamente, pois assim será mais fácil de entender.

Empréstimo Consignado INSS

Quem poderá contratar?

O Consignado INSS poderá ser contratado por aposentados ou pensionistas do INSS.

Quais são as vantagens?

  • As parcelas são fixas
  • Taxas de juros reduzidas
  • Não há cobrança de TAC
  • O desconto é feito direto do benefício

Empréstimo Consignado Servidores Públicos

Quem poderá contratar?

O Consignado Servidores Públicos poderá ser contratado por Servidores Municipais, Estaduais ou Federais. No entanto, a exigência é que os órgãos sejam conveniados ao Paraná Banco.

Quais são as vantagens?

  • Parcelas fixas
  • Prazos dilatados para efetuar o pagamento
  • Sem consulta ao SPC/SERASA
  • Desconto na folha de pagamento

Empréstimo Consignado Militares

Quem poderá contratar?

O Consignado Militares poderá ser contratado por servidores do Exército ou da Aeronáutica. Contudo, a exigência é que o órgão empregador seja conveniado ao Paraná Banco.

Quais são as vantagens?

  • Parcelas fixas
  • Prazos mais longos para pagar
  • Não há consultas ao órgãos SPC/SERASA
  • Desconto direto na folha

Regulamentação

Contudo, o Banco Central é a instituição que fiscaliza e que regulamenta as atividades de linhas de crédito no Brasil, através da lei nº 13.172. No entanto, essa lei datada em 2015, veio a substituir a lei nº 10.820.

Você sabia?

Com mais de 17 anos no Mercado de Empréstimo Consignado e com uma equipe treinada para lhe auxiliar na melhor decisão. No entanto, o Portal Consignados trabalha em parceria com diversos bancos para lhe oferecer sempre o melhor negócio.

Contrate seu empréstimo consignado clicando aqui

Empréstimo Consignado INSS Paraná Banco

O Paraná Banco possui quase 40 anos de existência. No início seu foco era o crédito pessoal e o financiamento de veículos. 10 anos depois, começou a oferecer múltiplos serviços. Em 1995 entra na categoria de empréstimo consignado na qual permanece até hoje, sendo um dos bancos que mais obtiveram sucesso.

O segredo do sucesso do Paraná Banco está na sua responsabilidade e transparência com os seus clientes. Recomendo fortemente o Banco Paraná!

Ademais, o empréstimo consignado INSS pelo Paraná Banco é muito simples e fácil de solicitar. Contudo, é só clicar no botão Solicite e preencher o formulário para que nosso time de consultores especializados possa entrar em contato.

Consignado INSS Paraná Banco + Vantagens

O Banco Paraná possui parceria com a Travelers Companies Inc, a JMalucelli Seguradora e a JMalucelli Resseguradora na qual oferece seguros. Contudo, o Paraná Banco também fez parceria com a JMalucelli Investimentos na qual oferece o produto gestão de recursos.

Ademais, veja quais são as principais vantagens de contratar um empréstimo INSS com o Banco do Paraná:

  • Parcelas Fixas
  • Desconto da folha do benefício
  • Sem consulta aos órgãos SPC/SERASA
  • Agilidade na liberação do crédito
  • Prazos mais dilatados para pagar
  • Taxas de juros convidativas

Público Alvo

Esta modalidade de crédito está destinada ao seguinte público, como por exemplo:

  • Aposentados do INSS
  • Pensionistas do INSS

Analise de Margem

Contudo, para contratar um empréstimo consignado INSS, é necessário possuir margem consignável. Por este motivo, realizamos pesquisas junto ao INSS para conciliar sua necessidade à sua margem consignável. Não precisa se preocupar com as nossas pesquisas. Elas servem para lhe oferecer possibilidades, como por exemplo:

Documentação

Os documentos necessários para que você possa contratar seu empréstimo consignado INSS são:

  • RG
  • CPF
  • Comprovante de Residência

Regulamentação

O Empréstimo para aposentado possui uma legislação específica para preservar seu direito como aposentado ou pensionista do INSS, que é a Lei 10.820. Nesta lei, está previsto o pagamento com desconto em folha, de acordo com as condições gerais do empréstimo consignado do INSS. Contudo, a modalidade de crédito Consignado INSS se torna mais segura e transparente entre as partes.

O Portal Consignados também analisa a sua necessidade comparando com a política de crédito do Banco. No entanto, fazemos esse procedimento com o intuito de evitar perdas de tempo ou reprovações.

O Portal Consignados é especialista em empréstimo consignado!

CDC Banco Banrisul – Conheça aqui no Portal Consignados

Conheça as opções de CDC (Crédito Direto ao Consumidor) que o Banco Banrisul oferece! Contudo, são 6 opções de CDC para você financiar veículos, móveis, smartphones, materiais de construção, etc, … O Banco Banrisul possui uma história de 90 anos de muita luta e conquistas e sua especialidade são os empréstimos consignados.

Tradição, competência e respeito pelas pessoas. Esses adjetivos fazem do Banco Banrisul um dos melhores bancos deste país.

CDC Banco Banrisul + Vantagens

Conheça agora quais são as 6 opções de Crédito Direto ao Consumidor que o Banco Banrisul oferece:

  • CDC Veículos
  • CDC Digital
  • CDC Máquinas e Equipamentos
  • CDC Material de Construção Emergencial
  • CDC Sustentabilidade
  • CDC Móveis e Decoração

A seguir, especificarei cada opção separadamente para que o entendimento seja mais fácil.

CDC Veículos

O que é?

É um crédito para financiar veículos novos e usados, podendo ser nacionais ou importados.

Quais são as vantagens?

  • O preço poderá ser negociado
  • Taxas reduzidas
  • Prazos mais longos
  • Ademais, a forma de pagamento será o débito em conta das parcelas

CDC Digital

O que é?

É um crédito para financiar tablet, smartphones, notebook, entre outros equipamentos para informática.

Quais são as vantagens?

  • Clientes pessoa física
  • Financia até 100% do valor do produto
  • Prazo de até 24 meses para pagar
  • No entanto, a forma de pagamento será o débito em conta das parcelas

CDC Máquinas e Equipamentos

O que é?

É um crédito para financiar máquinas ou equipamentos novos ou usados com até 5 anos de uso.

Quais são as vantagens?

  • Primeiro pagamento em até 60 dias após a contratação
  • Financia até 90% do valor do produto
  • Contudo, o preço poderá ser negociado pois o pagamento para o fornecedor será à vista
  • Taxas de juros atraentes

CDC Material de Construção Emergencial

O que é?

É um crédito para financiar a aquisição de material de construção ou para contratar mão de obra para os habitantes do estado do Rio Grande do Sul que perderam suas casas seja por vendavais ou inundações.

Quais são as vantagens?

  • Taxa de juros competitiva
  • O preço poderá ser negociado
  • Pagamento parcelado
  • No entanto, a forma de pagamento será o débito em conta das parcelas

CDC Sustentabilidade

O que é?

É um crédito para financiar itens sustentáveis tais como: Gás natural (GNV), equipamentos de energia solar, (como por exemplo placas), etc, …

Quais são as vantagens?

  • Valor de R$1.000,00 até R$20.000,00
  • Financia até 100% do valor do produto
  • Ademais, o prazo será de até 36 meses para pagar
  • O IOF será financiado nas parcelas

CDC Móveis e Decoração

O que é?

É um crédito para financiar a mobilia do seu lar ou do seu escritório.

Quais são as vantagens?

  • Clientes pessoa física
  • Ademais, o cliente terá até 59 dias para o pagamento da primeira parcela
  • Prazos diferenciados
  • Financia até 25% do valor da avaliação do imóvel (financia de R$ 10.000,00 a R$ 60.000,00)

Regulamentação

Contudo, o Banco Central é a instituição que fiscaliza e que regulamenta as atividades de linhas de crédito no Brasil, através da lei nº 13.172. No entanto, essa lei datada em 2015, veio a substituir a lei nº 10.820.

Você sabia?

Com mais de 17 anos no Mercado de Empréstimo Consignado e com uma equipe treinada para lhe auxiliar na melhor decisão. No entanto, o Portal Consignados trabalha em parceria com diversos bancos para lhe oferecer sempre o melhor negócio.

Contrate seu empréstimo consignado clicando aqui

Empréstimo Consignado INSS Banco Banrisul – RS

O Banco do Estado do Rio Grande do Sul (Banrisul) possui 90 anos. Passou por depressões, crises e guerra mundial e até hoje se mantém realizando empréstimos como no início de sua história onde realizada empréstimos a longo prazo para fazendeiros. Em troca, o Banco recebia a hipoteca dos seus imóveis.

O Banrisul mudou ao longo desses 90 anos desde a sua fundação. Diversos produtos entraram e saíram do seu catálogo. O que nunca mudou nessa trajetória é o carinho e respeito que este banco tem com os seus funcionários e clientes.

Ademais, o empréstimo consignado INSS pelo Banco Banrisul é muito simples e fácil de solicitar. Contudo, é só clicar no botão Solicite e preencher o formulário para que nosso time de consultores especializados possa entrar em contato.

Consignado INSS Banco Banrisul + Vantagens para Você

O Grupo Banrisul possui suas empresas subsidiárias que são: Banrisul Armazéns Gerais, Banrisul Cartões S.A, Banrisul Consórcio e Banrisul Corretora de Valores.

Ademais, veja quais são as principais vantagens de contratar um empréstimo INSS com o Banco Votorantim:

  • Parcelas Fixas
  • Desconto direito do benefício
  • Sem cobrança de TAC
  • Agilidade na liberação do crédito
  • Prazos mais longos para pagar (até 72 meses)
  • Taxas de juros menores (de 1,85 a 2,08 a.m.)

Público Alvo

Esta modalidade de crédito está destinada ao seguinte público, como por exemplo:

  • Aposentados do INSS
  • Pensionistas do INSS

Analise de Margem

Contudo, para contratar um empréstimo consignado INSS, é necessário possuir margem consignável. Por este motivo, realizamos pesquisas junto ao INSS para conciliar sua necessidade à sua margem consignável. Não precisa se preocupar com as nossas pesquisas. Elas servem para lhe oferecer possibilidades, como por exemplo:

Documentação

Os documentos necessários para que você possa contratar seu empréstimo consignado INSS são:

  • RG
  • CPF
  • Comprovante de Residência

Regulamentação

O Empréstimo para aposentado possui uma legislação específica para preservar seu direito como aposentado ou pensionista do INSS, que é a Lei 10.820. Nesta lei, está previsto o pagamento com desconto em folha, de acordo com as condições gerais do empréstimo consignado do INSS. Contudo, a modalidade de crédito Consignado INSS se torna mais segura e transparente entre as partes.

O Portal Consignados também analisa a sua necessidade comparando com a política de crédito do Banco. No entanto, fazemos esse procedimento com o intuito de evitar perdas de tempo ou reprovações.

Não se preocupe, pois o Portal Consignados é especialista em empréstimo consignado!

Linhas de Crédito Banco Votorantim – Conheça quais são?

Saiba quais são as linhas de crédito que o Banco Votorantim tem disponível no Mercado! Votorantim é um banco tradicional no Brasil. Com 30 anos de existência, ele é um dos líderes de crédito do nosso país. O banco possui diversas subsidiárias, entre eles a BV Financeira na qual é a responsável pela inclusão de algumas linhas de crédito do Votorantim.

Linhas de Crédito Banco Votorantim + Vantagens para você!

Conheça agora quais são as linhas de crédito que o Banco Votorantim oferece para os seus clientes e parceiros:

  • Consignado Privado
  • Consignado INSS
  • Consignado Público

Para melhor entendimento, nós do Portal Consignados, iremos descrever cada linha separadamente.

Consignado Privado

Quem poderá contratar?

Contudo, o Consignado Privado poderá ser contratado por quem trabalha com carteira assinada em uma empresa parceira da BV Financeira.

Quais são as vantagens?

Ademais, as vantagens de contratar o Consignado Privado são:

  • O desconto é direto na folha de salário (até 30% do seu salário)
  • Taxas de juros menores que outras operações de crédito
  • Prazo para pagar de até 48 meses

Consignado INSS

Quem poderá contratar?

No entanto, este produto é destinado para aposentados e pensionistas do INSS.

Quais são as vantagens?

Ademais, as vantagens de contratar o Consignado INSS são:

  • O desconto é direto na folha do benefício (até 30%)
  • Taxas de juros atrativas
  • Prazo para pagar de até 72 meses

Consignado Público

Quem poderá contratar?

No entanto, este produto poderá ser contratado por servidores públicos estaduais e federais.

Quais são as vantagens?

Ademais, as vantagens de contratar o Consignado Público são:

  • O desconto é direto na folha de pagamento (até 30%)
  • Taxas de juros menores que outras operações de crédito
  • Prazo para pagar de até 96 meses

Regulamentação

Contudo, o Banco Central é a instituição que fiscaliza e que regulamenta as atividades de linhas de crédito no Brasil, através da lei nº 13.172. No entanto, essa lei datada em 2015, veio a substituir a lei nº 10.820.

Você sabia?

Com mais de 17 anos no Mercado de Empréstimo Consignado e com uma equipe treinada para lhe auxiliar na melhor decisão. No entanto, o Portal Consignados trabalha em parceria com diversos bancos para lhe oferecer sempre o melhor negócio.

Contrate seu empréstimo consignado clicando aqui

Empréstimo Consignado INSS Banco Votorantim

Votorantim é um banco estrategista. Nascido em 1988, é um dos grandes líderes do mercado no segmento Crédito. Em 2009, se uniu ao Banco do Brasil. No entanto, essa união resultou em um gigantesco banco múltiplo com diversas subsidiárias famosas como por exemplo BV Financeira, Votorantim Corretora, entre outras. Em Maio de 2018 fechou parceria estratégica com Neon Pagamentos. Nessa parceria, o Votorantim assumiu os serviços de custódia e movimentação das contas de pagamento dos clientes Neon.

Votorantim é um banco que oferece múltiplos serviços para seus clientes. Com uma história de 30 anos e diversas empresas subsidiárias, o banco Votorantim certamente é uma ótima escolha para Consignado INSS.

Ademais, o empréstimo consignado INSS pelo Banco Votorantim é muito simples e fácil de solicitar. Contudo, é só clicar no botão Solicite e preencher o formulário para que nosso time de consultores especializados possa entrar em contato.

Consignado INSS Banco Votorantim + Vantagens

O Banco do Brasil detém 50% das ações do banco Votorantim enquanto o Votorantim SA detém os outros 50%. Contudo, é com absoluta certeza que essas parcerias estratégicas, primeiro em 2009 com o Banco do Brasil e agora com a Neon em 2018, o transformarão no maior banco do segmento Crédito do Brasil.

Ademais, veja quais são as principais vantagens de contratar um empréstimo INSS com o Banco Votorantim:

  • Parcelas Fixas
  • Sem consulta aos órgãos SPC/SERASA
  • Desconto na folha de pagamento
  • Sem cobrança de TAC
  • Agilidade na liberação
  • Prazos mais longos para pagar (até 72vezes)
  • Taxas de juros convidativas

Público Alvo

Esta modalidade de crédito está destinada ao seguinte público, como por exemplo:

  • Aposentados do INSS
  • Pensionistas do INSS

Analise de Margem

Contudo, para contratar um empréstimo consignado INSS, é necessário possuir margem consignável. Por este motivo, realizamos pesquisas junto ao INSS para conciliar sua necessidade à sua margem consignável. Não precisa se preocupar com as nossas pesquisas. Elas servem para lhe oferecer possibilidades, como por exemplo:

Documentação

Os documentos necessários para que você possa contratar seu empréstimo consignado INSS são:

  • RG
  • CPF
  • Comprovante de Residência

Regulamentação

O Empréstimo para aposentado possui uma legislação específica para preservar seu direito como aposentado ou pensionista do INSS, que é a Lei 10.820. Nesta lei, está previsto o pagamento com desconto em folha, de acordo com as condições gerais do empréstimo consignado do INSS. Contudo, a modalidade de crédito Consignado INSS se torna mais segura e transparente entre as partes.

O Portal Consignados também analisa a sua necessidade comparando com a política de crédito do Banco. No entanto, fazemos esse procedimento com o intuito de evitar perdas de tempo ou reprovações.

O Portal Consignados é especialista em empréstimo consignado!

Como reduzir prestação no empréstimo consignado?

Você está cheio de dívidas que já se transformaram em uma bola de neve? Encontra-se tão desesperado que já não sabe mais o que fazer? Os juros do seu empréstimo estão te sufocando? Saiba que existem diversas soluções no mercado que ajudam a resolver a situação dos juros abusivos.

Descubra como reduzir prestação no empréstimo consignado

Definitivamente os juros são o maior pesadelo dos brasileiros. Um exemplo disso são os bancos que trabalham com juros compostos que são juros sobre juros. Ademais, cada instituição bancária decide qual será a sua taxa de juros, dentro do limite estipulado pelo Conselho Monetário Nacional.

O artigo 25 da lei n 8.692 de 1993, regula o sistema financeiro de habitação. Contudo, este artigo impõe taxa efetiva de no máximo 12% ao ano.

No artigo 40 da Constituição Federal, de 2003, a limitação dos juros é para:

  • juros legais compensatórios: 1% ao mês
  • juros convencionais compensatórios nos contratos de mutuo: 1% ao mês
  • juros convencionais compensatórios nos demais contratos: 2% ao mês
  • juros legais moratórios: 1% ao mês
  • juros convencionais moratórios: 1% ao mês

Se você está sofrendo com os juros abusivos, uma outra solução é solicitar uma Ação Revisional de Juros. No entanto, entrar com uma ação contra a instituição bancária ou financeira poderá ser um tiro no escuro, pois terá os custos do processo e existe a dúvida se irá ganhar ou não.

Portabilidade poderá ser a solução

Uma outra solução para reduzir os juros e a prestação do seu empréstimo consignado é fazer uma Portabilidade. Contudo, nessa situação, o cliente poderá escolher o banco para o qual irá portar seu empréstimo. No entanto, antes de escolher o banco, o cliente deverá analisar se as taxas de juros do banco que irá portar são mais atraentes do que as taxas atuais.

Todo cuidado é pouco. Analise se realmente será vantajoso para você trocar de banco fazendo uma Portabilidade ou solicitando uma Ação Revisional de Juros.

Regulamentação

A portabilidade de empréstimo consignado está regulamentada através da resolução Nº 4.292 de 20 de Dezembro de 2013 do Banco central do Brasil. Nesta resolução, estabelece-se a relação entre as instituições financeiras e clientes. Essa atitude agiliza o processo e evita abusos por ambos os lados. Contudo, a portabilidade é um direito seu e nós do Portal Consignados fazemos valer deste direito.

Você sabia?

Com mais de 17 anos no Mercado de Empréstimo Consignado, o Portal Consignados conta com uma equipe treinada para lhe auxiliar na melhor decisão. No entanto, o Portal Consignados trabalha em parceria com diversos bancos para lhe oferecer sempre o melhor negócio.

Contrate seu empréstimo consignado clicando aqui

Crediare SA Crédito Pessoal

A instituição financeira Crediare é uma das mais organizadas instituições financeiras do Brasil. Embora tenha somente 15 anos de vida, a Crediare SA possui muito mais profissionalismo e competência do que instituições com muito mais tempo no mercado.

Começou como subsidiária integral das lojas Colombo. 4 anos depois o Banco Bradesco comprou metade da Crediare SA. Certamente esse foi o melhor destino para a Crediare, pois se tornou uma financeira com múltiplos serviços e conseguiu realizar financiamentos de quase 1 bilhão.

Crediare SA Crédito Pessoal – Quais são as opções?

A Crediare oferece aos seus clientes 3 opções de crédito pessoal, como por exemplo:

  • Crédito Consignado INSS
  • Dinheiro na Hora
  • Refinanciamento de Veículos

Para ficar mais fácil o atendimento, falaremos de cada opção separadamente.

Crédito Consignado INSS

É uma linha de crédito destinado para aposentados e pensionistas do INSS.

Vantagens:

  • As taxas são fixas
  • Maior prazo para pagar (até 72 vezes para pagar)
  • Desconto em folha

Dinheiro na Hora

Essa linha de crédito é em parceria com a loja Colombo. Ademais, você recebe o dinheiro para utilizar da forma que quiser.

Vantagens:

  • Taxas bem atrativas (uma das melhores do mercado)
  • As parcelas cabem no seu bolso
  • Não é necessário ter uma conta corrente

Refinanciamento de Veículos

Essa linha de crédito também é em parceria com a loja Colombo. No entanto, você deixa o seu carro ou caminhão como garantia para poder conseguir dinheiro emprestado.

Vantagens:

  • Você continua com o veículo, sem precisar vendê-lo
  • Pagamento em até 48 vezes
  • Refinanciamento de até 80% do valor do seu veículo

Regulamentação

Contudo, o Banco Central é a instituição que fiscaliza e que regulamenta as atividades de linhas de crédito no Brasil, através da lei nº 13.172. No entanto, essa lei datada em 2015, veio a substituir a lei nº 10.820.

Você sabia?

Com mais de 17 anos no Mercado de Empréstimo Consignado e com uma equipe treinada para lhe auxiliar na melhor decisão. No entanto, o Portal Consignados trabalha em parceria com diversos bancos para lhe oferecer sempre o melhor negócio.

Contrate seu empréstimo consignado clicando aqui

Crediare SA Consignado INSS

Conheça todas as vantagens de adquirir um empréstimo consignado INSS pela Crediare SA. Em 2006, foi a vencedora do prêmio de “Melhor Instituição Financeira do ano em Resultado Operacional” pela revista Balanço. Contudo, a Crediare inovou lançando os cartões híbrido e o internacional, aonde obteve muito êxito e aceitação dos clientes.

  Acreditar no sonho e correr atrás para realizá-lo obtendo sucesso fazem da Crediare SA uma das maiores instituições financeiros do nosso país.

Ademais, o empréstimo consignado INSS pela Crediare é muito simples e fácil de solicitar. Contudo, basta clicar no botão Solicite e preencher o formulário para que nosso time de consultores especializados possa entrar em contato.

Crediare SA Consignado INSS + Vantagens

A Crediare foi fundada em 2003 como subsidiária integral das lojas Colombo. Contudo, oferecia aos clientes Colombo soluções integradas de produtos financeiros. Fez muito sucesso. Em 2007 o banco Bradesco comprou 50% da Crediare, sendo o os outros 50% pertencentes as lojas Colombo. A parceria entre o Bradesco e a Colombo alavancou a Crediare que virou uma instituição com múltiplos serviços.

Confira quais são as principais vantagens de contratar um empréstimo com a Crediare SA, como por exemplo:

  • Parcelas Fixas
  • Sem consulta ao SPC/SERASA
  • Desconto direto na folha de pagamento
  • Sem cobrança de TAC
  • Agilidade na liberação do crédito
  • Prazos de até 72 meses para pagar
  • Taxas de juros atrativas

Público Alvo

Esta modalidade de crédito está destinada ao seguinte público, como por exemplo:

  • Aposentados do INSS
  • Pensionistas do INSS

Analise de Margem

Para contratar um empréstimo consignado INSS, é necessário possuir margem consignável. Por este motivo, realizamos pesquisas junto ao INSS para conciliar sua necessidade à sua margem consignável. Não se preocupe com nossas pesquisas, pois elas servem para lhe oferecer possibilidades, como por exemplo:

Documentação

Os documentos necessários para que você possa contratar seu empréstimo consignado INSS são:

  • RG
  • CPF
  • Comprovante de Residência

Regulamentação

O Empréstimo para aposentado possui uma legislação específica para preservar seu direito como aposentado ou pensionista do INSS, que é a Lei 10.820. Nesta lei, está previsto o pagamento com desconto em folha, de acordo com as condições gerais do empréstimo consignado INSS. Contudo, a modalidade de crédito Consignado INSS se torna mais segura e transparente entre as partes.

O Portal Consignados também analisa a sua necessidade comparando com a política de crédito do Banco. No entanto, fazemos esse procedimento com o intuito de evitar perdas de tempo ou reprovações.

Somos especialistas em empréstimo consignado!

Linhas de Crédito Banco Industrial do Brasil

Caro leitor, saiba quais são as linhas de crédito que o Banco Industrial do Brasil oferece para você. Ademais, conheça quais sãos as vantagens e o porquê que você deverá obter uma linha de crédito BIB.

É difícil você ver ver um banco tão organizado e certo do que está fazendo como o Banco Industrial do Brasil. E não é para menos. Contudo, utilizando a mais alta tecnologia e profissionais altamente qualificados, o BIB é a melhor opção.

Linhas de Crédito Banco Industrial do Brasil

O Banco Industrial do Brasil é um exemplo de determinação. Digo isso porque graças a sua competência, com apenas 4 anos de existência, o BIB conquistou sua sede em São Paulo e já abriu filiais em diversas cidades. Hoje, 24 anos desde a sua fundação, é referência para empresas que estão começando e almejam solidificar-se.

Conheça agora quais são as linhas de crédito que o Banco Industrial do Brasil oferece:

  • Empréstimo Consignado
  • Cartão BIB Card
  • Portabilidade

Para melhor entendimento, falarei de cada linha de crédito separadamente.

Empréstimo Consignado

É uma linha de crédito destinada a aposentados e pensionistas do INSS.

Veja as vantagens, como por exemplo:

  • Sem consulta para o SPC e para o SERASA
  • Desconto na folha de pagamento, para evitar atrasos e multas
  • Taxas de juros atrativas
  • Prazos longos para pagar
  • Parcelas fixas

Cartão BIB Card

Cartão de crédito destinado à servidores públicos, aposentados e pensionistas do INSS.

Veja as vantagens, como por exemplo:

  • Bandeira VISA
  • Sem anuidade
  • Pagamento mínimo da fatura é descontado na folha de pagamento
  • O limite do crédito poderá ser de até 2 vezes o valor do seu salário
  • Taxa de juros baixa
  • Consulta de saldo devedor e da fatura
  • Impressão da fatura

Portabilidade

É um direito que o cliente tem de transferir uma operação de crédito da instituição financeira de onde contratou para outra instituição da sua escolha. Ademais, esta última deverá negociar diretamente as condições da nova operação.

Contudo, a instituição original é obrigada a fornecer todos os dados como por exemplo o saldo devedor para a nova instituição que o cliente escolheu.

Regulamentação

Contudo, o Banco Central é a instituição que fiscaliza e que regulamenta as atividades de linhas de crédito no Brasil, através da lei nº 13.172. No entanto, essa lei datada em 2015, veio a substituir a lei nº 10.820.

Você sabia?

Com mais de 17 anos no Mercado de Empréstimo Consignado e com uma equipe treinada para lhe auxiliar na melhor decisão. No entanto, o Portal Consignados trabalha em parceria com diversos bancos para lhe oferecer sempre o melhor negócio.

Contrate seu empréstimo consignado clicando aqui

Consignado INSS Banco Industrial do Brasil

Veja como funciona o Empréstimo Consignado INSS Banco Industrial do Brasil e descubra todas as suas vantagens. Com 24 anos no mercado financeiro, o BIB é um dos bancos líderes em empréstimo consignado. Graças ao seu esforço, o Banco Industrial cresceu rapidamente, conquistando seu prédio comercial na cidade de São Paulo.

O Banco Industrial do Brasil conquistou rapidamente seu prédio comercial devido ao excelente trabalho executado por todos esses anos de história. Conservador e competente, o BIB se destaca perante seus concorrentes.

Ademais, o empréstimo consignado INSS pelo BIB é muito simples e fácil de solicitar. Contudo, basta clicar no botão Solicite e preencher o formulário para que nosso time de consultores especializados possa entrar em contato.

Empréstimo Consignado INSS Banco Industrial do Brasil + Vantagens

Nascido em 1994 como sucessor da Santista, o BIB desde o seu início, mantém seu foco no relacionamento sustentável e duradouro com os seus clientes. Usando tecnologia de ponta, o Banco Industrial do Brasil é um dos bancos mais ágeis quanto a liberação da análise de proposta e de crédito para os seus clientes.

Confira quais são as principais vantagens de contratar um empréstimo com o banco Industrial do Brasil, como por exemplo:

  • Parcelas Fixas
  • Sem consulta ao SPC e ao SERASA
  • Desconto direto na folha de pagamento
  • Não há cobrança de TAC
  • Crédito rapidamente liberado
  • Prazos mais longos para pagar
  • Taxas de juros reduzidas

Público Alvo

Esta modalidade de crédito está destinada ao seguinte público, como por exemplo:

  • Aposentados do INSS
  • Pensionistas do INSS

Analise de Margem

Para contratar um empréstimo consignado INSS, é necessário possuir margem consignável. Por este motivo, realizamos pesquisas junto ao INSS para conciliar sua necessidade à sua margem consignável. Não se preocupe com nossas pesquisas, pois elas servem para lhe oferecer possibilidades, como por exemplo:

Documentação

Os documentos necessários para que você possa contratar seu empréstimo consignado INSS são:

  • RG
  • CPF
  • Comprovante de Residência

Regulamentação

O Empréstimo para aposentado possui uma legislação específica para preservar seu direito como aposentado ou pensionista do INSS, que é a Lei 10.820. Nesta lei, está previsto o pagamento com desconto em folha, de acordo com as condições gerais do empréstimo consignado INSS. Contudo, a modalidade de crédito Consignado INSS se torna mais segura e transparente entre as partes.

No entanto, nós do Portal Consignados, também analisamos a sua necessidade comparando com a política de crédito do Banco. Fazemos esse procedimento com o intuito de evitar perdas de tempo ou reprovações.

O Portal Consignados é especialista em empréstimo consignado.

Linhas de Crédito Banco Inter

Conheça quais são as linhas de crédito que o banco Inter oferece para você, caro leitor! Ademais, neste artigo, veremos quais são as vantagens de cada linha. Contudo, o banco Inter é um banco 100% digital que realiza todos os serviços bancários e que presta um atendimento digno aos seus clientes. No entanto, o Inter não cobra taxas de manutenção e nem anuidade dos seus produtos.

Linhas de Crédito Banco Inter + Vantagens para você

Além das vantagens acima citadas, o banco Inter possui vasta experiência no mercado de linhas de crédito, onde atua desde 1994.

Confira agora quais são as linhas de crédito banco Inter:

  • Empréstimo com garantia de imóvel
  • Crédito Consignado
  • Crédito Corporativo

A seguir, especificarei cada linha de crédito separadamente.

Empréstimo com garantia de imóvel

É uma linha de crédito na qual você deixa o seu imóvel como garantia. Ademais, não é necessário sair ou se desfazer dele.

Ideal para:

  • Quitar uma dívida
  • Fazer fluxo de caixa
  • Realizar uma grande viagem

Vantagens:

  • Não precisa vender o seu imóvel ou desocupá-lo
  • Análise sem consulta ao SPC/SERASA
  • Agilidade na liberação

Crédito Consignado

É uma linha de crédito oferecida para aposentados ou pensionistas do INSS.

Ideal para:

  • Quitar dívidas com juros altos
  • Comprar um automóvel
  • Investir em algo que gosta

Vantagens:

  • Dinheiro rápido
  • Sem consulta ao órgãos de proteção ao crédito
  • juros abaixo do mercado

Crédito Corporativo

É uma linha de crédito indicada para equilibrar o financeiro da sua empresa.

Nesta opção de linha de crédito, sua empresa poderá antecipar os recebimentos futuros dos seus contratos de prestação de serviços, tais como:

  • Empresas conveniadas
  • Órgãos federais
  • Órgãos estaduais
  • Órgãos municipais

Ademais, o Crédito Corporativo do banco Inter possui as seguintes opções:

Giro de Estoque

Ideal para:

  • Comprar terrenos
  • Equilibrar o caixa
  • Obter capital de giro

Vantagens:

  • Flexibilidade nas garantias
  • Análise sem burocracia
  • Evitas a depreciação e a degradação do seu estoque

Crédito Corporativo com garantia de imóvel

Ideal para:

  • Investir no crescimento do seu negócio
  • Renegociar as dívidas
  • Obter capital de giro

Vantagens:

  • Prazo de até 4 anos para pagar
  • Análise de crédito sem consulta aos órgãos de proteção ao crédito como o SPC/SERASA
  • Flexibilidade nas garantias imobiliárias

Plano Empresário

Ideal para:

  • Projetos Habitacionais
  • Projetos Comerciais
  • Projetos Mistos

Vantagens:

  • Agilidade na liberação da proposta
  • Agilidade na liberação do crédito
  • Assessoria de uma equipe exclusiva de crédito imobiliário

Ademais, seja qual for a linha de crédito que você escolher, você poderá utilizar o crédito para o que quiser, não sendo necessário dar explicações quanto ao destino do empréstimo.

Regulamentação

Contudo, o Banco Central é a instituição que fiscaliza e que regulamenta as atividades de linhas de crédito no Brasil, através da lei nº 13.172. No entanto, essa lei datada em 2015, veio a substituir a lei nº 10.820.

Você sabia?

Com mais de 17 anos no Mercado de Empréstimo Consignado e com uma equipe treinada para lhe auxiliar na melhor decisão. No entanto, o Portal Consignados trabalha em parceria com diversos bancos para lhe oferecer sempre o melhor negócio.

Contrate seu empréstimo consignado clicando aqui

Consignado INSS Banco Inter

Conheça como funciona o consignado INSS banco inter aqui no Portal Consignados! O Inter é um banco 100% digital que realiza todos os serviços que um banco físico faz e que traz inúmeras vantagens para você. Está presente no mercado desde 1994 e, em quase 25 anos de jornada, se tornou especialista em empréstimos consignados.

 Evolução, romper barreiras e ser o 1º banco 100% digital que realiza múltiplos serviços não é para qualquer um. O Banco Inter não cobra taxas de manutenção de conta e nem anuidade. Suas operações bancárias são fiscalizadas pelo Banco Central assim como nos bancos físicos. Eu recomendo o Inter, pois atitudes assim fazem toda a diferença.

Ademais, o empréstimo consignado INSS pelo banco Inter é muito simples e fácil de solicitar. Contudo, basta clicar no botão Solicite e preencher o formulário para que nosso time de consultores especializados possa entrar em contato.

Empréstimo Consignado INSS Banco Inter + Vantagens

O banco Inter foi fundado com o propósito de oferecer todos os serviços bancários. Antes, seu nome era Intermedium. Contudo, em 2017, o banco alterou sua marca para Inter. O banco Inter atende pessoas físicas, jurídicas e MEI (Micro Empreendedores Individuais).

Confira quais são as principais vantagens de contratar um empréstimo com o banco Inter, como por exemplo:

  • Parcelas Fixas
  • Sem consulta ao SPC/SERASA
  • Desconto na folha de pagamento
  • Não há cobrança de TAC
  • O crédito é liberado rapidamente
  • Taxas muito atrativas

Público Alvo

Esta modalidade de crédito está destinada ao seguinte público, como por exemplo:

  • Aposentados do INSS
  • Pensionistas do INSS

Analise de Margem

Para contratar um empréstimo consignado INSS, é necessário possuir margem consignável. Por este motivo, realizamos pesquisas junto ao INSS para conciliar sua necessidade à sua margem consignável. Não se preocupe com nossas pesquisas, pois elas servem para lhe oferecer possibilidades, como por exemplo:

Documentação

Os documentos necessários para que você possa contratar seu empréstimo consignado INSS são:

  • RG
  • CPF
  • Comprovante de Residência

Regulamentação

O Empréstimo para aposentado possui uma legislação específica para preservar seu direito como aposentado ou pensionista do INSS, que é a Lei 10.820. Nesta lei, está previsto o pagamento com desconto em folha, de acordo com as condições gerais do empréstimo consignado INSS. Contudo, a modalidade de crédito Consignado INSS se torna mais segura e transparente entre as partes.

No entanto, nós do Portal Consignados, também analisamos a sua necessidade comparando com a política de crédito do Banco. Fazemos esse procedimento com o intuito de evitar perdas de tempo ou reprovações.

Empréstimo Pessoal Cetelem – Conheça mais!

O empréstimo pessoal Cetelem oferece diversas vantagens para você que é aposentado ou pensionista do INSS. Ademais, suas parcelas são as menores do mercado. No entanto, o banco Cetelem possui muita experiência e é especialista em créditos, seja pessoal ou consignado.

Com o empréstimo pessoal do banco Cetelem, a reforma da sua casa, o pagamento da sua conta ou a sua tão esperada viagem estarão garantidas. Conheça agora todas as vantagens que só quem entende, poderá lhe oferecer.

Empréstimo Pessoal Cetelem + vantagens para você

O crédito pessoal é uma linha de crédito cujo valor é creditado direto na conta corrente do cliente. O valor das parcelas será cobrado integralmente na fatura do seu cartão. No entanto, é uma modalidade de crédito muito útil para quem precisa quitar uma dívida. O valor creditado poderá ser usado para fazer o que quiser, não sendo necessário explicar o motivo do crédito.

Contudo, veja quais são as vantagens de obter o empréstimo pessoal pelo Cetelem.

  • agilidade no atendimento e na liberação da proposta
  • as melhores taxas do mercado
  • parcelas fixas
  • não é cobrado para fazer análise de crédito
  • prazos mais longos para pagar
  • o crédito pessoal é mais barato do que usar o limite do cheque especial

Política de Crédito

Ademais, o valor das parcelas do empréstimo pode comprometer, no máximo, 30% do total da renda bruta mensal do cliente ou da renda composta.

Regulamentação

Contudo, o Banco Central é a instituição que fiscaliza e que regulamenta as atividades de linhas de crédito no Brasil, através da lei nº 13.172. Contudo, essa lei datada em 2015, veio a substituir a lei nº 10.820.

Você sabia?

Com mais de 17 anos no Mercado de Empréstimo Consignado e com uma equipe treinada para lhe auxiliar na melhor decisão. No entanto, o Portal Consignados trabalha em parceria com diversos bancos para lhe oferecer sempre o melhor negócio.

Contrate seu empréstimo consignado clicando aqui

Consignado INSS Cetelem

O Empréstimo Consignado INSS Cetelem é destinado à Aposentados e Pensionistas do INSS e está disponível aqui para você. Atua nas áreas de: Cartões, Crédito pessoal e consignado, financiamentos, seguros e serviços assistenciais, onde demonstra muito conhecimento em exerce as funções citadas.

Cetelem é uma empresa que possui vasta experiência no mercado financeiro e oferece credibilidade e confiança aos seus clientes.

Ademais, o Consignado INSS Cetelem é muito simples e fácil de solicitar. No entanto, basta clicar no botão Solicite e preencher o formulário para que nosso time de consultores especializados possa entrar em contato.

Empréstimo Consignado INSS Cetelem + Vantagens

Cetelem é um banco de origem francesa, cuja fundação é datada em 1953. Ele está no Brasil desde 1998. O banco Cetelem é uma empresa do grupo BNP Paribas. Ele visa oferecer as pessoas soluções financeiras com agilidade e profissionalismo.

Contudo, confira as principais vantagens de contratar com o Cetelem, como por exemplo:

  • Parcelas Fixas
  • É o único banco que faz parcelas pequenas
  • Sem consulta ao SPC/SERASA
  • Desconto em folha
  • Não há cobrança de TAC
  • Flexibilidade na liberação

Público Alvo

Esta modalidade de crédito está destinada ao seguinte público, como por exemplo:

  • Aposentados do INSS
  • Pensionistas do INSS

Analise de Margem

Para contratar um empréstimo consignado INSS, é necessário ter margem consignável. Por este motivo, realizamos pesquisas junto ao INSS para conciliar sua necessidade à sua margem consignável. Não se preocupe com nossas pesquisas, pois elas servem para lhe oferecer possibilidades como por exemplo:

Documentação

Os documentos necessários para que você possa contratar seu empréstimo consignado INSS são:

  • RG
  • CPF
  • Comprovante de Residência

Regulamentação

O Empréstimo para aposentado possui uma legislação específica para preservar seu direito como aposentado ou pensionista do INSS, que é a Lei 10.820. Nesta lei, está previsto o pagamento com desconto em folha, de acordo com as condições gerais do empréstimo consignado INSS. Contudo, a modalidade de crédito Consignado INSS se torna mais segura e transparente entre as partes.

Contudo, nós do Portal Consignados, também analisamos a sua necessidade comparando com a política de crédito do Banco. Fazemos esse procedimento para evitar perda de tempo ou reprovações.

O Portal Consignados é especialista em empréstimo consignado.

Crédito Empresarial Barigui

Conheça como funciona o crédito empresarial da Barigui Financeira. Ademais, o Conglomerado Financeiro Barigui atua pelas empresas Barigui Financeira, Barigui Promotora e Barigui Companhia Hipotecária. No entanto, conheça agora mesmo quais são as vantagens de se obter um crédito para empresas da Barigui Financeira.

A Barigui é especialista na área de compra de dívida com garantia de imóvel e soluções financeiras para você e para a sua empresa.

Crédito Empresarial Barigui + Vantagens

O crédito empresarial da Financeira Barigui é uma linha de crédito especial para empresas e empreendedores, utilizando um imóvel como garantia. Essa é a solução certa para você investir em sua empresa.

No entanto, você poderá usar o crédito empresarial para:

  • repor estoque
  • aumentar o fluxo de caixa
  • adquirir equipamentos e máquinas
  • fazer capital de giro
  • empreender

Ademais, as vantagens de se obter o crédito Barigui Financeira são:

  • Crédito de até 50% no valor do seu imóvel
  • Carência de até 90 dias para iniciar o pagamento
  • Até 15 anos para pessoa física
  • Até 5 anos para pessoa jurídica
  • Taxa mensal de 1,22% + IPCA (Pessoa Física) e de 1,65% + IPCA (Pessoa Jurídica)
  • Prazo de 12 a 180 meses para pagar

Esse crédito é excelente para quem quer abrir a sua empresa, pois possui uma das mais baixas taxas de juros do mercado. Fazendo um comparativo com seus concorrentes, percebe-se que a taxa de juros da Barigui Financeira para pessoa jurídica é baixa.

Regulamentação

Contudo, o Banco Central é a instituição que fiscaliza e que regulamenta as atividades de linhas de crédito no Brasil, através da lei nº 13.172. Contudo, essa lei datada em 2015, veio a substituir a lei nº 10.820.

Você sabia?

Com mais de 17 anos no Mercado de Empréstimo Consignado e com uma equipe treinada para lhe auxiliar na melhor decisão. No entanto, o Portal Consignados trabalha em parceria com diversos bancos para lhe oferecer sempre o melhor negócio.

Contrate seu empréstimo consignado clicando aqui

Empréstimo Consignado INSS Barigui

O Empréstimo Consignado INSS Barigui é destinado à Aposentados e Pensionistas do INSS e está disponível aqui para você. Portanto, solicite sem compromisso uma cotação. Aliás, nosso time de consultores está preparado para lhe atender.

Com foco na modalidade de empréstimo consignado, o Barigui tem uma das melhores taxas de juros do Mercado com agilidade e descrição em seu processo de liberação.

Ademais, o Consignado Barigui Financeira é muito simples e fácil de solicitar. Basta clicar no botão Solicite e preencher o formulário para que nosso time de consultores possa entrar em contato.

Empréstimo Consignado INSS Barigui + Vantagens

Um dos grandes diferenciais da financeira Barigui é sua agilidade e flexibilidade em operações como Refinanciamento. Aliás, é muito importante saber como funciona seu Refinanciamento, mesmo se estiver contratando um empréstimo novo, pois no futuro poderá se servir como uma opção de crédito. Contudo, confira as principais vantagens desta modalidade de crédito, como por exemplo:

  • Parcelas Fixas
  • Sem colsulta ao SPC/SERASA
  • Desconto em folha
  • Taxa de Juros Menores

Público Alvo

Esta modalidade de crédito está destinada ao seguinte público, como por exemplo:

  • Aposentados do INSS
  • Pensionistas do INSS
  • Servidor Público
  • Funcionário de empresa conveniada à Barigui

Documentação

Os documentos necessários para poder contratar seu empréstimo consignado INSS são:

  • RG ou CNH
  • Comprovante de Residência
  • Comprovante de pagamento da aposentadoria (último contracheque)
  • CPF

Regulamentação

O Empréstimo para aposentado possui uma legislação específica para preservar seu direito como aposentado ou pensionista do INSS, que é a Lei 10.820. Nesta lei, está previsto o pagamento com desconto em folha, de acordo com as condições gerais do empréstimo consignado INSS. Contudo, isso a torna a modalidade de crédito Consignado INSS segura e transparente entre as partes.

Analise de Margem

Para contratar um empréstimo consignado INSS Barigui Financeira, é necessário ter margem consignável. Por este motivo, realizamos pesquisas junto ao INSS para conciliar sua necessidade à sua margem consignável. Não se preocupe com nossas pesquisas, pois elas servem para lhe oferecer possibilidades como:

Contudo, analisamos também sua necessidade à política de crédito do Banco, para evitar perda de tempo ou reprovações.

Fique tranquilo, pois somos especialistas em empréstimo consignado.

Crédito Parcelado Banco Itaú

Conheça como funciona a modalidade de crédito pessoal do banco Itaú. Ademais, o Itaú-Unibanco nasceu da fusão feita entre os grandes bancos Itaú e Unibanco em 2008. No entanto, é mais conhecido como Itaú. Conheça agora mesmo quais são as opções de crédito parcelado que o banco Itaú oferece para você.

A cada ano que passa, o Itaú aperfeiçoa o seu sistema e inova seus produtos para oferecer sempre o melhor para os seus clientes.

Crédito Parcelado Banco Itaú + Vantagens

Existem 3 opções de crédito parcelado do banco Itaú, como por exemplo:

  • Microcrédito
  • Para Aposentados ou Pensionistas
  • Empréstimo Pessoal

Veja a seguir a descrição e as vantagens das opções de crédito parcelado do banco Itaú:

Microcrédito

O que é?

O microcrédito é a melhor opção para quem trabalha como autônomo ou possui um pequeno negócio.  

Vantagens:

  • Créditos de R$400,00 a R$14.500,00
  • Prazo de pagamento em até 57 meses
  • Taxa de juros reduzida
  • Disponível para as regiões da Grande São Paulo e Grande Rio de Janeiro
  • Atende MEI

Para Aposentados ou Pensionistas

O que é?

Tenha dinheiro fácil e sem complicação direto da conta corrente.

Vantagens:

  • Prazo de pagamento em até 48 meses
  • Crédito rápido e sem burocracia
  • Taxa de juros reduzida
  • Contudo, o pagamento das parcelas é feito direto na conta corrente

Empréstimo Pessoal

O que é?

O empréstimo pessoal é a melhor forma de se conseguir dinheiro rápido e sem burocracia. Contudo, o dinheiro poderá ser usado para pagar uma conta, realizar uma viagem ou para o que você quiser.

Vantagens:

  • Ademais, a primeira parcela poderá ser paga em até 90 dias
  • Prazo de pagamento em até 57 meses
  • No entanto, você escolhe a melhor data para pagamento

Regulamentação

lei nº 13.172 de 2015 regulamenta e fiscaliza as atividades de empréstimo pessoal do nosso país. Contudo, esta lei veio a substituir a lei nº 10.820 de 2003.

Você sabia?

Com mais de 17 anos no Mercado de Empréstimo Consignado e com uma equipe treinada para lhe auxiliar na melhor decisão. No entanto, o Portal Consignados trabalha em parceria com diversos bancos para lhe oferecer sempre o melhor negócio.

Contrate seu empréstimo consignado clicando aqui

Empréstimo Consignado INSS Banco Itaú

O Empréstimo Consignado INSS Itaú é destinado à Aposentados e Pensionistas do INSS e está disponível aqui para você. Portanto, solicite sem compromisso uma cotação. Aliás, nosso time de consultores está preparado para lhe atender.

Com foco na modalidade de empréstimo consignado, o Itaú tem uma das melhores taxas de juros do Mercado com agilidade e descrição em seu processo de liberação.

Ademais, o Consignado Banco Itaú é muito simples e fácil de solicitar. Basta clicar no botão Solicite e preencher o formulário para que nosso time de consultores possa entrar em contato.

Empréstimo Consignado INSS Banco Itaú + Vantagens

Um dos grandes diferenciais do Itaú é sua agilidade e flexibilidade em operações como Refinanciamento. Aliás, é muito importante saber como funciona seu Refinanciamento, mesmo se estiver contratando um empréstimo novo, pois no futuro poderá se servir como uma opção de crédito. Contudo, confira as principais vantagens desta modalidade de crédito, como por exemplo:

  • Parcelas Fixas
  • Prazos de até 72 meses para pagar
  • Desconto em folha
  • Taxa de Juros Menores

Público Alvo

Esta modalidade de crédito está destinada ao seguinte público, como por exemplo:

  • Aposentados do INSS
  • Pensionistas do INSS
  • Servidor Público

Documentação

Os documentos necessários para poder contratar seu empréstimo consignado INSS são:

  • RG ou CNH
  • Comprovante de Residência
  • Comprovante de pagamento da aposentadoria (último contracheque)
  • CPF

Regulamentação

O Empréstimo para aposentado possui uma legislação específica para preservar seu direito como aposentado ou pensionista do INSS, que é a Lei 10.820. Nesta lei, está previsto o pagamento com desconto em folha, de acordo com as condições gerais do empréstimo consignado INSS. Contudo, isso a torna a modalidade de crédito Consignado INSS segura e transparente entre as partes.

Analise de Margem

Para contratar um empréstimo consignado INSS Banco Itaú, é necessário ter margem consignável. Por este motivo, realizamos pesquisas junto ao INSS para conciliar sua necessidade à sua margem consignável. Não se preocupe com nossas pesquisas, pois elas servem para lhe oferecer possibilidades como:

Contudo, analisamos também sua necessidade à política de crédito do Banco, para evitar perda de tempo ou reprovações.

Fique tranquilo, pois somos especialistas em empréstimo consignado.

Linha de crédito Santander capital de giro

Conheça como funciona a modalidade de capital de Giro do banco Santander. Ademais, o Santander é um banco de origem espanhola que se popularizou ao redor do mundo, inclusive no Brasil. No entanto, conheça agora mesmo quais são as vantagens de se obter uma linha de crédito do Santander.

O Santander se preocupa com o bem-estar dos seus clientes e propõe soluções para solucionar seus problemas.

Linha de Crédito Santander + Vantagens

Capital de Giro é a melhor forma de empréstimo para equilibrar o fluxo de caixa da sua empresa.

Ademais, veja quais são as opções que o banco Santander oferece para a linha de crédito de Capital de Giro:

  • Parcelado
  • Recompensa
  • Bonificado
  • Eletrônico
  • Modular
  • Final
  • Franquias

Contudo, a seguir, descreveremos cada uma das opções de capital de giro para fácil atendimento.

  • Giro Parcelado

O que é?

É uma linha de crédito Santander de pagamentos mensais com parcelas pré-fixadas ou pós-fixadas. Contudo, o cliente terá mais tranquilidade em ajustar o fluxo de caixa da sua empresa. No entanto, existe a possibilidade de carência para o 1º pagamento.

Prazo:

De 2 até 60 meses

Juros:

Taxa de Juros atrativa. Ademais, é uma das menores do mercado.

  • Giro Recompensa

O que é?

É uma linha de crédito Santander de pagamentos mensais com parcelas pré-fixadas. Contudo, o cliente é premiado com a isenção do pagamento de até 3 parcelas, caso pague as parcelas em dia.

Prazo:

12 e 18 meses (isenção da última parcela), 24 meses (isenção das 2 últimas parcelas) e 36 meses (isenção das 3 últimas parcelas).

OBS: Em caso de liquidação antecipada das parcelas ou inadimplência, o cliente perderá o benefício da isenção.

Volume:

A partir de R$ 1.000,00 (hum mil reais)

  • Giro Bonificado

O que é?

É uma linha de crédito Santander de pagamentos mensais com parcelas pré-fixadas. Contudo, o cliente é premiado com a isenção do pagamento de até 3 parcelas, caso pague as parcelas em dia.

Prazo:

18 meses (isenção da última parcela), 24 meses (isenção das 2 últimas parcelas) e 36 meses (isenção das 3 últimas parcelas).

OBS: Em caso de liquidação antecipada das parcelas ou inadimplência, o cliente perderá o benefício da isenção.

Volume:

A partir de R$ 5.000,00 (cinco mil reais)

  • Giro Eletrônico

O que é?

É uma linha de crédito Santander com limite pré-aprovado e pagamentos mensais com parcelas pré-fixadas. Contudo, é destinado para micro e pequenas empresas. onde o cliente terá o crédito disponibilizado na hora, através do internet banking. Ademais, terá também mais tranquilidade em ajustar o fluxo de caixa da sua empresa.

Prazo:

De 2 até 12 meses

Volume:

De R$ 1.000,00 (hum mil reais) até R$ 50.000,00 (cinquenta mil reais)

  • Giro Modular

O que é?

É uma linha de crédito Santander de pagamentos mensais com parcelas pré-fixadas ou pós-fixadas. Contudo, o cliente poderá alterar as parcelas, a data de vencimento e os valores durante o prazo do plano. No entanto, o cliente terá mais tranquilidade em ajustar o fluxo de caixa da sua empresa.

Prazo:

De 2 até 60 meses

Volume:

A partir de R$ 1.000,00 (hum mil reais)

  • Giro Final

O que é?

É uma linha de crédito Santander com 1 única parcela pré-fixada ou pós-fixada. No entanto, o valor é liberado de uma única vez. Contudo, é ideal para empresas que necessitam de crédito imediato e que sabem que terão o valor total para pagamento da parcela única. Ademais, o cliente terá mais tranquilidade em ajustar o fluxo de caixa da sua empresa. Existe a possibilidade de carência para o 1º pagamento.

Prazo:

De 1 até 180 dias

Volume:

A partir de R$ 1.000,00 (hum mil reais)

  • Giro Franquias

O que é?

É uma linha de crédito Santander de pagamentos mensais com parcelas pré-fixadas. Ademais, é ideal para desenvolver a sua franquia. onde o cliente terá mais tranquilidade em ajustar o fluxo de caixa da sua empresa. No entanto, existe a possibilidade de carência para o 1º pagamento.

Prazo:

Até 48 meses

Valor Financiado:

A partir de R$ 375.000,00 (trezentos e setenta e cinco mil reais)

Carência:

Até 6 meses

Regulamentação

Contudo, o Banco Central é a instituição que fiscaliza e que regulamenta as atividades de linhas de crédito no Brasil.

Você sabia?

Com mais de 17 anos no Mercado de Empréstimo Consignado e com uma equipe treinada para lhe auxiliar na melhor decisão. No entanto, o Portal Consignados trabalha em parceria com diversos bancos para lhe oferecer sempre o melhor negócio.

Contrate seu empréstimo consignado clicando aqui

Empréstimo Consignado INSS Banco Santander

O Empréstimo Consignado INSS Santander é destinado à Aposentados e Pensionistas do INSS e está disponível aqui para você. Portanto, solicite sem compromisso uma cotação. Aliás, nosso time de consultores está preparado para lhe atender.

Com foco na modalidade de empréstimo consignado, o Santander tem uma das melhores taxas de juros do Mercado com agilidade e descrição em seu processo de liberação.

Ademais, o Consignado Banco Santander é muito simples e fácil de solicitar. Basta clicar no botão Solicite e preencher o formulário para que nosso time de consultores possa entrar em contato.

Empréstimo Consignado INSS Banco Santander + Vantagens

Um dos grandes diferenciais do Santander é sua agilidade e flexibilidade em operações como Refinanciamento. Aliás, é muito importante saber como funciona seu Refinanciamento, mesmo se estiver contratando um empréstimo novo, pois no futuro poderá se servir como uma opção de crédito. Contudo, confira as principais vantagens desta modalidade de crédito, como por exemplo:

  • Parcelas Fixas
  • Prazos de até 72 meses para pagar
  • Desconto em folha
  • Taxa de Juros Menores

Público Alvo

Esta modalidade de crédito está destinada ao seguinte público, como por exemplo:

  • Aposentados do INSS
  • Pensionistas do INSS

Documentação

Os documentos necessários para poder contratar seu empréstimo consignado INSS são:

  • RG ou CNH
  • Comprovante de Residência
  • Comprovante de pagamento da aposentadoria (último contracheque)
  • CPF

Regulamentação

O Empréstimo para aposentado possui uma legislação específica para preservar seu direito como aposentado ou pensionista do INSS, que é a Lei 10.820. Nesta lei, está previsto o pagamento com desconto em folha, de acordo com as condições gerais do empréstimo consignado INSS. Contudo, isso a torna a modalidade de crédito Consignado INSS segura e transparente entre as partes.

Analise de Margem

Para contratar um empréstimo consignado INSS Banco Santander, é necessário ter margem consignável. Por este motivo, realizamos pesquisas junto ao INSS para conciliar sua necessidade à sua margem consignável. Não se preocupe com nossas pesquisas, pois elas servem para lhe oferecer possibilidades como:

Contudo, analisamos também sua necessidade à política de crédito do Banco, para evitar perda de tempo ou reprovações.

Fique tranquilo, pois somos especialistas em empréstimo consignado.

Linhas de Crédito Caixa Econômica Federal

Conheça quais são as linhas de crédito que a Caixa tem para você! No entanto, a Caixa Econômica é um dos bancos mais populares do nosso país. Ademais, a CEF é um banco assistencial que está envolvido em projetos sociais, como por exemplo “Minha Casa, Minha Vida”, entre outros. No entanto, conheça agora mesmo quais são as vantagens de se obter uma linha de empréstimo com a Caixa.

Ademais, os Programas e Benefícios que a Caixa possui, ajudaram e continuam ajudando milhares de trabalhadores Brasil afora.

Linhas de Crédito Caixa + Vantagens

Atualmente, a Caixa Econômica Federal possui 2 linhas de crédito. No entanto, veremos a seguir quais são essas linhas.

Capital de Giro

Essa linha de crédito foi feita para empresas públicas e sociedades de economia mistas, na qual a Caixa oferece capital de giro.

Vantagens:

  • Taxa de juros reduzida
  • O valor das prestações se ajusta ao fluxo de caixa do tomador
  • Agilidade e Flexibilidade quanto a análise da proposta

Requisitos para contratação:

  • Aprovação da Caixa
  • Enquadramento de toda a operação com as normas da Caixa

Investimento

Nessa linha de crédito, as empresas do setor público poderão adquirir, como por exemplo:

  • veículos
  • máquinas
  • equipamentos
  • realizar implantação, expansão e modernização de empreendimentos, exceto na construção civil.

Limites:

  • Valor mínimo: R$500.000,00 (quinhentos mil reais)
  • Valor máximo: 90% do valor total do projeto

Prazo:

  • Mínimo: 6 meses
  • Máximo: Será avaliado, dependendo da negociação

Vantagens:

  • Liberação do crédito conforme necessidade do cliente
  • Agilidade e Flexibilidade quanto a análise da proposta
  • Taxa de juros reduzida

Requisitos para contratação:

  • Aprovação da Caixa
  • Enquadramento de toda a operação com as normas da Caixa
  • Seguro do bem financiado ou dado como garantia

Não poderá contratar:

  • No entanto, não poderá ser contratado por empresas enquadradas no conceito “Empresa Estatal Dependente”.

Regulamentação

Contudo, o Banco Central é a instituição que fiscaliza e que regulamenta as atividades de linhas de crédito no Brasil.

Você sabia?

Com mais de 17 anos no Mercado de Empréstimo Consignado, o Portal Consignados conta com uma equipe treinada para lhe auxiliar na melhor decisão. No entanto, o Portal Consignados trabalha em parceria com diversos bancos para lhe oferecer sempre o melhor negócio.

Contrate seu empréstimo consignado clicando aqui

Linhas de Empréstimo Pessoal BB – Conheça aqui

Conheça quais são as linhas de empréstimo pessoal do Banco do Brasil. O BB é um dos bancos mais populares do nosso país e conta com agências espalhadas em todo o território nacional. No entanto, conheça agora mesmo quais são as vantagens de se obter uma linha de empréstimo com o Banco do Brasil.

Linhas de Empréstimo Pessoal BB + Vantagens

Conheça agora as vantagens e as linhas de empréstimo pessoal que o Banco do Brasil oferece aos seus clientes:

Empréstimo Consignado

A linha de Empréstimo Consignado foi feita para você que precisa de dinheiro rápido para pagar uma dívida, realizar uma viagem ou um curso, etc, …

No entanto, com o Empréstimo Consignado você utiliza o dinheiro da forma que quiser.

Quais são as vantagens?

  • Até 180 dias para começar a pagar
  • Parcelas fixas
  • Prazo de até 96 meses
  • As parcelas serão debitadas da folha de pagamento

Quem tem direito ao Empréstimo Consignado?

  • Clientes que possuem limite de crédito disponível no BB
  • Clientes que recebem salário em empresas que possuem convênio de consignação em folha com o Banco do Brasil
  • Clientes que possuem margem consignável disponível

Crédito Salário

A linha de Crédito Pessoal foi feita para você que recebe salário no Banco do Brasil. No entanto, essa é uma linha emergencial para que você consiga lidar com despesas inesperadas.

Quais são as vantagens?

  • Até 180 dias para começar a pagar
  • Parcelas fixas
  • Prazo de até 96 meses
  • As parcelas serão debitadas da conta corrente do cliente no dia que o salário for pago

Crédito Benefício

A linha de Crédito Benefício é feita para aposentados e pensionistas do INSS que recebem o benefício através de uma conta do BB

Quais são as vantagens?

  • Até 180 dias para começar a pagar
  • Parcelas fixas
  • Prazo de até 72 meses

Quem tem direito ao Empréstimo Consignado?

  • Clientes que possuem limite de crédito disponível no BB
  • Clientes que possuem conta ativa no Banco do Brasil

Empréstimo Automático

A linha de Empréstimo Automático é feita para você que quer dinheiro rápido e sem burocracia.

Quais são as vantagens?

  • Crédito direto na conta corrente
  • Parcelas fixas
  • Prazo de até 60 meses

Quem tem direito ao Empréstimo Automático?

  • Clientes que possuem limite de crédito disponível no BB
  • Clientes que possuem conta ativa no Banco do Brasil

Cheque Especial

A linha de Cheque Especial poderá ser usada sempre que não houver saldo suficiente para pagar as contas. No entanto, é indicado para aqueles que possuem limite de crédito aprovado.

Quais são as vantagens?

  • Você escolhe qual será a data para a cobrança de juros do cheque especial
  • Você poderá transferir o limite entre cheque especial e cartão de crédito conforme a sua vontade
  • Não há cobrança de encargos se o limite não for utilizado

Quem tem direito ao Empréstimo Automático?

  • Clientes que possuem limite de crédito disponível no BB
  • Clientes que possuem conta ativa no Banco do Brasil

Regulamentação

A lei nº 13.172 de 2015 regulamenta e fiscaliza as atividades de empréstimo pessoal do nosso país. Contudo, esta lei veio a substituir a lei nº 10.820 de 2003.

Você sabia?

Com mais de 17 anos no Mercado de Empréstimo Consignado, o Portal Consignados conta com uma equipe treinada para lhe auxiliar na melhor decisão. No entanto, o Portal Consignados trabalha em parceria com diversos bancos para lhe oferecer sempre o melhor negócio.

Contrate seu empréstimo consignado clicando aqui

Empréstimo Consignado INSS Banco do Brasil

O Empréstimo Consignado INSS do Banco do Brasil é destinado à Aposentados e Pensionistas do INSS e está disponível aqui para você. Portanto, solicite sem compromisso uma cotação. Aliás, nosso time de consultores está preparado para lhe atender.

Com foco na modalidade de empréstimo consignado, o Banco do Brasil tem uma das melhores taxas de juros do Mercado com agilidade e descrição em seu processo de liberação.

Ademais, o Consignado INSS do Banco do Brasil é muito simples e fácil de solicitar. Basta clicar no botão Solicite e preencher o formulário para que nosso time de consultores possa entrar em contato.

Empréstimo Consignado INSS Banco do Brasil + Vantagens

Um dos grandes diferenciais do Banco do Brasil é sua agilidade e flexibilidade em operações como Refinanciamento. Aliás, é muito importante saber como funciona seu Refinanciamento, mesmo se estiver contratando um empréstimo novo, pois no futuro poderá se servir como uma opção de crédito. Contudo, confira as principais vantagens desta modalidade de crédito, como por exemplo:

  • Parcelas Fixas
  • Prazos de até 60 meses para pagar
  • Desconto em folha
  • Taxa de Juros Menores

Público Alvo

Esta modalidade de crédito está destinada ao seguinte público, como por exemplo:

  • Aposentados do INSS
  • Pensionistas do INSS

Documentação

Os documentos necessários para poder contratar seu empréstimo consignado INSS são:

  • RG ou CNH
  • Comprovante de Residência atual (com data de vencimento de no máximo 60 dias)
  • Comprovante de pagamento da aposentadoria (último contracheque)
  • CPF

Regulamentação

O Empréstimo para aposentado possui uma legislação específica para preservar seu direito como aposentado ou pensionista do INSS, que é a Lei 10.820. Nesta lei, está previsto o pagamento com desconto em folha, de acordo com as condições gerais do empréstimo consignado INSS. Contudo, isso a torna a modalidade de crédito Consignado INSS segura e transparente entre as partes.

Analise de Margem

Para contratar um empréstimo consignado INSS Banco do Brasil, é necessário ter margem consignável. Por este motivo, realizamos pesquisas junto ao INSS para conciliar sua necessidade à sua margem consignável. Não se preocupe com nossas pesquisas, pois elas servem para lhe oferecer possibilidades como:

Contudo, analisamos também sua necessidade à política de crédito do Banco, para evitar perda de tempo ou reprovações.

Fique tranquilo, pois somos especialistas em empréstimo consignado.

Empréstimo Consignado INSS Caixa

O Empréstimo Consignado INSS da Caixa Econômica Federal é destinado à Aposentados e Pensionistas do INSS e está disponível aqui para você. Portanto, solicite sem compromisso uma cotação. Aliás, nosso time de consultores está preparado para lhe atender.

Com foco na modalidade de empréstimo consignado, a Caixa tem uma das melhores taxas de juros do Mercado com agilidade e descrição em seu processo de liberação.

Ademais, o Consignado INSS da Caixa é muito simples e fácil de solicitar. Basta clicar no botão Solicite e preencher o formulário para que nosso time de consultores possa entrar em contato.

Empréstimo Consignado INSS Caixa + Vantagens

Um dos grandes diferenciais da Caixa é sua agilidade e flexibilidade em operações como Refinanciamento. Aliás, é muito importante saber como funciona seu Refinanciamento, mesmo se estiver contratando um empréstimo novo, pois no futuro poderá se servir como uma opção de crédito. Contudo, confira as principais vantagens desta modalidade de crédito, como por exemplo:

  • Parcelas Fixas
  • Prazos de até 72 meses para pagar
  • Desconto em folha
  • Taxa de Juros Menores

Público Alvo

Esta modalidade de crédito está destinada ao seguinte público, como por exemplo:

  • Aposentados do INSS
  • Pensionistas do INSS

Documentação

Os documentos necessários para poder contratar seu empréstimo consignado INSS são:

  • RG ou CNH
  • Comprovante de Residência atual (com data de vencimento de no máximo 60 dias)
  • CPF

Regulamentação

O Empréstimo para aposentado possui uma legislação específica para preservar seu direito como aposentado ou pensionista do INSS, que é a Lei 10.820. Nesta lei, está previsto o pagamento com desconto em folha, de acordo com as condições gerais do empréstimo consignado INSS. Contudo, isso a torna a modalidade de crédito Consignado INSS segura e transparente entre as partes.

Analise de Margem

Para contratar um empréstimo consignado INSS Caixa, é necessário ter margem consignável. Por este motivo, realizamos pesquisas junto ao INSS para conciliar sua necessidade à sua margem consignável. Não se preocupe com nossas pesquisas, pois elas servem para lhe oferecer possibilidades como:

Contudo, analisamos também sua necessidade à política de crédito do Banco, para evitar perda de tempo ou reprovações.

Fique tranquilo, pois somos especialistas em empréstimo consignado.

Reformas Constitucionais – Quais são os principais pontos?

Quais são os principais pontos das Reformas Constitucionais? Neste artigo, analisaremos os tópicos mais relevantes que envolvem as Reformas da nossa Constituição. Veremos quais são as Emendas e as suas principais alterações. Acompanhe nosso artigo e comente. Aqui no Portal Consignados, a sua opinião é de suma importância. Participe!

Reformas Constitucionais e a Emenda nº 20

A partir da Emenda nº 20 de 1998, adotou-se a exigência de que os Regimes Previdenciários mantivessem-se em equilíbrio financeiro e atuarial. Contudo, essa atitude poderá autorizar o legislador infraconstitucional a modificar critérios de cálculo de contribuições ao mesmo. Assim, o sistema se manterá vivo.

A norma constitucional apresenta dois aspectos que não se afastam. Ademais, são eles:

  • Sistema de Contributividade: Indica que os servidores, como futuros previdenciários, deverão pagar as contribuições durante a sua relação de trabalho.
  • Manutenção do Equilíbrio Financeiro e Atuarial: Deverá ter a maior correspondência possível entre o ônus da contribuição e o valor do futuros benefícios.

No entanto, com essas informações, quebra-se a crença de que a aposentadoria dos servidores públicos decorressem de mero exercício de cargo, sendo desnecessária qualquer contribuição.

As reformas constitucionais e o artigo 40 da Constituição

Outro ponto importante das reformas constitucionais é a exclusão da possibilidade de utilização de regras do artigo 40 da Constituição. Esta se refere a ocupantes de cargos em comissão que não exerçam cargo efetivo. Contudo, também se refere aos contratados temporariamente e os empregados públicos, desde a promulgação da Emenda nº 20/98.

Ademais, o governo do Estado do Mato Grosso do Sul cutucou o STF afim de manter os comissionados em seu Regime Próprio. O Governo de MS alega que a Emenda interferia no pacto federativo e violando a autonomia dos estados e municípios.

Para o Poder Judiciário e para o Ministério Público, as regras para aposentadoria passaram a ser mais rígidas. Contudo, o tempo de contribuição (35 anos para homem e 30 anos para mulher) foi adicionado a exigência de idade mínima de 60 anos (homem) e 55 anos (mulher). Ademais, é somado o cumprimento mínimo de 10 anos de efetivo exercício no serviço público e 5 anos no cargo efetivo em que se dará a aposentadoria.

Referente às chamadas “regras de transição”, os servidores que desejarem se aposentar pelos critérios antes vigentes, deverão ter a idade mínima de 53 anos (homem) e 48 anos (mulher). Ademais, acrescentando o tempo mínimo de 5 anos no cargo em que pretende se aposentar. No entanto, deverá ter cumprido um tempo suplementar equivalente a 20% do tempo restante para atingir aquele previsto pelas regras anteriores.

Pós Emenda nº 20 e algumas mudanças

Nas novas regras pós Emenda nº 20/98, foi excluída a aposentadoria proporcional por tempo de serviço. No entanto, essa aposentadoria só poderá ser obtida por aqueles que na época, já tinham o direito adquirido ou se enquadrarem nas regras de transição estabelecidas na referida Emenda.

Foi incluído o caráter contribuitivo do regime, o que caracterizou a obrigatoriedade de contribuição para obtenção de benefícios. Também foi fixado o princípio do equilíbrio financeiro e atuarial. No entanto, foi limitado o teto do benefício ao valor da remuneração do respectivo servido no cargo que ocupava, quando da aposentadoria ou do falecimento.

A Constituição veda a acumulação de aposentadorias devidas em função do exercício do cargo público.

Quais são os principais pontos da reforma de 2003?

As Reformas Constitucionais da Emenda nº 41 de 2003, novamente alteraram as regras para os regimes próprios dos agentes públicos. No entanto, tais regras indicam a obrigatoriedade da contribuição dos agentes públicos em atividade. Contudo, indicam a obrigatoriedade dos aposentados e pensionistas dos regimes próprios.

Os agentes públicos que ingressarem no serviço público após a promulgação da Emenda 41 (após 31/12/2003), terão suas aposentadorias calculadas de acordo com o disposto do artigo 40. Contudo, isso significa que as aposentadorias passarão a ser calculadas para esses agentes públicos, pela média dos salários de contribuição. No entanto, essa média servirá de base para a contribuição vertida. Contudo, servirá para os regimes próprios, como também para o regime geral da previdência social. Ademais, estes são corrigidos monetariamente.

A pensão por morte também teve suas regras de concessão alteradas. Agora será correspondente ao valor da totalidade dos proventos do servidor falecido, até o limite máximo estabelecido para os benefícios do regime geral de previdência social de que trata o artigo 201, acrescido de 70% da parcela excedente a este limite.

A Emenda nº 41 realiza a desvinculação entre o reajuste de padrões remuneratórios dos agentes públicos (como por exemplo: vencimentos, remunerações e subsídios) e o reajuste dos proventos de aposentados e pensionistas referente ao parágrafo 8 do artigo 40 da constituição. Este, anteriormente, previa a paridade de tratamento entre agentes públicos em atividade e beneficiários do regime previdenciário.

Quanto ao regime complementar, fixou-se a impossibilidade de entrega dessa modalidade de seguro à iniciativa privada. Contudo, foi criada a necessidade de que cada ente público crie entidade com personalidade de direito público (as entidades possuem natureza jurídica de fundação). Ademais, esta funcionará como entidade de previdência complementar fechada (fundo de pensão).

Quais são as mudanças mais relevantes da Emenda nº 41 de 2003?

A Fundação Anfip publicou um estudo nos mostrando essas mudanças nas reformas constitucionais que foram:

  • Extinguiu a paridade entre ativos e inativos
  • Instituiu novas regras de cálculo dos proventos
  • Instituiu o abono de permanência
  • Extinguiu a aposentadoria proporcional
  • Criou o redutor de pensão
  • Quebrou a paridade da aposentadoria por invalidez

A Emenda Constitucional nº 47 de 2005

A mudança que a Emenda nº 47 fez de mais importante foi instituir a fórmula 95 para homens e 85 para mulheres. Essa fórmula permite ao servidor que ingressou no serviço público até 16/12/1998, a aposentar-se antes da idade mínima exigida de 60 anos (homens) e 55 anos (mulheres). Contudo, desde que tenha pelo menos 25 anos de serviço público,

A Emenda Constitucional nº 70 de 2012

Essa emenda estabeleceu critérios para o cálculo e a correção dos proventos da aposentadoria por invalidez dos servidores públicos que ingressaram antes de 31/12/2003. Contudo, os proventos de invalidez desse grupo de servidores, quando integrais, corresponderão a 100% do valor da remuneração do cargo na data de concessão da aposentadoria. Ademais, se forem proporcionais, terão o percentual correspondente ao tempo de contribuição aplicado sobre essa remuneração.

A Emenda nº 70 também disse que as aposentadorias por invalidez concedidas antes de 01/01/2004 não deverão ser revistas e nem as pensões delas decorrentes. No entanto, a Emenda alega que esses benefícios já foram calculados com base na remuneração do servidor no cargo. Estes serão reajustadas de acordo com as variações ocorridas nessa remuneração.

Você sabia?

Com mais de 17 anos no Mercado de Empréstimo Consignado, o Portal Consignados conta com uma equipe treinada para lhe auxiliar na melhor decisão. No entanto, o Portal Consignados trabalha em parceria com diversos bancos para lhe oferecer sempre o melhor negócio.

Contrate seu empréstimo consignado clicando aqui

Empréstimo Consignado Siape Alfa Financeira

O Consignado SIAPE Alfa Financeira possui taxas de juros bem acessíveis para você Servidor Federal. Contudo, as parcelas são descontadas direto de sua folha de pagamento (holerite) com taxas de juros mais baixas e prazo de até 96 meses para pagar.

O empréstimo Siape da Alfa é uma excelente oportunidade de conseguir dinheiro rápido. Conheça mais sobre o consignado Siape pelo banco Alfa abaixo:

Ademais, o consignado Siape do banco Alfa é muito simples e fácil de solicitar. Basta clicar no botão Solicite e preencher o formulário para que nosso time de consultores possa entrar em contato.

Consignado Siape Alfa Financeira + Vantagens

Confira algumas das vantagens do Consignado SIAPE Alfa, como por exemplo:

  • Prazo de até 96 meses para pagar.
  • Agilidade para liberação de crédito direto na conta, sem a necessidade de abrir uma conta corrente.
  • Sem burocracia.
  • Parcelas que cabem no seu bolso.
  • Desconto em folha.
  • Taxa de Juros Menores.

Público Alvo

O empréstimo consignado Siape Alfa Financeira atende ao seguinte público:

  • Servidores Federais

Aliás, nosso time de consultores está preparado em realizar consultas personalizadas a fim de proporcionar à você cliente, todas as opções possíveis em crédito. Contudo, as principais são:

  • Empréstimo Novo (Condicionado a sua Margem dos 30%)
  • Refinanciamento
  • Portabilidade
  • Cartão de Crédito Consignado (Condicionado a sua margem dos 5%)

Nosso foco é analisar qual a melhor opção para você. Por isso, gostamos de colocar à sua disposição todas as possibilidades, mas a escolha é sempre sua.

Regulamentação

O Consignado Siape Alfa Financeira possui uma legislação específica para preservar seu direito, que é a Lei 10.820. Contudo, nesta lei está previsto o pagamento com desconto em folha e as condições gerais do empréstimo consignado.

Documentação Necessária

  • RG ou CNH
  • CPF
  • Comprovante de Renda Atualizado (Último contra-cheque)
  • Comprovante de Residência (até 60 dias)

OBS: Poderá ser solicitado documentos adicionais, conforme convênio e política de aprovação da Instituição Financeira.

Empréstimo Consignado Siape Ciasprev

O Consignado SIAPE Ciasprev possui taxas de juros bem acessíveis para você Servidor Federal. Contudo, as parcelas são descontadas direto de sua folha de pagamento (holerite) com taxas de juros mais baixas e prazo de até 96 meses para pagar.

O empréstimo Siape da Ciasprev é uma excelente oportunidade de conseguir dinheiro rápido. Conheça mais sobre o consignado Siape pela Ciasprev abaixo:

Ademais, o consignado Siape da Ciasprev é muito simples e fácil de solicitar. Basta clicar no botão Solicite e preencher o formulário para que nosso time de consultores possa entrar em contato.

Consignado Siape Ciasprev + Vantagens

Confira algumas das vantagens do Empréstimo Consignado SIAPE Ciasprev, como por exemplo:

  • Prazo de até 96 meses para pagar.
  • Agilidade para liberação de crédito direto na conta.
  • Limite de idade: Até 81 anos e 11 meses
  • Sem burocracia.
  • Parcelas que cabem no seu bolso.
  • Desconto em folha.
  • Taxa de Juros Menores.

Público Alvo

O empréstimo consignado Siape Ciasprev atende ao seguinte público:

  • Servidores Federais
  • Ativo Permanente
  • Aposentado
  • Cedido
  • Celetista

Aliás, nosso time de consultores está preparado em realizar consultas personalizadas a fim de proporcionar à você cliente, todas as opções possíveis em crédito. Contudo, as principais são:

  • Empréstimo Novo (Condicionado a sua Margem dos 30%)
  • Refinanciamento
  • Portabilidade
  • Cartão de Crédito Consignado (Condicionado a sua margem dos 5%)

Nosso foco é analisar qual a melhor opção para você. Por isso, gostamos de colocar à sua disposição todas as possibilidades, mas a escolha é sempre sua.

Regulamentação

O Consignado Siape Ciasprev possui uma legislação específica para preservar seu direito, que é a Lei 10.820. Contudo, nesta lei está previsto o pagamento com desconto em folha e as condições gerais do empréstimo consignado.

Documentação Necessária

  • RG ou CNH
  • CPF
  • Comprovante de Renda Atualizado (Último contra-cheque)
  • Comprovante de Residência (até 60 dias)

OBS: Poderá ser solicitado documentos adicionais, conforme convênio e política de aprovação da Instituição Financeira.

Empréstimo Consignado Siape BRB Financeira – Brasília

O Empréstimo Consignado SIAPE BRB Financeira do Governo de Brasília possui taxas de juros bem acessíveis para você. Contudo, as parcelas são descontadas direto de sua folha de pagamento (holerite) com taxas de juros mais baixas e prazos mais longos para pagar.

O empréstimo Siape BRB Financeira é uma excelente oportunidade de conseguir dinheiro rápido. Conheça mais sobre o consignado Siape pela BRB Financeira abaixo:

Ademais, o empréstimo consignado Siape BRB Financeira é muito simples e fácil de solicitar. Basta clicar no botão Solicite e preencher o formulário para que nosso time de consultores possa entrar em contato.

Empréstimo Consignado Siape BRB Financeira + Vantagens

Confira algumas das vantagens do Consignado SIAPE da BRB Financeira, como por exemplo:

  • Após aprovado, o crédito é liberado diretamente na sua conta corrente
  • Prazo de até 96 meses para pagar
  • Desconto em folha
  • Taxa de Juros Menores

Público Alvo

O empréstimo consignado Siape BRB Financeira do governo de Brasília atende aos seguintes públicos:

  • Servidores Públicos Federais
  • Servidores Públicos Estaduais
  • Servidores Públicos Municipais
  • Correntistas da BRB Financeira
  • Servidores do Governo de Brasília

Aliás, nosso time de consultores está preparado em realizar consultas personalizadas a fim de proporcionar à você cliente, todas as opções possíveis em crédito. Contudo, as principais são:

  • Empréstimo Novo (Condicionado a sua Margem dos 30%)
  • Refinanciamento
  • Portabilidade
  • Cartão de Crédito Consignado (Condicionado a sua margem dos 5%)

Nosso foco é analisar qual a melhor opção para você. Por isso, gostamos de colocar à sua disposição todas as possibilidades, mas a escolha é sempre sua.

Regulamentação

O Consignado Siape BRB Financeira possui uma legislação específica para preservar seu direito, que é a Lei 10.820. Contudo, nesta lei está previsto o pagamento com desconto em folha e as condições gerais do empréstimo consignado.

Documentação Necessária

  • RG ou CNH
  • CPF
  • Último contra-cheque ou demonstrativo de pagamento
  • Comprovante de Residência

OBS: Poderá ser solicitado documentos adicionais, conforme convênio e política de aprovação da Instituição Financeira.

Empréstimo Consignado Siape Olé

Consignado Siape Olé é a melhor opção para Servidores Federais

O Empréstimo Consignado Siape Olé possui taxa de juros bem acessíveis para você Servidor Federal. Contudo, as parcelas são descontadas direto de sua folha de pagamento (holerite) com taxas de juros mais baixas e prazos mais longos pára pagar.

O Empréstimo Consignado Siape Olé é uma excelente oportunidade de conseguir dinheiro rápido com taxas de juros justas. Conheça mais sobre o empréstimo consignado Siape do banco Olé aqui no Portal Consignados

Ademais, o consignado Siape Olé é muito simples e fácil de solicitar. Basta clicar no botão Solicite e preencher o formulário para que o nosso time de consultores possa entrar em contato.

Consignado Siape Olé + Vantagens

Conheça agora as vantagens que o banco Olé trouxe para você:

Sem consulta ao SPC/SERASA

O empréstimo consignado Olé poderá ser contratado de qualquer lugar do Brasil

Agilidade e Organização na aprovação e na liberação de crédito

Taxas de juros competitivas e justas para você

Público Alvo

Servidores Públicos

Aposentados

Pensionistas

Margem Consignásvel

Nosso time de consultores está preparado para realizar consultas personalizadas a fim de proporcionar à você cliente, todas as opções possível de crédito. A Margem Consignável não pode ultrapassar 30% do valor total do seu benefício.

Amparo Legal

O empréstimo consignado Siape Olé possui uma legislação específica para preservar o seu direito, que é a lei nº 10.820. Nessa lei, está previsto o pagamento com desconto em folha e as condições gerais do empréstimo consignado.

Política de Crédito

A falta ou o atraso no pagamento de quaisquer importâncias devidas pelo cliente, será considerado em mora, ficando o débito sujeito à atualização monetáriasegundo índices oficiais regularmente estabelecidos e com juros de mora de 1% a.m. (um por cento ao mês).

O cliente poderá fazer pagamentos parciais ou integral do seu saldo devedor. Ao fazer isso, o cliente terá redução proporcional dos juros e demais acréscimos pela taxa de juros pactuadas no contrato.

Documentação Necessária

Cópia do Rg ou CNH dentro da data de validade

Comprovante de Residência (últimos 60 dias)

Último contra-cheque ou demonstrativo de pagamento

Contrato devidamente assinado

Empréstimo Consignado Siape Santander

O Empréstimo Consignado SIAPE Santander possui taxas de juros bem acessíveis para você Servidor Federal. Contudo, as parcelas são descontadas direto de sua folha de pagamento (holerite) com taxas de juros mais baixas e prazos mais longos para pagar.

O empréstimo Siape Santander é uma excelente oportunidade de conseguir dinheiro rápido. Conheça mais sobre o consignado Siape pelo banco Santander abaixo:

Ademais, o consignado Siape Santander é muito simples e fácil de solicitar. Basta clicar no botão Solicite e preencher o formulário para que nosso time de consultores possa entrar em contato.

Empréstimo Consignado Siape Santander + Vantagens

Confira algumas das vantagens do Consignado SIAPE Santander, como por exemplo:

  • Maior prazo para pagar (até 120 meses para servidores públicos)
  • Parcelas que cabem no seu bolso
  • Desconto em folha
  • Taxa de Juros Menores

Público Alvo

O empréstimo consignado Siape Santander atende ao seguinte público:

  • Servidores Federais
  • Aposentados
  • Pensionistas

Aliás, nosso time de consultores está preparado em realizar consultas personalizadas a fim de proporcionar à você cliente, todas as opções possíveis em crédito. Contudo, as principais são:

  • Empréstimo Novo (Condicionado a sua Margem dos 30%)
  • Refinanciamento
  • Portabilidade
  • Cartão de Crédito Consignado (Condicionado a sua margem dos 5%)

Nosso foco é analisar qual a melhor opção para você. Por isso, gostamos de colocar à sua disposição todas as possibilidades, mas a escolha é sempre sua.

Regulamentação

O Consignado Siape Santander possui uma legislação específica para preservar seu direito, que é a Lei 10.820. Contudo, nesta lei está previsto o pagamento com desconto em folha e as condições gerais do empréstimo consignado.

Política de Crédito

No ato da contratação, todo o trâmite estará sujeito a análise de crédito, à existência de margem consignável e as demais condições do produto vigente;.

Documentação Necessária

  • RG ou CNH
  • CPF
  • Comprovante de pagamento do benefício ou pensão de servidor público ou militar.
  • Comprovante de Residência

OBS: Poderá ser solicitado documentos adicionais, conforme convênio e política de aprovação da Instituição Financeira.

Empréstimo Consignado Siape CCB Brasil Financeira

O Empréstimo Consignado SIAPE CCB Brasil Financeira possui taxas de juros bem acessíveis para você que é Servidor Federal. Contudo, as parcelas são descontadas direto de sua folha de pagamento (holerite) com taxas de juros mais baixas e prazos de até 60 meses para pagar.

O empréstimo Siape CCB Brasil Financeira é uma excelente oportunidade de conseguir dinheiro rápido. Conheça mais sobre o consignado Siape pelo banco CCB Brasil Financeira abaixo:

Ademais, o consignado Siape CCB Brasil Financeira é muito simples e fácil de solicitar. Basta clicar no botão Solicite e preencher o formulário para que nosso time de consultores possa entrar em contato.

Empréstimo Consignado Siape CCB Brasil Financeira + Vantagens

Confira algumas das vantagens do Consignado SIAPE CCB Brasil Financeira, como por exemplo:

  • Prazo de até 60 meses para pagar
  • Não é necessário avalista e nem outras garantias
  • Parcelas que cabem no seu bolso
  • Desconto em folha
  • Taxa de Juros Menores

Público Alvo

O empréstimo consignado Siape CCB Brasil Financeira atende ao seguinte público:

  • Servidores Federais

Aliás, nosso time de consultores está preparado em realizar consultas personalizadas a fim de proporcionar à você cliente, todas as opções possíveis em crédito. Contudo, as principais são:

  • Empréstimo Novo (Condicionado a sua Margem dos 30%)
  • Refinanciamento
  • Portabilidade
  • Cartão de Crédito Consignado (Condicionado a sua margem dos 5%)

Nosso foco é analisar qual a melhor opção para você. Por isso, gostamos de colocar à sua disposição todas as possibilidades, mas a escolha é sempre sua.

Regulamentação

O Consignado Siape CCB Brasil Financeira possui uma legislação específica para preservar seu direito, que é a Lei 10.820. Contudo, nesta lei está previsto o pagamento com desconto em folha e as condições gerais do empréstimo consignado.

Documentação Necessária

  • RG ou CNH
  • CPF
  • Comprovante de Residência (vencimento máximo de 60 dias)

OBS: Poderá ser solicitado documentos adicionais, conforme convênio e política de aprovação da Instituição Financeira.

Consignado Siape Equatorial Seguradora

O Empréstimo Consignado SIAPE Equatorial Seguradora possui taxas de juros bem acessíveis para você que é Servidor Federal. Contudo, as parcelas são descontadas direto de sua folha de pagamento (holerite) com taxas de juros mais baixas e prazos mais longos para pagar.

O empréstimo Siape da Equatorial Seguradora é uma excelente oportunidade de conseguir dinheiro rápido. Conheça mais sobre o consignado Siape pelo banco CCB Brasil Financeira abaixo:

Ademais, o consignado Siape da Seguradora Equatorial é muito simples e fácil de solicitar. Basta clicar no botão Solicite e preencher o formulário para que nosso time de consultores possa entrar em contato.

Empréstimo Consignado Siape Equatorial Seguradora + Vantagens

Confira algumas das vantagens do Consignado SIAPE Equatorial Seguradora como por exemplo:

  • Prazo de até 96 meses para pagar
  • Não é necessário avalista e nem outras garantias
  • Parcelas que cabem no seu bolso
  • Desconto em folha
  • Taxa de Juros Menores

Público Alvo

O consignado Siape da Equatorial Seguradora atende ao seguinte público:

  • Ativo Permanente
  • Inativos/Aposentados
  • Cedido
  • Instituidor Pensão
  • Celetista
  • Emprego Público
  • Pensionista

Aliás, nosso time de consultores está preparado em realizar consultas personalizadas a fim de proporcionar à você cliente, todas as opções possíveis em crédito. Contudo, as principais são:

  • Empréstimo Novo (Condicionado a sua margem dos 30%)
  • Refinanciamento
  • Portabilidade
  • Cartão de Crédito Consignado (Condicionado a sua margem dos 5%)

Nosso foco é analisar qual a melhor opção para você. Por isso, gostamos de colocar à sua disposição todas as possibilidades, mas a escolha é sempre sua.

Regulamentação

O Consignado Siape Equatorial Seguradora possui uma legislação específica para preservar seu direito, que é a Lei 10.820. Contudo, nesta lei está previsto o pagamento com desconto em folha e as condições gerais do empréstimo consignado.

Documentação Necessária

  • RG ou CNH ou Carteira de Trabalho da Previdência Social CTPS
  • CPF
  • Cópia do último contra-cheque
  • Comprovante de Residência (vencimento máximo de 90 dias)

OBS: Poderá ser solicitado documentos adicionais, conforme convênio e política de aprovação da Instituição Financeira.

Empréstimo Consignado Siape Sicoob

O Empréstimo Consignado SIAPE Sicoob possui taxas de juros bem acessíveis para você que é Servidor Federal. Contudo, as parcelas são descontadas direto de sua folha de pagamento (holerite) com taxas de juros mais baixas e prazos mais longos para pagar. A Sicoob é o Sistema de Cooperativas de Crédito no Brasil. A Sicoob é considerada como um dos maiores sistemas financeiros do Brasil.

O empréstimo Siape da Sicoob é uma excelente oportunidade de conseguir dinheiro rápido. Conheça mais sobre o consignado Siape pelo Sicoob abaixo:

Ademais, o consignado Siape da Sicoob é muito simples e fácil de solicitar. Basta clicar no botão Solicite e preencher o formulário para que nosso time de consultores possa entrar em contato.

Empréstimo Consignado Siape Sicoob + Vantagens

Confira algumas das vantagens do Consignado SIAPE Sicoob, como por exemplo:

  • Prazo mais longos para pagar
  • Parcelas que cabem no seu bolso
  • Desconto em folha
  • Taxa de Juros Menores

Público Alvo

O consignado Siape da Sicoob atende ao seguinte público:

  • Funcionário Público
  • Militares

Aliás, nosso time de consultores está preparado em realizar consultas personalizadas a fim de proporcionar à você cliente, todas as opções possíveis em crédito. Contudo, as principais são:

  • Empréstimo Novo (Condicionado a sua margem dos 30%)
  • Refinanciamento
  • Portabilidade
  • Cartão de Crédito Consignado (Condicionado a sua margem dos 5%)

Nosso foco é analisar qual a melhor opção para você. Por isso, gostamos de colocar à sua disposição todas as possibilidades, mas a escolha é sempre sua.

Regulamentação

O Consignado Siape Sicoob possui uma legislação específica para preservar seu direito, que é a Lei 10.820. Contudo, nesta lei está previsto o pagamento com desconto em folha e as condições gerais do empréstimo consignado.

Documentação Necessária

  • RG ou CNH
  • CPF
  • Cópia do último contra-cheque
  • Comprovante de Residência

OBS: Poderá ser solicitado documentos adicionais, conforme convênio e política de aprovação da Instituição Financeira.

Planejamento de empréstimo: De refinanciamento de imóveis a consignados

Faça um planejamento de empréstimo tanto para refinanciamento quanto pára consignados e não tenha surpresas posteriores. Antes de realizar um empréstimo, planeje. Planejar antes de executar deveria ser um hábito dos seres humanos. No entanto, não é bem assim que acontece.

O ser humano executa a tarefa e, no meio do processo, começa a planejar. É um hábito errado que necessita ser corrigido para não adquirir mais dívidas. No entanto, nós, do Portal Consignados entendemos que muitas vezes agimos pela empolgação. Contudo, temos que aprender a agir pela razão.

Eu gosto de escrever. Escrever ensina como raciocinar e como estabelecer uma mensagem. Ademais, o melhor de tudo é que você pode planejar a mensagem para atingir um fim. E isso tem tudo a ver com planejar um empréstimo. Me acompanhe!

Realize um Planejamento de Empréstimo

Você tem um objetivo e pode se planejar antes de decidir. No entanto, fazendo um planejamento, você poderá também verificar se o seu objetivo é alcançado ou não.

O dinheiro sai do banco, mas não sai igual em qualquer operação. Algumas são mais caras, como por exemplo empréstimos pessoais, e outras mais baratas como por exemplo refinanciamento de imóveis.

No entanto, também existe uma diferença entre um empréstimo para criar riqueza e outro para apagar um incêndio.

Escrever também é isso. Você tem desde mensagens neutras, até textos de defesa escritos por advogados e mensagens positivas para conquistar algo.

Se você planeja conquistar algo, imóveis ou um investimento, sugiro refinanciamento de imóveis para compra de cartas de consórcio contempladas. Os juros são de 1% ao mês.

Se é algo pontual, um consignado pode resolver.

De toda forma, algo não muda:

Ter especialistas que só fazem isso para te ajudar.

Alguém que entenda tudo, que já tenha visto muitos erros, (e seja capaz de evitá-los de longe), que saiba desde o funcionamento até mesmo calcular prazos, taxas, e que possa ajudar você em situações que muitas vezes você nem sabia que poderiam ocorrer.

Ter um especialista assim é mais do que ter um bom médico. Ademais, é como ter alguém que jamais lhe deixará ficar doente.

Se isso faz sentido para você, então conte conosco para ajudar.

Porque é para isso que estamos aqui.

Nosso time tem somado 50 anos de experiência lidando com bancos.

Quanto custa?

Nada. Nosso ganho é muito diferente de correspondentes que aumentam taxas de juros para ganhar comissão.

Nosso ganho é dado sobre volume de leitores mensais. Para nós, recomendar a melhor operação é simplesmente natural.

Você não vê isso muito por aí…

Tanto o refinanciamento de imóveis quanto o consignado atendem são fiscalizados e regulamentados pelo Banco Central do Brasil.

Aprenda como fazer empréstimo rápido e seguro

Aprenda como fazer empréstimo rápido e com segurança. O Portal Consignados tem amplo conhecimento no assunto e te ensinará os 5 passos para fazer uma negociação tranquila.

O empréstimo é uma categoria que deve ser levada muito em conta, pois tudo o que envolve dinheiro deverá ser pensado ou repensado. No entanto, antes de começarmos a fazer um investimento ou sanar dívidas, temos que fazer um planejamento financeiro para verificar se poderemos realizar o empréstimo até o final.

Analisando o campo

Multiplique, faça render, ou mude o foco.

Eu gosto de velocidade. Há algo especial em ir rápido nas coisas.

Por isso admiro a autobahn na Alemanha. Nessas estradas, não há limite de velocidade. No entanto, isso não quer dizer que você possa se dar o luxo de ser estúpido.

A cada quilômetro, existem telefones de emergência e recomendações de redução de velocidade nos setores urbanos. Não há multas, apenas uma indicação: Contudo, a mesma diz assim: “Diminua para ficar vivo”. Claro que você também conta com resgate aéreo, caso seja necessário.

Isso francamente me remete ao refinanciamento de um imóvel.

O fato é que no refinanciamento imobiliário, praticamente não há limites de quanto dinheiro você possa pegar. No entanto, isso não significa que você possa se dar ao luxo de ser estúpido.

É a mesma coisa. Te ensinaremos como fazer empréstimo.

Um empréstimo bem feito leva em conta não apenas pegar, mas também pagar.

Contudo, pessoas mais organizadas planejam até mesmo a quitação antecipada.

O destino do dinheiro também conta!

Antes de contratar, planeje

Existe uma clara diferença entre investir e sanar problemas. Enquanto em um você cresce, no outro você luta para ficar no zero a zero.

E se existe um planejamento para entrar, é necessário também planejar para sair.

Ademais, poder planejar a quitação antecipada vai dar muita lucidez para você não fazer besteira.

Pensando nisso, decidimos criar um mini tutorial do refinanciamento para você pilotar sua vida financeira como se estivesse em uma Autobahn, a bordo de um Porsche 911 biturbo. (Ok, pode ser um opalao seis canecos ou qualquer outro foguete de sua preferência).

5 passos de como fazer Empréstimo com segurança

1. Defina se o empréstimo é para sanar um problema ou investir. Existe diferença.

2. Se for sanar, o que importará mais do que os juros é a troca de custo mensal, parcela antiga versus parcela nova. Contudo, isso importa mais que juros porque interessa sobrar dinheiro mês a mês.

3. Se for investimento, tenha como certo o retorno e o custo mensal.

A) Se for investir em imóveis, esteja ciente do risco de perder o imóvel da garantia, em contra partida dos imóveis novos que serão obtidos.

B) Se for negócio, tente evitar novos negócios sem margem de ganhos conhecidas.

4. Pense: Se eu não conseguir pagar, perco ou ganho?

Por exemplo: Peguei um refinanciamento de 100 mil e comprei 500 de cartas de crédito. Construí 3 casas de 166.000,00 (que valem 350 cada uma).

Mesmo que perca a garantia inicial (sua casa de 200 mil), não foi exatamente uma perda.

Por exemplo: Peguei os mesmos 100 mil e comprei uma nova franquia em um shopping que não vingou. Você perderá a garantia (caso não pague), e terá que entregar a loja. No entanto, é muito provável que terá mais dividas.

5. Reflita outras opções. Utilize o “e se”-

“E se” você vendesse a casa?
“E se” você fizesse um valor maior para construir uma segunda casa?
“E se” você fizesse um valor menor?

Abuse do “E se” (nenhum cenário deve ser descartado).

Feito isso. Anote os itens de 1 a 5.

Agora espere 48 horas e releia tudo que anotou com calma. Contudo, você ficará surpreso como o desenvolvimento imediato que a sua vida financeira terá.

Concluindo

As vezes, você irá perceber que tem algo fantástico e que vale a pena o esforço para refinanciar sua casa.

Outras vezes, você perceberá lados negativos demais ou muitos pontos cegos que você é incapaz de responder.

No entanto, de qualquer forma, seja qual for o caminho escolhido, conte conosco.

Refinanciamento Veículos Porto Seguro

O refinanciamento veículos banco Porto Seguro é uma excelente opção para quem está precisando urgentemente de dinheiro. No entanto, para contratar um refinanciamento, o cliente deverá deixar como garantia o seu carro. Contudo, conheça mais sobre o refinanciamento de veículos do banco Porto Seguro aqui no Portal Consignados.

O refinanciamento veículos banco Porto Seguro é uma excelente oportunidade de conseguir dinheiro deixando como garantia o seu veículo. Conheça mais sobre o refinanciamento de veículos do banco Porto Seguro abaixo:

Ademais, o refinanciamento de veículos do banco Porto Seguro é muito simples e fácil de solicitar. Contudo, basta clicar no botão Solicite e preencher o formulário para que nosso time de consultores possa entrar em contato.

Refinanciamento Veículos Banco Porto Seguro + Vantagens

O refinanciamento de veículos consiste em uma linha de crédito para adquirir dinheiro com urgência, contanto que deixe o seu veículo quitado como garantia. Contudo, o veículo deverá estar no nome do contratante.

Ademais, caso o veículo não esteja em seu nome, o mesmo deverá estar no nome de algum parente de 1º grau que more na mesma residência que o contratante. No entanto, se o veículo estiver em nome da empresa de sua propriedade, o mesmo deverá ter caracterização clara de refinanciamento familiar ou para a sua empresa.

  • Abrangência: Todos os públicos – veículos com até 10 anos de uso.
  • Limites de liberação: Até 70% do valor de mercado sujeito a análise de crédito (FIPE)
  • Forma de pagamento: Carnê
  • Vistoria Prévia: Dispensada para veículos segurados pelo Porto Seguro, Azul Seguros, Itaú Seguros e veículos 0 km. Para os demais veículos, a vistoria é obrigatória.
  • Parcela mínima: R$150,00
  • Encargos da operação: Taxa de juros + Tarifa de Cadastro + IOF

OBS: No entanto, não é aceito veículos com o chassi remarcado e táxis.

Veículos de Passeio

  • Abrangência: Pessoa Física ou Jurídica
  • Forma de pagamento: Carnê
  • Encargos da operação: Taxa de juros + Tarifa de Cadastro + IOF
  • Observações: Clientes Segurados Porto Seguro e Azul
  • Limites: Veículos com até 18 anos de uso, até 100% do valor de mercado (FIPE), sujeito a análise de crédito

____________________________________________________________________________________________

  • Abrangência: Pessoa Física ou Jurídica
  • Forma de pagamento: Carnê
  • Encargos da operação: Taxa de juros + Tarifa de Cadastro + IOF
  • Observações: Corretores
  • Limites: Veículos com até 18 anos de uso, até 100% do valor de mercado (FIPE), sujeito a análise de crédito

_____________________________________________________________________________________________

  • Abrangência: Pessoa Física ou Jurídica
  • Forma de pagamento: Carnê
  • Encargos da operação: Taxa de juros + Tarifa de Cadastro + IOF
  • Observações: Demais públicos com relacionamento
  • Limites: Veículos com até 10 anos de uso, até 100% do valor de mercado (FIPE), sujeito a análise de crédito

______________________________________________________________________________________________

  • Abrangência: Pessoa Física ou Jurídica
  • Forma de pagamento: Carnê
  • Encargos da operação: Taxa de juros + Tarifa de Cadastro + IOF
  • Observações: Demais públicos sem relacionamento
  • Limites: Veículos com até 10 anos de uso, até 70% do valor de mercado (FIPE), sujeito a análise de crédito

Utilitários

  • Abrangência: Pessoa Física ou Jurídica.
  • Forma de pagamento: Carnê.
  • Encargos da operação: Taxa de juros + Tarifa de Cadastro + IOF.
  • Observações: Mínimo de 12 meses de registro na empresa e ter conta bancária há pelo menos 1 ano. Contudo, deverá estar exercendo a mesma atividade há no mínimo 2 anos.
  • Limites: Idade mínima de 18 anos e máxima de 65 anos.

Regulamentação

Ademais, a modalidade Refinanciamento de Veículos é um produto fiscalizado e normatizado pelo Banco Central do Brasil.

Financiamento Veículos Porto Seguro

O financiamento veículos banco Porto Seguro é uma excelente opção para quem quer trocar de carro ou adquirir um veículo. No entanto, também é uma opção para aquele que não possui condições para comprar um carro novo à vista. No entanto, conheça mais sobre o financiamento de veículos do banco Porto Seguro aqui no Portal Consignados.

O financiamento veículos banco Porto Seguro é uma excelente oportunidade de conseguir trocar de carro ou adquirir outro. Conheça mais sobre o financiamento de veículos do banco Porto Seguro abaixo:

Ademais, o financiamento de veículos do banco Porto Seguro é muito simples e fácil de solicitar. Contudo, basta clicar no botão Solicite e preencher o formulário para que nosso time de consultores possa entrar em contato.

Financiamento Veículos Banco Porto Seguro + Vantagens

O financiamento de veículos consiste em uma linha de crédito para adquirir veículos de passeio e utilitários novos ou usados. No entanto, o cliente possui a opção de somar ao valor financiado os gastos com acessórios, até 10% do valor de mercado somente para veículo 0 km. Ademais, o acessório poderá ser adquirido em revenda ou concessionária, desde que seja apresentada a nota fiscal de compra do equipamento.

A Porto Seguro não financia:

  • Ônibus
  • Caminhão
  • Veículos com chassi remarcado (“RM”)

Ademais, a vistoria prévia está dispensada para veículos segurados pela Porto Seguro e veículos 0 km. No entanto, para os demais veículos, a vistoria prévia é obrigatória.

Para Utilitários

  • Abrangência: Pessoa física e jurídica e para todos os públicos.
  • Forma de pagamento: Carnê
  • Encargos da operação: Taxa de juros + Tarifa de Cadastro + IOF

0 km

  • Condições: Até 100% do valor do mercado (FIPE)
  • Prazos: Até 60 meses

Até 3 anos

  • Condições: Até 80% do valor do mercado (FIPE)
  • Prazos: Até 60 meses

De 4 até 10 anos

  • Condições: Até 70% do valor do mercado (FIPE)
  • Prazos: Até 60 meses

Será obrigatória a comprovação da CNH na categoria condizente para compra de veículos: Utilitários classificados como pesados (Por exemplo: Boxer Van, Besta, Hyundai HR e veículos similares).

Para utilitários classificados como leves, não há essa obrigatoriedade (Por exemplo: Saveiro, Montana, Strada e veículos similares).

Financiamento de Veículos com pagamento no Cartão de Crédito

  • Abrangência: Apenas para base de pessoas físicas pré-aprovadas para o produto.
  • Forma de pagamento: Fatura do cartão de crédito porto seguro
  • Encargos da operação: Taxa de juros + Tarifa de Cadastro + IOF

0 km

  • Condições: Até 100% do valor do mercado (FIPE)
  • Prazos: de 12 até 60 meses

Até 3 anos

  • Condições: Até 100% do valor do mercado (FIPE)
  • Prazos: de 12 até 60 meses

De 4 até 07 anos

  • Condições: Até 80% do valor do mercado (FIPE)
  • Prazos: de 12 até 60 meses

Regulamentação

Ademais, a modalidade Financiamento de Veículos é um produto fiscalizado e normatizado pelo Banco Central do Brasil.

Financiamento Veículos BV Financeira

O financiamento veículos banco BV é uma excelente opção para quem quer trocar de carro ou adquirir um veículo. No entanto, também é uma opção para aquele que não possui condições para comprar um carro novo à vista. Conheça mais sobre o financiamento de veículos do banco BV aqui no Portal Consignados.

O financiamento veículos banco BV é uma excelente oportunidade de conseguir trocar de carro ou adquirir outro. Conheça mais sobre o financiamento de veículos do banco BV abaixo:

Ademais, o financiamento de veículos do banco BV é muito simples e fácil de solicitar. Basta clicar no botão Solicite e preencher o formulário para que nosso time de consultores possa entrar em contato.

Financiamento Veículos Banco BV + Vantagens

Conheça agora todas as vantagens que o financiamento de veículos do Banco BV:

  • Idade mínima permitida: 18 anos
  • Idade máxima permitida: 73 anos

Para veículos leves:

  • Critérios: Até 19 anos de Uso.
  • Condições: Financia até 100% do veículo de acordo com o Score do cliente e da idade do bem.

Para motos:

  • Modalidade: de 90 a 599cc
  • Critérios: Até 5 anos de uso.
  • Condições: Financia até 100% do veículo de acordo com o Score do cliente e da idade do bem.
  • Modalidade: acima de 600cc
  • Critérios: Até 6 anos de uso.
  • Condições: Financia até 100% do veículo de acordo com o Score do cliente e da idade do bem.

Para comercial leves (Por exemplo: Vans, Kombi, Furgão):

  • Critérios: Até 08 anos (carga).
  • Condições: Até 80% de acordo com Score.

Para pesados (Por exemplo: Caminhão):

  • Critérios: Até 19 anos
  • Condições: Financia até 90% do valor do veículo com prazo de até 80 meses.

Para pesados carroceria (Por exemplo: Reboque, Semi-reboque):

  • Critérios: Até 10 anos
  • Condições: Financia até 80% do valor do veículo com prazo de até 48 meses.

Para pesados (Por exemplo: ônibus, Micro-ônibus):

  • Critérios: Até 10 anos. É necessário possuir pelo menos 2 anos de vínculo na atividade.
  • Condições: Financia até 70% do valor do veículo com prazo de até 48 meses.

Refinanciamento Veículos BV Financeira

O refinanciamento veículos banco BV é uma excelente opção para quem precisa de dinheiro mas não possui margem para empréstimo. No entanto, para contratar essa modalidade, é necessário inserir no contrato o seu carro como garantia até o final do contrato. Conheça mais sobre o refinanciamento de veículos do banco BV aqui no Portal Consignados.

O refinanciamento veículos banco BV é uma excelente oportunidade de conseguir dinheiro deixando o seu carro como garantia. No entanto, poderá continuar usando o carro normalmente. Só não poderá vendê-lo. Conheça mais sobre o refinanciamento de veículos do banco BV abaixo:

Ademais, o refinanciamento de veículos do banco BV é muito simples e fácil de solicitar. Basta clicar no botão Solicite e preencher o formulário para que nosso time de consultores possa entrar em contato.

Refinanciamento Veículos Banco BV + Vantagens

Conheça agora todas as vantagens que o refinanciamento de veículos do Banco BV:

  • Idade mínima permitida: 18 anos
  • Idade máxima permitida: 73 anos

O Refinanciamento de veículos é uma das modalidades de empréstimo mais utilizada pelos brasileiros. A modalidade Refinanciamento possui inúmeras vantagens, tais como:

  • Crédito de até 80% do valor do veículo que você poderá usar da forma que quiser
  • É uma das taxas de juros mais baixas do mercado
  • Possui prazo para pagamento em média até 48 meses

Ademais, conheça agora as categorias que o Refinanciamento do banco BV atende:

Para veículos leves

  • Critérios: Até 10 anos de uso.
  • Condições: Prazo máximo de 60 meses de acordo com a idade do veículo e percentual de entrada.

Para comercial leves (Por exemplo: Vans, Kombi, Furgão)

  • Critérios: Até 05 anos.
  • Condições: Até 80% de acordo com Score.

Para pesados (Por exemplo: Caminhão)

  • Critérios: Até 19 anos.
  • Condições: Refinancia até 70% do valor do veículo em até 48 meses.

Regulamentação

A modalidade Refinanciamento de Veículos é um produto fiscalizado e normatizado pelo Banco Central do Brasil

Fundos de Investimento em títulos e valores mobiliários

Fundos de Investimento é a união de diversos investidores (quotistas) que se juntam para a realização de um investimento financeiro. Os fundos de investimento poderão ser de 2 modos: valores mobiliários e valores imobiliários. Acompanhe esse artigo e participe do nosso fórum.

Fundos de Investimento com Valores Mobiliários

A lei nº 4.728 de 1965, abriu perspectivas para assimilação no ordenamento nacional de elementos essenciais do instituto anglo-americano do trust.

Os fundos de investimento são organizados sob forma de condomínio. Contudo, estes são definidos como: “uma união de recursos destinados à aplicação em títulos e valores mobiliários.”

Ademais, a sociedade administradora do Fundo é dotada dos mais amplos poderes de gestão. No entanto, está inclusa a alienação do seu patrimônio, a compra e venda de títulos e as ações. Ademais,estes são todos os atos necessários à administração da carteira.

O fundo tem patrimônio autônomo, separado do patrimônio da sociedade administradora. Contudo, esta permanece imune aos efeitos de eventual insolvência desta.

No entanto, a situação do Fundo no direito brasileiro do mercado de capitais se explica pela influência que o direito norte-americano exerceu sobre a nossa legislação. Contudo, essa influência enseja a consagração tanto na lei das sociedades anônimas como nas demais normas sobre o mercado de capitais.

A jurisprudência tem reconhecido a importância dos chamados “negócios fiduciários.” Ela entende que os negócios fiduciários defluem das declarações ou manifestações dos indivíduos do princípio contratual básico da autonomia da vontade. No entanto, não precisa de normas legais para comprovar sua validade e legitimidade.

Fundos de Investimento com Valores Imobiliários

Ademais, a lei nº 8.668 de 1993 disciplina a organização e o funcionamento dos fundos de investimento imobiliário. Contudo, essa situação adota princípios do negócio fiduciário e institui a propriedade fiduciária para fins de administração de investimentos.

Essa configuração da propriedade mostra-se indispensável como instrumento de mobilização de riqueza imobiliária.

Ademais, os bens que constituem seu patrimônio são adquiridos pelo fundo em seu nome. A sociedade dos condôminos, que são os quotistas, recai sobre as quotas do fundo.

Com os recursos provenientes da subscrição de quotas de participação, essa instituição adquire imóveis em regime fiduciário. Contudo, ela forma um patrimônio separado. Contudo, também promove sua administração em proveito dos quotistas.

Nessa formulação, o mecanismo substitui a forma tradicional de negociação da propriedade imobiliária condominial. Ele viabiliza a movimentação dos investimentos. Essa medida legitima a administradora a praticar os atos de compra e de venda dos imóveis do Fundo.

As quotas têm como lastro de imóveis da carteira do Fundo e são negociáveis no mercado de balcão e nas bolsas de valores. Essa circunstância tem um grau de liquidez nunca experimentado pelos meios tradicionais de negociação fiduciária. Contudo, se mostra descompassado em face da dinâmica da sociedade contemporânea.

Ademais, os imóveis adquiridos no regime de propriedade fiduciária constituem um patrimônio separado.

A lei manda que se mantenha esse patrimônio separado do ativo da administradora.

Você sabia?

Com mais de 17 anos no Mercado de Empréstimo Consignado, o Portal Consignados conta com uma equipe treinada para lhe auxiliar na melhor decisão. No entanto, o Portal Consignados trabalha em parceria com diversos bancos para lhe oferecer sempre o melhor negócio.

Diferenças entre Crédito Imobiliário e Crédito com Garantia de Imóvel

O que é Crédito Imobiliário? E o que é Crédito com garantia de imóvel? Neste artigo, aprenderemos sobre esse assunto que é fácil, mas muitas pessoas ainda se confundem. Acompanhe este e outros assuntos aqui no Portal Consignados. Participe do nosso fórum. Sua opinião é muito importante!

Crédito Imobiliário

O conceito de Crédito está associado ao direito real, isto é, direito vinculado a um determinado bem. O crédito imobiliário também é conhecido como crédito real. Este subdivide-se em 2 classes:

  • Crédito Imobiliário, quando tem por garantia a propriedade do imóvel
  • Crédito Imóvel, quando a garantia consiste no depósito sob penhor, de mercadorias ou valores mobiliários que respondem pelo cumprimento da dívida.

No crédito imobiliário, você poderá adquirir um imóvel ou materiais para reforma de imóveis com taxas diferenciadas e vantagens. Ademais, seu financiamento poderá ser utilizado para adquirir imóveis residenciais ou comerciais legalizados. Nessa modalidade de crédito, imóveis rurais não poderão ser adquiridos.

Suas vantagens são:

  • prazos mais longos para pagar
  • taxas de juros reduzidas
  • poderá utilizar o FGTS

Crédito com garantia de Imóvel

O crédito com garantia de imóvel consiste em adquirir imóveis residenciais ou comerciais, no qual você deixa o seu imóvel como garantia. Este imóvel poderá ser novo ou usado e deverá estar legalizado com todos os documentos (Habite-se e Escritura), podendo estar quitado ou não. Ademais, o crédito com garantia de imóvel também é conhecido como empréstimo com garantia de imóvel além de adquirir um outro imóvel, também poderá ser utilizado para reformar a casa, realizar uma viagem, entre outros.

Suas vantagens são:

  • prazos mais longos para pagar
  • taxas de juros reduzidas
  • comprometimento da renda de até 30%

Seu imóvel só será usado como garantia para contratar o crédito. Portanto, não é necessário de desfazer dele.

Contudo, o Crédito Imobiliário são regulamentados e fiscalizados  pelo Banco Central do Brasil e atendendem suas regras e especificações.

Você sabia que o Portal Consignados é especialista em empréstimo consignado?

Com mais de 17 anos no Mercado de Empréstimo Consignado e com uma equipe treinada para lhe auxiliar na melhor decisão. No entanto, o Portal Consignados trabalha em parceria com diversos bancos para lhe oferecer sempre o melhor negócio.

Prazo ideal no refinanciamento de imóveis e o motor do seu carro

O prazo ideal no refinanciamento de imóveis e o motor do seu carro é uma analogia bem interessante, mas que faz todo sentido. Acompanhe nossa linha de raciocínio. Qual o prazo ideal no empréstimo com garantia de imóveis?

Eu gosto de carros. Eles parecem ser meras ferramentas de transporte, mas ensinam muita coisa para a gente. No entanto, muita gente não sabe disso. Se você está planejando fazer empréstimo com garantia de imóveis, eu sugiro fortemente ler essa matéria antes.

Prazo ideal no refinanciamento de imóveis existe?

Imagine a cena: Um cliente, emocionado por poder fazer o empréstimo com garantia de imóveis, decide apelar para o prazo máximo de 240 meses.

“Que show” você diz. Com um prazo tão grande, a parcela do refinanciamento do imóvel vai despencar lá da estratosfera para o porão, certo? Errado!!!

Existe uma curva ideal de aproveitamento de empréstimo, tanto na tabela SAC quanto na PRICE. No entanto, essa curva acontece quando a amortização atinge o ponto máximo.

É como o motor de um carro. Atinge a potência máxima por volta de 5 mil RPM, e dali para frente? Dali para frente você estraga o motor e perde potência. (Claro, a exceção é o motor Honda ivtec, mas deixemos o automobilismo de lado e fiquemos com a regra geral).

Não vale a pena forçar o motor do carro acima dos 5 mil RPM, e não vale a pena fazer um refinanciamento de imóveis acima de 120 meses. Como o carro, acima de 120 meses, cada parcela a mais perde poder de amortização, perde potência.

No entanto, se um refinanciamento de imóveis tem parcela de 1.200,00 até 120 meses, com 240 meses ela não vai cair para 600,00. Vai cair para 1.112,00. “O que? Apenas 88 reais a menos por parcela?”. Exato!!! Fica gritante a diferença não fica?

Na próxima vez que for conversar com um operador de crédito que faca empréstimo com garantia de imóveis e que tente empurrar um prazo tão grande, você poderá começar a conversa assim:

“Sabe, eu gosto de carros…”

(Caso tenha mais dúvidas, você pode contar com nossos mecânicos, ops, operadores de crédito quero dizer).

Refinanciamento de imóveis

o Refinanciamento de imóveis é uma ótima opção para levantar uma quantia significativa, mas como tornar-se bem sucedido e fazer bom uso do recurso? Continue lendo que vamos lhe ajudar!

É uma dúvida bastante comum atualmente no mercado de crédito. Mas no portal consignados você pode contar com matérias que lhe ajudam na tomada de decisões.

Este é o sonho certo?

Sair do nada e formar um patrimônio imobiliário sólido, com renda de aluguéis, aumentar essa renda cada vez mais rapidamente, e alcançar liberdade financeira.

Refinanciamento de imóveis a Ferramenta que Faltava

Poucas pessoas, talvez menos de 1% delas, sabem como criar riqueza. A grande maioria apenas sonha em ter muito sem o conhecimento e o esforço necessário.

Muitos lutaram para ter o primeiro imóvel, e talvez por isso se prendem a ele, como uma cola. O que essas pessoas ignoram é que seu imóvel pode se tornar em mais três imóveis.

Sim, é verdade. Seu imóvel pode chocar como ovos de uma galinha e se multiplicar.

Acho difícil alguém rejeitar uma troca de 1 por 3. Ainda mais nas condições possíveis. Vejamos:
Refinanciar o imóvel vai render 50% do seu valor em dinheiro. Seja qualquer valor, você pega a metade. Se essa metade for usada diretamente para construir, talvez você faca uma segunda casa, mas é pouco provável, uma vez que terá que comprar também o terreno.

Se você usar essa metade para contemplar um consórcio, vai conseguir uma carta de consórcio imobiliário exatamente no mesmo valor da sua atual casa, (não se intimide com a matemática, ela é simples, se sua casa vale 200 e você pega 100, com 100 você contempla uma carta de 200).

Até aqui você não conseguiu três casas, certo? Certo.

Então como é possivel, (de verdade), usar um imóvel e obter três imóveis, (ou, apenas um, mas aquela casa! Sabe filmes de Hollywood? Então, desse jeito)?

Essa mágica, de um para três é o que chamo de “Empréstimo com garantia de riqueza imobiliária”.

Entenda a fórmula mágica

Nós elaboramos esse material com base em casos reais de sucesso, e preparamos de modo didático. Na verdade nós EUA isso já é feito através de Refinanciamento de imóveis, a quase 100 anos.

“Donald j. Trump, J.D. Rockfeller, e tantos outros magnatas começaram exatamente dessa forma: Hipotecas que se tornam investimentos que se tornam hipotecas e que se tornam investimentos.”

E porque no Brasil isso não “pegou”? Bom, não há forma delicada de dizer isso, mas você se engana achando que não é feito no Brasil…

Na verdade, é feito, mas ninguém que invista em leilões ou construções quer concorrentes. Concorrentes aumentam os preços, de modo que quem faz, fica quietinho.

“Apenas em uma rua da zona sul de São Paulo, a Ângelo Perin, quem tem menos imóveis alugados tem dois, (além da sua casa), e quem tem mais tem incríveis 28 imóveis, isso tudo em menos de 12 anos”.

São todos moradores antigos nessa rua, e conversa vai, conversa vem, foram copiando uns aos outros. Instintivamente, repetiram uma fórmula simples, efetiva e genial.

Se você quiser atendimento para aprender como fazer Refinanciamento de imóveis é multiplica-lo, nossa equipe poderá ajudar.

Empréstimo com garantia Imobiliária

Empréstimo com garantia Imobiliária é como multiplicar o valor do crédito e reduzir os juros. Contudo, este é o assunto abordado neste artigo. Se você procura por crédito Imobiliário e pretende fazer o melhor negócio da sua vida, recomendo que continue lendo este artigo.

Poucas pessoas sabem, mas o Empréstimo com garantia Imobiliária pode alavancar sua vida financeira de modo surpreendente. Contudo, Acompanhe!

Entenda o Empréstimo com Garantia Imobiliária

Com juros médio de 1.30% ao mês e até 240 meses para pagar, nenhum outro empréstimo é tão barato quanto o empréstimo com garantia de imóveis.

No entanto, muita gente não sabe que ele pode ser multiplicado por 4. E seus juros reduzidos pela metade, cerca de 0,65% ao mês.

É o que nos ensina André Ruston, um dos principais especialistas do refinanciamento imobiliário.

” Pelo modo que o empréstimo com garantia de imóveis foi desenvolvido, o cliente recebe a quantia líquida para usar como bem desejar. Qualquer finalidade.”

Assim, ele pode ser usado para a compra de “cartas de crédito contempladas” ou para contemplar consórcios existentes.

A mágica, segundo André, é que uma carta contemplada não tem juros, apenas um custo mensal administrativo de cerca de 0,10% ao mês.

Dessa forma, pelo modo que o mercado vende consórcio contemplado, um cliente que levante 100 mil reais com empréstimo com garantia de imóveis pode comprar uma carta de até 500 mil reais pronta para usar.

Isso significa uma capacidade de compra de 500 mil, a partir de 100. Bom? Segundo os cálculos, é a operação mais barata do mercado.

“Imagine um grupo societário com 100 mil reais e obtendo uma carta de 500 usando ela nos imóveis do grupo o resultado líquido são 500 mil de capital.

O cliente pode quitar os 100 iniciais do processo Empréstimo com garantia Imobiliária, ficar com 400 no caixa a um custo real de 0,65% ao mês, já descontado a primeira operação.”

Mas segundo André, pode se ir bem mais longe.

“Atualmente, com essa carta na mão, o cliente pode arrematar imóveis em leilão. Apartamentos existem a partir de 60 mil reais.”

Vamos colocar em Prática?

Com um imóvel de 200 mil e um crédito de 100, o cliente pode arrematar quase 10 imóveis avaliados em 220 mil cada um. E formar um patrimônio enorme em menos de três meses.

As pessoas não enxergam essas oportunidades por desconhecimento. É nossa missão educar o mercado para formas alternativas legítimas de prosperidade.

No entanto, André recomenda solicitar ajuda a profissionais.

“Ninguém quer ser enganado. Por isso, vale muito a pena ter um profissional competente por perto, pelo menos na primeira operação. Não é nada difícil, mas por tratar-se de assunto inédito, essa recomendação é muito assertiva.”

Existem pessoas que, valendo-se das vantagens do refinanciamento de um móveis e das cartas de crédito contempladas, aplicam golpes no mercado. No entanto, isso não inviabiliza a operação. Contudo, ela existe e é real. Por isso, ter alguém que já rodou centenas de operações por perto é indispensável.

“Um consultor experiente irá validar a operação, ajudar a evitar erros. Contudo, ele irá agilizar o processo inteiro, reduzir custos, e fazer com que tudo seja fácil. E muitos aceitam ganhar seus honorários no fim da operação, isto é, quando o cliente já tem o dinheiro em mãos.”- Nos explica André Ruston.

Um exemplo de refinanciamento de um imóveis alavancado é do do cliente que usa seu imóvel para levantar 80 mil reais. Ele compra uma carta de crédito contemplada de 300 mil reais com parcelas de R$ 1.800,00.

Com essa carta, ele arremata em leilões 5 salas comerciais por R$60.000,00 cada uma e as aluga por R$ 800,00. Ele passa a receber $4.000,00 por mês. Como tem custo de R$ 1.800,00, ganha líquido R$ 2.200,00. Ele forma um patrimônio de 700 mil reais em imóveis. Contudo, ele pode reinvestir.

Seguro de Vida Bentop – Previsul Seguradora

O Seguro de Vida Bentop faz parte do grupo Previsul em parceria com a Asbapi (Associação Brasileira de Aposentados, Pensionistas e Idosos). Previsul é uma seguradora conceituada no mercado que tem sua sede em Porto Alegre (RS). Ademais, a Previsul é administrada pelo Grupo Caixa Seguradora. Contudo, o Seguro de Vida Bentop é um dos melhores produtos do seu portfólio.

O Seguro de Vida Bentop foi elaborado pensando em você que é prevenido(a) e que se preocupa em proteger o que mais ama neste mundo: sua vida

Ademais, o Seguro de Vida Bentop é muito simples e fácil de solicitar. No entanto, basta clicar no botão Solicite, escolher a opção Bentop e preencher o formulário para que nosso time de consultores possa entrar em contato.

Seguro Bentop + Vantagens

  • Desconto na folha de pagamento de 2% a 5% do valor do benefício
  • Idade mínima: 18 anos
  • Idade máxima: 79 anos e 10 meses
  • Contudo, não há restrições referente a nenhuma espécie
  • Vigência de 60 meses. No entanto, esse plano é renovado automaticamente uma única vez
  • Sorteio (Proponente concorre a sorteios mensais pela Loteria Federal)

Seguro Bentop Cobertura

  • Proteção Pessoal (como por exemplo: Acidente pessoal, assalto, agressão, roubo, entre outros)
  • Assistência Funeral (como por exemplo: Morte natural ou acidental)
  • Assistência Farmacêutica (Desconto em medicamentos nas drogarias credenciadas. No entanto, esse desconto poderá chegar até 60%)
  • Assistência Residencial (Serviços na Residência habitual do Proponente, de acordo com o padrão de serviço contratado)

Planos disponíveis x Alguns dos Benefícios Inclusos

Ademais, conheça agora os planos disponíveis do Seguro Bentop com informações de alguns benefícios, de acordo com o plano contratado.

Desconto em folha de 2%:

  • Morte acidental: R$ 20.000,00
  • Invalidez Permanente ou Parcial por Acidente: R$ 20.000,00
  • Proteção Pessoal: Não
  • Assistência Funeral: Individual no valor de R$ 2.500,00
  • Desconto em Farmácia: Sim
  • Sorteio: Concorre a R$ 20.000,00 mensais

Desconto em folha de 3%:

  • Morte acidental: R$ 30.000,00
  • Invalidez Permanente ou Parcial por Acidente: R$ 30.000,00
  • Proteção Pessoal: Sim
  • Assistência Funeral: Casal no valor de R$ 3.000,00
  • Desconto em Farmácia: Sim
  • Sorteio: Concorre a R$ 30.000,00 mensais

Desconto em folha de 4%:

  • Morte acidental: R$ 40.000,00
  • Invalidez Permanente ou Parcial por Acidente: R$ 40.000,00
  • Proteção Pessoal: Sim
  • Assistência Funeral: Casal no valor de R$ 3.000,00
  • Desconto em Farmácia: Sim
  • Sorteio: Concorre a R$ 40.000,00 mensais

Desconto em folha de 5%:

  • Morte acidental: R$ 50.000,00
  • Invalidez Permanente ou Parcial por Acidente: R$ 50.000,00
  • Proteção Pessoal: Sim
  • Assistência Funeral: Familiar no valor de R$ 3.000,00
  • Desconto em Farmácia: Sim
  • Sorteio: Concorre a R$ 40.000,00 mensais

Autorizados a contratar o Seguro da Porto Seguro

  • Aposentados e Pensionistas do INSS

Documentação

Contudo, para aquisição do Seguro Bentop, o Aposentado ou Pensionista deverá apresentar cópia dos documentos pessoais e assinar os contratos.

Empréstimo Consignado INSS Banco PAN

Empréstimo Consignado INSS Banco Pan é para você aposentado ou Pensionista do INSS que precisa pagar suas contas ou quitar todas as suas dívidas. Contudo, está disponível para aposentados e pensionistas do INSS com taxas de juros baixas e desconto em folha.

Empréstimo Consignado INSS Banco PAN + Vantagens

O empréstimo consignado INSS PAN tem tradição e segurança como seu ponto forte! Aliás, com a Caixa Econômica ao seu lado, o PAN tem facilidades para você. Conheça as principais características, como por exemplo:

  • Sem Consulta no SPC ou SERASA
  • Parcelas Fixas
  • Prazos de até 72 meses para pagar
  • Desconto em folha
  • Taxa de Juros Menores
  • Sem Cobrança de TAC ou Seguros

Ademais, o Consignado INSS Banco Pan é muito simples e fácil de solicitar. Basta clicar no botão Solicite, escolher a opção Pan e preencher o formulário para que nosso time de consultores possa entrar em contato.

Se você é um beneficiário do INSS e necessita de crédito consignado, saiba que o Banco PAN pode lhe ajudar! No entanto é fácil, rápido e prático. Aliás, o empréstimo do PAN ainda conta com o aporte financeiro da Caixa Econômica Federal e seus facilitadores. Consulte nossas condições para o Refinanciamento PAN. Você vai se surpreender!

Não deixe de simular conosco e confira as condições comerciais que só o Banco Panamericano oferece para você.

Público Alvo

Esta modalidade de crédito está destinada ao seguinte público:

  • Aposentados do INSS
  • Pensionistas do INSS

 Base Legal

O Empréstimo para aposentado possui uma legislação específica para preservar seu direito como aposentado ou pensionista do INSS, que é a Lei 10.820. Nesta lei, está previsto o pagamento com desconto em folha e as condições gerais do empréstimo consignado INSS. Tornando assim a modalidade de crédito Consignado INSS segura e transparente entre as partes.

BANCO PAN

O Banco PAN ficou muito conhecido na década de 90, aonde sua administração fazia parte do grupo Silvio Santos. Atualmente, o Banco PAN foi comprado por R$ 450.000,00 milhões pelo grupo BTG Pactual e a Caixa Econômica Federal detém parte do Banco. A Caixa faz o aporte financeiro, ou seja, o dinheiro emprestado pelo PAN é da Caixa, sendo a administração da BTG.

 Documentação

Os documentos necessários para a contratação de seu empréstimo consignado exigidos pelo banco BMG são:

  • RG
  • CPF
  • Comprovante de Residência

A apresentação de todos os documentos de forma legível e dentro dos prazos de validade ajudam a agilizar seu empréstimo.

Empréstimo Consignado INSS Daycoval

O Empréstimo Consignado INSS Daycoval tem uma política de crédito que facilita a contratação do seu empréstimo consignado. Aliás, confirma todas as condições que só o Banco Daycoval tem para você. Essa é para você precisa de crédito consignado e é aposentado ou pensionista do INSS e depende de agilidade, conforto e tranquilidade na contratação.

Empréstimo Consignado INSS Daycoval – Vantagens Exclusivas

O empréstimo consignado INSS Daycoval é muito simples e prático. Contudo, através de sua rede de correspondentes, você se sentirá em casa em solicitar conosco. Conheça as principais características, como por exemplo:

  • Sem Consulta no SPC ou SERASA
  • Parcelas Fixas
  • Prazos de até 72 meses para pagar
  • Desconto em folha
  • Taxa de Juros Menores
  • Sem Cobrança de TAC ou Seguros

Ademais, o Consignado INSS Daycoval é muito simples e fácil de solicitar. Basta clicar no botão Solicite, escolher a opção Daycoval e preencher o formulário para que nosso time de consultores possa entrar em contato.

O Empréstimo Consignado INSS Daycoval tem uma das mais rápidas aprovações do mercado, além de excelentes taxas de juros para você que é aposentado ou pensionista do INSS.

O Banco Daycoval tem uma das melhores taxas do mercado. No entanto, se você já é cliente do banco, confira também nossa condições para Refinanciamento.

Público Atendido

Esta modalidade de crédito está destinada ao seguinte público, como por exemplo:

  • Aposentados do INSS
  • Pensionistas do INSS

 Regulamentação Legal

O Empréstimo para aposentado possui uma legislação específica para preservar seu direito como aposentado ou pensionista do INSS, que é a Lei 10.820. Contudo, nesta lei, está previsto o pagamento com desconto em folha e as condições gerais do empréstimo consignado INSS. Contudo, isso torna essa modalidade de crédito Consignado INSS segura e transparente entre as partes.

Banco Daycoval

O Banco Daycoval é uma instituição financeira que está no mercado há muitos anos. Com uma estrutura familiar, seu ponto forte é agilidade e cordialidade no trato com seus clientes. Contudo, detém uma das melhores taxas de juros e uma das aprovações mais rápidas do mercado. Enfim, é uma excelente opção para você que precisa de crédito e gosta de ser bem atendido e de forma ágil.

Atendendo em todo território nacional, o Banco Daycoval sabe como poucos tratar seus clientes! Praticamente um serviço VIP no atendimento ao cliente.

Documentação

Os documentos necessários para a contratação de seu empréstimo consignado exigidos pelo banco Daycoval são:

  • RG
  • CPF
  • Comprovante de Residência (Vencimento máximo de 60 dias)

A apresentação de todos os documentos de forma legível e dentro dos prazos de validade ajudam a agilizar seu empréstimo.

Empréstimo BV Financeira INSS

Empréstimo BV Financeira INSS é destinado à  Aposentados e Pensionistas do INSS e está disponível aqui para você. Portanto, solicite sem compromisso uma cotação. Aliás, nosso time de consultores estão preparados em lhe atender.

Empréstimo BV Financeira INSS Vantagens

Um dos grandes diferenciais da BV Financeira é sua agilidade e flexibilidade em operações como Refinanciamento. Aliás, é muito importante saber como funciona seu Refinanciamento, mesmo se estiver contratando um empréstimo novo, pois no futuro poderá se servir como uma opção de crédito. Contudo, confira as principais vantagens desta modalidade de crédito, como por exemplo:

  • Sem Consulta no SPC ou SERASA
  • Parcelas Fixas
  • Prazos de até 72 meses para pagar
  • Desconto em folha
  • Taxa de Juros Menores
  • Sem Cobrança de TAC ou Seguros

Ademais, o Empréstimo BV Financeira é muito simples e fácil de solicitar. Basta clicar no botão Solicite, escolher a opção BV Financeira e preencher o formulário para que nosso time de consultores possa entrar em contato.

Público Alvo

Esta modalidade de crédito está destinada ao seguinte público, como por exemplo:

  • Aposentados do INSS
  • Pensionistas do INSS

Documentação

Os documentos necessários para poder contratar seu empréstimo consignado INSS são:

  • RG
  • Comprovante de Residência atual (com data de vencimento de no máximo 60 dias)
  • CPF

*Documentos aceitos que substituem o RG:

  • CNH
  • Carteira de Classe (OAB, CRC, CRM, CRECI, CRA, entre outros) **

** a Carteira de Classe deverá estar dentro do prazo de validade, e com foto.

Os comprovantes de residência aceitos pela BV Financeira, por exemplo são:

  • Conta de Luz
  • Conta de Agua
  • Conta de Gaz
  • Fatura de condomínio
  • IPTU
  • Faturas de cartões de Crédito
  • Celular
  • Lojas de Departamento
  • Correspondência Bancária

Caso tenha dúvidas sobre a documentação exigida, pode contar com nosso suporte online.

Regulamentação

O Empréstimo para aposentado possui uma legislação específica para preservar seu direito como aposentado ou pensionista do INSS, que é a Lei 10.820. Nesta lei, está previsto o pagamento com desconto em folha, de acordo com as condições gerais do empréstimo consignado INSS. Contudo, isso a torna a modalidade de crédito Consignado INSS segura e transparente entre as partes.

Analise de Margem

Para contratar um empréstimo consignado INSS, é necessário ter margem consignável. Por este motivo, realizamos pesquisas junto ao INSS para conciliar sua necessidade à sua margem consignável. Não se preocupe com nossas pesquisas, pois elas servem para lhe oferecer possibilidades como:

Contudo, analisamos também sua necessidade à política de crédito do Banco, para evitar perda de tempo ou reprovações.

Fique tranquilo, pois somos especialistas em empréstimo consignado.

Safra Consignado INSS

O produto Safra Consignado INSS é voltado para você, que é aposentado ou pensionista do INSS. Aliás, o Banco Safra tem uma das melhores taxas de juros do mercado e uma das operações mais seguras para você que é aposentado ou pensionista do INSS.

Condicionado a margem dos 30%, o empréstimo consignado do INSS é muito simples e fácil de contratar pelo Banco Safra. Nem precisa ser correntista.

Safra Consignado INSS – Vantagens Exclusivas

O empréstimo consignado INSS Safra se destaca no mercado por ter uma taxa de juros baixa e prazos longos para pagar. Contudo, além de não ter despesas adicionais como TAC ou até mesmo seguro. Ademais, abaixo estaremos destacando as principais vantagens do empréstimo para aposentado e pensionista do INSS, como por exemplo:

  • Sem Consulta no SPC ou SERASA
  • Parcelas Fixas
  • Prazos de até 72 meses para pagar
  • Desconto em folha
  • Taxa de Juros Menores
  • Sem Cobrança de TAC ou Seguros

Se você é aposentado ou pensionista do INSS e está pensando em uma modalidade de crédito para pagar suas contas, o empréstimo consignado INSS é a melhor opção que existe hoje no mercado para esta finalidade.

Ademais, o Safra Consignado INSS é muito simples e fácil de solicitar. Basta clicar no botão Solicite, escolher a opção Safra e preencher o formulário para que nosso time de consultores possa entrar em contato.

Público Alvo

O Safra Consignado INSS está destinado ao seguinte público:

  • Aposentados do INSS
  • Pensionistas do INSS

Regulamentação

O Empréstimo para aposentado possui uma legislação específica para preservar seu direito como aposentado ou pensionista do INSS, que é a Lei 10.820. Contudo, nesta lei, está previsto o pagamento com desconto em folha e as condições gerais do empréstimo consignado INSS. Contudo, essa informação faz do Safra, a modalidade de crédito consignado INSS segura e transparente entre as partes.

TEMPO DE LIBERAÇÃO

As operações de empréstimo consignado INSS são bi participadas (isso ocorre em todos os bancos), ou seja, existe uma analise junto ao INSS e outra junto ao Banco. Contudo, o INSS leva em torno de 2 a 5 dias para analisar as seguintes situações:

  • Dados Cadastrais
  • Benefício Consignante
  • Margem Consignável
  • Outras formas de Crédito*

*Nossa pesquisa, contempla as opções de Refinanciamento, Portabilidade, Cartões entre outras formas de lhe ajudar a ter seu crédito consignado aprovado.

Nossos consultores no ato de sua solicitação, conferem estas situações para evitar contratempo na liberação. Portanto, fique tranquilo.

Documentação Necessária

Os documentos necessários para a contratação de seu empréstimo consignado exigidos pelo banco Safra são:

  • RG
  • CPF
  • Comprovante de Residência

*A apresentação de todos os documentos de forma legível e dentro dos prazos de validade ajudam a agilizar seu empréstimo.

Empréstimo Consignado INSS Bonsucesso

O Empréstimo Consignado INSS Bonsucesso é realizado com a segurança e credibilidade do Grupo Santander, pois é um dos maiores Bancos do Mundo.

Dia a dia, o Bonsucesso vem se firmando neste mercado levando soluções Financeiras a aposentados e pensionistas do INSS. Contudo, conheça alguns de seus diferenciais:

  • Sem Consulta no SPC ou SERASA
  • Parcelas Fixas
  • Prazos de até 72 meses para pagar
  • Desconto em folha
  • Taxa de Juros Menores
  • Sem Cobrança de TAC ou Seguros

Ademais, o Consignado INSS Bonsucesso é muito simples e fácil de solicitar. Basta clicar no botão Solicite, escolher a opção Bonsucesso e preencher o formulário para que nosso time de consultores possa entrar em contato.

Diferenciais do Banco Bonsucesso

Um dos maiores diferenciais do banco Bonsucesso é justamente sua agilidade e uma política de crédito amistosa ao cliente. Contudo, por não ser um Banco Comercial, você não precisa se preocupar em ter problema em algum banco ligado ao Bonsucesso que possa lhe gerar problemas.

PÚBLICO ATENDIDO

Esta modalidade de crédito está destinada ao seguinte público, como por exemplo:

  • Aposentados do INSS
  • Pensionistas do INSS

 DOCUMENTAÇAO NECESSÁRIA

Os documentos necessários para a contratação de seu empréstimo consignado exigidos pelo banco Bonsucesso são:

  • RG
  • CPF
  • Comprovante de Residência

A apresentação de todos os documentos de forma legível e dentro dos prazos de validade ajudam a agilizar seu empréstimo.

O Empréstimo para aposentado possui uma legislação específica para preservar seu direito como aposentado ou pensionista do INSS, que é a Lei 10.820. No entanto, nesta lei, está previsto o pagamento com desconto em folha e as condições gerais do empréstimo consignado INSS.

Tornou-se assim a modalidade de crédito Consignado INSS segura e transparente entre as partes. O Portal Consignado é um correspondente Bancário.

BANCO BONSUCESSO

O Banco Bonsucesso é uma instituição financeira que faz parte do Grupo Santander, um dos maiores Bancos do Mundo! Com um novo projeto o “Olé Consignados”, o Santander busca solidez neste mercado de consignados. Contudo, um dos pontos altos do Bonsucesso é justamente o suporte oferecido aos seus clientes e parceiros. Se você não deseja dor de cabeça, enrolação e pouca burocracia, o Bonsucesso foi feito para você! Permita-se conhecer novos horizontes, novas opções, nós do portal consignados garantimos que não vai se arrepender.

*Confira nossas opções de Portabilidade do Banco Bonsucesso para você que já é cliente clicando aqui.

CCB Brasil Financeira Consignado INSS

Agilidade e competência você encontra na CCB Brasil Financeira. Modalidade de Crédito disponível para aposentados e pensionistas do INSS. Contudo, é um dos únicos bancos a liberar seu empréstimo consignado até 80 anos.

CCB Brasil Financeira Vantagens Exclusivas

A CCB Brasil Financeira se destaca no mercado de consignados por ter um dos maiores limites de idade do mercado. Liberando crédito a clientes com até 80 anos. Aliás, outro fator importante é o valor mínimo liberado que é de R$ 200,00. Enquanto muitos bancos liberam a partir de R$ 600,00, a CCB entende que crédito é uma situação de necessidade e tem um dos menores mínimos liberados. Conheça alguns dos diferencias da CCB Financeira, por exemplo:

  • Sem Consulta no SPC ou SERASA
  • Parcelas Fixas
  • Prazos de até 72 meses para pagar
  • Desconto em folha
  • Taxa de Juros Menores
  • Sem Cobrança de TAC ou Seguros

Ademais, a CCB Brasil Financeira é muito simples e fácil de solicitar. Basta clicar no botão Solicite, escolher a opção CCB Brasil Financeira e preencher o formulário para que nosso time de consultores possa entrar em contato.

Ademais, se você é aposentado ou pensionista do INSS e está pensando em uma modalidade de crédito para pagar suas contas, o empréstimo consignado INSS é a melhor opção que existe hoje no mercado para esta finalidade.

Público Alvo

Esta modalidade de crédito está destinada ao seguinte público:

  • Aposentados do INSS
  • Pensionistas do INSS

Casos não atendidos

As categorias de benefícios do INSS abaixo listados não poderão realizar empréstimo consignado:

  • Amparo Social
  • Auxílio Doença
  • Auxílio maternidade
  • Auxílio Acidente

Aliás, todos os Auxílios e Amparos não são permitidos haver desconto em folha.

Documentação

Os documentos necessários para a contratação de seu empréstimo consignado exigidos pela CCB Financeira são:

  • RG
  • CPF
  • Comprovante de Residência (Vencimento máximo de 60 dias)

A apresentação de todos os documentos de forma legível e dentro dos prazos de validade ajudam a agilizar seu empréstimo.

O Empréstimo para aposentado possui uma legislação específica para preservar seu direito como aposentado ou pensionista do INSS, que é a Lei 10.820. Nesta lei, está previsto o pagamento com desconto em folha e as condições gerais do empréstimo consignado INSS. Contudo, isso o torna uma modalidade de crédito Consignado INSS segura e transparente entre as partes.

Política de Idade

A CCB Financeira tem políticas de crédito especificas e, uma delas é o limite de crédito conforme a idade do cliente. Confira as condições, por exemplo:

Parâmetro de Idade Limite de Crédito Prazo de Contratação
De 21 a 72 anos Até o limite da Margem 72 Parcelas
De 73 a 74 anos Até R$ 60.000,00 72 Parcelas
De 75 a 76 anos Até R$ 30.000,00 72 Parcelas
De 77 a 78 anos Até R$ 10.000,00 48 Parcelas
De 79 a 80 anos Até R$ 5.000,00 24 Parcelas

Pagamentos

Não faz Ordem de pagamento, somente crédito em conta. Para beneficiários que recebem através de Conta corrente, deverá ser informando a conta de crédito INSS.

Política de Crédito

Conheça algumas das particularidades da política de crédito da CCB Financeira:

  • Idade mínima de 21 anos
  • Idade máxima de 80 anos e 11 meses
  • Prazo mínimo: 24 parcelas
  • Prazo máximo: 72 parcelas
  • Valor mínimo para TED: R$ 20,00
  • Refinanciamento com 1 parcela paga
  • Não unifica parcelas

Exceções

Na CCB Brasil Financeira é possível refinanciar agregando margem, desde que tenha 6 contratos vigentes junto ao INSS. No entanto, outro detalhe bacana da CCB é que pode se unificar parcelas desde que seja do mesmo benefício. Contudo, os Refinanciamentos são permitidos com apenas 1 parcela paga, desde que se cubra o saldo devedor.

Tempo de Liberação

O processo de liberação de qualquer empréstimo consignado INSS passa por duas etapas, a primeira é pelo INSS e a segunda é pelo Banco. A validação e aprovação do INSS pode levar de 2 a 5 dias úteis e a CCB leva em torno de 2 dias para aprovar seu crédito.

Ademais, é muito importante anotar todos os dados se seu empréstimo, como valor liberado, prazo e valor de parcela, a CCB vai confirmar estes dados com você.

Recomendações

Nós, do Portal Consignados, entendemos que o mais importante é atender sua necessidade e a CCB Financeira tem taxas de juros competitivas. Contudo, o mais importante é sempre fazer comparações e analisar a política de crédito que mais se adapta a você.

Opções a Considerar

Neste exato momento você está vendo a possibilidade de contratar seu empréstimo consignado junto a CCB Brasil Financeira, mas ao enviar seu formulário estaremos analisando também:

No final é sempre você que escolhe mas nós gostamos de colocar todas as possibilidades a sua disposição.

Regularização de imóveis para empréstimo

Saiba como funciona a Regularização de Imóveis para Empréstimo Imobiliário

Como regularizar imóveis para fazer empréstimo com garantia imobiliária é um dos aspectos mais negligenciados do empréstimo com garantia de imóveis é a regularização do imóvel em si.

As pessoas de modo geral acreditam que, basta ter um imóvel e tudo fica resolvido. Bem, se você pensa assim, saiba que os fatos apontam em outra direção:

“Um imóvel irregular é um prejuízo duplo; você continua pagando impostos de imóvel regularizado, mas não tem os benefícios, tais como vender via financiamento ou obter empréstimo com garantia imobiliária.”

Conforme último censo, mais de 11 Milhões de brasileiros vivem em imóveis irregulares, conforme aponta matéria públicada no R7.

Regularização de imóveis para empréstimo x Obstaculos

Rejeitar a forma mais abundante de vendas, e rejeitar a forma mais barata de obtenção de empréstimo, pode gerar uma situação intransponível em algum momento da sua vida.

As pessoas não pensam que uma grande oportunidade pode surgir com uma janela de tempo muito curta, e se você tem o imóvel para levantar dinheiro e a documentação está irregular? As chances são de você perder talvez, a grande oportunidade da sua vida”. Isso pois para usar um imóvel como garantia de um empréstimo, não pode haver erros.

” A área construída mostrada no IPTU precisa bater com a área da matrícula do imóvel, caso contrário não há possibilidade de registro da garantia”

A construção também precisa estar regular. Isso tudo atrasa uma operação de empréstimo com garantia de imóveis caso não esteja devidamente arrumado.

Boas Noticias

Mas a boa notícia é que nenhuma dessas regularizações são bixos de sete cabeças, por exemplo, se a área do IPTU estiver errada, basta uma medição de engenheiro e um protocolo na prefeitura.

“Não é nem difícil é nem caro fazer as correções. E vale a pena. Imagine a venda do bem: Com imóvel regular você tem 100% dos clientes a sua disposição, irregular, apenas 5%.” – André Ruston.

Já no empréstimo com garantia de imóveis você tem 25 bancos a disposição para um imóvel regular, é apenas UM que aceita imóvel irregular, e ainda vai cobrar juros mais caros, e prazo máximo de 60 meses, contra a média de 180 de outros bancos.

Como você pode ter percebido, os números não mentem: imóveis irregulares são prejuízos em potencial.

O portal Consignados tem um time de consultores a sua espera para poder lhe atender e tirar todas as suas dúvidas, caso deseje uma avaliação para um financiamento imobiliário basta Clique aqui.

Empréstimo com garantia de imóveis para capital de giro

Empréstimo com garantia de imóveis tem ajudado a muitos consumidores deste produto a fazer um capital de giro barato e inteligente, ao longo deste post vai peceber como, por isso, recomendo que leia atentamente até o final!

Diga rápido: Quanto custa um capital de giro tradicional? E o cheque especial? Financiar um carro? Cartão de crédito? Desconto de duplicatas?

Parabéns! Você está no Brasil, terra dos juros mais altos do mundo, e dos impostos. Assim, parabéns pelos seus dois sócios majoritários: O governo e os bancos.

Infelizmente você é quem puxa a roda que moi o trigo, quem capina o terreno, quem quebra as pedras, no entanto, não é você quem fica com os lucros.

Segundo estudos oficiais, somando governos (entenda: Impostos), e bancos (leia: Juros), você pagará líquido mais de 70% do seu potencial de ganhos reais.

É o triste fim de Policarpo Quaresma, não é?Quase.

Ainda há esperança no fim do túnel, (e não é um trem vindo em sentido contrário).

Com a queda da SELIC uma operação “sob o radar” vagueia procurando heróis.

Pense comigo: Uma empresa para obter um milhão de reais em dinheiro de capital de giro em um banco qualquer… Terá que faturar ao ano entre 10 (sim, muito) e 15 (absurdo) milhões. E dar não uma e nem duas garantias, mas tudo.

Já uma pessoa física (que seja empresário), precisará de uma renda anual de 300 mil reais (infinitamente menos), é apenas uma garantia de imóvel.

É o que explica André Ruston, consultor certificado em empréstimos com garantia de imóveis:

“Pouca gente sabe, mas o CNPJ é algo que pode ser vendido, extinto, apagado. Portanto portanto o risco banco com operação via CNPJ é altíssimo. Já o CPF não pode ser transferido, é pessoal, e não
pode ser apagado, portanto eterno enquanto viva seu dono”.

Em uma operação de empréstimo com garantia de imóveis na pessoa física, o banco tem uma redução de riscos gigantesca. Assim, não só exige-se menos renda como aumenta-se o limite do aporte.

Compare quase 5% de desconto de duplicatas com 1,30% do empréstimo com garantia de imóveis.

Ou 10% ao mês do cheque especial e cartão de crédito.

A redução de juros é tão grande, que daria por exemplo, para quadruplicar os limites todos de uma pessoa, com o mesmo custo mensal.

No entanto você precisa saber escolher o banco!

Apesar da operação ser semelhante em todos os bancos, ela é apenas semelhante.

“Tirando o fato de ter um imóvel, e haver um empréstimo, o resto muda completamente de banco para banco”.

Sem orientação adequada, o cliente pode não saber contratar corretamente, colocar em risco a aprovação, e se aprovado colocar em risco sua saúde financeira de modo muito prejudicado.

“Ninguém gosta de descobrir que poderia ou ter captado mais dinheiro, ou pagar no mesmo tempo metade da parcela”— principalmente depois da alienação da garantia.

Assim, o melhor caminho é um especialista. Algo que nesse tipo de produto, jamais será caro.

Intervenção Banco Central Cia Domus Hipotecária

A liquidação da Cia Hipotecária Domus e a segurança do mercado.

Por André Ruston

Uma liquidação bancária é algo que assusta investidores, mas sem grandes motivos.

A Cia Hipotecária Domus foi liquidada por intervenção do Banco Central do Brasil neste dia 23 de maio, através da PE 129552.

Se você era cliente da instituição, nada muda. Você continua pagando seu empréstimo sem nenhum problema.

(É você quem deve e não ela para você, daí basta continuar. O responsável técnico que assume a instituição continuará cuidando disso, tudo supervisionado pelo banco central do Brasil).

Se você investiu, está garantido pelo FGC, até 250 mil reais. Até aqui, sem prejuízo também.

O que temos?

Na verdade, todas as pessoas que estavam “em vias de” obter crédito junto a Cia Hipotecária Domus terão que recomeçar o pedido, é isso. É isso é chato.

Essas pessoas sim, sofrem, ou porquê tinham compromissos a pagar ou precisavam rápido de uma solução.

Mas também não precisam sofrer “tanto assim”.

Existem alguns passos que você pode tomar para não sentir demais essa demora:

1. Anote a página de “crédito aprovado” que você recebeu do sistema da Domus. Dê um print e salve.

2. Junte todos os arquivos que você enviou ou arquivou no sistema online.

3. Junte a simulação que você deu ok no sistema.

A Ruston SF, já acionou um banco de grande porte, e todos aqueles que tinham crédito aprovado ou em vias de aprovação, podem pedir a migração da sua análise creditícia.

(Fizemos isso automaticamente para todos nossos clientes).

Se você não foi atendido pela Ruston mas deseja obter esse mesmo benefício, preencha o campo abaixo.

(Formulário)

E não se preocupe. Não estamos cobrando nenhum honorário para prestar essa ajuda.

BMG Card

Primeiramente, o BMG Card é um produto exclusivo do Banco BMG em parceria com a Mastercard. Contudo, é até 400% mais barato que um cartão de crédito convencional. O BMG Card se destaca no mercado de Cartões.

BMG Card Vantagens

O cartão BMG é feito para servidores públicos, aposentados e pensionistas. O cartão é até 400% mais barato que seu cartão de crédito convencional. Contudo, com o cartão de crédito consignado BMG, você não paga mensalidade nem anuidade. Afinal, ele é totalmente Free! Aproveite. Ademais, seu BMG Card vem na Bandeira Mastercard que é aceito em praticamente quase todos os estabelecimentos comerciais.

Ademais, o BMG Card é muito simples e fácil de solicitar. Basta clicar no botão Solicite, escolher a opção BMG Card e preencher o formulário para que nosso time de consultores possa entrar em contato.

Documentação

A documentação necessária para você contratar seu empréstimo consignado é muito Simples. Confira:

  • Carteira de Identidade
  • CPF
  • Comprovante de Residência Atual

Contudo, poderão ser solicitados documentos adicionais conforme convênio e política de aprovação da Instituição Financeira.

Condições Especiais

  • Dia do corte da Fatura do BMG Card é todo dia 25 de cada mês, exceto finais de semana e feriado.
  • Vencimento da fatura dia 10 de cada mês.
  • Taxa de juros (Saque todas as modalidades e Rotativo) 3,36% a.m.
  • Não faz consulta ao SPC/SERASA
  • Com o cartão, você consegue fazer pagamento de outros boletos/títulos
  • É possível realizar saques pelo telefone com depósito direto na conta corrente
  • Desconto em folha mínimo R$ 5,00.
  • Percentual de Desconto em Folha 3,91% a.m.
  • Sempre que o pagamento mínimo efetuado for menos que o mínimo previsto, a conta evoluirá para o atraso.
  • Tipo de cartão / Classe: Internacional / Cartão com Chip.
  • Não é cobrado anuidade para este cartão, nem mensalidade.
  • Não permite cartão adicional.
  • Não possui seguro contra perca e roubo.
  • Não cobra Multa.
  • Tarifa de emissão é de R$ 15,00 em três parcelas.
  • Pode sacar até 100% do limite

Pelo celular ou internet banking

  • Visualizar o saldo disponível
  • Consultar 2ª via
  • Fazer transações

Regulamentação

Todas as modalidades de crédito Consignado atendem a uma regulamentação do Banco Central e Lei 10.820 que determinam as regras de contratação. No entanto, os convênios firmados entre seu órgão tem regras específicas as quais serão consideradas na liberação do seu Crédito. Enfim, as instituições financeiras têm políticas de crédito especificas conforme perfil do cliente. No entanto, tais regras também serão consideradas.

Saque Cartão de Crédito Consignado

O Saque cartão de Crédito consignado aqui no Portal Consignados é muito simples e fácil de você fazer.Basta ter um cartão de crédito consignado com limite para saque para solicitar. No entanto, utilizamos seu limite para lhe liberar o saque cartão de forma simples e rápida.

Uma das grandes vantagens do cartão de crédito consignado é que, ao descontar os 5% de sua margem consignável do saldo devedor do cartão, sua dívida nunca irá virar uma bola de neve. Ademais, o mais incrível é que ainda amortiza sua dívida e tudo que você paga retorna para o limite do cartão.

Ademais, o Saque do Cartão de Crédito Consignado é muito simples e fácil de solicitar. Basta clicar no botão Solicite e preencher o formulário para que nosso time de consultores possa entrar em contato.

Saque Cartão de Crédito Consignado + Vantagens:

Nosso time de consultores analisa seu limite e, tendo saldo, o valor é creditado rapidamente em sua conta. Contudo, é simples e fácil, basta solicitar. O pagamento é feito através de desconto em folha e boleto bancário. No entanto, os 5% de sua margem são descontados do saldo devedor de sua fatura. O restante virá através de boleto bancário. Enfim, você pode pagar o total, parcial ou deixar amortizar no rotativo que é exatamente o desconto dos 5% em folha.

Documentação

A documentação necessária para você contratar seu empréstimo consignado é muito simples, como por exemplo:

  • Carteira de Identidade
  • CPF
  • Comprovante de Residência Atual

Poderá ser solicitado documentos adicionais conforme convênio e política de aprovação da Instituição Financeira.

Público Alvo

Este produto está destinado ao seguinte público:

  • Aposentados e Pensionistas do INSS
  • Servidores Federais
  • Servidores do Estado de SP

Consulte seu convênio para verificar a disponibilidade do produto a sua categoria.

Margem

Este produto está condicionado a sua margem dos 5% para poder ser concluído. No entanto, seja para atualizar seu limite ou para solicitar o saque do seu cartão, é necessário que tenha limite disponível no cartão. Contudo, efetuamos a solicitação de saque dos seguintes Bancos:

  • Banco BMG
  • BV Financeira
  • Bradesco Promotora
  • Bonsucesso / Olé Consignados
  • Daycoval
  • Safra
  • CCB Brasil
  • Panamericano

Regulamentação

O cartão de crédito consignado é um produto financeiro e como tal depende de regulamentação para estar em conformidade com as regras do Banco Central. O Cartão de Crédito Consignado está em total conformidade com a lei nº 13.172, de 21 de Outubro de 2015. No entanto, para acessar a lei na íntegra, basta clicar aqui.

Parâmetros e Taxas

O Saque do Cartão de crédito está condicionado a tarifas e IOF. Consulte nossos consultores para obter maiores detalhes.

Condições Gerais

  • Vencimento da fatura dia 10 de cada mês.
  • Taxa de juros (Saque todas as modalidades e Rotativo) 3,36% a.m.
  • Desconto em folha mínimo R$ 5,00.
  • Percentual de Desconto em Folha 3,91% a.m.

Política de Crédito

Para pode efetuar o saque, o cliente deve apresentar o seguinte perfil:

  • Estar em dia com o cartão
  • Não estar com margem Negativa
  • Possuir limite disponível

Agregação de Margem

Poderá ser solicitado agregação de margem conforme atualização de renda. Contudo, é um processo que depende de analise interna do banco e estar em conformidade com o limite operacional do banco ou instituição financeira detentora do cartão.

Cartão de Crédito Consignado Visa

O Cartão de Crédito Consignado Visa é uma excelente opção que o Grupo Santander, através da Olé Consignados, traz de primeira mão para você. No entanto, o cartão está disponível para aposentados e pensionistas do INSS, Servidores Federais, Municipais e Estaduais.

Se a ideia era ganhar de goleada, o Santander arriscou e, mais uma vez, inovou com seu cartão de crédito consignado. Contudo, suas taxas de juros são bem abaixo do mercado e sem consulta no SPC ou SERASA. Enfim, conheça as Vantagens que vai dar Olé na concorrência.

Ademais, o Cartão de Crédito Consignado Visa é muito simples e fácil de solicitar. Basta clicar no botão Solicite, escolher a opção Consignado Visa e preencher o formulário para que nosso time de consultores possa entrar em contato.

Cartão de crédito consignado visa + Vantagens

O cartão de crédito consignado Visa tem regras específicas. Conheça as principais, como por exemplo:

  • Dia do corte da Fatura do Visa Consignado é todo dia 25 de cada mês, exceto finais de semana e feriado.
  • Vencimento da fatura dia 10 de cada mês.
  • Taxa de juros (Saque todas as modalidades e Rotativo) 3,36% a.m.
  • Desconto em folha mínimo R$ 5,00.
  • Percentual de Desconto em Folha 3,91% a.m.
  • Sempre que o pagamento mínimo efetuado for menos que o mínimo previsto, a conta evoluirá para o atraso.
  • Tipo de cartão / Classe: Internacional / Cartão com Chip.
  • Não é cobrado anuidade para este cartão, nem mensalidade.
  • Não permite cartão adicional.
  • Não possui seguro contra perca e roubo.
  • Não cobra Multa.
  • Tarifa de emissão é de R$ 15,00 em três parcelas.

Política de Crédito

Este produto está condicionado a política interna do Banco conforme regra abaixo:

Idade para aquisição do Cartão. Por exemplo:

  • Limite de idade mínimo – 21 anos
  • Limite de idade máximo – 75 anos

Limite de Crédito por faixa etária. Por exemplo:

  • De 21 a 65 anos – R$ 20.000,00
  • De 66 a 70 anos – R$ 15.000,00
  • De 71 a 75 anos – R$ 5.000,00

Regras de Concessão de Limite e Saque. Por exemplo:

  • Margem consignável mínima – R$ 12,00
  • Margem consignável máxima – R$ 800,00
  • Limite de crédito mínimo – R$ 300,00

Calculo de Margem. Por exemplo:

Saque

O tempo para liquidação depende da dinâmica de uso e da escolha do valor do pagamento restante, além do desconto em folha.

OP (Ordem de Pagamento)

Será liberada ordem de pagamento para clientes que recebem por cartão magnético, onde o valor mínimo de saque será de R$ 750,00 e valor máximo de R$ 5.000,00

Público Alvo

Este produto está destinado ao seguinte público, como por exemplo::

Caso tenha dúvidas sobre seu benefício do INSS pode contratar o Cartão de Crédito Visa Consignado  pode contar com nosso suporte.

*Consulte nossa equipe de suporte para confirmar se seu convênio está ativo para poder contratar.

Regulamentação

Todas as modalidades de crédito consignado atendem a uma regulamentação do Banco Central e Lei 10.820 que determinam as regras de contratação. No entanto, os convênios firmados entre seu órgão têm regras específicas as quais serão consideradas na liberação do seu Crédito. As instituições financeiras têm políticas de crédito especificas conforme perfil do cliente. Portanto, tais regras também serão consideradas.

Cartão de Crédito Consignado SIAPE

O Cartão de Crédito Consignado SIAPE é um produto exclusivo para você que é Servidor Federal. Aliás, essa é uma conquista que o Banco BMG quer dividir com você! Com juros até 400% menores que seu cartão de crédito convencional, o Cartão SIAPE vem para ser mais uma aliado para você, servidor que procura por Crédito Barato.

Cartão de Crédito Consignado SIAPE – Vantagens

Conheça todas as Vantagens do Cartão de Crédito que foi desenvolvido para você, servidor Federal:

  • Até 400% mais barato que um cartão Convencional
  • Não tem Consulta no SPC nem SERASA
  • Pode Sacar até 98% do limite de crédito
  • Não cobra tarifa de extrato
  • Não tem mensalidade ou anuidade
  • Não cobra TAC (Taxa de Abertura de Crédito)

O cartão de Crédito SIAPE tem condições especiais e regras especificas. Por isso, leia atentamente e, caso necessite de ajuda, pode contar com a equipe do Portal Consignados.

Ademais, o Consignado Prefeitura Vitória é muito simples e fácil de solicitar. Basta clicar no botão Solicite, escolher a opção Prefeitura de Vitória – ES e preencher o formulário para que nosso time de consultores possa entrar em contato.

Público Atendido

Este produto está destinado ao seguinte público, como por exemplo:

  • Servidores Federais Ativos
  • Servidores Federais Inativos
  • Servidores Federais Aposentados
  • Servidores Federais Pensionistas

Para poder contratar, o servidor federal deverá receber seu pagamento pelo SIAPE.

Calculo de Margem

Veja como é simples calcular seu limite de crédito para seu cartão BMG Card SIAPE, como por exemplo:

  • Margem dos 5% x 24 = Limite do Cartão
  • Saque: 98% do limite do cartão

Reserva de Margem

O Servidor deverá indicar o Banco BMG no portal SIGEPE para poder concluir seu pedido do cartão de crédito consignado.

Regulamentação

Todas as modalidades de crédito consignado atendem a uma regulamentação do Banco Central e a Lei 10.820 que determinam as regras de contratação. Contudo, os convênios firmados entre seu órgão tem regras específicas as quais serão consideradas na liberação do seu crédito. As instituições financeiras tem políticas de crédito especificas conforme perfil do cliente. Portanto, tais regras também serão consideradas.

Parâmetros e Taxas

Conheça as taxas e tarifas do seu Cartão de Crédito Consignado SIAPE, como por exemplo:

  • Dia do corte da Fatura é todo dia 25 de cada mês, exceto finais de semana e feriados.
  • Vencimento da fatura dia 10 de cada mês.
  • Sempre que o pagamento mínimo efetuado for menos que o mínimo previsto, a conta evoluirá para o atraso.
  • Tipo de cartão / Classe: Internacional / Cartão com Chip.
  • Não é cobrado anuidade para este cartão, nem mensalidade.
  • Não permite cartão adicional.
  • Não possui seguro contra perda e roubo.
  • Não cobra Multa.
  • Tarifa de emissão é de R$ 15,00 (casos de perda e má conservação)

O Cartão de crédito deverá ser enviado no prazo de até 30 (trinta) dias, após a implantação / liberação no sistema do Banco BMG. No entanto, para evitar atrasos, é imprescindível que o comprovante de endereço residencial esteja em nome do cliente.

Desbloqueio

Ademais, para desbloquear, o cliente deverá entrar em contato com a Central de Atendimento do Banco BMG nos telefones:

  • 4002-7007 – Capital e Regiões Metropolitanas
  • 0800 770 1790 – Demais Localidades
  • 0800 723 2044 – Ouvidoria

Documentação

A documentação necessária para você contratar seu empréstimo consignado é muito simples, como por exemplo:

  • Carteira de Identidade
  • CPF
  • Comprovante de Residência Atual
  • Último Contracheque

Poderá ser solicitado documentos adicionais, conforme análise interna do banco.

Caso tenha dúvidas, chame nossa equipe de consultores! O Portal Consignados tem especialistas a sua espera!

BMG Card Governo de SP

BMG Card Governo de SP é destinado para você que é Servidor Público do Governo de São Paulo. Aliás, é até 400% mais barato que os cartões de crédito convencionais. No entanto, pode contratar mesmo tendo restrições no nome. Contudo, o BMG Card é uma das maiores conquistas dos servidores públicos dos últimos anos. E você já pediu o seu? Aproveite esta chance! No entanto, é grátis. Você não paga anuidade e nem mensalidade.

BMG Card Governo de SP – Vantagens

Ademais, conheça todas as Vantagens do Cartão de Crédito que foi desenvolvido para você, Servidor do Governo de São Paulo:

  • Até 400% mais barato que um cartão Convencional
  • Não tem Consulta no SPC nem SERASA
  • Pode Sacar até 100% do limite de crédito
  • Não cobra tarifa de extrato
  • Não tem mensalidade ou anuidade
  • Não cobra TAC (Taxa de Abertura de Crédito)
  • Cartão Internacional

Ademais, o BMG Card Governo é muito simples e fácil de solicitar. Basta clicar no botão Solicite, escolher a opção BMG Card e preencher o formulário para que nosso time de consultores possa entrar em contato.

Público Alvo

Este produto está destinado ao seguinte público, como por exemplo:

SEFAZ

  • Servidores Públicos Ativos
  • Servidores Públicos Inativos
  • Servidores Públicos Aposentados
  • Servidores Públicos Pensionistas
  • Servidores Públicos ligados ás autarquias Estaduais

SPPREV

  • Servidores Públicos Cívis
  • Servidores Públicos Militares
  • Servidores Públicos Reformados
  • Servidores Públicos Pensionistas da administração direta
  • Servidores Públicos Pensionistas das autarquias

PMESP

  • Servidores Públicos Militares
  • Servidores Públicos Ativos

Categoria e Cargos não Permitidos

  • CLT
  • Comissionados
  • Contratado temporário
  • Estável (Art.18)
  • Estagiário
  • Cabos PM

Calculo de Margem

Veja como é simples calcular seu limite de crédito para seu cartão BMG Card Governo de SP, como por exemplo:

  • Sua Margem dos   5%  x 17,5 = Limite do Cartão
  • Saque: 100% do limite do cartão
  • Margem consignável mínima de R$ 25,00
  • Margem consignável máxima de R$ 1.200,00
  • Limite de crédito mínimo de R$ 300,00

Regulamentação

Enfim, todas as modalidades de crédito consignado atendem a uma regulamentação do Banco Central e à Lei 10.820 que determinam as regras de contratação. Contudo, os convênios firmados entre seu órgão têm regras específicas as quais serão consideradas na liberação do seu Crédito. No entanto, as instituições financeiras têm políticas de crédito especificas, conforme perfil do cliente. Portanto, tais regras também serão consideradas.

Condições Gerais

  • Desconto mínimo de R$ 5,00
  • Percentual de desconto em folha de 5,22% a.m (sobre Saldo devedor)
  • Tipo de cartão / Classe: Internacional / Cartão com Chip.
  • Não é cobrado anuidade para este cartão, nem mensalidade.
  • Não permite cartão adicional.
  • Não possui seguro contra perda e roubo.
  • Não cobra Multa.
  • Tarifa de emissão é de R$ 15,00 (casos de perda e má conservação)
  • 1 (Um) Cartão permitido por Servidor

Aliás, o Cartão de crédito deverá ser enviado no prazo de até 30 (trinta) dias, após a implantação / liberação no sistema do Banco BMG. Contudo, para evitar atrasos, é imprescindível que o comprovante de endereço residencial esteja em nome do cliente.

Desbloqueio

Para desbloquear, o cliente deverá entrar em contato com a Central de Atendimento do Banco BMG nos telefones, como por exemplo:

  • 4002-7007 – Capital e Regiões Metropolitanas
  • 0800 770 1790 – Demais Localidades
  • 0800 723 2044 – Ouvidoria (Atendimento de segunda a sexta-feira das 8 às 18 horas) – Horário de Brasília

Documentação Necessária

A documentação necessária para você contratar seu BMG Card Governo de São Paulo é muito Simples, como por exemplo:

  • Carteira de Identidade
  • CPF
  • Comprovante de Residência Atual
  • Último Contracheque

Para Servidores com mais de um provento, deverá ser apresentado todos os contracheques atualizados.

Margem Complementar

A Margem Complementar é uma das melhores formas de você conseguir aumentar seu limite de crédito. Com o aumento salarial, você pode:

  • Agregar margem no Refinanciamentos;
  • Empréstimos Novos;
  • Limite do seu cartão de crédito Consignado.

Margem Complementar – Conheça como Funciona

A agregação de margem também é um forte aliado para aqueles casos aonde já se excedeu a quantidade de contratos. Também para os casos que tenham pago menos de 30% para poder refinanciar. Ademais, leia para obter todos os detalhes.

Ademais, a Margem Complementar é muito simples e fácil de solicitar. Basta clicar no botão Solicite e preencher o formulário para que nosso time de consultores possa entrar em contato.

Agregação de Margens e algumas vantagens

Na Agregação de Margem, você tem muitas vantagens. No entanto, confira algumas delas:

  • Refinanciamento com menos de 30% pago;
  • Clientes que já excederam a quantidade de contratos;
  • Pode utilizar sua margem complementar para aumentar o limite do seu Cartão de Crédito Consignado;
  • Liberação rápida e fácil.

Todos os casos serão analisados para poder lhe proporcionar a melhor opção, conforme sua margem complementar.

Público Atendido

Este produto está destinado ao seguinte público:

  • Aposentados e Pensionistas do INSS
  • Servidores Federais
  • Servidores Estaduais
  • Servidores Municipais
  • Militares das Forças Armadas

Caso tenha dúvidas sobre as suas possibilidades, solicite uma consulta sem compromisso com nosso time de consultores.

 Documentação

A documentação necessária para você contratar seu empréstimo Consignado é muito Simples. No entanto, confira:

  • Carteira de Identidade;
  • CPF;
  • Comprovante de Residência Atual;
  • Comprovante de Renda (Contra-cheque ou detalhamento de Crédito).

Poderão ser solicitados documentos adicionais conforme convênio e política de aprovação da Instituição Financeira.

Margem Consignável

Contudo, é dividida em duas opções :

  • Margem dos 30%
  • Margem dos 5%

A Margem dos 30% é exclusiva para empréstimos e a agregação poderá ser feita nos casos aonde o cliente já excedeu a quantidade de contratos máxima permitida ou que não tenha pago uma quantidade de parcelas suficiente para o refinanciamento.

A Margem dos 5% é exclusiva para cartões de crédito consignado. No entanto, a agregação de margem poderá ser feita em todos os casos desde que o cliente esteja em dia com seus pagamentos do Cartão de crédito junto a instituição financeira que emitiu o cartão.

Regulamentação

Todas as modalidades de crédito Consignado atendem a uma regulamentação do Banco Central. A Lei 10.820, determina as regras de contratação. Os convênios firmados entre seu órgão tem regras específicas as quais serão consideradas na liberação do seu Crédito. As instituições financeiras têm políticas de crédito especificas conforme perfil do cliente. Portanto, tais regras também serão consideradas.

Parâmetros e Taxas

Toda operação de crédito depende da política interna da Instituição Financeira. Justamente por isso, consulte sempre nosso time de consultores para garantir que está dentro do perfil exigido ou da política de crédito do Banco.

Este produto está condicionado a política interna do Banco, conforme regra abaixo:

Idade

  • Limite de idade mínimo – 21 anos
  • Limite de idade máximo – 75 anos (para Cartão de Crédito)
  • Limite de idade máximo – 79 anos (para empréstimos e Refinanciamentos)

Nos casos de portabilidade, não é possível agregar margem.

Empréstimo com Cartão de Crédito Crefaz

O empréstimo com cartão de crédito Crefaz é uma excelente escolha para quem precisa de dinheiro rápido e fácil. Contudo, além da agilidade no processo de contratação, verificação de documentos e liberação do crédito, o cartão de crédito Crefaz é a sua melhor opção. No entanto, conheça agora mesmo as vantagens do cartão de crédito Crefaz.

Em suma, o Empréstimo com Cartão de Crédito é uma alternativa rápida para você que precisa urgentemente de dinheiro e sem burocracia. Solicite agora mesmo!

Quem pode contratar?

Ademais, este produto poderá ser contratado por:

  • Qualquer cliente que tenha um cartão de crédito em seu nome e que tenha limite.

Requisitos:

  • Possuir uma conta na qual será depositada o valor solicitado
  • O cartão do cliente deverá estar dentro do período de validade do cartão. (Essa informação você encontrará no próprio cartão).
  • O cartão deverá estar liberado para compras em e-commerce/online. Verifique se está opção está habilitada junto ao emissor do seu cartão de crédito.
  • Cliente deverá saber qual é o limite disponível para compras no seu cartão.

Condições:

  • Limite de idade: de 18 a 79 anos
  • Limite de Crédito: de R$200,00 a R$10.000,00
  • Prazo: 6x, 8x ou 12x

OBS: Aprovação sujeita a análise do limite do cartão sem comprovação de renda e sem consulta ao SPC/SERASA.

Documentação Necessária:

  • 1 ficha cadastral
  • 1 cédula de crédito bancário negociável
  • 1  cédula de crédito bancário não negociável
  • Documento de identificação (como por exemplo: RG e CPF ou CNH, Carteira de Trabalho CTPS digital)
  • Comprovante de residência (como por exemplo: fatura do cartão de crédito, contas consumo e correspondências comerciais, comprovantes de residência em nome de parente de 1º grau)
  • Comprovante bancário

No entanto, a modalidade de crédito pessoal é regularizada e fiscalizada pelo Banco Central do Brasil.

Refinanciamento Daycoval

O Refinanciamento Daycoval agora ficou mais fácil e prático. No entanto, analisamos seus contratos e viabilizamos seu refinanciamento de empréstimo consignado. Solicite agora mesmo uma pesquisa com um de nossos consultores.

Veja as vantagens exclusivas que só o Banco Daycoval pode lhe proporcionar, como por exemplo:

  • O Banco Daycoval tem uma carteira de clientes enxuta, o que lhe permite lhe dar mais atenção na hora de fazer seu refinanciamento.
  • Uma das grandes vantagens do Daycoval é sua equipe. Eles possuem um foco todo especial quando se trata de empréstimo consignado.
  • Melhores taxas de juros do Mercado.

Um Banco Familiar a moda antiga que tem como sua maior virtude a responsabilidade, respeito e carinho pelos seus clientes e parceiros. Aliás, nós do Portal Consignados, recomendamos o Banco Daycoval pela sua excelência e agilidade no setor de empréstimos consignados.

Ademais, o Refinanciamento Daycoval é muito simples e fácil de solicitar. Basta clicar no botão Solicite, escolher a opção Daycoval e preencher o formulário para que nosso time de consultores possa entrar em contato.

Refinanciamento Daycoval

O  Refinanciamento Daycoval de empréstimo consignado é muito simples e fácil. Basta ter pago 30% (trinta por cento) do prazo do seu contrato que poderá solicitar. O Banco Daycoval possui taxas atraentes e uma equipe focada em lhe prestar um dos melhores atendimento do Mercado. Contudo, o refinanciamento está disponível para Aposentados e Pensionistas, Servidores Federais, Municipais e Estaduais.

Porque Fazer um Refinanciamento Daycoval?

O Refinanciamento Daycoval é a melhor forma de você conseguir mais dinheiro sem aumentar seu endividamento mensal, ou seja, adquirir mais uma parcela. O Banco Daycoval sabe muito bem disso, por isso disponibiliza de forma prática e rápida aos seus clientes a opção do refinanciamento como uma ferramenta que irá lhe ajudar na sua tomada de decisão!

Confirme as condições imperdíveis que nossos especialistas estarão preparando para você.

Regulamentação Legal

O Refinanciamento é uma linha de crédito regulamentada e atende a lei 10.820 de 17 de Dezembro de 2003. Através desta lei, foi permitido o empréstimo consignado bem como suas condições especiais. Aproveite, pois o Refinanciamento BMG é uma delas.

Refinanciamento Safra

O Refinanciamento Safra a um clique de você. Temos uma equipe especializada em Refinanciamento Safra a sua disposição. Enfim, solicite uma pesquisa sem compromisso e receba um atendimento personalizado de nosso time de consultores.

Para pode fazer o Refinanciamento Safra de empréstimo consignado, basta ter pago 30% (trinta por cento) do prazo do seu contrato. O Banco Safra tem condições imperdíveis para você e conta com as melhores taxas de juros. Por isso, se você tem um contrato de empréstimo consignado com o Banco Safra, aproveite agora e solicite uma pesquisa de nosso time de consultores.

Porque Safra

O Banco Safra tem se tornado cada vez mais um importante parceiro no mercado de empréstimos consignados. No entanto, apesar de ter como foco o mercado de ações, o Banco Safra é conhecido no Mercado como uma das instituições mais seguras para se contratar seu empréstimo consignado, o Refinanciar. Ademais, o respeito ao cliente e aos parceiros demonstra o cuidado e atenção que o Banco Safra tem dedicado ao setor e já desponta com um dos principais Bancos do Setor.

Ademais, o Refinanciamento Safra é muito simples e fácil de solicitar. Basta clicar no botão Solicite, escolher a opção Safra e preencher o formulário para que nosso time de consultores possa entrar em contato.

Conhecendo um Pouco mais do Banco Safra

Um dos pontos altos do Banco Safra é sua competência e excelência no atendimento ao cliente. Contudo, é cauteloso e cuidadoso nas suas operações e  tem proporcionado aos seus clientes segurança e excelentes taxas.

Fiquei surpreso com a estrutura e cuidado tanto com o cliente quanto como parceiro. Este tipo de postura demonstra que o Banco Safra veio para ficar e fazer história no Mercado de Empréstimo Consignado.

Se você ainda está com dúvidas em fazer seu refinanciamento Safra, fique sabendo que o Banco Safra é um dos cinco maiores Bancos Privados do Brasil e sua história vem desde o século XIX o que demonstra que suas bases são sólidas e duradouras.

Regulamentação Legal

O Refinanciamento é uma linha de crédito regulamentada e atende a lei 10.820 de 17 de Dezembro de 2003. Através desta lei, foi permitido o empréstimo consignado bem como suas condições especiais. Aproveite, pois o Refinanciamento Safra é uma delas.

Como funciona

Cada parcela paga de seu empréstimo consignado é abatida do seu saldo devedor. Contudo, isso lhe gera crédito para refinanciar, ou seja, você quita o saldo devedor e fica com a diferença em dinheiro do que já foi pago.

Nossa equipe está a sua disposição para lhe atender da melhor forma possível. Somos uma empresa real que acredita em nosso trabalho e nosso processo garante que sua proposta seja assistida e gerida por departamentos que cuidam com todo carinho para agilizar seu Refinanciamento Safra.

Refinanciamento Bradesco

O Refinanciamento Bradesco é mais uma novidade que o Portal Consignados traz para você. No entanto, com um time de especialistas a sua disposição, você poderá solicitar uma simulação do seu Refinanciamento de Empréstimo Consignado.

Para pode fazer o  Refinanciamento Bradesco de empréstimo consignado, basta ter pago 30% (trinta por cento) do prazo do seu contrato. Contudo, o Banco Bradesco ou BMC (Banco Mercantil de Crédito) tem uma vasta carteira de clientes.

Vantagens

Ademais, conheça algumas das principais vantagens do Refinanciamento Bradesco:

  • Agilidade na liberação
  • Fácil acesso
  • Taxas de juros diferenciadas
  • Flexibilidade nos prazos

Ademais, o Refinanciamento Bradesco é muito simples e fácil de solicitar. Basta clicar no botão Solicite, escolher a opção Bradesco e preencher o formulário para que nosso time de consultores possa entrar em contato.

Acessibilidade Bradesco

O Banco Bradesco tem como seu maior ponto forte sua acessibilidade. Seja em sua vasta rede de agências ou através de seu foco em tecnologias que vem desenvolvendo nos últimos anos para facilitar sua vida. No entanto, se você é um correntista Bradesco sabe o que estamos falando.

O Refinanciamento Bradesco vem nesta mesma linha de acessibilidade, agilidade e praticidade, proporcionando aos seus clientes uma sensação de bem estar.

Condições Especiais ao Cliente Bradesco

O Bradesco leva a sério seus clientes. Contudo, disponibiliza além de sua vasta rede de agências e um time de correspondentes Bradesco que estão espalhados em todo território Nacional. Esse time lhe proporciona a devida atenção na hora de contratar seu Refinanciamento Bradesco. Conheça alguns produtos exclusivos nas agencias Bradesco, como por exemplo:

  • Abertura de Conta Corrente
  • Seguros
  • Previdência Privada
  • Empréstimos
  • Financiamento de Veículos

Seus Correspondentes têm treinamento específico e vasta experiência, o que poderá lhe ser muito útil na hora de tomar a decisão de fazer ou não seu Refinanciamento.

Tomando a decisão certa

Muitas vezes, você poderá estar se perguntando qual é a melhor alternativa ao precisar tomar crédito. No entanto, vamos listar alguns motivos para refinanciar seus contratos:

  • Não possui mais margem
  • Não pode mais comprometer sua renda
  • Deseja se beneficiar de uma taxa de juros menor

Agora no Portal Consignados, você poderá solicitar uma simulação de seu Refinanciamento Bradesco.

Regulamentação Legal

O Refinanciamento é uma linha de crédito regulamentada e atende a lei 10.820 de 17 de Dezembro de 2003. Através desta lei, foi permitido o empréstimo consignado bem como suas condições especiais. Aproveite, pois o Refinanciamento Bradesco é uma delas.

Refinanciamento PAN

Refinanciamento PAN possibilita a você condições especiais. Contudo, além de contar com taxas de juros diferenciadas e toda a tradição do Banco PAN. Solicite uma pesquisa sem compromisso. Tem dúvidas ainda? Continue lendo e veja o porque o Refinanciamento PAN é ideal para você.

O Refinanciamento PAN de empréstimo consignado é destinado para os seguintes públicos:

  • Aposentados e Pensionistas do INSS
  • Servidores Federais
  • Servidores Estaduais
  • Servidores Municipais
  • Militares das Forças Armadas

Os convênios com sua entidade podem estar sujeitas a suspensão sem aviso prévio. Por isso, consulte nossa equipe.

Ademais, o Refinanciamento Pan é muito simples e fácil de solicitar. Basta clicar no botão Solicite, escolher a opção Pan e preencher o formulário para que nosso time de consultores possa entrar em contato.

Forma de pagamento

Você poderá optar pelo DOC/TED ou Ordem de pagamento, sendo que o limite máximo para ordem de pagamento no Banco PAN é de R$ 10.000,00. Contudo, a liberação em forma de ordem de pagamento só será aceita caso o cliente não possua conta em banco. Nos demais casos, será enviado o crédito para a conta aonde se recebe o benefício ou salário.

Margem Consignável

O Refinanciamento, apesar de utilizar a mesma reserva de parcela já autorizada, existem casos aonde não serão possíveis de ser liberado, aos quais vamos destacar:

  • Margem consignável negativa
  • Quantidade de parcelas pagas inferior a 30% do prazo do contrato
  • Limite global de crédito fora da política de idade do banco

Regulamentação Legal

O Refinanciamento é uma linha de crédito regulamentada e atende a lei 10.820 de 17 de Dezembro de 2003. Através desta lei, foi permitido o empréstimo consignado bem como suas condições especiais, aproveite o Refinanciamento Panamericano é uma delas.

Mais opões para você

Aliás, o Portal Consignados busca oferecer todas as soluções financeiras aos seus clientes, por este motivo recomendamos que consulte também as seguintes linhas de crédito:

Nosso time de consultores estão prontos para lhe tirar todas as suas dúvidas! Nosso objetivo é lhe oferecer a melhor experiência possível na hora de contratar seu empréstimo.

Refinanciamento BMG

O Refinanciamento BMG é um dos produtos mais populares do banco. Contudo, além de ser pioneiro neste tipo de operação, é um dos bancos mais queridos do setor com um público fiel e clientes satisfeitos.

Com uma das liberações mais rápidas do mercado o Banco BMG se tornou popular nesta modalidade de crédito e se você deseja uma simulação de seus contratos é bastante simples, basta clicar aqui que nosso time de consultores estão a disposição para fazer uma análise sem compromisso.

Refinanciamento BMG

Para refinanciar seus contratos é bastante simples basta atender algumas regras do setor que são:

  • Quantidade de parcelas pagas
  • Saldo matemático positivo
  • Idade igual ou inferior a 75 anos

Quantidade de parcelas pagas

Atualmente para poder refinanciar seus empréstimos consignados no banco BMG é necessário ter pelo menos 12 (doze) parcelas pagas.

Saldo matemático positivo

Existem casos onde seu contrato ou já foi refinanciado com taxa de juros reduzida ou é um contrato com origem de portabilidade, nestes casos o prazo para poder refinanciar seu contrato BMG é baseado em saldo matemático, ou seja, o saldo devedor deverá ser inferior ao contrato a ser celebrado atualmente.

Muitos clientes reclamam que não conseguem refinanciar seus contratos, mas ao analisar notamos que trata de contratos com a taxa reduzida, o que diminui a velocidade da amortização do seu contrato. Veja o exemplo abaixo:

Considerando uma taxa de juros de 2,3% a.m o saldo devedor na 12 parcela seria de R$9.242,41.Considerando um refinanciamento no valor de R$ 10.000,00. Liberando um saldo de R$ 757,59

Se considerar um refinanciamento cujo contrato teve uma taxa efetiva de 1,6% a.m o saldo devedor passível de refinanciamento passa de 12 meses para a 26 parcela. Liberando um saldo de R$ 752,54

Caso deseje fazer este cálculo é bastante simples basta acessar o site drcalc e tirar suas conclusões, para te ajudar abaixo segue um vídeo demonstrativo de como chegamos a este resultado.

De fato uma redução de juros representa muitas vantagens mas no caso do refinanciamento quanto menor a taxa maior será a quantidade de parcelas pagas para se poder refinanciar conforme os exemplos acima podem comprovar.

Motivos para se fazer um Refinanciamento

Alguns motivos aos quais muitos clientes procuram o Refinanciamento BMG como opção de empréstimo consignado são:

  • Falta de margem consignável
  • Comprometimento de renda saudável
  • Facilidade na liberação

Falta de margem consignável

Como o empréstimo consignado está limitado a uma margem consignável de 30%, muitas pessoas ao atingir esse limite não se vem com outra opção senão refinanciar seus contratos de empréstimo consignado. Ao fazer isso utilizam como moeda de troca os valores já pagos, amortizando assim seu empréstimo consignado, e ao refazê-lo fica com a diferença.

Comprometimento de renda saudável

Existem situações onde o consumidor de empréstimo consignado tem seu orçamento já bem definido e mesmo tendo margem para uma nova contratação entende que aumentar seu comprometimento de renda não seria uma boa opção, uma vez que já tem despesas as quais conta com seu rendimento atual, neste caso precisando de dinheiro opta por um refinanciamento.

Facilidade na liberação

Sendo já cliente do banco BMG as coisas ficam mais simples e fácil, além de ter seu cadastro no banco o BMG tem como toda instituição financeira uma politica de crédito a qual valoriza em muito quem já é cliente e está em dia, no consignado não é diferente.

Juros menores no refinanciamento BMG

Ao refazer seu contrato, você troca os juros maiores por juros menores, ficando assim não somente com o saldo amortizado como também com a diferença por refinanciar com uma taxa de juros atual bem menor.

Ademais, o Refinanciamento BMG é muito simples e fácil de solicitar. Basta clicar no botão Solicite, escolher a opção BMG e preencher o formulário para que nosso time de consultores possa entrar em contato.

Comprometimento de Renda

Comprometa menos sua renda. Ademais, no refinanciamento, você continua pagando a mesma parcela sem comprometer seu orçamento com mais dívida.

Margem consignável

Para refinanciar seus contratos, não é necessário ter margem consignável! Utilizamos a mesma parcela que já paga para o banco.

Ao Refinanciar seu Empréstimo BMG, você pode aumentar o prazo para pagar. Aliás, tudo isso de forma simples e fácil. Contudo, sua parcela continua com o mesmo valor. No entanto, ainda conta com uma taxa de juros diferenciada a partir de 1,9% a.m. Desta forma, você garante valores maiores.

Outro diferencial do Refinanciamento é que sua liberação é rápida e prática, por ser o banco pioneiro no mercado de empréstimos consignados, hoje temos a liberação mais rápida do Mercado.

Como Funciona

Saiba como Funciona o Refinanciamento BMG e desfrute de todas as Vantagens que só o banco BMG pode lhe oferecer. Conheça algumas delas:

Parcelas pagas – A medida que vai pagando seu empréstimo seu saldo vai voltando

Saldo Matemático – Refinanciando você refaz seu contrato voltando para o prazo Inicial

Crédito em Conta – A diferença entre o valor do novo contrato e seu saldo devedor vai para sua conta.
Saiba como Funciona o Refinanciamento BMG e desfrute de todas as Vantagens que só o banco BMG pode lhe oferecer.

*Para simular seu Refinanciamento BMG de empréstimo consignado é necessário que nossa equipe de análise acesse o sistema do Banco ao qual possui contrato e verificamos a quantidade de parcelas pagas e valor liberado, mas é muito simples, apenas preencha os dados abaixo que dentro de 10 a 15 minutos receberá um retorno via telefone para lhe passar todos os valores aprovados para você.

Porque contratar conosco?

Ademais, conheça os principais motivos para se contratar um Refinanciamento através do portal Consignados:

  1. Acompanhamos o andamento de sua proposta.
  2. Temos a Liberação mais rápida do Mercado.
  3. Melhores condições de taxas
  4. Criamos uma relação de Amizade com nossos clientes
  5. Já estamos a mais de 17 anos no Mercado de Empréstimos

Documentação

Os documentos necessários para a contratação de seu Refinanciamento BMG são:

  • RG
  • CPF
  • Comprovante de Residência atual

A apresentação de todos os documentos de forma legível e dentro dos prazos de validade ajudam a agilizar seu empréstimo.

Banco BMG

O Banco BMG é uma instituição financeira com uma história de mais de 80 anos, foi o banco precursor do empréstimo consignado no Brasil tendo como seu produto principal o empréstimo consignado INSS BMG.

O BMG se tornou especialista em entender os problemas dos aposentados e pensionistas do INSS, atualmente o Banco BMG se uniu com o Banco Itaú com isso se tornou o Maior Banco do setor de empréstimos consignados.

O Banco BMG é gente que entende você e sabe como poucos as necessidades de seus clientes.
Regulamentação Legal

O Refinanciamento é uma linha de crédito regulamentada e atende a lei 10.820 de 17 de Dezembro de 2003. Através desta lei, foi permitido o empréstimo consignado bem como suas condições especiais. Aproveite o Refinanciamento BMG é uma delas.

Fuja do refinanciamento de veículos

Se você é empresário ou casado, ou mesmo se tem irmãos, o refinanciamento de veículos não é indicado para você.

Um produtos mais caros para quem busca um crédito rápido é refinanciar seu veículo.

Na média, a taxa de juros é 50% mais cara do que um simples financiamento tradicional, e você não consegue nada além do que 50% da tabela FIPE, e um prazo curto, bem mais curto.

É o que explica André Ruston, fundador da Ruston Serviços Financeiros.

” Se você tem score para conseguir um refinanciamento de veículos, você também tem score para conseguir um financiamento tradicional que na média, alcança 80% do valor de um carro, com prazo bom, juros moderados.”

Isso traduz em mais dinheiro com parcela mais baixa.

“A parcela sera mais baixa e o crédito muito maior, e basta comprar o carro de um sócio ou da própria esposa”

Sobre a legalidade desse modelo de compra, é simplesmente uma compra, normal e corriqueira, com um acordo comercial entre as partes.

” Se você tem uma empresa e tem sócios, um sócio fornece o bem, o outro o crédito. Quem vendeu faz o que bem entender com o dinheiro, até mesmo investir na empresa, e quem comprou pode, a seu direito, usar o carro comprado ou deixá-lo com o dono original. Isso pode até ser registrado em cartório”.

Esse modelo tende a crescer.

Dadas as proporções do negócio, esse é um modelo rápido para levantar pequenas somas, 40, 50, 100 mil reais em questão de dois a três dias. E pagar parcelado com juros mais baixos que capital de giro, cheque especial, cartões de crédito e antecipação de duplicatas.

No entanto André lembra que essa operação exige certos cuidados.

“Rodar de forma sem critérios essa proposta em bancos errados, gerarão consultas Bacen e Serasa em seu CPF, isso é muito mal visto pelos bancos, podendo acarretar negativa de crédito de forma sistemática”

Siga esses passos para escapar do refinanciamento de veículos e fazer um financiamento de veículos que se torna investimento:

1. O ano do carro deve ser 2013 ou acima, já que estamos em 2018

2. O carro a ser comprado terá que ser vistoriado.

3. Seu score bancário deve ser 500 ou acima.

4. O carro pode ser de esposa, filho, sócio, irmão ou irmã.

5. Quem vai receber o valor da venda será o atual dono do carro

6. Se você é o dono do carro tiverem negócios juntos, recomendo fazer um acordo por escrito.

Seguindo esses passos, lembre-se, essa operação deve ser realizada por um correspondente bancário, e jamais loja ou concessionária.

Feito isso, por exemplo com uma L200 2013, você irá levantar cerca de 50 mil reais em dinheiro.

Aplicado para sanar um capital de giro ou cheque especial de mesmo valor, você irá economizar de 3 a 4 mil reais por mês, manter o patrimônio, e equacionar as finanças.

Tudo isso evitando um refinanciamento de veículos e fazendo um financiamento tradicional de veículos.

Portabilidade Safra

A Portabilidade Safra de empréstimos consignados é uma opção para você que deseja trocar de banco ou diminuir os juros de seu empréstimo consignado. No entanto, essa opção de portabilidade foi criada recentemente e tem se tornado uma ferramenta ideal e prática para você que deseja se beneficiar de taxas de juros mais baixas.

Antes de realizar uma portabilidade, sempre procure a instituição financeira a qual possuí seu contrato para analisar a opção de refinanciamento.

Portabilidade Safra Como Funciona

Nem tudo são flores. Caro leitor, o Portal Consignados entende que nosso compromisso é com a verdade e nunca iríamos nos omitir ao grande número de reclamações que diariamente temos recebido. Portanto, o objetivo deste artigo é alem de lhe orientar a respeito é mostrar a você como funciona. Ademais, veremos quais as regras do banco Safra e quais são os principais problemas.

Conheça os grandes diferenciais do banco Safra disponibiliza para você:

  • Uma das mais rápidas liberações do Mercado
  • Processo simplificado evitando perca de tempo
  • O Banco Safra possuí uma das melhores taxas
  • Resolvemos para você em um piscar de olhos

Taxa de Juros

As taxas de juros podem variar de acordo com o prazo e período ao qual se contratou se empréstimo consignado. Contudo, uma recomendação que sempre damos é que se verifique qual foi a taxa de juros contratada no seu contrato antigo.

No entanto, também é importante que se faça a comparação com a taxa de juros cobrada na portabilidade de seu empréstimo consignado.

Prazo x Refinanciamento

Na maioria da vezes, a portabilidade é realizada mediante um refinanciamento. Aliás, a regra do Banco Central é que ao portar seu contrato, ele deverá manter o mesmo valor de parcela, quantidade de parcelas pagas e prazo.

Contudo, muitas vezes o cliente é abordado com esta informação, mas com a promessa que receberá um valor em troca. Isto é mentira! Ao fazer a portabilidade, seu contrato será refinanciado e voltará para o prazo inicial ou até mesmo para o prazo máximo conforme convênio.

Verdades e Mentiras

Claro que não acreditamos que parta do Banco alguns dos relatos de nossos clientes em relação a portabilidade do banco Safra.

No entanto, é importante que você saiba :

  1. A portabilidade em si não lhe libera valor algum. No entanto, somente ao refinanciar seu contrato após portar para o Banco que é liberado valores. Com isso, seu contrato volta ao início, ou seja, se pagou 12/72 ele volta para 0/72, ou seja, volta para o início.
  2. A portabilidade reduz a taxa de juros SIM, mas somente se for refinanciar seus contratos posteriormente. Caso contrário, permanece o mesmo prazo de financiamento.
  3. A portabilidade em média pode levar até 30 dias para ser liberada! Muitos clientes relatam que são informados que sai dentro de 7 dias úteis, o que não é verdade.

Na portabilidade é o banco ao qual detém seu contrato tem até 5 dias úteis para reter você cliente, ou seja, tem este prazo para lhe oferecer uma proposta melhor. No entanto, nada ocorre até finalizar este prazo de 5 dias úteis. Contudo, como poderia sair em 7 dias úteis? Fique esperto!

Nossa posição é imparcial e acreditamos que antes de optar pelo Banco Safra, seria de bom tom escutar todas as propostas no mercado.

O Portal Consignados não faz mais portabilidade com o Banco Safra devido o grande número de problemas e falta de respeito com o setor. Contudo, a decisão é totalmente sua.

Amparo Legal

A portabilidade de empréstimo consignado está regulamentada através da resolução Nº 4.292 de 20 de Dezembro de 2013 do Banco central do Brasil. Nesta resolução, estabelece a relação entre as instituições financeiras e clientes.

Ademais, essa atitude agiliza o processo e evita abusos por ambos os lados. Contudo, a portabilidade é um direito seu e nós do portal consignados fazemos valer.

Você sabia que o Portal Consignados é especialista em empréstimo consignado?

Com mais de 17 anos no Mercado de Empréstimo Consignado e com uma equipe treinada para lhe auxiliar na melhor decisão, no entanto o Portal Consignados trabalha em parceria com diversos bancos para lhe oferecer sempre o melhor negócio.

Portabilidade Daycoval

A Portabilidade Daycoval de empréstimos consignados é uma opção para você que deseja trocar de banco ou diminuir os juros de seu empréstimo consignado. Essa opção de portabilidade recentemente foi criada e tem se tornado uma ferramenta ideal e prática para você que deseja trocar de banco ou se beneficiar de taxas de juros mais baixas.

A Portabilidade Daycoval de Empréstimos Consignados é uma solução para você que deseja mudar de Banco e necessita de taxas baixas e receber algo em troco. Contudo, o Banco Daycoval é um dos melhores Bancos para você fazer portabilidade. Enfim, pela sua agilidade e facilidade, recomendamos o Daycoval fortemente.

Diferenciais na Portabilidade de empréstimos

Desfrute das vantagens que só o Banco Daycoval pode oferecer para você, como por exemplo:

  • Uma das mais rápidas liberações do Mercado
  • Processo simplificado evitando perca de tempo
  • O Banco Daycoval possuí uma das melhores taxas

Não se preocupe com nada, pois resolvemos para você em um piscar de olhos. Enfim, temos um time de especialistas.

Ademais, a Portabilidade Daycoval é muito simples e fácil de solicitar. Basta clicar no botão Solicite, escolher a opção Daycoval e preencher o formulário para que nosso time de consultores possa entrar em contato.

Taxa de Juros

As taxas de juros podem variar de acordo com o prazo e período ao qual se contratou se empréstimo consignado. Uma recomendação que sempre damos é que se verifique qual foi a taxa de juros contratada no seu contrato antigo e que se faça a comparação com a taxa de juros cobrada na portabilidade de seu empréstimo consignado.

Prazo x Refinanciamento

Na maioria da vezes a portabilidade é realizada mediante um refinanciamento, ou seja, a regra do banco central é que ao portar seu contrato ele deverá manter o mesmo valor de parcela, quantidade de parcelas pagas e prazo. Contudo, muitas vezes o cliente é abordado com esta informação, mas com a promessa que receberá um valor em troca. Isto é mentira! Ao fazer a portabilidade, seu contrato será refinanciado e voltará para o prazo inicial ou até mesmo para o prazo máximo conforme convênio.

Amparo Legal

A portabilidade de empréstimo consignado está regulamentada através da resolução Nº 4.292 de 20 de Dezembro de 2013 do Banco central do Brasil. Nesta resolução, estabelece a relação entre as instituições financeiras e clientes. Essa atitude agiliza assim o processo e evita abusos por ambos os lados. A portabilidade é um direito seu e nós do portal consignados fazemos valer.

Você Sabia?

A portabilidade é recomendada para clientes que possuam contratos com taxa de juros superiores as praticadas. Atualmente, clientes que possuam algum impedimento junto a instituição financeira que esteja pagando seu empréstimo consignado ou impedidas por alguma política de crédito que atualmente impeça de refinanciar seu contrato.

Portabilidade Aeronáutica

A Portabilidade Aeronáutica é destinada a militares da aeronáutica que desejam trocar de Banco e obter vantagens exclusivas, como taxas de juros menores, mas precisam de agilidade e menor burocracia. Contudo, temos um time de especialistas para você! Portanto, solicite uma avaliação sem compromisso.

Portabilidade Aeronáutica

A Portabilidade Aeronáutica possui características importantes que devem ser analisadas antes. Aliás, nossa avaliação é realizada por consultores experientes e contamos com as mais modernas ferramentas de pesquisas do mercado. No entanto, avaliamos as seguintes questões:

  • Viabilidade;
  • Política de Crédito;
  • Redução de Juros;
  • Maior retorno para o cliente;

O mais importante para nossa equipe é sempre proporcionar ao cliente condições melhores do que ele já tem. Por este motivo, trabalhamos com diversos bancos e cotamos com todos para encontrar a melhor opção.

Ademais, a Portabilidade da Aeronáutica é muito simples e fácil de solicitar. Basta clicar no botão Solicite, escolher a opção Aeronáutica e preencher o formulário para que nosso time de consultores possa entrar em contato.

Diferenciais Exclusivos

Existem várias razões para você mudar de banco. Vamos destacar algumas, como por exemplo:

  • Melhor Taxa de Juros
  • Política de Crédito do seu Banco não lhe favorece
  • Acessibilidade (Nosso Time fará a gestão de seus contratos)
  • Relacionamento

No Portal Consignados, você conta com um equipe focada em cada modalidade de empréstimo consignado existente no mercado. Por este motivo, nosso pessoal é especialista e poderá lhe prestar o melhor atendimento possível.

Taxa de Juros

As taxas de juros podem variar de acordo com o prazo e período ao qual se contratou se empréstimo consignado. Uma recomendação que sempre damos é que se verifique qual foi a taxa de juros contratada no seu contrato antigo e que se faça a comparação com a taxa de juros cobrada na portabilidade de seu empréstimo consignado.

Prazo x Refinanciamento

Na maioria da vezes a portabilidade é realizada mediante um refinanciamento, ou seja, a regra do banco central é que ao portar seu contrato ele deverá manter o mesmo valor de parcela, quantidade de parcelas pagas e prazo. Contudo, muitas vezes o cliente é abordado com esta informação, mas com a promessa que receberá um valor em troca. Isto é mentira! Quando existir troco é porque, ao fazer a portabilidade, seu contrato será refinanciado e voltará para o prazo inicial ou até mesmo para o prazo máximo conforme convênio.

Amparo Legal

A portabilidade de empréstimo consignado está regulamentada através da resolução Nº 4.292 de 20 de Dezembro de 2013 do Banco central do Brasil. Aliás, nesta resolução, estabelece a relação entre as instituições financeiras e clientes, agilizando assim o processo e evitando abusos por ambos os lados, a portabilidade é um direito seu e nós do portal consignados fazemos valer.

Você Sabia?

A portabilidade é recomendada para clientes que possuam contratos com taxa de juros superiores as praticadas. Atualmente, clientes que possuam algum impedimento junto a instituição financeira que esteja pagando seu empréstimo consignado ou impedidas por alguma política de crédito que atualmente impeça de refinanciar seu contrato.

Portabilidade Marinha do Brasil

A Portabilidade Marinha é destinada a militares da Marinha do Brasil. Contudo, esta modalidade de crédito consiste em transferir suas dívidas de empréstimos consignados para outro Banco, conseguindo assim uma redução de juros e valores a haver com a transferência da dívida.

Portabilidade Marinha

Como uma modalidade de crédito, a portabilidade possui características importantes e que devem ser analisadas com muita calma e atenção. Ademais, estaremos esclarecendo alguns pontos para ajudar na sua tomada de decisão na hora de fazer uma portabilidade de seus contratos.

Diferenciais na Portabilidade Marinha

Conheça alguns diferenciais da portabilidade Marinha, como por exemplo:

  • Negocia taxas de juros Menores
  • Seu Banco não está mais lhe atendendo? Mude de Banco
  • Todo o processo é Online
  • Não se preocupe com nada. Resolvemos para você em um piscar de olhos

Ademais, a portabilidade da Marinha é muito simples e fácil de solicitar. Basta clicar no botão Solicite, escolher a opção Marinha do Brasil e preencher o formulário para que nosso time de consultores possa entrar em contato.

Taxa de Juros

As taxas de juros podem variar de acordo com o prazo e período ao qual se contratou se empréstimo consignado. No entanto, uma recomendação que sempre damos é que se verifique qual foi a taxa de juros contratada no seu contrato antigo. Também é importante que se faça a comparação com a taxa de juros cobrada na portabilidade de seu empréstimo consignado.

Prazo x Refinanciamento

Na maioria da vezes, a portabilidade é realizada mediante um refinanciamento, ou seja, a regra do banco central é que ao portar seu contrato, ele deverá manter o mesmo valor de parcela, bem como a quantidade de parcelas pagas e prazo. Contudo, muitas vezes, o cliente é abordado com esta informação mas com a promessa que receberá um valor em troca. Isto é mentira! Quando existir troco, é porque ao fazer a portabilidade, seu contrato será refinanciado e voltará para o prazo inicial ou até mesmo para o prazo máximo conforme convênio.

Amparo Legal

A portabilidade de empréstimo consignado está regulamentada através da resolução Nº 4.292 de 20 de Dezembro de 2013 do Banco central do Brasil. Nesta resolução, estabelece a relação entre as instituições financeiras e clientes, agilizando assim o processo e evitando abusos por ambos os lados. Contudo, a portabilidade é um direito seu e nós do Portal Consignados fazemos valer.

Você Sabia?

A portabilidade é recomendada para clientes que possuam contratos com taxa de juros superiores as praticadas atualmente, clientes que possuam algum impedimento junto a instituição financeira que esteja pagando seu empréstimo consignado ou impedidas por alguma política de crédito que atualmente impeça de refinanciar seu contrato.

Portabilidade de Empréstimos Bonsucesso

A Portabilidade de empréstimos Bonsucesso  é uma opção para você que deseja trocar de banco ou diminuir os juros de seu empréstimo consignado. Recentemente criada, essa opção de portabilidade tem se tornado uma ferramenta ideal e prática para você que deseja trocar de banco ou se beneficiar de taxas de juros mais baixas.

A Portabilidade de Empréstimos Bonsucesso tem como sua maior virtude a agilidade e praticidade no processo. Enquanto isso, em muitos Bancos o processo parece nunca acabar. Contudo, no Bonsucesso a portabilidade ocorre de forma mais simples e rápida.

Diferenciais na Portabilidade de empréstimos Bonsucesso

Conheça os principais diferenciais da portabilidade que só o Banco Bonsucesso tem, como por exemplo:

  • Uma das mais rápidas liberações do Mercado
  • Processo simplificado evitando perca de tempo
  • O Banco Bonsucesso possui uma das melhores taxas
  • Não se preocupe com nada, pois resolvemos para você em um piscar de olhos.

Ademais, a Portabilidade Bonsucesso é muito simples e fácil de solicitar. Basta clicar no botão Solicite, escolher a opção Bonsucesso e preencher o formulário para que nosso time de consultores possa entrar em contato.

Taxa de Juros

As taxas de juros podem variar de acordo com o prazo e período ao qual se contratou se empréstimo consignado. No entanto, uma recomendação que sempre damos é que se verifique qual foi a taxa de juros contratada no seu contrato antigo.

Sempre faça a comparação com a taxa de juros cobrada na portabilidade de seu empréstimo consignado.

Prazo x Refinanciamento

Na maioria da vezes, a portabilidade é realizada mediante um refinanciamento. No entanto, a regra do Banco Central é que ao portar seu contrato, ele deverá manter o mesmo valor de parcela, quantidade de parcelas pagas e prazo. Contudo, muitas vezes o cliente é abordado com esta informação, mas com a promessa que receberá um valor em troca. Isto é mentira! Ao fazer a portabilidade, seu contrato será refinanciado e voltará para o prazo inicial ou até mesmo para o prazo máximo conforme convênio.

Amparo Legal

A portabilidade de empréstimo consignado está regulamentada através da resolução Nº 4.292 de 20 de Dezembro de 2013 do Banco Central do Brasil. Nesta resolução, estabelece a relação entre as instituições financeiras e clientes agilizando assim, o processo e evitando abusos por ambos os lados. Enfim, a portabilidade é um direito seu e nós do Portal Consignados fazemos valer.

Você Sabia?

A portabilidade é recomendada para clientes que possuam contratos com taxa de juros superiores as praticadas. Atualmente, clientes que possuam algum impedimento junto a instituição financeira que esteja pagando seu empréstimo consignado ou impedidas por alguma política de crédito que atualmente impeça de refinanciar seu contrato.

Portabilidade de Empréstimos BMG

A Portabilidade de empréstimos BMG consignados é uma opção para você que deseja trocar de banco ou diminuir os juros de seu empréstimo consignado. Contudo, essa opção de portabilidade foi recentemente criada. Ela tem se tornado uma ferramenta ideal e prática para você que deseja trocar de banco ou se beneficiar de taxas de juros mais baixas.

Como uma modalidade de crédito, a portabilidade de empréstimos BMG consignados possui características importantes que deverão ser analisadas com muita calma e atenção!

Diferenciais na Portabilidade de empréstimos BMG

O Banco BMG é líder de mercado e existem várias razões para você mudar de banco. Contudo, vamos destacar algumas:

  • Temos uma das mais rápidas liberações do Mercado
  • Seu Banco não está mais lhe atendendo? Mude de Banco
  • Troque juros maiores por juros menores
  • Não se preocupe com nada resolvemos para você em um piscar de olhos

Ademais, a Portabilidade de Empréstimos BMG é muito simples e fácil de solicitar. Basta clicar no botão Solicite, escolher a opção BMG e preencher o formulário para que nosso time de consultores possa entrar em contato.

Taxa de Juros

As taxas de juros podem variar de acordo com o prazo e período ao qual se contratou se empréstimo consignado.

Uma recomendação que sempre damos é que se verifique qual foi a taxa de juros contratada no seu contrato antigo e que se faça a comparação com a taxa de juros cobrada na portabilidade de seu empréstimo consignado.

Informações importantes

Algumas informações sobre o produto Portabilidade devem ser consideradas, como por exemplo:

  • Na portabilidade, o valor da parcela permanece o mesmo – Verdade
  • Ao portar minha dívida, reduzo a taxa de juros – Verdade
  • Recebo uma diferença ao fazer uma portabilidade – Verdade

Na maioria da vezes, a portabilidade é realizada mediante um refinanciamento. Isso significa que a regra do banco central é que ao portar seu contrato, ele deverá manter o mesmo valor de parcela, quantidade de parcelas pagas e prazo.

Muitas vezes, o cliente é abordado com esta informação, mas com a promessa que receberá um valor em troca. Isto é mentira!

Quando existir troco, é porque ao fazer a portabilidade, seu contrato será refinanciado. Com isso, voltará para o prazo inicial ou até mesmo para o prazo máximo conforme convênio.

Amparo Legal

A portabilidade de empréstimo consignado está regulamentada através da resolução Nº 4.292 de 20 de Dezembro de 2013 do Banco Central do Brasil. Nesta resolução, estabelece a relação entre as instituições financeiras e clientes.

Agilizando assim o processo e evitando abusos por ambos os lados, a portabilidade é um direito seu e nós do portal consignados fazemos valer.

Você Sabia?

A portabilidade é recomendado para clientes que possuam contratos com taxa de juros superiores as praticadas atualmente? Clientes que possuam algum impedimento junto a instituição financeira que esteja pagando seu empréstimo consignado ou impedidas por alguma política de crédito que atualmente impeça de refinanciar seu contrato.

Consignado Siape Previna

O Empréstimo Consignado SIAPE Previna possui taxas de juros bem acessíveis para você Servidor Federal. Contudo, as parcelas são descontadas direto de sua folha de pagamento (holerite) com taxas de juros mais baixas e prazos mais longos para pagar.

Confira algumas das vantagens do Consignado SIAPE Previna, por exemplo:

  • Não restringe SPC ou SERASA
  • Prazos de 36 até 96 meses para pagar
  • Faz empréstimos para analfabetos
  • Limite de idade até 85 anos ao final do contrato
  • Desconto em folha
  • Taxa de Juros Menores

Ademais, o consignado Siape Previna é muito simples e fácil de solicitar. Basta clicar no botão Solicite, escolher a opção Empréstimo Consignado Siape Previna e preencher o formulário para que nosso time de consultores possa entrar em contato.

Público Alvo

Atendidos: Ademais, os servidores Federais que podem fazer o empréstimo consignado são:

  • Servidores ativo permanente
  • Emprego Público
  • Cedidos
  • Aposentados e pensionistas
  • Beneficiário Pensão
  • Emprego Público
  • Anistiado
  • Celetista

Não atendidos: Ademais, os servidores Federais que NÃO poderão fazer empréstimo consignado são:

  • Estágiário
  • Aprendiz
  • Em disponibilidade
  • Contratos temporários
  • Sem vínculo
  • Requisitado

Aliás, nosso time de consultores está preparado em realizar consultas personalizadas a fim de proporcionar à você cliente, todas as opções possíveis em crédito. Contudo, as principais são:

  • Empréstimo Novo (Condicionado a sua Margem dos 30%)
  • Refinanciamento
  • Portabilidade
  • Cartão de Crédito Consignado (Condicionado a sua margem dos 5%)

Nosso foco é analisar qual a melhor opção para você. Por isso, gostamos de colocar à sua disposição todas as possibilidades, mas a escolha é sempre sua.

Regulamentação

O Consignado Siape Previna possui uma legislação específica para preservar seu direito, que é a Lei 10.820. Contudo, nesta lei está previsto o pagamento com desconto em folha e as condições gerais do empréstimo consignado.

Política de idade

Enfim, o empréstimo consignado Siape Previna tem políticas de crédito especificas. Aliás, uma delas é o limite de crédito conforme a idade do cliente. Portanto, confira as condições:

  • Idade mínima: 18 anos (início do contrato)
  • Idade máxima: 85 anos (final do contrato)
  • Valor máximo liberado: R$ 70.000,00

Política de Crédito

Contudo, conheça algumas particularidades do Empréstimo Consignado Siape Previna:

  • subtrai 7,00 de margem
  • Limitado a 8 contratos por matrícula.

Documentação Necessária

  • RG ou CNH
  • CPF
  • 3 últimos contra-cheques
  • Comprovante de Residência Atual

Poderá ser solicitado documentos adicionais, conforme convênio e política de aprovação da Instituição Financeira.

Empréstimo Servidor Federal PAN

No Empréstimo Servidor Federal PAN, você pode contar com taxas de juros baixas e muita agilidade na sua liberação. Aliás, tradição e confiança você encontra no Banco Panamericano. Contudo, solicite sem Compromisso uma pesquisa de nossos consultores, e realize seu empréstimo sem sair de casa.

Os clientes PAN têm condições especiais na hora de contratar seu empréstimo consignado SIAPE e contam com a agilidade e tradição do Banco PAN. Contudo, com aporte financeiro da Caixa Econômica Federal, o Banco Panamericano hoje é um dos lideres de mercado em diversas modalidades de crédito voltados a Servidores Públicos Federais. Se destacam, por exemplo:

  • Empréstimo Novo
  • Refinanciamento
  • Portabilidade
  • Cartão de Crédito Consignado

O PAN sempre deixa a porta aberta para você. Com um dos mais flexíveis refinanciamentos do mercado, é uma excelente pedida para você que necessita de crédito e, muitas vezes, está sem margem.

Ademais, o empréstimo consignado servidor federal Pan é muito simples e fácil de solicitar. Basta clicar no botão Solicite, escolher a opção Empréstimo Servidor Federal Pan e preencher o formulário para que nosso time de consultores possa entrar em contato.

Público Alvo

O Empréstimo Servidor Federal PAN é destinado ao seguinte público:

  • Servidores Federais Ativos
  • Servidores Federais Inativos
  • Servidores Federais Aposentados
  • Servidores Federais Pensionistas

Pensão vitalícia

No entanto, os beneficiários de Pensão Vitalícia seja do sexo Masculino ou Feminino estão habilitados para contratar. Os Beneficiários de Pensão temporária do sexo Feminino, devem ter mais de 25 anos com data de término da pensão no contracheque.

O Contrato deverá encerrar 3 meses antes da data do término da pensão.

Margem de segurança

Aliás, o Banco Panamericano aceita a reserva de até 100% de sua margem consignável dos 30% para empréstimos.

Regulamentação

O Empréstimo Servidor Federal PAN possui uma legislação específica para preservar seu direito, que é a Lei 10.820. Contudo, nesta lei, está previsto o pagamento com desconto em folha e as condições gerais do empréstimo consignado.

Politica de idade

O Banco Panamericano tem políticas de crédito especificas e, uma delas, é o limite de crédito conforme a idade do cliente. Contudo, confira as condições:

Parâmetro de Idade Limite de Crédito Prazo de Contratação
De 22 a 65 anos Até 250.000,00 96 Parcelas
De 66 a 69 anos Até 180.000,00 96 Parcelas
70 a 73 anos Até 100.000,00 96 Parcelas
74 a 75 anos Até 60.000,00 72 Parcelas
76 a 77 anos Até 50.000,00 48 Parcelas
78 a 79 anos Até 10.000,00 24 Parcelas
80 anos ou mais  Não faz Não faz

Política de Crédito

Conheça algumas das particularidades da política de crédito do Banco PAN:

  • Limitado a 8 contratos por matrícula
  • Refinanciamento após 28% pago
  • Não abate margem negativa
  • Não unifica parcelas no Refinanciamento
  • Está operando compra com boleto de bancos que não estão na CIP, desde que a parcela seja superior a R$ 90,00
  • Margem de segurança de apenas R$ 1,00

Liberação de Crédito para Pensionistas Temporários:

Beneficiário Pensão e Pensionista :

  • Vitalício Masculino e Vitalício feminino;
  • Pensionista temporário:
  • Feminino acima de 25 anos completos*

*(contrato deve ser encerrado 3 meses antes da data do término da pensão).

Documentação

Conheça a documentação necessária exigida pelo Banco Panamericano para contratar seu Consignado SIAPE.

  • Carteira de Identidade
  • CPF
  • Ultimo Contracheque
  • Comprovante de Residência Atual

Ademais, poderá ser solicitado documentos adicionais conforme convênio e política de aprovação da Instituição Financeira.

Empréstimo Consignado SIAPE BMG

O Empréstimo Consignado SIAPE BMG tem o desconto direto em folha (holerite) com taxas de juros mais baixas e prazos mais longos para pagar. No entanto, não é necessário ter nome limpo ou conta em banco.

O empréstimo consignado Servidor  Federal tem taxas de juros menores e prazos de até 96 meses para pagar, além de oferecer aos servidores muitas vantagens. Descubra agora as vantagens de fazer um empréstimo consignado Servidor Federal, como por exemplo:

  • Sem Consulta no SPC ou SERASA
  • Parcelas Fixas
  • Prazos de até 96 meses para pagar
  • Desconto em folha
  • Taxa de Juros Menores

Ademais, o Consignado Prefeitura Vitória é muito simples e fácil de solicitar. Basta clicar no botão Solicite, escolher a opção Prefeitura de Vitória – ES e preencher o formulário para que nosso time de consultores possa entrar em contato.

Público Alvo

Esta modalidade de crédito está destinada ao seguinte público:

  • Servidores Federais da Ativa
  • Servidores Federais Inativos
  • Servidores Federais Aposentados
  • Servidores Federais Pensionistas

Todo Servidor Público Federal que receba através do SIAPE, está habilitado a contratar seu empréstimo consignado. Contudo, para maiores detalhes sobre a política de crédito do Banco BMG, recomendamos que leia a Guia “Política de Crédito” ao lado.

Margem Consignável

Nosso time de consultores estão preparados em realizar consultas personalizadas a fim de proporcionar a você cliente todas as opções possíveis em crédito. No entanto, as principais são:

  • Empréstimo Novo (Condicionado a sua Margem dos 30%)
  • Refinanciamento
  • Portabilidade
  • Cartão de Crédito Consignado (Condicionado a sua margem dos 5%)

Nosso foco é analisar qual a melhor opção para você por isso gostamos de colocar a sua disposição todas as possibilidades, mas a escolha é sempre sua.

Amparo Legal

Contudo, o Empréstimo Consignado SIAPE BMG possui uma legislação específica para preservar seu direito, que é a Lei 10.820. Nesta lei, está previsto o pagamento com desconto em folha e as condições gerais do empréstimo consignado.

Política de Crédito

Conheça algumas das particularidades da política de crédito do Banco BMG, como por exemplo:

  • Limitado a 8 contratos por matrícula
  • Refinanciamento após 10% pago
  • Não abate margem negativa
  • Não unifica parcelas no Refinanciamento
  • Não faz portabilidade
  • Margem de segurança de apenas R$ 1,00

Se você é servidor Federal e está necessitando de um empréstimo, o empréstimo consignado Servidor Federal é a opção certa para você. Contudo, além de rápido e prático, você ainda conta com uma taxa de juros diferenciada e prazos mais longos para pagar.

Consulte também nossas opções para Refinanciamento, Portabilidade e Cartões de Crédito Consignado.

Liberação de Crédito para Pensionistas Temporários:

Pensão Vitalicia

  • Sexo Masculino libera acima de 21 anos
  • Sexo Feminino libera acima de 21 anos

Pensão Temporária

  • Sexo Masculino não Libera
  • Sexo Feminino libera acima de 25 anos

Documentação Necessária

Ademais, os documentos necessários para a contratação de seu empréstimo consignado exigidos pelo banco BMG são:

  • RG
  • CPF
  • Comprovante de Residência (Vencimento máximo de 60 dias)
  • Ultimo Contracheque

A apresentação de todos os documentos de forma legível e dentro dos prazos de validade, ajudam a agilizar seu empréstimo.

Banco Bonsucesso Empréstimo SIAPE

Banco Bonsucesso Empréstimo SIAPE é mais um produto exclusivo do Banco Bonsucesso. Aliás, possui taxas de juros bem acessíveis para você Servidor Federal. Contudo, sem consulta ao SPC e com Desconto em Folha.

O Banco Bonsucesso é um dos Bancos com a menor taxa de juros para contratar seu empréstimo consignado. Contudo, recomendamos que faça a leitura correta do público alvo. Ademais, uma das vantagens oferecidas pelo Bonsucesso é o limite de crédito por CPF que pode chegar até R$ 150.000,00, um dos maiores do setor. Confira algumas das vantagens do Consignado SIAPE do Bonsucesso, por exemplo:

  • Sem Consulta no SPC ou SERASA
  • Parcelas Fixas
  • Prazos de até 96 meses para pagar
  • Desconto em folha
  • Taxa de Juros Menores

Ademais, o Consignado Prefeitura Vitória é muito simples e fácil de solicitar. Basta clicar no botão Solicite, escolher a opção Prefeitura de Vitória – ES e preencher o formulário para que nosso time de consultores possa entrar em contato.

Público Alvo

Atendidos: Ademais, os servidores Federais que podem fazer o empréstimo consignado são:

  • Servidores efetivos civis
  • Servidores efetivos militares
  • Cedidos
  • Aposentados e pensionistas da Administração Direta e Indireta
  • Pensão Temporária (Sexo Feminino , maior de 25 anos)
  • Militares do Distrito Federal e anistiados públicos e privados
  • Pensão temporária partilhada entre beneficiários
  • Anistiados públicos e privados
  • Aposentados e pensionistas do órgão FUNASA.

Não atendidos: Ademais, os servidores Federais que NÃO poderão fazer empréstimo consignado são:

  • Servidores efetivos com cargo em comissão
  • Comissionados
  • Celetistas
  • Contratados
  • Contratados temporários
  • Sem vínculo
  • Requisitado
  • Excedente a LOT/MRE
  • Pensão temporária – sexo masculino, nomeado a cargo de confiança
  • Quadro Especial situação 97 e 98

Servidores lotados nos órgãos, por exemplo:

  • Efetivos do FUNASA
  • Fundação Nacional de Saúde,
  • FUNALFA
  • Fundação Cultural Alfredo Ferreira Lage
  • FUNAI
  • Fundação Nacional do Índio
  • EMBRAPA
  • Empresa Brasileira de Pesquisa Agropecuária
  • SERPRO
  • Serviço Federal de Processamento
  • CONAB
  • Companhia Nacional de Abastecimento
  • INSTITUTO NACIONAL DE SEGURO SOCIAL

Aliás, nosso time de consultores está preparado em realizar consultas personalizadas a fim de proporcionar à você cliente, todas as opções possíveis em crédito. Contudo, as principais são:

  • Empréstimo Novo (Condicionado a sua Margem dos 30%)
  • Refinanciamento
  • Portabilidade
  • Cartão de Crédito Consignado (Condicionado a sua margem dos 5%)

Nosso foco é analisar qual a melhor opção para você. Por isso, gostamos de colocar à sua disposição todas as possibilidades., mas a escolha é sempre sua.

Regulamentação

O Banco Bonsucesso Empréstimo SIAPE possui uma legislação específica para preservar seu direito, que é a Lei 10.820. Contudo, nesta lei está previsto o pagamento com desconto em folha e as condições gerais do empréstimo consignado.

Política de idade

Enfim, o Banco BMG tem políticas de crédito especificas. Aliás, uma delas é o limite de crédito conforme a idade do cliente. Portanto, confira as condições:

  • Idade mínima: 18 anos
  • Idade mínima para Pensionistas: 25 anos
  • Valor mínimo liberado via Ted: 250,00
  • Valor máximo liberado por CPF: R$ 150.000,00
  • Idade ao final do contrato: 74 anos e 11 meses

Pensionistas Temporários

Aliás, somente é atendido pensionista temporário com idade superior a 25 anos e do sexo feminino.

Política de Crédito

Contudo, conheça algumas particularidades do Banco Bonsucesso Empréstimo SIAPE:

  • subtrai 5,00 de margem
  • Faz com margem negativa no Refin (Abate o negativo e deixa R$5,00 (Cinco reais) de margem livre)
  • Limitado a 4 contratos por matrícula.
  • Refinanciamento 20% parcelas pagas
  • Unifica parcelas
  • Agrega margem
  • Acata margem negativa na portabilidade.
  • Faz compra com boleto de bancos que não estão na CIP

Documentação Necessária

  • Carteira de Identidade
  • CPF
  • Ultimo Contracheque
  • Comprovante de Residência Atual

Poderá ser solicitado documentos adicionais, conforme convênio e política de aprovação da Instituição Financeira.

SABEMI Empréstimos Consignados SIAPE

A SABEMI é uma seguradora e, por isso, algumas condições são diferenciadas para contratação de empréstimos. Recomendamos que leia atentamente a descrição do produto. Contudo, caso tenha alguma dúvida, temos consultores preparados para lhe ajudar.

Um dos grandes diferenciais da SABEMI é justamente poder liberar empréstimo consignado para servidores federais temporários. Portanto, para os demais casos, consulte e avalie a taxa de juros antes de contratar.

Temos consultores preparados para simular para você. Consulte algumas das vantagens exclusivas que só a SABEMI tem:

  • Sem Consulta no SPC ou SERASA
  • Parcelas Fixas
  • Prazos de até 96  meses para pagar
  • Desconto em folha
  • Taxa de Juros Menores

Ademais, o empréstimo consignado Sabemi Siape é muito simples e fácil de solicitar. Basta clicar no botão Solicite, escolher a opção Sabemi Empréstimos Consignados Siape e preencher o formulário para que nosso time de consultores possa entrar em contato.

Público alvo

A SABEMI disponibiliza esta modalidade de crédito cuja folha de pagamento é processada pelo SIAPE aos seguintes tipos de servidores:

  • Servidores Federais ativos.
  • Servidores Inativos.
  • Servidores Aposentados.
  • Servidores Pensionistas.

Se você é servidor Federal e está necessitando de um empréstimo o empréstimo consignado Servidor Federal é a opção certa para você. No entanto, além de rápido e prático, você ainda conta com uma taxa de juros diferenciada e prazos mais longos para pagar.

Margem de segurança

Deverá ser subtraída da margem o valor de R$ 1,00 para efeito de calculo de margem. Contudo, essa subtração é afim de obter segurança na operação.

Regulamentação

A SABEMI Empréstimos Consignados possui uma legislação específica para preservar seu direito, que é a Lei 10.820. Contudo, nesta lei está previsto o pagamento com desconto em folha e as condições gerais do empréstimo consignado.

Política de crédito e idade

Segue abaixo os limites de crédito conforme faixa etária:

  • De 21 a 64 anos de idade – Limite de R$ 120.000,00
  • De 65 a 69 anos de idade – Limite de R$ 100.000,00

Os pensionistas vitalícios do sexo feminino podem contratar o empréstimo consignado sem problemas.

Os pensionistas do sexo masculino serão questionados o motivo da pensão.

TAC – Taxa de abertura de crédito

Por ser uma seguradora, existe a cobrança de TAC para contratações de empréstimos pela SABEMI, no valor de R$ 15,00.

Lembrando que a cobrança de TAC é feita apenas por seguradoras e financeiras. Contudo, os demais bancos não fazem este tipo de cobrança. O valor cobrado é embutido no financiamento.

Pensão temporária

Existe algumas restrições para Pensão temporária, as quais são:

  • Sexo Feminino – Temporários sem prazo de término – Pode contratar
  • Sexo Feminino – Temporários com prazo de término – Não pode contratar
  • Sexo Masculino -Temporários sem prazo de término – Pode contratar
  • Sexo Masculino -Temporários com prazo de término – Não pode contratar

O pensionista do sexo masculino que recebe pensão temporária só poderá contratar caso tenha mais de 40 anos.

Número de averbações

Está limitado a 2 linhas para aprovação por parte do banco, ou seja, dois empréstimos.

Refinanciamento

É permitido o refinanciamento com 18 parcelas pagas, podendo agregar margem e unificar parcelas.

Portabilidade

Por se tratar de uma seguradora não existe portabilidade e sim, compra de dívida, mas para isso é necessário o boleto bancário do banco credor. Consulte clicando aqui os Bancos que fazem portabilidade SIAPE.

Regulamentação

A SABEMI Empréstimos Consignados possui uma legislação específica para preservar seu direito, que é a Lei 10.820. Contudo, nesta lei, está previsto o pagamento com desconto em folha e as condições gerais do empréstimo consignado.

Documentação necessária

A SABEMI exige que o cliente tenha um telefone de conta para validar a operação e apresente os documentos, como por exemplo:

  • RG
  • CPF
  • Comprovante de Renda (Ultimo Contracheque)

As regras, bem como os documentos, podem sofrer alteração sem prévio aviso.

Empréstimo SIAPE Bradesco

O empréstimo SIAPE Bradesco oferece no mercado uma das menores taxas de juros. Contudo, é fácil e Prático. Aliás, no Bradesco você vai perceber agilidade e condições especiais para seu empréstimo consignado. Solicite agora mesmo uma avaliação.

O empréstimo SIAPE Bradesco tem taxas de juros menores e prazos de até 96 meses para pagar além de oferecer aos servidores muitas vantagens. Enfim, descubra agora as vantagens de fazer um empréstimo consignado Servidor Federal:

  • Sem Consulta no SPC ou SERASA
  • Parcelas Fixas
  • Prazos de até 96 meses para pagar
  • Desconto em folha
  • Taxa de Juros Menores

Se você é servidor Federal e está necessitando de um empréstimo, certamente o empréstimo consignado Servidor Federal é a opção certa para você. Contudo, além de rápido e prático, você ainda conta com uma taxa de juros diferenciada e prazos mais longos para pagar.

Ademais, o empréstimo consignado Siape Bradesco é muito simples e fácil de solicitar. Basta clicar no botão Solicite, escolher a opção Empréstimo Siape Bradesco e preencher o formulário para que nosso time de consultores possa entrar em contato.

Público Alvo

O Empréstimo SIAPE Bradesco tem como principal característica sua agilidade e taxas de juros competitivas. No entanto, está disponível para o seguinte público:

  • Servidores Federais Ativos
  • Servidores Federais Inativos
  • Servidores Federais Aposentados
  • Servidores Federais Pensionistas

Para poder contratar sua folha de pagamento, está deverá ser processada pelo SIAPE.

Margem de segurança

No Bradesco você pode utilizar 100% de sua margem e pode ter até 9 contratos por Servidor. Contudo, terá o mínimo de R$ 20,00 de parcela à R$ 300,00 de liberação.

Regulamentação

O Empréstimo SIAPE Bradesco possui uma legislação específica para preservar seu direito, que é a Lei 10.820. Contudo, nesta lei está previsto o pagamento com desconto em folha e as condições gerais do empréstimo consignado.

Políticas de crédito

O Banco Bradesco tem políticas de crédito especificas. No entanto, uma delas é o limite de crédito conforme a idade do cliente. Portanto, confira as condições:

Parâmetro de Idade Limite de Crédito Prazo de Contratação
De 18 a 70 anos Até 300.000,00 96 Parcelas
De 71 a 76 anos Até 80.000,00 72 Parcelas
77 anos Até 10.000,00 60 Parcelas
78 anos Até 10.000,00 48 Parcelas

Particularidades Bradesco

Ademais, conheça algumas das particularidades da política de crédito do Banco Bradesco:

  • Limitado a 9 contratos por matrícula
  • Refinanciamento após 15% pago
  • Não abate margem negativa
  • Não unifica parcelas no Refinanciamento
  • Não faz portabilidade

Pensionistas

Enfim, para Pensionistas Federais, o Bradesco aceita as seguintes situações:

  • Pensão Graciosa;
  • Pensionista do Sexo Masculino e Feminino desde que vitalícios;
  • Pensionista temporário do sexo feminino, sem prazo para término de pensão.

Como é feita nossa pesquisa?

O Portal Consignados, ao receber sua solicitação, avalia também:

  • Empréstimo Novo (Condicionado a margem)
  • Refinanciamento
  • Portabilidade
  • Cartão de Crédito Consignado

Empréstimo novo

Contudo, o Empréstimo novo está condicionado a sua margem consignável, a qual estaremos analisando através do portal SIGEPE.

Refinanciamento

O Refinanciamento utiliza como base as parcelas já pagas de seus empréstimos, podendo ser do Bradesco ou não. Aliás, temos várias opções de Bancos para Refinanciar.

Portabilidade

A portabilidade segue a mesma regra do refinanciamento, porém você transfere sua dívida para outro banco com taxas de juros menores e fica com o troco. Realizamos uma analise de viabilidade. Muitas vezes, o Refinanciamento é a melhor opção.

Cartao de crédito consignado

Agora, você que é Servidor Público Federal pode utilizar seus 5% de margem para solicitar o cartão de crédito consignado. O grande diferencial deste cartão é que além dos juros serem 400% menores, você ainda pode sacar até 98% do seu limite.

Documentação Necessária

Para pode contratar seu empréstimo SIAPE Bradesco, é necessário portar os seguintes documentos:

  • RG
  • CPF
  • Ultimo Contracheque
  • Comprovante de Residência

*O Comprovante de residência não pode ter data de vencimento superior a 60 dias e somente é aceito contas de consumo. Caso tenha dúvidas, nosso time de consultores está preparado para lhe ajudar.

Consignado SIAPE BV Financeira

O consignado SIAPE BV Financeira tem um dos maiores limites de crédito do mercado para você que tem entre 79 a 80 anos. Enfim, para os demais clientes, o ponto forte da BV Financeira para Servidores Federais é a taxa de juros e agilidade na liberação do crédito. Contudo, solicite uma avaliação sem compromisso.

Consignado SIAPE BV – Vantagens

Se você é Servidor Público Federal, com certeza já ouviu falar na BV Financeira. Ademais, há anos no mercado vem se destacando pelos seguintes motivos:

  • Agilidade;
  • Taxas de Juros Competitivas;
  • Maior Limite por Faixa de Idade superior a 78 anos;
  • Sem Burocracia.

A BV Financeira conta com o aporte financeiro do Banco do Brasil, um dos maiores do mercado de crédito.

Ademais, o empréstimo consignado Siape BV é muito simples e fácil de solicitar. Basta clicar no botão Solicite, escolher a opção Consignado Siape BV Financeira e preencher o formulário para que nosso time de consultores possa entrar em contato.

Público Alvo

Todos os Servidores Públicos Federais Ativos, inativos, aposentados e pensionistas que sua folha de pagamento seja processada pelo SIAPE

Margem x Outras Opções

Enfim, nosso time de consultores estão preparados em realizar consultas personalizadas a fim de proporcionar a você cliente, todas as opções possíveis em crédito. As principais são:

  • Empréstimo Novo (Condicionado a sua Margem dos 30%)
  • Refinanciamento
  • Portabilidade
  • Cartão de Crédito Consignado (Condicionado a sua margem dos 5%)

Contudo, nosso foco é analisar qual a melhor opção para você. Por isso, gostamos de colocar a sua disposição todas as possibilidades, mas a escolha é sempre sua.

Regulamentação

O Empréstimo Consignado da BV Financeira possui uma legislação específica para preservar seu direito, que é a Lei 10.820. Contudo, nesta lei está previsto o pagamento com desconto em folha e as condições gerais do empréstimo consignado.

Políticas de idade

Afinal, a BV Financeira tem políticas de crédito específicas. Uma delas é o limite de crédito conforme a idade do cliente. Confira as condições:

Parâmetro de Idade Limite de Crédito Prazo de Contratação
de 18 a 72 anos Até Limite da Margem 96 Parcelas
De 73 a 75 anos Até 80.000,00 96 Parcelas
de 76 a 78 anos Até 60.000,00 96 Parcelas
De 79 a 80 anos Até 40.000,00 96 Parcelas

Política de Crédito

Enfim, conheça algumas das particularidades da política de crédito da BV Financeira:

Regras gerais

  • Limitado a 9 contratos por matrícula
  • Refinanciamento após 30% pago
  • Não abate margem negativa
  • Não unifica parcelas no Refinanciamento
  • Não faz portabilidade
  • Margem de segurança de apenas R$ 1,00

Pensão Vitalicia

  • Sexo Masculino libera acima de 21 anos
  • Sexo Feminino libera acima de 21 anos

Pensão Temporária

  • Sexo Masculino não Libera
  • Sexo Feminino libera acima de 25 anos

Documentação

  • Carteira de Identidade
  • CPF
  • Ultimo Contracheque
  • Comprovante de Residência Atual

Poderá ser solicitado documentos adicionais conforme convênio e política de aprovação da Instituição Financeira.

Empréstimo Federal Daycoval

O Empréstimo Federal Daycoval é mais uma opção em Banco que o Portal Consignados traz para você. Disponível para Servidores Federais da Ativa, Inativos, Aposentados e Pensionistas. Contudo, poderá também atender servidores Celetistas. Aliás, é também a que possui um dos maiores limites de crédito do Mercado por faixa etária.

Empréstimo Federal Daycoval + Vantagens

O empréstimo Federal Daycoval tem muitas particularidades importantes que fazem toda a diferença para você. Contudo, conheça algumas das vantagens que só o Banco Daycoval tem:

  • Sem Consulta no SPC ou SERASA
  • Parcelas Fixas
  • Prazos de até 96 meses para pagar
  • Desconto em folha
  • Taxa de Juros Menores

Aliás, ee você é servidor Federal e está necessitando de um empréstimo, o empréstimo consignado Servidor Federal é a opção certa para você. Contudo, além de rápido e prático, você ainda conta com uma taxa de juros diferenciada e prazos mais longos para pagar.

Documentação

  • Carteira de Identidade
  • CPF
  • Ultimo Contracheque
  • Comprovante de Residência Atual

Poderá ser solicitado documentos adicionais conforme convênio e política de aprovação da Instituição Financeira.

Público Alvo

O Banco Daycoval se destaca por atender um dos maiores públicos dentro do Funcionalismo Federal, como por exemplo:

  • Servidores Federais Ativos;
  • Servidores Federais Inativos;
  • Servidores Federais Aposentados;
  • Servidores Federais Pensionistas;
  • Servidores Federais Celetistas.

Contudo, um dos maiores problemas para o servidor público na hora de contratar seu empréstimo consignado é justamente seu regime de contratação. Muitos Servidores Celetistas tem tido poucas opções para contratar seus empréstimos. Contudo, no Daycoval você, Servidor Celetista, tem crédito também.

Os Servidores Celetistas poderão contratar seu empréstimo até 65 anos e seu limite de crédito é de R$ 100.000,00.

Margem consignável

É utilizado os seguintes critérios de margem para contratações:

  • Margem de 30% para Empréstimos
  • Margem de 5% para Cartões

A Margem dos 30% é utilizada para contratar empréstimos. Contudo, o Daycoval solicita que seja subtraído de sua margem o valor de R$ 1,00 por segurança.

A margem dos 5% é destinada exclusivamente para contratação de Cartões de Crédito. Ademais, está limitado a 1 cartão por matrícula.

Regulamentação

O Empréstimo Federal Daycoval possui uma legislação específica para preservar seu direito, que é a Lei 10.820. Aliás, nesta lei está previsto o pagamento com desconto em folha e as condições gerais do empréstimo consignado.

Políticas de idade

O Banco Daycoval tem políticas de crédito especificas. No entanto, uma delas é o limite de crédito conforme a idade do cliente. Confira as condições:

Parâmetro de Idade Limite de Crédito Prazo de Contratação
De 21 a 69 anos Até 250.000,00 96 Parcelas
De 70 a 74 anos Até 50.000,00 96 Parcelas

Políticas de Crédito

Conheça algumas das particularidades da política de crédito do Banco BMG:

  • Limitado a 9 contratos por matrícula
  • Refinanciamento após 10% pago
  • Não abate margem negativa
  • Não unifica parcelas no Refinanciamento
  • Não faz portabilidade
  • Margem de segurança de apenas R$ 1,00

Liberação de Crédito para Pensionistas Temporários:

Pensão Vitalicia

  • Sexo Masculino libera acima de 21 anos
  • Sexo Feminino libera acima de 21 anos

Pensão Temporária

  • Sexo Masculino não Libera
  • Sexo Feminino libera acima de 25 anos

Como evitar fraudes no empréstimo Imobiliário

Uma das maiores dores de cabeça de qualquer tomador de empréstimo com garantia de imóveis é deparar-se com seu patrimônio prejudicado.

O que muita gente não sabe, é que empresas que prestam esses serviços precisam ter contrato com os bancos representados. No entanto, muitos “operadores” representam informalmente esse produto.

“Apesar da grande vantagem de juros do empréstimo com garantia de imóveis, a operação pode se tornar um tormento nas mãos de amadores”- É o que nos diz Andre Ruston, da Ruston SF,  Servicos Financeiros.

Segundo o fundador, que já está no mercado a mais de dez anos, e participou da inauguração das primeiras lojas do BM Sua casa em São Paulo, a vantagem exige cuidados:

“Muita coisa mudou em dez anos, e justamente por  tratar-se da operação com menor juros real no país, é o serviço atrai pessoas que abusam  da inocência dos clientes”

Ele lista seia passos para uma operacao bem realizada para quem deseja contratar empréstimos com garantia imobiliária em 2018.

1.Verifique com o banco se o operador esta credenciado.

Parece bobagem, mas muitas pessoas não fazem essa verificação. Isso por si só já evitaria 80% dos problemas. Não envie documentos para operadores não credenciados.

2. Verifique com o operador, se seu imóvel está adequado para servir de garantia.

Mais uma vez, algo nem sempre cogitado, e diga-se de passagem, descobrir ao final de todo processo que voce não se enquadra é  bem desagradável. Problemas como área da matrícula discrepante do IPTU, imóvel multifamiliar, zonas de não atendimento podem ser evitados.

3. Verifique se o banco da operação de empréstimo com garantia de imóveis guia-se por “Score”.

Recomendo fugir de bancos que se guiam por Score. A razao é simples: De 100 clientes, apenas 1 irá passar, e voce vai levar 30 dias para descobrir, talvez tarde demais.

4. Verifique se o banco do empréstimo com garantia de imóveis aceita Serasa.

Nem todos bancos são tolerantes com Serasa. Isso sera visto pelo analista do banco quando sua documentação estiver completa no sistema. Evite isso simplesmente perguntando desde o inicio.

5.Evite promessas de emprestimo com garantia de imoveis que pegam qualquer tipo de imóvel.

A realidade é que o banco precisa da matrícula do imóvel para alienar a garantia. Imóveis rurais não permitem isso. Imóveis multifamiliares permitem mas são um transtorno jurídico em caso de retomada. Logo, pode correr dessas promessas, ou ligar diretamente ao banco.

6. Evite operações onde voce não tem acesso ao sistema.

Hoje já é muito comum, o banco fornecer ao cliente um espelho do sistema, onde o cliente acompanha da sua casa ou do seu telefone toda a operação. Bancos sem esse dispositivo serão nebulosos. Pode esperar documentos duplamente solicitados, demora nas respostas, e muita dor de cabeça.

Estes seis passos irão evitar que seus documentos caiam em mãos erradas, que você perca tempo, que gaste energia a toa.  É que pague caro demais por um tipo de empréstimo rico em opções no mercado.

MP 765 Reajuste Salarial no Funcionalismo Público

A MP 765 trata especificamente do Reajuste salarial no Funcionalismo público. Ademais, este é um assunto que tem sido tratado de forma polêmica dentro de um cenário de corte de gastos por parte do Governo. Vamos entender a MP 765?

MP 765 – Do que se trata?

Sancionada em 2016, a MP 765 trata de alterar a remuneração dos servidores de ex-territórios e de servidores públicos federais. Ademais, também reorganiza cargos e carreiras estabelecendo regras específicas de incorporação, gratificação de desempenho, aposentadorias e pensões, entre outras situações.

Este Reajuste irá afetar mais de 1,1 milhão de servidores públicos do poder Executivo. Contudo, são mais de 40 carreiras de servidores públicos civis e militares da União. Também serão afetados:

  • Servidores da Câmara dos Deputados
  • Tribunal de Contas da União
  • Advocacia-Geral da União
  • Educação
  • Ex-territórios federais
  • Agências reguladoras
  • Dentre outros.

O servidores do Executivo Federal preferiram assinar acordos que previa um reajuste de 10,8% em duas vezes, sendo 5,5% em Agosto/2016 e 5% em Janeiro/2017.

Contudo, outra mudança significativa foi a incorporação da gratificação de Desempenho aos proventos de aposentadoria. Na nova regra será considerado a média de pontos dos últimos 60 meses que antecedem a aposentadoria, em torno de um terço a cada ano.

Servidores de Carreira de Estado

Os servidores de Carreira de estado, obtiveram um acordo mais longo, sendo sua remuneração reajustada por meio de subsídio, com reajuste de 27,9% sendo dividido em quatro anos:

  • 2016 com reajuste de 5,5%
  • 2017 com reajuste de 6,99%
  • 2018 com reajuste de 6,65%
  • 2019 com reajuste de 6,31%

Os novos índices de reajuste não irão apresentar maior volume de despesas em relação ao PIB (Produto Interno bruto). Em 2015, o gasto com pessoal era 4,1% do PIB e deve se manter nesse patamar até 2018 – Afirma Dyogo Oliveira – Ministro Interino do Planejamento, Desenvolvimento e Gestão.

Índice de Inflação no Período de 2015 a 2017

A inflação faz com que seu poder de compra encolha. Por isso a discussão constante no reajuste salarial dos Servidores públicos que vem dia a dia sua remuneração com menor poder de compra ao longo dos anos.

Ademais, não podemos nos esquecer que muitos servidores públicos ingressam na carreira ainda jovens com serviços prestados a população há mais de 20 anos. Muitos se vêem com seu padrão de vida afetado. Segue abaixo o índice de inflação ao longo dos anos de 2015 a 2017:

  • 2015 fechou com 10,67%
  • 2016 fechou com 6,29%
  • 2017 fechou com 2,95%

Considerando um servidor com renda de R$ 2.000,00 em 2015 levando em consideração a inflação no período de 2015 a 2015, podemos concluir que seu salário hoje encolheu seu poder de compra o equivalente a R$ 1.817,80 mesmo considerando o reajuste de 10,8%.

Como Funciona na Iniciativa Privada?

Um exercício bastante interessante é entender como a iniciativa privada reajusta o salário de seus colaboradores. Na iniciativa privada cada empresa está subordinada a uma categoria e cada categoria tem um sindicato.

Cada sindicato negocia com o setor um reajuste salarial que pode variar conforme a inflação, ganhos no mercado com o setor ou até mesmo acordos coletivos.

Desta forma, um determinado setor tem a remuneração adequada conforme índices de mercado o que na prática ocorre parcialmente. Contudo, se colocar na balança setor privado x setor público ainda existe um abismo enorme entre os dois.

Um dos argumentos do governo em reajustes mais acanhados é o custo com pessoal da reserva, aposentados e pensionistas. Contudo, em contra partida do setor público é que se tem um regime de contribuição diferenciado para a previdência também.

Ademais, o fato é que se você arrecada, tem que cuidar destes recursos de forma séria e responsável. Contudo, infelizmente, essa situação ao longo dos anos não ocorreu e elevou os gastos públicos.

Quem paga a previdência é o servidor. Ademais, se existem gastos, os mesmos são o resultado de anos de serviços prestados. Portanto, regra é regra e jogo é jogo.

Reflexo Negativo para os Servidores Públicos

Um dos reflexos mais negativos para tamanha desvalorização dos salários dos servidores públicos é a quantidade de procura por crédito que a maioria dos servidores faz. Linhas de empréstimo consignado têm sido cada dia um item do dia a dia do servidor.

Opções como cartões de crédito consignado, refinanciamentos e portabilidades também! No entanto, dia a dia, o servidor vem buscando opções para pagar suas contas com um salário ano após ano menor.

Dois pesos duas medidas

Já ouviu esta expressão? Dois pesos e duas medidas? Até hoje não consigo entender a forma que o governo tem de governar. Na iniciativa privada é lei.

O reajuste salarial tem que atender a reposição salarial considerando no mínimo a inflação. Já no setor privado não.

O mais absurdo é que tivemos 12 anos de Governo do partido dos Trabalhadores, ou seja, na prática deveriam ter pelo menos definir uma regra para isso.

Participe deste debate

Se você é servidor público, gostaria muito de contar com sua colaboração. Contudo, aproveite este espaço para colocar seu ponto de vista, apresentar suas idéias e expressar sua opinião a respeito. Participe comentando neste post.

Você sabia que o Portal Consignados é especialista em empréstimo consignado?

Com mais de 17 anos no Mercado de Empréstimo Consignado e com uma equipe treinada para lhe auxiliar na melhor decisão, no entanto o Portal Consignados trabalha em parceria com diversos bancos para lhe oferecer sempre o melhor negócio.

Consignado Prefeitura Rio de Janeiro

O Empréstimo Consignado Prefeitura Rio de Janeiro é uma modalidade de crédito aonde as parcelas são descontadas direto de sua folha de pagamento (holerite) com taxas de juros mais baixas e prazos mais longos para pagar.

Fácil, prático e leve, assim é o empréstimo consignado para os servidores públicos da Prefeitura do Rio de Janeiro! No entanto, temos várias opções em crédito para você. Confira!

Ademais, o Consignado Prefeitura Rio de Janeiro é muito simples e fácil de solicitar. Basta clicar no botão Solicite, escolher a opção Prefeitura do Rio de Janeiro – RJ e preencher o formulário para que nosso time de consultores possa entrar em contato.

Consignado Prefeitura Rio de Janeiro + Vantagens:

O Empréstimo para servidores da Prefeitura Rio de Janeiro é uma das modalidades de crédito mais baratas do mercado. No entanto, não possui TAC, seguro nem outras despesas adicionais. Conheça algumas das vantagens especiais desta modalidade de crédito, como por exemplo:

  • Sem Consulta no SPC ou SERASA
  • Parcelas Fixas
  • Prazos de até 96 meses para pagar
  • Desconto em folha
  • Taxa de Juros Menores
  • Sem Cobrança de TAC ou Seguros

O Consignado Prefeitura do Rio de Janeiro é muito simples e fácil de solicitar. Ademais, basta simular o valor desejado, clicar em solicitar e preencher um formulário de contato para que nosso time de consultores possa entrar em contato.

Documentação

Contudo, os documentos necessários para a contratação de seu empréstimo consignado são:

  • RG
  • CPF
  • Comprovante de Residência (Vencimento máximo de 60 dias)
  • Ultimo Contracheque

A apresentação de todos os documentos de forma legível e dentro dos prazos de validade ajudam a agilizar seu empréstimo.

Público Alvo

Contudo, o público alvo do servidor público da Prefeitura do Rio de Janeiro será especificado abaixo por sua categoria e regime de contratação.

Situação Funcional permitida

Conheça algumas das situações funcionais que poderão realizar o empréstimo consignado Prefeitura Rio de Janeiro, como por exemplo:

  • Servidores efetivos
  • Servidores celetistas estabilizados,
  • Servidores aposentados e
  • Servidores pensionistas do FUNPREVI
  • Servidores pensionistas do PREVI-RIO.

Situação funcional não permitida

Conheça algumas das situações funcionais que não podem realizar o empréstimo consignado Prefeitura Rio de Janeiro, como por exemplo:

  • Servidores efetivos com cargo em comissão,
  • Servidores aposentados sem fixação de proventos,
  • Servidores contratados
  • Servidores comissionados
  • Servidores cedidos.

+Opções de Crédito

Se sua margem já está tomada e necessita de mais crédito considere as opções de Refinanciamento ou Portabilidade. No entanto, temos um time de consultores preparados para realizar estas pesquisas para você!

Regulamentação

O empréstimo Consignado Rio de Janeiro é uma linha de crédito regulamentada e atende a lei 10.820 de 17 de Dezembro de 2003. Ademais, a regulamentação sobre o empréstimo consignado, que define além de prazos e condições as obrigações entre as partes. No entanto, esta relação de consumo é muito importante ser compreendida para que não haja maiores problemas entre os servidores e a instituição Financeira que estará liberando o crédito. Além de uma lei o Consignado Prefeitura Rio de Janeiro conta com as regras do banco central. Portanto, é uma modalidade de crédito segura.

Margem consignável

  • Margem de Consignação: 30% (trinta por cento)
  • 18 anos completos  e  25 anos completos para Pensionistas
  • A margem deve estar POSITIVA em pelo R$0,01 (um centavo).
  • A margem ZERADA no sistema significa MARGEM NEGATIVA. Contudo, neste caso, o cálculo deverá ser manual para identificar o real valor (negativo) da margem.
  • Idade Final do Contrato: De 18 a 74 anos e 11 meses e para Celetistas: até 59 anos e 11 meses

Por determinação da Prefeitura do Rio de Janeiro, o Crédito só poderá ser enviado para conta onde o servidor recebe seu salário.

Empréstimo Consignado Prefeitura SP

O Empréstimo Consignado Prefeitura SP é uma modalidade de crédito aonde as parcelas são descontadas direto de sua folha de pagamento (holerite) com taxas de juros mais baixas e prazos mais longos para pagar.

Temos condições imperdíveis para você que é Servidor Público da Prefeitura de São Paulo e precisa de condições especiais para realizar seu empréstimo consignado.

Ademais, o Consignado Prefeitura SP é muito simples e fácil de solicitar. Basta clicar no botão Solicite, escolher a opção Prefeitura de São Paulo – SP e preencher o formulário para que nosso time de consultores possa entrar em contato.

Empréstimo Consignado Prefeitura SP + Vantagens:

O Empréstimo consignado Prefeitura SP é uma das modalidades de crédito mais baratas do mercado. No entanto, não possui TAC, seguro nem outras despesas adicionais. Conheça algumas das vantagens, como por exemplo:

  • Sem Consulta no SPC ou SERASA
  • Parcelas Fixas
  • Prazos de até 96 meses para pagar
  • Desconto em folha
  • Taxa de Juros Menores
  • Sem Cobrança de TAC ou Seguros

Documentação

Contudo, os documentos necessários para a contratação de seu empréstimo consignado são:

  • RG
  • CPF
  • Comprovante de Residência (Vencimento máximo de 60 dias)
  • Ultimo Contracheque

A apresentação de todos os documentos de forma legível e dentro dos prazos de validade ajudam a agilizar seu empréstimo.

Público Alvo

Esta modalidade de crédito é destinada ao seguinte público, como por exemplo:

  • Funcionários Públicos EFETIVOS
  • Funcionários Públicos ATIVOS e
  • Funcionários Públicos INATIVOS
  • PENSIONISTAS ligados à administração direta da Prefeitura Municipal de São Paulo.

Atenção:Funcionários denominados ADMITIDOS ou COMISSIONADOS poderão contrair o empréstimo – novas operações, portabilidade e refinanciamento, desde que possuam 2 (dois) ou mais quinquênios.

Regulamentação

O empréstimo Consignado Prefeitura SP é uma linha de crédito regulamentada e atende a lei 10.820 de 17 de Dezembro de 2003. A regulamentação sobre o empréstimo consignado foi recentemente atualizada através da resolução 722 em 20 de Fevereiro de 2015, que define além de prazos e condições as obrigações entre as partes.

Margem consignável. Por exemplo:

  • Margem de Consignação: 30% (trinta por cento)
  • O servidor poderá realizar até 09 (nove) empréstimos bancários por matrícula.
  • A margem deve estar POSITIVA em pelo R$0,01 (um centavo).
  • A margem ZERADA no sistema significa MARGEM NEGATIVA. Neste caso, o cálculo deverá ser manual para identificar o real valor (negativo) da margem.
  • O Contrato a ser refinanciado deve ter pelo menos uma Parcela paga, caso a mesma esteja em processamento na folha, ou ter sido realizado dentro do mesmo período de corte do novo contrato.

+Opções de Crédito

Se você é servidor público da Prefeitura de São Paulo e está sem margem, saiba que temos opções de crédito, como por exemplo:

Consulte nossa equipe para que possamos avaliar seu caso.

*Todas as modalidades de crédito estão condicionadas a analise documental e do banco bem como atender as condições estabelecidas pela Prefeitura Municipal de São Paulo.

Consignado Prefeitura Vitória – ES

O Empréstimo Consignado Prefeitura Vitória é uma modalidade de crédito, na qual as parcelas são descontadas direto de sua folha de pagamento (holerite) com taxas de juros mais baixas e prazos mais longos para pagar.

O Empréstimo consignado Prefeitura Vitória é uma das modalidades de crédito mais baratas do mercado. No entanto, não possui TAC , seguro nem outras despesas adicionais. Contudo, conheça algumas das vantagens especiais desta modalidade de crédito:

  • Sem Consulta no SPC ou SERASA
  • Parcelas Fixas
  • Desconto em folha
  • Taxa de Juros Menores
  • Sem Cobrança de TAC ou Seguros

Ademais, o Consignado Prefeitura Vitória é muito simples e fácil de solicitar. Basta clicar no botão Solicite, escolher a opção Prefeitura de Vitória – ES e preencher o formulário para que nosso time de consultores possa entrar em contato

+Opções de Crédito

Se sua margem já está tomada e necessita de mais crédito, considere as opções de Refinanciamento ou Portabilidade. Temos um time de consultores preparados para realizar estas pesquisas para você!

Situação funcional permitida

  • Estatutários
  • CLT concursados admitidos há no mínimo 3 meses.

Situação funcional não permitida

  • CLT com prazo determinado;
  • Contratado;
  • Comissionado;
  • Aposentados e Pensionistas que recebam pelo INSS

Considerações sobre público alvo

Para confirmação de estabilidade no contra cheque, deverá conter o desconto da Previdência IPAMV.

Regulamentação

O empréstimo Consignado Vitória é uma linha de crédito regulamentada e atende a lei 10.820 de 17 de Dezembro de 2003. Contudo, a regulamentação sobre o empréstimo consignado foi recentemente atualizada através da resolução 722 em 20 de Fevereiro de 2015. Ademais, essa lei que define além de prazos e condições, as obrigações entre as partes.

Margem consignável

  • Margem de Consignação: 30% (trinta por cento)
  • A margem deve estar POSITIVA em pelo R$0,01 (um centavo).
  • A margem ZERADA no sistema significa MARGEM NEGATIVA. No entanto, para este caso, o cálculo deverá ser manual para identificar o real valor (negativo) da margem.

Por determinação da Prefeitura de Vitória o Crédito, só poderá ser enviado para conta onde o servidor recebe seu salário.

Idade x Valor

  • Idade Mínima : 18 anos
  • Valor mínimo: R$ 250,00
  • Valor máximo: R$ 150.000,00

Idade final do contrato

  • Idade máxima para o final do contrato 59 anos e 11 meses.

Prazo

Variável de acordo com tabela vigente

Quantidade de contratos

Limitado à margem consignável

Documentos Necessários

  • RG ou CNH
  • CPF
  • Ultimo Contra-cheque
  • Comprovante de Residência Atual

A apresentação de todos os documentos de forma legível e dentro dos prazos de validade ajudam a agilizar seu empréstimo.

Consignado Prefeitura OSASCO

O Empréstimo Consignado Prefeitura Osasco é uma modalidade de crédito aonde as parcelas são descontadas direto de sua folha de pagamento (holerite) com taxas de juros mais baixas e prazos mais longos para pagar.

O Empréstimo consignado Prefeitura Osasco é uma das modalidades de crédito mais baratas do mercado. Contudo, não possui TAC, seguro nem outras despesas adicionais. No entanto, conheça algumas das vantagens especiais desta modalidade de crédito:

  • Sem Consulta no SPC ou SERASA
  • Parcelas Fixas
  • Desconto em folha
  • Taxa de Juros Menores
  • Sem Cobrança de TAC ou Seguros

Ademais, o Consignado Prefeitura Osasco é muito simples e fácil de solicitar. Basta clicar no botão Solicite, escolher a opção Prefeitura de Osasco – SP e preencher o formulário para que nosso time de consultores possa entrar em contato.

+Opções de Crédito

Se sua margem já está tomada e necessita de mais crédito, considere as opções de Refinanciamento ou Portabilidade. Aliás, temos um time de consultores preparados para realizar estas pesquisas para você!

Situação funcional permitida

  • Servidores efetivo.
  • Servidores efetivos que acumulam cargo em comissão.

Situação funcional não permitida

  • Não possuir CPF e Identidade;
  • Temporários;
  • Analfabetos;
  • Aposentados;
  • Pensionistas;
  • Cedidos;
  • Celetistas;
  • Comissionados;

CONSIDERAÇÕES SOBRE O PÚBLICO ALVO

A categoria Eletivos refere-se ao servidores, como por exemplo:

  1. Prefeito;
  2. Vice-prefeito.

Regulamentação

O empréstimo Consignado Osasco é uma linha de crédito regulamentada e atende a lei 10.820 de 17 de Dezembro de 2003. No entanto, a regulamentação sobre o empréstimo consignado foi recentemente atualizada através da resolução 722 em 20 de Fevereiro de 2015 que define além de prazos e condições, as obrigações entre as partes.

Margem consignável

  • Margem de Consignação: 30% (trinta por cento)
  • A margem deve estar POSITIVA em pelo R$0,01 (um centavo).
  • A margem ZERADA no sistema significa MARGEM NEGATIVA. Neste caso, o cálculo deverá ser manual para identificar o real valor (negativo) da margem.

Aliás, por determinação da Prefeitura de Osasco o Crédito, só poderá ser enviado para conta onde o servidor recebe seu salário.

Idade x valor

  • Idade Mínima : 18 anos
  • Valor mínimo: R$ 250,00
  • Valor máximo: R$ 150.000,00

Idade final no contrato

  • Idade máxima para o final do contrato 59 anos e 11 meses.

Prazo

Variável de acordo com tabela vigente

Quantidade de contratos

Limitado à margem consignável

Documentação Necessária

  • RG ou CNH
  • CPF
  • Ultimo Contra-cheque
  • Comprovante de Residência Atual

A apresentação de todos os documentos de forma legível e dentro dos prazos de validade ajudam a agilizar seu empréstimo.

Empréstimo Municipal Recife

O Empréstimo Municipal Recife é destinado à servidores públicos da Prefeitura de Recife que desejam obter uma linha de crédito com taxas de juros menores e prazos maiores. Contudo, confira nossas condições especiais e parcele em até 72 x seu empréstimo consignado. No entanto, as parcelas são descontadas direto de sua folha de pagamento (holerite) com taxas de juros mais baixas e prazos mais longos para pagar.

O Empréstimo Municipal Recife é uma das modalidades de crédito mais baratas do mercado. No entanto, não possui TAC, seguro nem outras despesas adicionais. Ademais, conheça algumas das vantagens especiais desta modalidade de crédito:

  • Sem Consulta no SPC ou SERASA
  • Parcelas Fixas
  • Desconto em folha
  • Taxa de Juros Menores
  • Sem Cobrança de TAC ou Seguros

Ademais, o Empréstimo Municipal Recife é muito simples e fácil de solicitar. Basta clicar no botão Solicite, escolher a opção Prefeitura de Recife – PE e preencher o formulário para que nosso time de consultores possa entrar em contato.

+Opções de Crédito

Contudo, se sua margem já está tomada e necessita de mais crédito, considere as opções de Refinanciamento ou Portabilidade. Temos um time de consultores preparados para realizar estas pesquisas para você!

Autorizados a contrair Empréstimo

  • Servidores Estatutários;
  • Aposentados;
  • Celetistas das Autarquias;
  • Pensionistas com idade superior a 26 anos (Pensão Previdenciária e Pensão Especial);

Obs.: A identificação do servidor será realizada através do item 5 (Tipo de Cargo).

Relação de Autarquias que iremos operar com Celetistas. Por exemplo:

  • EMPREL – EMPRESA MUNICIPAL DE INFORMÁTICA
  • IASC – INSTITUTO DE ASSISTÊNCIA SOCIAL E CIDADANIA
  • CSURB – COMPANHIA DE SERVIÇOS URBANOS DO RECIFE
  • CTTU – COMPANHIA DE TRANSITO E TRANSPORTE URB.
  • EMLURB – EMPRESA DE MANUTENÇÃO E LIMPEZA URBANA
  • FUN. CULTURA – FUNDAÇÃO DE CULTURA DA CIDADE
  • GERALDAO – GINÁSIO DE ESPORTES GERALDO MAGALHÃES
  • RECIPREV/RECIFIN
  • SANEAR – AUTARQUIA DE SANEAMENTO DO RECIFE
  • URB – EMPRESA DE URBANIZAÇÃO DO RECIFE
  • PREFEITURA DA CIDADE DO RECIFE

Não Autorizados a Contrair Empréstimos. Por exemplo:

  • Contrato tempo determinado;
  • Extra Quadro;
  • Comissionados;
  • Benefício auxilio reclusão;

Regulamentação

O empréstimo Municipal Recife é uma linha de crédito regulamentada e atende a lei 10.820 de 17 de Dezembro de 2003. No entanto, a regulamentação sobre o empréstimo consignado foi recentemente atualizada através da resolução 722 em 20 de Fevereiro de 2015. Contudo, isso  define além de prazos e condições as obrigações entre as partes.

Margem consignável

  • Margem de Consignação: 30% (trinta por cento);
  • Operações novas 100% da margem;
  • Refinanciamento 100% da margem;

Regras Importantes

  • Agrega margem: SIM;
  • Margem Negativa: Não está autorizado a junção de parcelas;
  • Trava para Refinanciamento Banco: De acordo com as condições vigentes do Banco;
  • Trava para Portabilidade Banco: De acordo com as condições vigentes do Banco;
  • Trava para Portabilidade órgão: Não há previsão na legislação;

Aliás, por determinação da Prefeitura de Recife, o crédito só poderá ser enviado para conta onde o servidor recebe seu salário.

Faixa de crédito por idade

  • Idade Mínima : 18 anos
  • Valor mínimo: R$ 250,00
  • Valor máximo: R$ 150.000,00

Limite de Idade

  • Idade máxima para o final do contrato: 59 anos e 11 meses.

Prazo

Variável de acordo com tabela vigente

Quantidade de contratos

No entanto, limitado à margem consignável

 Calendário / Tabela de Referências

As operações realizadas até o dia 13 de cada mês serão processadas na folha de pagamento do mesmo mês. Ademais, sendo o vencimento da primeira parcela sempre no dia 07 de cada mês.

Documentos Necessários

  • RG ou CNH
  • CPF
  • Ultimo Contra-cheque
  • Comprovante de Residência Atual

A apresentação de todos os documentos de forma legível e dentro dos prazos de validade ajudam a agilizar seu empréstimo.

Consignado Prefeitura São Gonçalo

O Empréstimo Consignado Prefeitura São Gonçalo é uma modalidade de crédito na qual as parcelas são descontadas direto de sua folha de pagamento (holerite) com taxas de juros mais baixos e prazos mais longos para pagar.

O Empréstimo consignado Prefeitura São Gonçalo certamente é uma das modalidades de crédito mais baratas do mercado. Contudo, não possui TAC , seguro nem outras despesas adicionais. Ademais, à respeito disso, conheça algumas das vantagens especiais desta modalidade de crédito:

  • Sem Consulta no SPC ou SERASA
  • Parcelas Fixas
  • Prazos de até 96  meses para pagar
  • Desconto em folha
  • Taxa de Juros Menores
  • Sem Cobrança de TAC ou Seguros

Ademais, o Consignado Prefeitura São Gonçalo é muito simples e fácil de solicitar. Basta clicar no botão Solicite, escolher a opção Prefeitura de São Gonçalo – RJ e preencher o formulário para que nosso time de consultores possa entrar em contato.

+Opções de Crédito

Você sabia que mesmo com sua margem comprometida, ainda pode ter crédito? Contudo, uma das opções para este caso é o Refinanciamento ou Portabilidade! Dessa maneira, temos um time de consultores preparados para lhe atender e verificar todas as possibilidades de crédito para você. Consulte!

Situação funcional permitida

  • Servidores efetivo.
  • Servidores efetivos que acumulam cargo em comissão.

Situação funcional não permitida

  • Servidores aposentados
  • Pensionistas do IPASG
  • Comissionados
  • Contratados
  • Cedidos

Considerações sobre o público alvo

Enfim, a categoria Eletivos refere-se ao servidores :

  1. Prefeito.
  2. Vice-prefeito.

Contudo, para atendimento aos iletrados, além da assinatura de 02 testemunhas, será necessária a assinatura de um parente do servidor assinando como A rogo.

Regulamentação

O empréstimo Consignado Prefeitura São Gonçalo é uma linha de crédito regulamentada e atende a lei 10.820 de 17 de Dezembro de 2003. Ademais, a regulamentação sobre o empréstimo consignado foi recentemente atualizada através da resolução 722 em 20 de Fevereiro de 2015, que define além de prazos e condições, as obrigações entre as partes.

Margem consignável

  • Margem de Consignação: 30% (trinta por cento)
  • A margem deve estar POSITIVA em pelo R$0,01 (um centavo).
  • A margem ZERADA no sistema significa MARGEM NEGATIVA. Contudo, neste caso, o cálculo deverá ser manual para identificar o real valor (negativo) da margem.

Por determinação da Prefeitura de São Gonçalo, o crédito só poderá ser enviado para conta onde o servidor recebe seu salário.

 Reserva de margem

Contudo, o servidor deverá realizar a reserva no site do servidor Municipal de São Gonçalo em favor do BANCO OLÉ BONSUCESSO CONSIGNADO S/A.

Idade x valor

  • Idade Mínima : 18 anos
  • 25 anos completos para pensionistas
  • Valor mínimo: R$ 250,00
  • Valor máximo: R$ 150.000,00

Idade final

  • Idade máxima para o final do contrato 59 anos e 11 meses.

Prazo

É variável de acordo com tabela vigente

Quantidade de contratos

Em suma, é limitado à margem consignável

Documentação necessária

  • 02 vias do Termo de Adesão EMP (fornecido pelo Correspondente)
  • 01 via da Planilha de Proposta (fornecido pelo Correspondente)
  • Cópia da Carteira de Identidade e CPF
  • Ultimo Contra-cheque
  • Comprovante de Residência Atual
  • Comprovante de averbação emitido pelo site

A apresentação de todos os documentos de forma legível e dentro dos prazos de validade ajudam a agilizar seu empréstimo.

Consignado Governo Paraná

O Consignado Governo do Rio de Janeiro é uma modalidade de crédito aonde as parcelas são descontadas direto de sua folha de pagamento (holerite) com taxas de juros mais baixas e prazos mais longos para pagar.

O empréstimo consignado Paraná tem várias vantagens para você, Servidor do Governo do Paraná. Ademais, entre muitas, vamos destacar as principais:

  • Não tem Consulta no SPC nem SERASA
  • Não cobra TAC (Taxa de Abertura de Crédito)
  • Taxas de Juros Menores
  • Prazos maiores para pagar

Ademais, o Consignado Governo Paraná é muito simples e fácil de solicitar. Basta clicar em solicitar, escolher a opção Governo do Paraná e preencher o formulário para que nosso time de consultores possa entrar em contato.

Documentação

No entanto, a documentação necessária para você contratar seu Consignado Governo Paraná é muito Simples. Ademais, confira:

  • Carteira de Identidade
  • CPF
  • Comprovante de Residência Atual
  • Último Contracheque

No entanto, para Servidores com mais de um provento, deverá ser apresentado todos os contracheques atualizados.

Público Alvo

Consignado Governo Paraná está destinado ao seguinte público:

  • Servidor efetivo regido por estatuto estadual;
  • Militar do Estado;
  • Servidor Aposentado;
  • Pensionista.
  • Servidores autorizados cujo sua renda for inferior a R$ 1903,98 e não tem desconto de IR;
  • Servidores autorizados, cujo seu provento for superior a R$ 1.903,98 e não tem desconto do IR

Conforme o artigo 19º da Constituição Federal, são considerados também como servidores estáveis, todos aqueles que ingressaram no funcionalismo público, até a data de 05/10/1983, inclusive os regidos pela CLT. Contudo a exceção fica com os professores de nível superior e ocupante de cargos de confiança ou em comissão. Após esta data, são considerados servidores estáveis mediante o ingresso no funcionalismo público por concurso público, tanto no regime estatutário quanto na CLT.

Categoria e Cargos não Permitidos

  • Servidores Efetivos-Comissionados – Ademais, serão identificados no site através da categoria que devera ser seguida da situação Funcional – CC COM VINCULO
  • Servidores Comissionados –Contudo, serão identificados pelo site através da categoria que devera ser seguida da situação Funcional CC SEM VINCULO
  • Servidores Contratados – Temporários – No entanto, serão identificados pelo site através da categoria CLT ADMINISTRATIVO OU CONTRATO ADMINISTRATIVO
  • Função de Gestão Pública – Ativo – Portanto, serão identificados pelo site através da categoria
  • Requisitados
  • Comissionados
  • Contratados
  • Temporários
  • Pensionista Temporário (MENORES)
  • Aluno (Todos)
  • Soldado Aluno
  • Soldado PM Temporário
  • Soldado 2ª Classe
  • Cadete 1º ao 4º Ano
  • Menor Aprendiz
  • Servidores acometidos de alguma das doenças citadas abaixo, independentemente de idade*

*Contudo, pode identificar este tipo de servidor através dos descontos no contracheque (POIS OS MESMOS SÃO ISENTOS DE IR – IMPOSTO DE RENDA), AIDS (Síndrome da Imunodeficiência Adquirida), alienação mental, cardiopatia grave, cegueira, Contaminação por Radiação, estados avançados de Paget (osteíte deformante), doença de Parkinson, Esclerose Múltipla, espondiloartrose anquilosante, Fibrose Cística (Mucoviscidose), hanseníase, neoplasia maligna, Hepatopatia Grave, nefropatia grave, paralisia irreversível e incapacitante, Tuberculose ativa, Coréia de Huntington.

Cálculo de Margem

A margem consignável é o limite máximo que se pode comprometer em parcelas de empréstimo consignado. Portanto, para calcular a margem, aplicamos as seguintes regras:

Calculo 70% = ((Total de Proventos * 70%) – (Total de Descontos)).

Caso não tenha margem consignável, considere nossa opção para Refinanciamento de seus contratos.

Regulamentação

Todas as modalidades de crédito Consignado atendem a uma regulamentação do Banco Central e Lei 10.820. Estes, por sua vez, determinam as regras de contratação. No entanto, os convênios firmados entre seu órgão tem regras específicas as quais serão consideradas na liberação do seu Crédito. Contudo, as instituições financeiras têm políticas de crédito específicas conforme perfil do cliente. Portanto, tais regras também serão consideradas.

Parâmetros e Taxas

Operações NOVO, REFIN E PORTABILIDADE:

  • 02 a 06 meses, taxa limite 1,40% a.m
  • 07 a 12 meses, taxa limite 1,77% a.m
  • 13 a 24 meses, taxa limite 1,81% a.m
  • 25 a 36 meses, taxa limite 1,84% a.m
  • 37 a 48 meses, taxa limite 1,89% a.m
  • 49 a 60 meses, taxa limite 1,92% a.m
  • 61 a 72 meses, taxa limite 1,94% a.m
  • 73 a 84 meses, taxa limite 1,99% a.m
  • 85 a 96 meses, taxa limite 2,05% a.m

No entanto, as taxas máximas previstas no Decreto supracitado poderão ser revistas a cada 6 (seis) meses ou a qualquer tempo. em decorrência de fato relevante que a justifique, mediante novo DECRETO.

TC – Tarifa de Cadastro

No entanto, fica proibida a cobrança de qualquer tarifa e taxa de abertura de crédito – TC – Art. 15 Decreto 8471 – 08/07/2013

Limite de Empréstimo

  • Mínimo: R$ 800,00
  • Máximo: Dentro da margem consignável.

Política de Crédito

Contudo, este produto está condicionado a política interna do Banco conforme regra abaixo:

Idade para aquisição

  • Limite de idade mínimo -18 anos
  • Limite de idade máximo – 75 anos

Limite de Crédito por faixa etária

  • De 18 a 60 anos – R$ 30.000,00
  • De 61 a 70 anos – R$ 25.000,00
  • De 71 a 75 anos – R$ 5.000,00

Consignado Governo Rio de Janeiro

O empréstimo consignado Governo Rio de Janeiro tem várias vantagens para você, servidor público. Ademais, entre muitas, vamos destacar as principais:

  • Desconto em Folha de Pagamento
  • Sem consulta ao SPC ou SERASA
  • Taxas de Juros Menores
  • Prazos maiores para pagar

Ademais, o Consignado Governo Rio de Janeiro é muito simples e fácil de solicitar. Basta clicar em solicitar, escolher dentre as 6 opções disponíveis de empréstimo Governo qual é a que você pertence e preencher um formulário para que nosso time de consultores possa entrar em contato.

Consignado Governo Rio de Janeiro + Vantagens

O convênio com o Governo do Estado do Rio de Janeiro atende regras específicas as quais definem quem pode contratar e quem não pode contratar o empréstimo consignado.

Servidores Permitidos

  • Estatutários
  • Admitidos, há no mínimo 1 mês
  • Inativos
  • Estatutários
  • Aposentados e Pensionistas *
  • Comissionados **

* Aposentados e Pensionistas que recebam na mesma folha do órgão.

** Os comissionados podem obter crédito, desde que não considerada as verbas envolvendo a função comissionada no cálculo de margem, considerando apenas o salário Base.

Servidores Não permitidos

  • Autônomos e Contratados
  • Estagiários
  • Temporários

No entanto, este convênio pode sofrer alterações na politica de concessão sem aviso prévio.

Margem

A margem consignável é o limite máximo que pode comprometer da renda do Servidor público do Governo do Rio de Janeiro. Contudo, essa margem é definida pelas regras do Governo e baseada na Lei 10.820. No entanto, para efeito de cálculo, consideramos 95% da margem obtida pelo portal do Servidor.

No entanto, caso não tenha mais margem, temos outras opções para você como o Refinanciamento ou Portabilidade. Ademais, consulte-nos.

Regulamentação

Enfim, todas as modalidades de crédito Consignado atendem a uma regulamentação do Banco Central e Lei 10.820 que determinam as regras de contratação. Contudo, os convênios firmados entre seu órgão tem regras específicas as quais serão consideradas na liberação do seu Crédito. No entanto, as instituições financeiras têm políticas de crédito especificas conforme perfil do cliente. Portanto, tais regras também serão consideradas.

Taxas aplicadas

As taxas aplicadas podem sofrer alterações conforme data do pedido de empréstimo. Consulte um de nossos consultores para que possamos simular sua prestação conforme margem consignável.

Documentação

Toda operação de empréstimo consignado exige analise prévia documental por parte da instituição financeira. No entanto, para o Consignado Governo Rio de Janeiro é necessário apresentar os seguintes documentos:

  • RG
  • CPF
  • Comprovante de Residência (Com até 60 dias de vencimento)
  • Ultimo Contracheque

A documentação apresentada está sujeita a consulta e verificações por parte da Instituição financeira.

Consignado Governo Minas Gerais

O Consignado Governo de Minas Gerais é uma modalidade de crédito aonde as parcelas são descontadas direto de sua folha de pagamento (holerite) com taxas de juros mais baixas e prazos mais longos para pagar.

O Empréstimo consignado Governo Minas Gerais é uma das modalidades de crédito mais baratas do mercado. No entanto, não possui TAC, seguro nem outras despesas adicionais. Conheça algumas das vantagens especiais desta modalidade de crédito, como por exemplo:

  • Sem Consulta no SPC ou SERASA
  • Parcelas Fixas
  • Prazos de até 96 meses para pagar
  • Desconto em folha
  • Taxa de Juros Menores
  • Sem Cobrança de TAC ou Seguros

Ademais, o Consignado Governo Minas Gerais é muito simples e fácil de solicitar. Basta clicar no botão Solicite, escolher a opção Governo de Minas Gerais e preencher o formulário para que nosso time de consultores possa entrar em contato.

Público Alvo

Este produto está destinado ao seguinte público:

  • Servidores do Governo de Minas Ativos
  • Servidores do Governo de Minas Aposentados
  • Servidores do Governo de Minas Pensionistas

Margem

Os limites para empréstimo consignados neste convênio são liberados conforme idade e margem consignável, conforme regra abaixo:

  • Margem de Consignação: 30% (trinta por cento)
  • 18 anos completos  e  25 anos completos para Pensionistas
  • A margem deve estar POSITIVA em pelo R$0,01 (um centavo).
  • A margem ZERADA no sistema significa MARGEM NEGATIVA, neste caso o cálculo deverá ser manual para identificar o real valor (negativo) da margem.
  • Idade Final do Contrato De 18 a 74 anos e 11 meses e para Celetistas até 59 anos e 11 meses

Por determinação do Governo de Minas Gerais, o Crédito só poderá ser enviado para conta onde o servidor recebe seu salário. Se você não tem mais margem, considere nossa opção de Refinanciamento para seus contratos.

Regulamentação

O empréstimo Consignado Governo Minas Gerais é uma linha de crédito regulamentada e atende a lei 10.820 de 17 de Dezembro de 2003. Ademais, a regulamentação sobre o empréstimo consignado, que define além de prazos e condições, as obrigações entre as partes. No entanto, esta relação de consumo é muito importante ser compreendida para que não haja maiores problemas entre os servidores e a instituição Financeira que estará liberando o crédito. Além de uma lei o Consignado Governo Minas Gerais conta com as regras do banco central. Portanto, é uma modalidade de crédito segura.

Situação Funcional Permitida

  •  Servidores que se encontram nas situações: licença médica, afastamento para capacitação e licença maternidade.
  • Diretores efetivos dentro do prazo do mandato de diretor, limitado a 48 meses a partir da nomeação que consta na ata de posse, conforme data de realização do contrato: 10/04/2009
  • Data do início do mandato: 02/02/2009 (24 meses, a partir dessa data)
  • Quantidade de parcelas: 21 meses
  • Servidores que acumulam dois cargos, sendo um efetivo e outro designado, para isso, deve ser feito o cálculo considerando o comprovante de rendimentos do mês anterior.

Situação Funcional Não Permitida

  • Não atenderemos ao servidor que no contracheque do mês corrente conste em Ocorrências: Desconto Parcial Consignação .
  • Não atenderemos aos servidores identificados através do site como: “Situação Funcional não cadastrada para este Consignado”.
  • Não atenderemos aos servidores com pensão especial indenizatória.
  • Por determinação do órgão, não atenderemos à tutelado e curatelado.
  • Não serão acatadas propostas dos servidores com margem indisponível no limite de 70%. Mesmo que o servidor tenha margem disponível na simulação em 30%, não conseguimos averbar se a margem for insuficiente em 70%.

Política de Crédito

Este produto está condicionado as regras do convênio e os valores liberados serão conforme margem consignável ou saldo de amortização para as opções de refinanciamento e portabilidade.

Documentação

Os documentos necessários para contratação são bem simples conforme abaixo:

  • Contracheque (Atual)
  • RG (Carteira de Identidade)
  • CPF
  • Comprovante de Residência Atual (no máximo com 60 dias)
  • ADF Assinada (fornecido por nós)
  • Contrato de Empréstimo (fornecido por nós)

Atenção: Servidoras casadas ou separadas em que o documento de identidade estiver com sobrenome de solteira ou ainda de casada deverão apresentar de cópia da certidão de casamento ou separação.

Consignado Governo SP

O Empréstimo consignado Governo SP é uma das modalidades de crédito mais baratas do mercado. No entanto, não possui TAC, seguro nem outras despesas adicionais. Contudo, está disponível para servidores do Governo de São Paulo. Solicite agora!

Conheça as principais vantagens do empréstimo consignado Governo SP, como por exemplo:

  • Sem Consulta no SPC ou SERASA
  • Parcelas Fixas
  • Prazos de até 96  meses para pagar
  • Desconto em folha
  • Taxa de Juros Menores
  • Sem Cobrança de TAC ou Seguros

Ademais, o Consignado Governo SP é muito simples e fácil de solicitar. Basta clicar no botão Solicite, escolher a opção Governo de São Paulo e preencher o formulário para que nosso time de consultores possa entrar em contato.

Público Atendido

No entanto, nem todos os servidores do Governo de São Paulo poderão realizar empréstimo consignado. No entanto, abaixo iremos detalhar as situações funcionais permitidas para consignado Governo SP:

Policia Militar
  • PM – Polícia Militar do Estado de São Paulo-PMESP – Policia Militar do Estado de Sao Paulo
  • PM – Policia Militar do Estado de Sao Paulo
SPPREV
  • SPPREV – Sao Paulo Previdencia-SPPREV – Sao Paulo Previdencia
  • SPPREV – Sao Paulo Previdencia
SEFAZ
  • SEFAZ – Gabinete do Governador -SP-AGEM – Agencia metropolitana da Baixada Santista
  • SEFAZ – Gabinete do Governador -SP-AGEMCAMP – Agencia metropolitana de Campinas
  • SEFAZ – Gabinete do Governador -SP-ARSESP – Agencia regulad.saneam.energ.Sao Paulo
  • SEFAZ – Gabinete do Governador -SP-ARTESP – Agencia regulad.serv.publ.deleg.transpSP
  • SEFAZ – Gabinete do Governador -SP-CEETPS – Centro.Est.Edu.Tecnol.Paula Souza
  • SEFAZ – Gabinete do Governador -SP-DAEE – Departamento de agua e energia eletrica
  • SEFAZ – Gabinete do Governador -SP-DAESP – Departamento aeroviario Estado SP
  • SEFAZ – Gabinete do Governador -SP-DER – Departamento de Estradas de Rodagem
  • SEFAZ – Gabinete do Governador -SP-DETRAN – Departamento Estadual de Transito de Sp
  • SEFAZ – Gabinete do Governador -SP-HCFMB – Hosp.Clini.Facu.Med.Botucatu
  • SEFAZ – Gabinete do Governador -SP-HCFMUSP – Hosp.Clini.Facu.Med.Univers.Sao Paulo
  • SEFAZ – Gabinete do Governador -SP-HCRP – Hosp.Clini.Facu.Med.Ribeirao Preto.Univ.SP
  • SEFAZ – Gabinete do Governador -SP-IAMSPE – Instituto.Assist.Med.Serv.Publ.Estadual
  • SEFAZ – Gabinete do Governador -SP-IMESC – Instituto.Med.Soc.Criminologia SP
  • SEFAZ – Gabinete do Governador -SP-IPESP – Instituto de pagamentos especiais de SP
  • SEFAZ – Gabinete do Governador -SP-JUCESP – Junta comercial do Estado de SP
  • SEFAZ – Gabinete do Governador -SP-SEFAZ – Secretaria da Fazenda
  • SEFAZ – Gabinete do Governador -SP-SUCEN – Superitendencia de controle de Endemias
  • SEFAZ – Gabinete do Governador -SP-SUTACO – Superitendencia.trab.artesanal nas comun

Regulamentação

Todas as modalidades de crédito Consignado atendem a uma regulamentação do Banco Central e Lei 10.820 que determinam as regras de contratação. Contudo, os convênios firmados entre seu órgão tem regras específicas as quais serão consideradas na liberação do seu Crédito. Ademais, as instituições financeiras têm políticas de crédito especificas conforme perfil do cliente. Portanto, tais regras também serão consideradas.

Política de Crédito

Ademais, este produto está condicionado a política interna do Banco conforme regra abaixo:

Idade para aquisição do Cartão

  • Limite de idade mínimo – 18 anos
  • Limite de idade máximo – 74 anos

Contudo, a idade mínima para Pensionistas é de 25 anos completos.

Limite de Crédito por faixa etária

  • De 18 a 66 anos – R$ 150.000,00 – Parcelamento em até 96x
  • De 67 a 69 anos – R$ 150.000,00 – Parcelamento em até 60x
  • De 70 a 74 anos – R$ 150.000,00 – Parcelamento em até 48x

Regras de Concessão de Limite e Saque

  • Valor mínimo para liberação de TED R$ 250,00
  • Valor máximo por CPF R$ 150.000,00

Documentação Necessária

A documentação necessária para você contratar seu empréstimo consignado é muito Simples, como por exemplo:

  • Carteira de Identidade
  • CPF
  • Comprovante de Residência Atual
  • Último Contra-cheque
  • Tela de consulta de Margem do servidor.

Poderá ser solicitado documentos adicionais conforme convênio e política de aprovação da Instituição Financeira. Ademais, consulte também nossas opções de Refinanciamento!

Portal do servidor Bahia – Consignado Governo

O Portal do Servidor Bahia – Consignado Governo é uma modalidade de crédito aonde as parcelas são descontadas direto de sua folha de pagamento (holerite) com taxas de juros mais baixas e prazos mais longos para pagar.

O Empréstimo consignado para o governo do portal do servidor Bahia é uma das modalidades de crédito mais baratas do mercado. Contudo, não possui TAC, seguro nem outras despesas adicionais. Portanto, conheça algumas das vantagens especiais desta modalidade de crédito:

  • Sem Consulta no SPC ou SERASA
  • Parcelas Fixas
  • Prazos de até 96 meses para pagar
  • Desconto em folha
  • Taxa de Juros Menores
  • Sem Cobrança de TAC ou Seguros

Ademais, o Portal do Servidor Bahia – Consignado Governo é muito simples e fácil de solicitar. Basta clicar no botão Solicite, escolher a opção Governo da Bahia e preencher o formulário para que nosso time de consultores possa entrar em contato.

Público Alvo

Este produto está destinado ao seguinte público:

  • Servidores do Governo da Bahia Ativos
  • Servidores do Governo da Bahia Aposentados
  • Servidores do Governo da Bahia Pensionistas

Margem

Os limites para empréstimo consignados neste convênio são liberados conforme idade e margem consignável, conforme regra abaixo:

  • Margem de Consignação: 30% (trinta por cento)
  • 18 anos completos  e  25 anos completos para Pensionistas
  • A margem deve estar POSITIVA em pelo R$0,01 (um centavo).
  • A margem ZERADA no sistema significa MARGEM NEGATIVA, neste caso o cálculo deverá ser manual para identificar o real valor (negativo) da margem.

Por determinação do Governo da Bahia, o Crédito só poderá ser enviado para conta onde o servidor recebe seu salário. Caso não tenha margem consulte nossa opção de Refinanciamento!

Regulamentação

O empréstimo Consignado para o portal do servidor Bahia é uma linha de crédito regulamentada e atende a lei 10.820 de 17 de Dezembro de 2003, a regulamentação sobre o empréstimo consignado, que define além de prazos e condições as obrigações entre as partes, esta relação de consumo é muito importante ser compreendida para que não haja maiores problemas entre os servidores e a instituição Financeira que estará liberando o crédito. Contudo, além de uma lei o Consignado para o portal do servidor Bahia conta com as regras do banco central, portanto é uma modalidade de crédito segura.

Situação Funcional Permitida

  •  Servidores que se encontram nas situações: licença médica, afastamento para capacitação e licença maternidade.
  • Diretores efetivos dentro do prazo do mandato de diretor, limitado a 48 meses a partir da nomeação que consta na ata de posse, conforme data de realização do contrato: 10/04/2009
  • Data do início do mandato: 02/02/2009 (24 meses, a partir dessa data)
  • Quantidade de parcelas: 21 meses
  • Servidores que acumulam dois cargos, sendo um efetivo e outro designado, para isso, deve ser feito o cálculo considerando o comprovante de rendimentos do mês anterior.

Situação Funcional Não Permitida

  • Não atenderemos ao servidor que no contracheque do mês corrente conste em Ocorrências: Desconto Parcial Consignação .
  • Não atenderemos aos servidores identificados através do site como: “Situação Funcional não cadastrada para este Consignado”.
  • Não atenderemos aos servidores com pensão especial indenizatória.
  • Por determinação do órgão, não atenderemos à tutelado e curatelado.
  • Não serão acatadas propostas dos servidores com margem indisponível no limite de 70%. Mesmo que o servidor tenha margem disponível na simulação em 30%, não conseguimos averbar se a margem for insuficiente em 70%.

Política de Crédito

Contudo, este produto está condicionado as regras do convênio e os valores liberados serão conforme margem consignável ou saldo de amortização para as opções de refinanciamento e portabilidade.

Documentação

Os documentos necessários para contratação são bem simples conforme abaixo:

  • Contracheque (Atual)
  • RG (Carteira de Identidade)
  • CPF
  • Comprovante de Residência Atual (no máximo com 60 dias)
  • ADF Assinada (fornecido por nós)
  • Contrato de Empréstimo (fornecido por nós)

Atenção: Servidoras casadas ou separadas em que o documento de identidade estiver com sobrenome de solteira ou ainda de casada deverão apresentar de cópia da certidão de casamento ou separação.

Consignado Governo Santa Catarina

O Consignado Governo de Santa Catarina é uma modalidade de crédito aonde as parcelas são descontadas direto de sua folha de pagamento (holerite) com taxas de juros mais baixas e prazos mais longos para pagar

O Empréstimo consignado Governo Santa Catarina é uma das modalidades de crédito mais baratas do mercado, por não possuir TAC, seguro nem outras despesas adicionais, conheça algumas das vantagens especiais desta modalidade de crédito:

  • Sem Consulta no SPC ou SERASA
  • Parcelas Fixas
  • Prazos de até 96 meses para pagar
  • Desconto em folha
  • Taxa de Juros Menores
  • Sem Cobrança de TAC ou Seguros

Ademais, o Consignado Governo Santa Catarina é muito simples e fácil de solicitar. Basta clicar no botão Solicite, escolher a opção Governo de Santa Catarina e preencher o formulário para que nosso time de consultores possa entrar em contato.

Público Alvo

Os servidores pensionistas estão lotados no órgão GPENS, enquanto os servidores ativos que trabalham no IPREV encontram-se lotados no órgão IPSEC. Para atendimento aos iletrados, além da assinatura de 02 testemunhas, será necessária a assinatura de um parente do servidor assinando como a rogo.

Margem

  • Margem de Consignação: 30% (trinta por cento).
  • A margem deve estar POSITIVA em pelo R$0,01 (um centavo).
  • A margem ZERADA no sistema significa MARGEM NEGATIVA, neste caso o cálculo deverá ser manual para identificar o real valor (negativo) da margem.

Por determinação do Governo de Santa Catarina o Crédito só poderá ser enviado para conta onde o servidor recebe seu salário. Caso não tem margem considere nossa opção de Refinanciamento.

Regulamentação

O empréstimo Consignado Governo Santa Catarina é uma linha de crédito regulamentada e atende a lei 10.820 de 17 de Dezembro de 2003, a regulamentação sobre o empréstimo consignado , que define além de prazos e condições as obrigações entre as partes, esta relação de consumo é muito importante ser compreendida para que não haja maiores problemas entre os servidores e a instituição Financeira que estará liberando o crédito. Além de uma lei o Consignado Governo de Santa Catarina conta com as regras do banco central, portanto é uma modalidade de crédito segura.

Situação Funcional

Existem regras específicas conforme a natureza de contratação ou situação funcional que são permitidas o empréstimo consignado, as quais são:

  • Servidores Efetivos
  • Servidores Aposentados
  • Servidores Pensionistas

Conheça as situações funcionais que não permitem o empréstimo consignado abaixo:

  • Servidores contratados (Admitido em Caráter Temporário – ACT),
  • Servidores que recebam pensões especiais
  • Servidores comissionados
  • Servidores celetistas

Política de Crédito

A política de crédito é um dos fatores muito importantes a serem considerados antes de contratar seu empréstimo consignado, consulte nossas condições conforme o convênio:

O servidor poderá ter até 9 contratos, conforme regra definida pelo Governo do Estado de Santa Catarina.

Existe uma política de crédito definida conforme a idade do servidor, as quais seguem baixo:

  • Idade Mínima: 18 anos
  • 25 anos completos para pensionistas
  • Valor mínimo: R$ 250,00
  • Valor máximo: R$ 150.000,00

 Idade final do Contrato

Idade máxima para o final do contrato: 74 anos e 11 meses, podendo haver mudanças conforme política atual do convênio.

Documentação

Os documentos necessários para contratação são bem simples conforme abaixo:

  • 2 vias do Termo de Adesão EMP (fornecido pelo Correspondente)
  • 1 via da Planilha de Proposta (fornecido pelo Correspondente)
  • Cópia da Carteira de Identidade e CPF
  • Ultimo Contracheque
  • Comprovante de Residência Atual
  • Comprovante de averbação emitido pelo site

Seguro Prestamista BMG

Com o Seguro Prestamista do Banco BMG, sua tranquilidade e segurança estão garantidos! Contudo, além de concorrer a prêmios mensais, o Banco BMG traz mais este produto fantástico para você!

Autorizados a contratar o Seguro Prestamista

Por exemplo:

  • Clientes que possuam BMG Card;
  • Clientes com idade entre 18 a 79 anos incompletos (Limitado a politica de aceitação do Cartão BMG Card);
  • Todos que possuam saque autorizado ou complementar

O Seguro Prestamista de Vida do banco BMG foi elaborado pensando em você que é prevenido(a) e que se preocupa em proteger o que mais ama neste mundo: sua vida e a vida da sua família.

Cobertura e Assistência Funeral

Por exemplo:

  • Morte qualquer causa;
  • Invalidez Permanente total por acidente (IPTA);
  • Assistência Funeral para o titular do Seguro;
  • Sorteio (Veja as condições na aba “Sorteio”)

Prêmio do Seguro e Forma de Cobrança

Por exemplo:

  • Prêmio do seguro (custo total para 12 meses): Limite do Cartão de Crédito x 4,8%;
  • Forma de Cobrança: Parcela única, lançada somente uma vez na fatura do cartão.

Limites de Cobertura, Prazo de Vigência e Renovação

Por exemplo:

  • Limite de Cobertura para Morte e Invalidez (IPTA): Enfim, valor da proteção do Seguro, será igual ao valor do limite do cartão de crédito que o cliente possuir no momento da contratação do Seguro;
  • OBS: Contudo, o Limite Máximo de contratação é de R$ 35.000,00 (o controle deste limite será feito pelo sistema);
  • Prazo de Vigência do Seguro: Ademais, Seguro terá vigência de 1 ano, iniciando pela data da contratação do Seguro e data do Saque do Cliente;
  • Renovação do Seguro: Portanto, a Renovação do Seguro será efetuada de forma automática, sem necessidade de intervenção da equipe de vendas.

Todo seguro responde e atende as regras da SUSEP. Caso tenha dúvidas sobre o funcionamento do seu Seguro Prestamista, consulte um de nossos representantes.

Sorteios e Regras

  • Sorteio mensal no valor de R$ 2.000,00* para o cliente (este valor é Bruto e será descontado os impostos vigentes no momento do Sorteio conforme legislação). Contudo, o primeiro sorteio acontece no último sábado do mês seguinte á contratação do Seguro. Os demais sorteios acontecem no último sábado dos meses subsequentes;
  • Sorteio de R$ 1.000,00* mensal aos vendedores. Caso o cliente seja sorteado, o vendedor responsável pela venda será premiado também;

* Os valores apresentados são Brutos e serão descontado os impostos vigentes no momento do Sorteio, conforme legislação.

Documentação Necessária

  • RG ou CNH
  • CPF
  • Ultimo Contra-cheque
  • Comprovante de Residência Atual

Enfim, a apresentação de todos os documentos de forma legível e dentro dos prazos de validade ajudam a agilizar seu Seguro Prestamista.

Perguntas e Respostas

  1. O SEGURO INFLUENCIA NO VALOR DO SAQUE DO CLIENTE? Não.
  2. QUAL A DOCUMENTAÇÃO NECESSÁRIA? O termo de adesão a seguro preenchido e assinado.
  3. COMO CANCELAR O SEGURO? O Cliente deverá ligar na centra de atendimento do BMG.
  4. QUANTO CUSTA O SEGURO? 4,8% do valor do limite do cartão, este valor é o custo anual.
  5. QUANTAS VEZES SEREI COBRADO? 1 vez, lançado na fatura do cartão.
  6. O QUE ACONTECE SE NÃO PAGAR A FATURA? O valor do seguro entra no rotativo como uma compra qualquer.
  7. QUANTO TEMPO VALE O SEGURO (Prazo de Vigência)? 12 meses.
  8. RECEBO ALGUM DOCUMENTO? Sim, o certificado será enviado pelo correio, email ou SMS.
  9. SEREI AVISADO SE FOR SORTEADO? Sim, o cliente e a loja serão avisados.
  10. COMO SERÁ A RENOVAÇÃO?: Automática, com débito no cartão.
  11. O QUE FAZER EM CASO DE SINISTRO?: Ligar na Central de Atendimento da Seguradora.
  12. QUAL É A SEGURADORA? A Generali Seguros é a Seguradora, em parceria com o Banco BMG.

Porto Seguro – Seguro de Acidentes Pessoais

Porto Seguro é uma empresa conceituada no mercado e tem como sua marca registrada a qualidade e agilidade em seus serviços e produtos. Contudo, o  Seguro Vida é um dos melhores produtos do seu portfólio. Enfim, hoje em dia, seu diferencial é sua cobertura e os demais serviços agregados, que só a Porto tem.

Autorizados a contratar

  • Qualquer pessoa física;
  • Clientes com idade entre 18 a 80 anos.

O Seguro de Vida da Porto é prático e fácil de contratar. Fale com um de nossos representantes e solicite agora mesmo uma cotação, conforme a sua cobertura.

Seguro Porto Seguro e Coberturas

  • Morte Acidental;
  • Invalidez permanente total ou parcial por acidente
  • Despesas médico-hospitalares e odontológicas

Morte Acidental

Garante o pagamento do Capital Segurado ao(s) beneficiário(s) em caso de Morte Acidental do segurado.

Invalidez permanente total ou parcial por acidente

Consiste no pagamento do capital segurado à própria segurada. Assim, quando ocorrer a invalidez permanente, por motivo de acidente pessoal, devidamente coberto.

Despesas médico-hospitalares e odontológicas

É o pagamento do capital segurado, mediante reembolso, referente às despesas medica hospitalar e odontológica decorrente de acidente coberto, efetuadas exclusivamente pelo segurado para seu tratamento, desde que iniciado nos 30 primeiros dias da data do evento.

Prêmio do Seguro e Forma de Cobrança

A Porto  é especialista em Seguro e está há anos no mercado oferecendo produtos com a garantia e credibilidade. Com um dos pagamentos mais rápidos do Mercado e cobrança através de boleto bancário ou débito em conta a porto facilita sua vida na hora de contratar seu Seguro.

Regulamentação

Este é um produto de propriedade da porto seguro e atende à todos os critérios da SUSEP e demais regulamentos estabelecidos em lei. Trabalhamos com corretores habilitados e credenciados a Porto para executar seu atendimento. Esta cobertura possui restrições para indenização com riscos excluídos, consulte as Condições Gerais.

Seguro Sabemi – APP Premium

O Seguro Sabemi atualmente tem a melhor cobertura e melhores condições para você assegurar seus familiares e entes queridos. Confira abaixo todas as condições que só a Sabemi pode lhe proporcionar.

Autorizados a contratar o Seguro Sabemi

  • Qualquer pessoa física;
  • Clientes com idade entre 18 a 80 anos.

Enfim, o Seguro Sabemi é prático e fácil de contratar. Fale com um de nossos representantes e solicite agora mesmo uma cotação conforme a sua cobertura.

O Seguro de Vida da Sabemi foi elaborado pensando em você que é prevenido(a) e que se preocupa em proteger o que mais ama neste mundo: sua vida e a vida da sua família.

Seguro Sabemi e Coberturas

  • Morte Natural;
  • Morte Acidental;
  • Assistência Alimentação;
  • Descontos em Medicamentos;
  • Assistência Funeral para o titular do Seguro;
  • Sorteio (Veja as condições na aba “Sorteio”)

Indenização por Morte Acidental

Garantia de um importante apoio Financeiro para seu(s) beneficiario(s) em caso de Falecimento por acidente pessoal coberto.

Assistência Alimentação

Contudo, uma ajuda significativa para restabelecer o padrão de vida familiar, através da entrega de um cartão de alimentação no período de 6 (seis) meses no valor de uma cesta básica.

Prêmio do Seguro e Forma de Cobrança

  • Prêmio do seguro conforme opções de sua livre escolha na adesão;
  • Débito em conta;
  • Desconto em Folha;
  • Boleto Bancário.

A Sabemi é especialista em Seguro e está há anos no mercado oferecendo produtos com a garantia e credibilidade que só a SABEMI tem. Portanto, seguro você contrata com seguradora.

Limites de Cobertura, Prazo de Vigência e Renovação

  • Limite de Cobertura para morte  acidental;
  • Cobertura de até R$ 50.000,00 (Cinquenta mil Reais);
  • Sorteio mensal de até R$ 80.000,00 (Oitenta mil Reais);
  • Planos à partir de R$20,00 (vinte reais) mensais;
  • Assistência Alimentação;
  • Assistência Funeral;
  • Descontos em Medicamentos;
  • Prazo de Vigência do Seguro: No entanto, o Seguro terá vigência de 36 meses, iniciando pela data da contratação do Seguro;
  • Renovação do Seguro: No entanto, a Renovação do Seguro será efetuada através de um contato com o cliente pela SABEMI.

Todo seguro responde e atende as regras da SUSEP. Caso tenha dúvidas sobre o funcionamento do seu Seguro de vida, consulte um de nossos representantes.

Sorteios e Regras

  • Os segurados com o pagamento do seu seguro em dia concorrerão ao sorteio conforme seu plano de seguro;
  • O valor bruto será de R$30.000,00 a R$80.000,00, conforme plano escolhido;
  • Os sorteios serão realizados conforme Loteria Federal;
  • Acompanhamento dos sorteios poderão ser realizados pela internet*

Visando a transparência e imparcialidade, a SABEMI disponibiliza para você um canal exclusivo web para acompanhar seus sorteios. Para acessar, basta clicar aqui.

Documentação Necessária Seguro Sabemi

  • RG ou CNH;
  • CPF;
  • Comprovante de Residência Atual;
  • Comprovante Bancário;
  • Termo de Adesão.

A apresentação de todos os documentos de forma legível e dentro dos prazos de validade ajudam a agilizar a cobertura do seu Seguro.

Descontos

O Seguro Sabemi não apenas lhe dá cobertura em caso de morte como em vida faz muito por você. O segurado receberá um cartão de descontos em medicamentos que podem variar;

  • Até 60% de descontos;
  • Qualquer rede de Farmacia credenciada ao Epharma.

Enfim, consulte a lista de medicamentos cadastrados e a rede credenciada clicando aqui

Crédito Pessoal Banco Daycoval

O crédito pessoal banco Daycoval é excelente para quem precisa de dinheiro rápido e fácil. Contudo, além da agilidade no processo de contratação, verificação de documentos e liberação do crédito, o crédito pessoal do banco Daycoval é a sua melhor opção. No entanto, conheça agora mesmo as vantagens do crédito pessoal banco Daycoval.

Crédito Pessoal Banco Daycoval Portal Consignados

Crédito pessoal é uma alternativa rápida e fácil de conseguir dinheiro urgentemente. Ademais, é um empréstimo de médio prazo onde o valor das parcelas são iguais do início ao fim.

Quem pode contratar?

Ademais, este produto poderá ser contratado por:

  • Aposentados e Pensionistas do INSS (Inclusive as espécies 11,12,21,30,31,32,36,40,85,86,87,88,91 e 94).

OBS: Para as espécies 31 e 91, será obrigatório o envio do HISMED. Contudo, será aceito somente o código de conclusão 2 e o contrato liberado deverá terminar 2 meses antes da Data Limite do Hismed. 

O crédito pessoal do Banco Daycoval não é liberado para tutela, curatela ou pensão alimentícia (espécies 10,13,15,25,47,48,50,76,79,80 e 95).

Condições para Contratar:

  • Limite de idade: de 18 a 75 anos
  • Valor Máximo Novo: R$5.000,00
  • Refinanciamento e Renovação: R$8.000,00

Bancos Conveniados (contas aceitas somente nesses bancos)

Caixa Econômica Federal:

Contas aceitas, como por exemplo:
  • Conta Corrente (001)
  • Conta Poupança (013)
  • Conta Eletrônica (023)
Contas não aceitas, como por exemplo:
  • Conta Benefício e Conta tipo 12,37 e 94

Bradesco:

Contas aceitas, como por exemplo:
  • Conta Corrente
  • Conta Poupança
Contas não aceitas, como por exemplo:
  • Contas controladas identificadas pela numeração entre 850.000 e 1.000.000 e contas salário/benefício

Banco Santander:

Contas aceitas, como por exemplo:
  • Conta Corrente tipo 01,03,05 e 92
Contas não aceitas, como por exemplo:
  • Contas tipo 60 e 71 poupanças e contas salário/benefício

Prazos:

Conta na Caixa Econômica Federal, como por exemplo:

  • Margem de 55% (para empréstimo novo, refinanciamento e renovação)
  • Limites: De R$200,00 a R$5.000,00 (para empréstimo novo) e De R$200,00 a R$8.000,00 (para refinanciamento e renovação)
  • Prazo: de 6 a 12x (para empréstimo novo, refinanciamento e renovação)

Conta no Bradesco ou no Santander, como por exemplo:

  • Margem de 55% (para empréstimo novo, refinanciamento e renovação)
  • Limites: De R$200,00 a R$5.000,00 (para empréstimo novo) e De R$200,00 a R$8.000,00 (para refinanciamento e renovação)
  • Prazo: de 8 a 10x (para empréstimo novo) e de 8,10 e 12x (para refinanciamento e renovação)

Para a contratação, o cliente deverá estar com o detalhamento de crédito e o extrato bancário com a movimentação dos últimos 30 dias em mãos.

Condições para o refinanciamento:

  • Contratos realizados em 6x – Mínimo 2 parcelas pagas
  • Contratos realizados em 7x, 8x, 9x e 10x – Mínimo 3 parcelas pagas
  • Contratos realizados em 11x e 12x – Mínimo 4 parcelas pagas
  • Troco mínimo para o cliente de R$100,00

Documentação Necessária:

  • 1 ficha cadastral devidamente preenchida e assinada
  • 1 cédula de crédito bancário
  • 1 autorização para débito em conta corrente
  • 1 autorização para pagamento de empréstimo em débito em conta
  • Documento de identificação (RG e CPF ou CNH, carteiras de órgão de classe, Carteira de Trabalho CTPS)
  • Comprovante de residência (Prazo de emissão de até 90 dias, contas consumo e correspondências comerciais, declaração de residência, contrato de locação com firma reconhecida + 1 comprovante de residência em nome do proprietário citado no contrato)
  • Contracheque atualizado
  • Extrato bancário original com movimentação dos últimos 30 dias (prazo de validade de 4 dias) Não serão aceitos extratos emitidos nos terminais eletrônicos banco 24 horas, via internet, mesa do gerente ou via fax.

No entanto, a modalidade de crédito pessoal é regularizada e fiscalizada pelo Banco Central do Brasil.

Crédito Pessoal PortoCred Financeira

O crédito pessoal PortoCred Financeira é excelente para quem precisa de dinheiro rápido e fácil. Contudo, além da agilidade no processo de contratação, verificação de documentos e liberação do crédito, o crédito pessoal da PortoCred Financeira é a sua melhor opção. No entanto, conheça agora mesmo as vantagens do crédito pessoal PortoCred Financeira.

Crédito Pessoal PortoCred Financeira Portal Consignados

Crédito pessoal é uma alternativa rápida e fácil de conseguir dinheiro urgentemente. Ademais, é um empréstimo de médio prazo onde o valor das parcelas são iguais do início ao fim.

Quem pode contratar?

Ademais, este produto poderá ser contratado por:

  • Aposentados e Pensionistas (Não exige tempo de conta e atividade)
  • Funcionário Público (05 meses de conta e não exige tempo de atividade)
  • Assalariado (05 meses de conta e 05 meses de atividades)
  • Professor(a) Liberal (05 meses de conta e 12 meses de atividade)
  • Empresário (05 meses de conta e 12 meses de atividade)
  • Serviços Domésticos (12 meses de conta e 12 meses de atividade)
  • Autônomo (12 meses de conta e 12 meses de atividade)

Condições para Contratar:

  • Limite de idade: de 18 a 80 anos
  • Limite de valores: de R$300,00 a R$35.000,00
  • Prazo: de 09 a 36x (com carência de 15 a 60 dias)
  • Renda: Bruta igual ou superior ao salário mínimo nacional
  • Valor a liberar: até 2x a renda do cliente
  • Refinanciamento: a partir da 6ª parcela ou 50% do contrato

Vantagens, como por exemplo:

  • Contratação rápida e fácil
  • Limite de valores disponíveis acima da concorrência
  •  Opção de contratação de seguro de proteção financeira

Documentação Necessária, como por exemplo:

  • Documento de identificação (RG e CPF ou CNH, carteiras de órgão de classe, Carteira de Trabalho CTPS)
  • Comprovante de residência (Prazo de emissão de até 60 dias, contas consumo e correspondências comerciais, contrato de locação com firma reconhecida no nome do cliente ou parente de 1º grau)
  • Comprovante de renda atualizado (Detalhamento de crédito)
  • Imagem dos cheques preenchidos e assinados

No entanto, a modalidade de crédito pessoal é regularizada e fiscalizada pelo Banco Central do Brasil.

Crédito Pessoal Banco Mercantil

O crédito pessoal banco Mercantil é excelente para quem precisa de dinheiro rápido e fácil. Contudo, além da agilidade no processo de contratação, verificação de documentos e liberação do crédito, o crédito pessoal do banco Mercantil do Brasil é a sua melhor opção. Conheça agora mesmo as vantagens do crédito pessoal banco Mercantil do Brasil.

Crédito Pessoal Banco Mercantil do Brasil

Crédito pessoal é uma alternativa rápida e fácil de conseguir dinheiro urgentemente. Ademais, é um empréstimo de médio prazo onde o valor das parcelas são iguais do início ao fim.

OBS: Em suma, o crédito pessoal banco Mercantil foi liberado apenas para os estados de São Paulo e Minas Gerais e para a cidade de Goiânia.

Quem pode contratar?

Ademais, este produto poderá ser contratado por Aposentados e Pensionistas do INSS.

OBS: Em suma, o contratante não poderá ter nenhum vínculo com o banco Mercantil do Brasil e o CPF deverá estar com situação cadastral com o status Regular.

Limite de idade:

  • De 22 a 85 anos (para cadastro da abertura de conta)
  • De 23 a 89 anos (para crédito)

Valores disponíveis para contratação

  • Valor mínimo: R$150,00 (cento e cinquenta reais)
  • Valor máximo: R$4.000,00 (quatro mil reais)

Prazos

  • 6x (seis vezes)
  • 12x (doze vezes)

Espécies Atendidas

Contudo, a seguir veremos no quadro as espécies atendidas para a contratação do crédito pessoal do banco Mercantil do Brasil.

Vantagens

  • Margem permitida: até 30% do salário
  • Conta bancária para recebimento do benefício e demais movimentações
  • Pacote de Serviços (isento de tarifa por 2 meses)
  • Crédito Rotativo
  • Cartão Múltiplo

Documentação Necessária

  • Documento de identificação (RG e CPF ou CNH, carteiras de órgão de classe, passaporte brasileiro)
  • Comprovante de residência (Prazo de emissão de até 90 dias, contas consumo e correspondências comerciais, contrato de locação com firma reconhecida no nome do titular ou parente de 1º grau – Deve-se comprovar o parentesco)
  • Comprovante de renda (Detalhamento de crédito)

Enfim, a modalidade de crédito pessoal é regularizada e fiscalizada pelo Banco Central do Brasil.

Débito em Conta Daycoval

Débito em Conta Daycoval +Vantagens

O Débito em conta Daycoval tem uma das melhores opções em taxas  do Mercado, com agilidade na liberação e prazos flexíveis para pagar. Esta modalidade de crédito tem taxas de juros diferenciadas e prazos menores para pagar.

O Débito em conta Daycoval é uma operação de crédito aonde as parcelas são descontadas diretamente de sua conta corrente. No entanto, para poder solicitar esta modalidade de crédito, é obrigatório possuir uma conta corrente.

Diferenciais no Débito em Conta

Desfrute das vantagens que só o Banco Daycoval pode oferecer para você. Por exemplo:

  • Uma das mais rápidas liberações do Mercado
  • Processo simplificado evitando perda de tempo
  • O Banco Daycoval possuí uma das melhores taxas

Não se preocupe com nada. Aliás, resolvemos para você em um piscar de olhos, pois temos um time de especialistas.

Taxa de Juros

O Banco Daycoval tem uma das melhores taxas de juros do mercado para esta modalidade de crédito, além de lhe oferecer opções em prazos mais flexíveis.

Prazo de Liberação

Ademais, temos uma das liberações mais rápidas do mercado! Chega de espera e angustia. Portanto, solicite agora e receba uma avaliação Rápida e Ágil pelo time de consultores exclusivos de Débito em Conta do Banco Daycoval. Aliás, tenha seu crédito em até 24 horas!

Público Alvo

O Débito em Conta do Banco Daycoval está disponível para o seguinte público:

  • Funcionários Públicos Federais, Estaduais e Municipais (estatutários, celetistas, contratados e comissionados);
  • Aposentados e Pensionistas;
  • Militares (estabilizados e não estabilizados);
  • Beneficiários do INSS;
  • Aposentados e Pensionistas de Previdência Complementar (empresas de economia mista).

Amparo Legal

O Débito em Conta é regulamentado pelo Banco Central e atende à todas as regras do mercado. Contudo, respeita as Leis que regulamentam o setor e modalidade de Crédito.

Você Sabia?

O débito em Conta é uma modalidade de crédito recomendada para aqueles casos aonde se esgotaram todas as possibilidades de empréstimo consignado. No entanto, por ter uma taxa de juros maior, recomendamos que consulte primeiro suas possibilidades no crédito Consignado.

Documentação Necessária

No entanto, os documentos necessários para contratação de seu Débito em Conta são:

  • RG;
  • CPF;
  • Comprovante de residência;
  • Contracheque;
  • Extrato de conta corrente dos últimos 30 dias (retirado no caixa eletrônico).

Crefisa Empréstimos

Crefisa se destacou no mercado levando aos negativados uma opção em crédito, atuando em um nicho de mercado até então ignorado pelos bancos de rede. Clientes que recebem pelo LOAS, auxílio doença e clientes sem margem consigável podem fazer o débito em conta. Continue lendo e veja se sua situação funcional é atendida.

Como Funciona o Empréstimo da Crefisa?

A Crefisa não faz consignado e foi feita para você que está negativado ou sem margem consignável. No entanto, as parcelas são descontadas diretamente da sua conta corrente e os valores liberados são proporcionais a sua renda.

Basta ter uma conta bancária apta para receber crédito e agendamento de débitos. se você precisa fazer um empréstimo pessoal e não tem mais margem a Crefisa pode te ajudar.

Os beneficiário do inss tem utilizado a Crefisa em situações extremas, devido a alta taxa de juros é mais comum o aposentado e pensionista recorrer a crefisa em casos onde suas opções no empréstimo consignado já se esgotaram.

A crefisa é uma financeira com mais de 50 anos de história, atualmente conta com mais de 1000 pontos de atendimento pelo brasil todo e seu atendimento pode ser realizado por telefone, pessoalmente, app ou pela sua rede de correspondentes parceiros espalhados por todo território nacional.

Documentos Necessários

Contudo, após fazer um agendamento é importante levar os seguintes documentos:

  • RG e CPF originais
  • Ser pessoa física
  • Comprovante de residência atual original
  • Dois últimos comprovantes de rendimento originais
  • Extrato bancário original com o último crédito do salário

Esta modalidade somente está disponível para quem comprove renda. Ademais, veja a política de crédito, que está logo abaixo, para verificar se poderá ser atendido.

Política de crédito

O empréstimo da Crefisa está disponível para o seguinte público:

  • Servidores Públicos Federais
  • Servidores Estaduais
  • Servidores Municipais
  • Aposentados e Pensionistas do INSS
  • Beneficiários de Fundo de Previdência Privada
  • Celetistas de empresas de economia mista
  • Empréstimo para negativados

O Empréstimo Pessoal Crefisa apesar de não observar restrições no nome, está condicionada a analise de crédito e política de crédito.

Prazo de Aprovação

A Crefisa faz analise no mesmo dia, ou seja, comparecendo a uma loja da Crefisa munido de todos os documentos necessários a analise é bem rápida.

Valores Aprovados na Crefisa

Os valores são analisados caso a caso, podendo variar de 60% a 70% do valor da renda. Um grande diferencial é que você pode unir duas rendas do mesmo CPF. Situação que não acontece, como por exemplo no Empréstimo Consignado. Receba o dinheiro em conta corrente fazendo um empréstimo na Crefisa!

Prazo para Pagamento das Parcelas

O prazo pode variar de 6 a 15 meses conforme capacidade de pagamento, considerando sempre o valor da parcela como parâmetro de comprometimento de renda.

Tempo para Crédito do Empréstimo

O tempo para você receber o crédito em sua conta é de 24 horas, podendo mudar conforme necessidade de uma analise mais complexa.

Parcelas em Atraso

Caso você tenha parcelas em atraso, existe uma tolerância. A instituição tem uma política amigável com acordos e renegociações. Para efetivar, basta se dirigir a uma loja.

Taxa de Juros

As taxas de juros podem variar conforme perfil, prazo e valor emprestado. Contudo, em média as taxas podem chegar a um custo efetivo total a 20% ao mês.

Imposto de renda

Uma dúvida bem comum é se deve declarar no imposto de renda os empréstimos contratados na Crefisa, por regram somente se o valor emprestado for maior que R$ 5.000,00,  mas caso deseje declarar mesmo assim deverá ser  declarado na ficha “Dívidas e Ônus Reais”. Escolha o código conforme o tipo de instituição:

11 – Estabelecimento bancário comercial (banco) ou 12 – Sociedade de crédito, financiamento e investimento (financeira).

Informe o endereço e CNPJ
Crefisa S.A. Crédito Financiamento e Investimentos
CNPJ: 60.779.196/0001-96
Endereço: Rua Canadá, 387 – Jd. América, São Paulo – SP CEP: 01.436-900*

Centrais de Atendimento

Se necessitar falar com a Crefisa, pode ligar na central de relacionamento nos telefones:

  • 4004 4001
  • 0800 722 4444
  • 0800 727 4884

Nós, do Portal Consignados, testamos as centrais e o atendimento é muito amigável e prestativo. Este produto é regulamentado pelo Banco Central do Brasil.

Compra de Dívida Domus Imóvel com Garantia

A Compra de Dívida Domus Imóvel com Garantia, que também é conhecida como empréstimo com garantia de imóvel, é uma linha de crédito que o cliente pode utilizar para qualquer finalidade, tendo como garantia um imóvel quitado ou não de sua propriedade ou de terceiros, (desde que participem da operação com você, como por exemplo um imóvel em nome de um parente).

No entanto, é vantajoso para quem contrata, pois as taxas de juros são menores.

O empréstimo com garantia de imóvel da Cia. Domus é um empréstimo na qual o cliente deixa como garantia um imóvel para adquirir algum bem ou reformar o imóvel, fazer uma viagem, entre outros.

A quem se destina?

A Compra de Dívida Domus Imóvel é um produto destinado exclusivamente à Pessoa Física (como por exemplo: assalariado, pensionista, aposentado, funcionário público, empresário, investidor, profissional liberal e autônomo).

Compra de dívida + Vantagens

  • Na Domus, o cliente não precisa de desfazer do imóvel, pois ele será usado apenas como garantia da operação. Ademais, ele poderá estar alugado ou em uso pelo proprietário na solicitação da empréstimo com Garantia de Imoveis da Domus.
  • Prazo de até 20 anos para pagar.
  • Além do mais, terá de 30 a 90 dias de carência para início do pagamento.

A Compra de Dívida Domus Imóvel é muito simples e fácil de solicitar. No entanto, basta clicar em solicitar e preencher um formulário de contato para que nosso time de consultores possa entrar em contato.

Taxa de Juros

A taxa de juros da Compra de Dívida é competitiva e é dividida em 2 opções, como por exemplo:

  • taxa pós-fixada
  • taxa pré-fixada

Taxa pós-fixada

  • Taxa Pactuada: A partir de 1,14% a.m.
  • Valor Mínimo do Imóvel: 150 mil reais
  • Valor Máximo do Imóvel: Sem limite
  • Valor mínimo emprestado: 30 mil reais
  • Valor máximo emprestado: 1,5 milhão de reais
  • Comprometimento da renda: até 30%
  • Idade mínima: 21 anos
  • Idade máxima: 70 anos (fim do contrato)

Taxa pré-fixada

  • Valor Mínimo do Imóvel:150 mil reais
  • Valor Máximo do Imóvel: Sem limite
  • Valor mínimo emprestado: 30 mil reais
  • Valor máximo emprestado: 1,5 milhão de reais
  • Comprometimento da renda: até 30%
  • Idade mínima: 21 anos
  • Idade máxima: 70 anos (fim do contrato)

Tarifas

Na Domus, todas as tarifas podem ser incluídas na operação, até mesmo o cartório!

  • Tarifa de Cadastro
  • Tarifa de Avaliação de bens recebidos em Garantia
  • Tarifa de Analise Jurídica
  • Etc.

Cartório

Valor: Variável de acordo com o Cartório de Registro de Imóveis de cada Região.

Objetivo: Para a liberação do recurso, o contrato deverá ser registrado no Cartório de Registro de Imóveis e a matrícula deverá ser averbada (Alienada).

Quando e como é cobrado? O cliente dá OK e um despachante da DOMUS retira o contrato assinado na casa do cliente, ou onde for melhor (em todos os municípios atendidos) e leva ao cartório. No entanto, lá no cartório o despachante paga as taxas necessárias e acompanha o registro do contrato. Esse valor será posteriormente incluído na sua operação de crédito pela Domus. Assim você não precisará colocar a mão no bolso.

Política de Crédito

O cliente poderá compor renda com até 4 pessoas, independentemente se forem ou não parentes.

O valor das parcelas do empréstimo pode comprometer, no máximo, 30% do total da renda bruta mensal do cliente ou da renda composta.

Imóvel como Garantia

O imóvel a ser utilizado como garantia poderá ser novo ou usado, residencial, comercial ou de veraneio em um dos municípios atendidos desde que esteja em nome de uma pessoa física.

  • Apenas 1 imóvel poderá ser aceito como garantia;
  • O imóvel NÃO precisa estar quitado mas precisa possuir escritura definitiva e Habite-se;
  • O imóvel deverá estar regularizado junto a Prefeitura e ao Cartório;
  • O imóvel da garantia poderá estar alienado ou hipotecado para outra instituição, não tem problema.
  • O proponente poderá utilizar um imóvel de outro estado do país como garantia

Documentação Necessária para análise de crédito

Documentação por categoria profissional para proponente, 2ª renda, Cônjuge e Avalista, se for o caso.

Assalariado e Funcionário Público

  • 03 últimos holerites
  • Declaração do IRPF último exercício, incluindo recibo de entrega. Contudo, caso seja isento do IR, deverá ser apresentada a Declaração de Isenção do Imposto de Renda.

Aposentado e Pensionista

  • 03 últimos comprovantes ou 03 últimos extratos do benefício. Ademais, se for aposentado pelo INSS, apresentar cópia simples do último comprovante ou último extrato do benefício.
  • IRPF do último exercício

Empresário (comerciante, industrial, firma individual, micro, média e grande empresa)

  • Declaração do IRPF último exercício, incluindo recibo de entrega.
  • Contrato Social/Estatuto Social e/ou última consolidação
  • 03 últimos extratos PF;
  • 03 últimos extratos PJ;
  • Declaração do Imposto Pessoa Jurídica (DIPJ) ou Escrituração Contábil Fiscal (ECF), último exercício, incluindo recibo de entrega;
  • Relação de Faturamento dos últimos 12 meses da empresa (em papel timbrado, assinado pelo contador);

OBS: Contudo, na Análise de Crédito poderá ser solicitado o Balanço/DRE dos 02 últimos exercícios.

Autônomo

  • Taxista: Alvará em nome, DUT sem reserva em nome e Condutax;
  • Caminhoneiro: Contrato de prestação de serviço e/ou Declaração da Empresa, Cadastro na ANT, D.E.R.;
  • Produtor Rural: ITR (Imposto sobre propriedade Territorial Rural) ou INCRA (Instituto Nacional de Colonização e Reforma Agrária);
  • Agricultor/Assemelhados: NF de Produtor Rural e Título aquisitivos ou Certidão de propriedade atualizada ou contrato de arrendamento do imóvel objeto de exploração ou ITR.

Profissional Liberal

  • Declaração de IRPF último exercício, incluindo recibo de entrega. No entanto, caso seja isento do IR, deverá ser apresentada a Declaração de Isenção do Imposto de Renda.

Contudo, a Compra de Dívida Domus Imóvel é regulamentada e fiscalizada pelo Banco Central do Brasil.

Compra de Dívida Barigui Imóvel

Simule e Contrate sua Compra de Dívida Barigui Imóvel como garantia

A Compra de Dívida Barigui Imóvel, que também é conhecida como empréstimo com garantia de imóvel, é uma linha de crédito que o cliente pode utilizar para qualquer finalidade, tendo como garantia um imóvel quitado de sua propriedade. No entanto, é vantajoso para quem contrata, pois as taxas de juros são menores.

O empréstimo com garantia de imóvel da Barigui Financeira é um empréstimo na qual o cliente deixa como garantia um imóvel dele quitado para adquirir algum bem ou reformar o imóvel, fazer uma viagem, entre outros.

Ademais, a Compra de Dívida Barigui Imóvel é muito simples e fácil de solicitar. No entanto, basta clicar em Solicite, escolher a opção Barigui e preencher um formulário de contato para que nosso time de consultores possa entrar em contato.

Compra de dívida Barigui + Vantagens

As vantagens da compra de dívida Barigui Imóvel são como por exemplo:

  • Análise de crédito flexível e sem custos;
  • Todas as custas (exceto avaliação do imóvel) podem ser incluídas no crédito solicitado;
  • Carência de até 90 dias para começar a pagar;
  • Imóveis residenciais ou comerciais
  • Imóveis não averbados
  • Imóveis alienados em outros bancos ou parcialmente quitados
  • Imóveis em nome de terceiros (crédito de até 70% do valor de avaliação do imóvel para aquisição)
  • Prazo máximo do financiamento: 15 anos
  • Valor mínimo do imóvel: 150 mil reais
  • Valor mínimo financiamento: 50 mil reais

A quem se destina?

Ademais, a Compra de Dívida Barigui Imóvel é um produto destinado para pessoa física (como por exemplo para fazer viagens, comprar materiais para reformar a casa, pagar a mão de obra, etc, …) e para pessoa jurídica (como por exemplo para empreender ou investir em sua empresa para repor estoque, capital de giro, aumentar o fluxo de caixa, renovar os esquipamentos, etc, …).

Taxa de Juros

A taxa de juros da Compra de Dívida Barigui é competitiva e é dividida em 2 opções, como por exemplo:

  • taxa pessoa física
  • taxa pessoa jurídica

Taxa (Pessoa Física)

As taxas de Pessoa Física da compra de dívidas Barigui são como por exemplo:

  • Residencial Averbado: de 1,22% a 1,97%
  • Residencial Não Averbado: de 1,35% a 1,98%
  • Comercial Averbado: de 1,64% a 2,27%
  • Comercial Não Averbado: 1,84% a 2,74%

Taxa (Pessoa Jurídica)

As taxas de Pessoa Jurídica da compra de dívidas Barigui são como por exemplo:

  • Residencial Averbado: de 1,64% a 2,27%
  • Comercial Averbado: de 1,94% a 2,57%
  • Não Averbado: 2,14% a 3,04%

Documentação Necessária

Assalariado

A Documentação Necessária da compra de dívidas Barigui de Assalariado é como por exemplo:

  • Valor financiado: Até 500 mil reais
  • 03 últimos holerites
  • Declaração do IRPF último exercício
  • Refin (aporte), incluir matrícula do imóvel
  • Aquisição: informar dados do vendedor do imóvel na ficha

No entanto, se o valor for acima de 500 mil reais, serão pedidas as duas últimas declarações de IRPF.

Empresário

A Documentação Necessária da compra de dívidas Barigui de Empresário é como por exemplo:

  • 06 últimos meses fechados de extratos bancários
  • 02 últimas declarações de IRPF e DIRPJ
  • Contrato Social e alteração contratual consolidada
  • Refin, incluir matrícula do imóvel
  • Aquisição: informar dados do vendedor do imóvel na ficha

OBS: Ademais, para operação de Refin (aporte), se o imóvel estiver em nome de pessoa jurídica, preencher a ficha pessoa jurídica. Se o imóvel estiver em nome de pessoa física, preencher a respectiva ficha mesmo utilizando renda da empresa. 

Garantias de Imóveis não aceitas

As garantias de imóveis não aceitas na compra de dívidas Barigui são como por exemplo:

  • Unidade produtiva (empresa do cliente)
  • Galpão
  • Terreno acima de 1.000 metros quadrados
  • terreno em beira de rodovia ou rural
  • Hospital
  • Creche
  • Escola

Contudo, a Compra de Dívida Barigui Imóvel com garantia é regulamentada e fiscalizada pelo Banco Central do Brasil.

Compra de Dívida Intermedium Imóvel

A Compra de Dívida Intermedium Imóvel, que também é conhecida como empréstimo com garantia de imóvel, é uma linha de crédito que o cliente pode utilizar para qualquer finalidade, tendo como garantia um imóvel quitado de sua propriedade. No entanto, é vantajoso para quem contrata, pois as taxas de juros são menores.

Contudo, o empréstimo com garantia de imóvel do banco Intermedium é um empréstimo na qual o cliente deixa como garantia um imóvel dele quitado para adquirir algum bem ou reformar o imóvel, fazer uma viagem, entre outros.

A quem se destina?

Ademais, a Compra de Dívida Intermedium Imóvel é um produto destinado para pessoa física e para pessoa jurídica.

Planos – Compra de dívida Intermedium + Vantagens

Credflex

Confira abaixo as vantagens e características do plano Credflex, como por exemplo:

Vantagens e Características

  • Refinanciamento de imóvel residencial e comercial
  • Financiamento de até 50% do valor do imóvel
  • Taxa fixa 1,90% a.m. com débito automático em conta do banco Intermedium
  • Taxa 1,98% a.m. no boleto
  • Prazo máximo do financiamento: 7 anos
  • Tabela Price
  • Comprometimento de renda de até 30%

Credflex / IPCA

Confira abaixo as vantagens e características do plano Credflex / IPCA, como por exemplo:

Vantagens e Características

  • Financiamento de até 50% do valor do imóvel
  • Taxa fixa 1,40% + IPCA a.m. com débito automático em conta do banco Intermedium
  • Taxa 1,50% + IPCA a.m. no boleto
  • Pessoa Jurídica: 1,50% + IPCA a.m. no boleto
  • Prazo máximo do financiamento: 15 anos
  • Tabela SAC

Credflex / Linha Verde

Confira abaixo as vantagens e características do plano Credflex / Linha Verde, como por exemplo:

Vantagens e Características

  • Refinanciamento imobiliário mais ágil e sem burocracia do mercado
  • Análise inteligente de crédito que possibilita a liberação do recurso em tempo recorde.
  • Cliente fica isento de até 50% da documentação necessária para o processo padrão
  • Flexibilidade no laudo do imóvel (avaliação feita pelo banco)
  • Operações com valor máximo de 500 mil reais
  • Liberação de crédito para pessoa física

Credcasa

Confira abaixo as vantagens e características do plano Credcasa, como por exemplo:

Vantagens e Características

  • Aquisição de imóveis residenciais e comerciais
  • Destinado a pessoas físicas e jurídicas
  • Financiamento de até 70% do valor do imóvel
  • Pode ser usado o FGTS como sinal
  • Taxa fixa 1% + IPCA a.m. com débito automático em conta do banco Intermedium
  • Taxa 1,10% + IPCA a.m. no boleto
  • Prazo máximo do financiamento: 20 anos
  • Tabela SAC
  • Comprometimento de renda de até 30%

Compra de Recebíveis (Para sua Construtora)

Confira abaixo as vantagens e características do plano Compra de Recebíveis, como por exemplo:

Vantagens e Características

  • Oferecer às incorporadoras / construtoras a compra dos recebíveis gerados pelos financiamentos a longo prazo, permitindo a antecipação dos recursos financeiros para equalização do fluxo de caixa.
  • Efetivação através dos desligamentos dos clientes junto às construtoras, compras de CCIs (Cédulas de Crédito Imobiliário) ou cessão dos direitos creditórios
  • Remoção dos ativos no balanço financeiro
  • Encerramento de SPE (Sociedade de Propósito Específico)
  • Ótimo para finalização de obras, aquisição de terrenos, início de novos empreendimentos, quitação de dívidas, entre outras.

Giro de Estoque (Para sua Construtora)

Confira abaixo as vantagens e características do plano Giro de Estoque, como por exemplo:

Vantagens e Características

  • Crédito com garantia de imóvel para pessoa física (proprietários de construtora / incorporadora)
  • Giro de Estoque para construtoras oferece prazos prolongados de pagamento de até 48 meses e volumes de capital de até 50% do valor dos imóveis alienados
  • Taxas competitivas
  • É uma forma interessante de construtoras / incorporadoras captarem recursos a taxas vantajosas, através da alienação de imóveis de seu estoque

Repasse / Desligamento (Para sua Construtora)

Confira abaixo as vantagens e características do plano Repasse / Desligamento, como por exemplo:

Vantagens e Características

  • Produto destinado às construtoras e incorporadoras que possuem carteiras de repasse em fase de desligamento bancário
  • Banco Intermedium assessora as construtoras e incorporadoras colocando à disposição de seus clientes uma gama de opções de financiamento e uma análise de crédito ágil e diferenciada no momento do repasse bancário
  • Atendemos pessoas físicas e jurídicas que desejam adquirir ou financiar o saldo pós-chaves de imóveis residenciais ou comerciais.

Ademais, a Compra de Dívida Intermedium Imóvel é muito simples e fácil de solicitar. No entanto, basta clicar em solicitar e preencher um formulário de contato para que nosso time de consultores possa entrar em contato.

Crédito Imobiliário Banco Intermedium com Garantia de Imóvel

Documentação do Comprador ou Solicitante Credflex e Credcasa

A Documentação Necessária para o comprador ou o solicitante providenciar para os planos Credflex e Credcasa é como por exemplo:

  • Ficha Cadastral PF preenchida e assinada (igual ao RG enviado) por todos os envolvidos
  • Ficha Bacen preenchida e assinada (igual o RG enviado) por todos os envolvidos
  • Ficha C/C preenchida e assinada (igual o RG enviado) por todos os envolvidos
  • Ficha Seguro preenchida e assinada (igual o RG enviado) por todos os envolvidos
  • Cópia Legível do CPF e RG ou CNH
  • Registro Civil (certidão de nascimento / casamento / viúvo, separado ou divorciado)
  • Cópia Simples do comprovante de residência atual (conta de gás, luz, telefone e água)
  • Extrato bancário PF dos últimos 3 meses
  • Cópia Simples da declaração do Imposto de Renda do último exercício, inclusive protocolo de entrega.

OBS: Contudo, no caso de existir cônjuge, deverão ser apresentados os mesmos documentos solicitados para o proponente comprador / devedor.

Documentação Necessária para comprovação da renda

Assalariado

A Documentação Necessária da compra de dívida Intermedium Imóvel que o Assalariado terá que apresentar é como por exemplo:

  • Cópia simples dos holerites dos 03 últimos meses
  • Cópia da carteira de trabalho (por exemplo: nome, contrato de trabalho)

Empresário

A Documentação Necessária da compra de dívida Intermedium Imóvel que o Empresário terá que apresentar é como por exemplo:

  • Ficha cadastral PJ preenchida e assinada (com autorização para consulta BACEN)
  • Extrato bancário PJ dos últimos 3 (três) meses
  • Contrato Social e alterações contratuais
  • IRPJ do último exercício inclusive protocolo de entrega
  • Declaração de faturamento mensal dos últimos 12 meses

Profissional Liberal / Autônomo

A Documentação Necessária da compra de dívida Intermedium Imóvel que o Profissional Liberal / Autônomo terá que apresentar é como por exemplo:

  • Contratos de prestações de serviço
  • Cópia simples dos extratos bancários PF dos últimos 3 meses

Aposentado / Pensionista / Funcionário Público

A Documentação Necessária da compra de dívida Intermedium Imóvel que o Aposentado / Pensionista / Funcionário Público terá que apresentar é como por exemplo:

  • Cópia Simples dos últimos 3 meses de vencimentos

Pecuarista / Agricultor

A Documentação Necessária da compra de dívida Intermedium Imóvel que o Pecuarista / Agricultor terá que apresentar é como por exemplo:

  • Cópia Simples de Nota Fiscal de venda de mercadoria (se houver)
  • Cópia Simples dos extratos bancários dos últimos 6 meses

Proprietário de Imóvel – Renda de Alugueis

A Documentação Necessária da compra de dívida Intermedium Imóvel que o Proprietário de Imóvel terá que apresentar é como por exemplo:

  • Cópia de contrato de locação (registrado e/ou com firma reconhecida)
  • Cópia simples dos 3 últimos meses dos recibos de locação
  • Cópia simples dos extratos bancários dos 6 últimos meses

Documentos do Vendedor do Imóvel (processo CREDCASA)

A Documentação Necessária da compra de dívida Intermedium Imóvel que o Vendedor do Imóvel (processo CREDCASA) terá que apresentar é como por exemplo:

  • Cópia Simples do RG e CPF de todos os proprietários
  • Cópia Simples do comprovante de residência atual
  • Registro Civil – Certidão de Nascimento / Casamento / Viúvo / Separado / Divorciado

Documentos do Imóvel em Garantia

A Documentação Necessária da compra de dívida Intermedium Imóvel que  deverá ser apresentada quanto ao imóvel é como por exemplo:

  • Cópia Simples do IPTU do Imóvel
  • Cópia Simples da matrícula do imóvel (registro)
  • Fotos do imóvel em garantia: internas e externas

Contudo, a Compra de Dívida Intermedium Imóvel com garantia é regulamentada e fiscalizada pelo Banco Central do Brasil.

Compra de Dívida Daycoval

A Compra de Dívida Daycoval Imóvel é uma linha de crédito que o cliente pode utilizar para qualquer finalidade, tendo como garantia um imóvel quitado de sua propriedade. No entanto, é vantajoso para quem contrata, pois as taxas de juros são menores.

O empréstimo com garantia de imóvel do banco Daycoval é um empréstimo na qual o cliente deixa como garantia um imóvel dele quitado para adquirir algum bem ou reformar o imóvel, reestruturar as dívidas, empreender, fazer uma viagem, entre outros.

A quem se destina?

A Compra do banco  Daycoval Imóvel com Garantia é um produto destinado para pessoas físicas que possuam imóveis com documentação regular.

Compra de dívida Banco Daycoval + Vantagens

As vantagens da compra de dívida do Banco Daycoval são como por exemplo:

  • Estar no nome do tomador de crédito;
  • Ser residencial, urbano, comercial, mistos ou de veraneio;
  • Estar quitado, com habite-se e documentação regular;
  • Prazo de 1 até 15 anos para pagar.

A Compra de Dívida Daycoval Imóvel com garantia é muito simples e fácil de solicitar. No entanto, basta clicar em solicitar e preencher um formulário de contato para que nosso time de consultores possa entrar em contato.

Características do produto

As características da compra de dívida do Banco Daycoval são como por exemplo:

  • Taxa efetiva mensal: A partir de 1,98%;
  • Idade mínima para contratar: 21 anos;
  • Idade máxima para contratar: 80 anos;
  • Valor mínimo do imóvel: 200 mil reais;
  • Valor máximo do imóvel: 2 milhões de reais;
  • Valor mínimo financiamento: 50 mil reais;
  • Valor máximo financiamento: 1 milhão de reais;
  • Comprometimento da renda: até 30% da renda coma a parcela mensal;
  • Composição da renda: até 4 pessoas (como por exemplo cônjuge, companheiro, pais, filhos e irmãos).

Documentação Necessária

A documentação necessária do banco Daycoval é como por exemplo:

  • Comprovante de renda
  • CPF
  • Documento de identificação (RG / RNE / Habilitação)
  • Formulário – DPS (Declaração Pessoal de Saúde)
  • Comprovante de residência
  • Comprovante de estado civil
  • Matrícula do Imóvel no Registro de Imóveis (Cópia Simples)
  • Aviso Recibo de IPTU e/ou Documento onde conste a Área do Terreno Construída (como por exemplo na capa do carnê)
  • Ficha Cadastral / Proposta – Pessoa Física

Contudo, a Compra de Dívida Daycoval Imóvel com Garantia é regulamentada e fiscalizada pelo Banco Central do Brasil.

Compra de Dívida BV Imóvel com Garantia

A Compra de Dívida BV Imóvel, que também é conhecida como empréstimo com garantia de imóvel, é uma linha de crédito que o cliente pode utilizar para qualquer finalidade, tendo como garantia um imóvel quitado de sua propriedade. No entanto, é vantajoso para quem contrata, pois as taxas de juros são menores.

Compra de Dívida BV Imóvel

O empréstimo com garantia de imóvel da BV Financeira é um empréstimo na qual o cliente deixa como garantia um imóvel dele quitado para adquirir algum bem ou reformar o imóvel, fazer uma viagem, entre outros.

A quem se destina?

A Compra de Dívida BV Imóvel é um produto destinado exclusivamente à Pessoa Física (como por exemplo: assalariado, pensionista, aposentado, funcionário público, empresário, investidor, profissional liberal e autônomo).

Compra de dívida BV + Vantagens

  • Na BV Financeira, o cliente não precisa de desfazer do imóvel, pois ele será usado apenas como garantia da operação. Ademais, ele poderá estar alugado ou em uso pelo proprietário na solicitação da Compra de Dívida BV.
  • O cliente terá até 10 anos para pagar.
  • Além do mais, terá 45 dias de carência para início do pagamento.

A Compra de Dívida BV Imóvel é muito simples e fácil de solicitar. No entanto, basta clicar em solicitar e preencher um formulário de contato para que nosso time de consultores possa entrar em contato.

Taxa de Juros

A taxa de juros da Compra de Dívida BV é competitiva e é dividida em 2 opções, como por exemplo:

  • taxa pós-fixada
  • taxa pré-fixada

Taxa pós-fixada

  • Taxa Pactuada: A partir de 1,47% a.m.
  • Valor Mínimo do Imóvel: 100 mil reais
  • Valor Máximo do Imóvel: Sem limite
  • Valor mínimo emprestado: 40 mil reais
  • Valor máximo emprestado: 1 milhão de reais
  • Comprometimento da renda: até 30%
  • Idade mínima: 21 anos
  • Idade máxima: 70 anos (fim do contrato)

Taxa pré-fixada

  • Valor Mínimo do Imóvel: 60 mil reais
  • Valor Máximo do Imóvel: Sem limite
  • Valor mínimo emprestado: 40 mil reais
  • Valor máximo emprestado: 1 milhão de reais
  • Comprometimento da renda: até 30%
  • Idade mínima: 21 anos
  • Idade máxima: 70 anos (fim do contrato)

Tarifas

Na BV Financeira, existem 2 tipos de tarifas, como por exemplo:

  • Tarifa de Cadastro
  • Tarifa de Avaliação de bens recebidos em Garantia

Tarifa de Cadastro

Valor da tarifa: R$ 800,00

Objetivo: Essa tarifa é cobrada pela BV Financeira para a realização de pesquisa junto aos órgãos de proteção ao crédito, base de dados e informações cadastrais, para análise e tratamento dos dados necessários ao início do relacionamento para a concessão do crédito.

Quando e como é cobrado? Na entrada da proposta o sistema avaliará a necessidade de cobrança da tarifa e incluirá automaticamente ao valor emprestado.

Tarifa de Avaliação de Bens Recebidos com Garantia

Valor da tarifa: R$ 1.200,00

Objetivo: A tarifa é cobrada pela BV Financeira para a realização da avaliação do imóvel.

Quando e como é cobrado? Após a aprovação do crédito, o cliente deverá realizar o depósito identificado na conta da BV Financeira.

Atenção: No entanto, se a Compra de Dívida BV Imóvel for negada ao proponente, não haverá devolução da tarifa, pois se referem a serviços já prestados.

Cartório

Valor: Variável de acordo com o Cartório de Registro de Imóveis de cada Região.

Objetivo: Para a liberação do recurso da compra de dívida BV Imóvel, a CCB (Instrumento de Formalização) deverá ser registrada no Cartório de Registro de Imóveis.

Quando e como é cobrado? O cliente efetua o pagamento diretamente ao Cartório de Registro de Imóveis no momento do registro do CCB.

Atenção: No entanto, este valor poderá ser incluso ao empréstimo de acordo com a necessidade do cliente, limitado a R$1.500,00. No entanto, para que isso aconteça, a solicitação deverá acontecer no momento do preenchimento da Proposta. Contudo, nesse caso o cliente realizará o pagamento ao Cartório e o valor será reembolsado no ato da liberação do recurso.

Política de Crédito

O cliente poderá compor a renda com seu cônjuge, união estável ou parente direto (como por exemplo: filho, pai, mãe, avô e bisavô), limitado a 2 proponentes.

O valor das parcelas do empréstimo pode comprometer, no máximo, 30% do total da renda bruta mensal do cliente ou da renda composta.

No entanto, se necessário durante a Análise de Crédito, poderá será solicitado um Avalista (como por exemplo um parente direto do Eminente) e não precisa ter um imóvel próprio. Contudo, o objetivo do avalista é reforçar a garantia da operação.

Imóvel como Garantia

O imóvel a ser utilizado como garantia poderá ser novo ou usado, residencial, comercial, misto (comercial e residencial) ou de veraneio em qualquer estado do Brasil, desde que esteja em nome de pessoa física.

  • Apenas 1 imóvel poderá ser aceito como garantia;
  • O imóvel precisa estar quitado e possuir escritura definitiva e Habite-se;
  • O imóvel deverá estar regularizado junto a Prefeitura e Cartório;
  • O imóvel da garantia não poderá estar alienado ou hipotecado para outra instituição;
  • O proponente poderá utilizar um imóvel de outro estado do país como garantia, mas o registro da CCB deverá ser realizado no Cartório de Registro de Imóvel da mesma localização do imóvel.

Documentação Necessária para análise de crédito

Documentação por categoria profissional para proponente, 2ª renda, Cônjuge e Avalista, se for o caso.

Assalariado e Funcionário Público

  • 03 últimos holerites
  • Declaração do IRPF último exercício, incluindo recibo de entrega. Ademais, caso seja isento do IR, deverão apresentar a Declaração de Isenção do Imposto de Renda.

Aposentado e Pensionista

  • 03 últimos comprovantes ou 03 últimos extratos do benefício. Se for aposentado pelo INSS, apresentar cópia simples do último comprovante ou último extrato do benefício.
  • IRPF do último exercício

Empresário (comerciante, industrial, firma individual, micro, média e grande empresa)

  • Declaração do IRPF último exercício, incluindo recibo de entrega.

Contrato Social/Estatuto Social e/ou última consolidação

  • 03 últimos extratos PF;
  • 03 últimos extratos PJ;
  • Declaração do Imposto Pessoa Jurídica (DIPJ) ou Escrituração Contábil Fiscal (ECF), último exercício, incluindo recibo de entrega;
  • Relação de Faturamento dos últimos 12 meses da empresa (em papel timbrado, assinado pelo contador);

OBS: Contudo, na Análise de Crédito poderá ser solicitado o Balanço/DRE dos 02 últimos exercícios.

Autônomo

  • Taxista: Alvará em nome, DUT sem reserva em nome e Condutax;
  • Caminhoneiro: Contrato de prestação de serviço e/ou Declaração da Empresa, Cadastro na ANT, D.E.R.;
  • Produtor Rural: ITR (Imposto sobre propriedade Territorial Rural) ou INCRA (Instituto Nacional de Colonização e Reforma Agrária);
  • Agricultor/Assemelhados: NF de Produtor Rural e Título aquisitivos ou Certidão de propriedade atualizada ou contrato de arrendamento do imóvel objeto de exploração ou ITR.

Profissional Liberal

  • Declaração de IRPF último exercício, incluindo recibo de entrega. Caso seja isento do IR, deverão apresentar a Declaração de Isenção do Imposto de Renda.

A Compra de Dívida BV Imóvel é regulamentada e fiscalizada pelo Banco Central do Brasil.

Compra de Dívida Novi Imóvel com Garantia

A Compra de Dívida Novi Imóvel, é uma linha de crédito que o cliente pode utilizar para qualquer finalidade, tendo como garantia um imóvel quitado de sua propriedade. No entanto, é vantajoso para quem contrata, pois as taxas de juros são menores.

Compra de Dívida Novi Imóvel

O empréstimo com garantia de imóvel do Banco Novi é um empréstimo na qual o cliente deixa como garantia um imóvel dele quitado para adquirir algum bem ou reformar o imóvel, reestruturar as dívidas, empreender, fazer uma viagem, entre outros.

A quem se destina?

A Compra de Dívida Novi Imóvel com Garantia é um produto destinado para pessoas Físicas e Jurídicas como por exemplo: pensionista, aposentado, empresário, investidor, profissional liberal, autônomo, agricultor e pecuarista.

Compra de dívida Banco Novi + Vantagens

  • Clientes com restrições no SERASA e no SPC serão analisados
  • Cliente não passa por Score, analisamos a operação por completo
  • Interveniente Quitante (A Novi quita as dívidas do cliente e libera o valor restante)
  • Prazo de até 15 anos para pagar
  • Avaliamos capacidade do cliente Pessoa Física e Pessoa Jurídica
  • Atua em todo o território nacional
  • Agilidade no processo

A Compra de Dívida Novi Imóvel com garantia é muito simples e fácil de solicitar. No entanto, basta clicar em solicitar e preencher um formulário de contato para que nosso time de consultores possa entrar em contato.

Taxas e Características do produto Pessoa Física

  • Taxa Efetiva Mensal: A partir de 1,45% + IGPM ou IPCA
  • Análise Jurídica (incluída no financiamento): 250 reais
  • Avaliação do Imóvel: 400 reais
  • Valor Mínimo do Imóvel: 200 mil reais
  • Valor mínimo financiamento: 50 mil reais
  • Valor máximo financiamento: 2 milhões de reais

Documentação Necessária para análise de crédito

Documentos – Pré-Análise de Crédito, como por exemplo:

  • Ficha Cadastral (devidamente preenchida, datada e assinada por todos os proponentes);
  • Simulação com CET.

Documentos – Análise de Crédito Cliente, como por exemplo:

  • Cópia do RG/RNE (se for estrangeiro) e CPF ou CNH;
  • Cópia do comprovante de endereço (conta de luz, água, telefone e correspondência bancária) – validade de 60 dias;
  • DPS (Declaração Pessoal de Saúde) –  preenchida de próprio punho pelo cliente, datar e assinar – validade de 90 dias. No entanto, em caso de apontamentos, apresentar laude médico atual e cópia dos exames recentes (será submetido a análise da Seguradora);
  • CNDT (Certidão Negativa de Débitos Trabalhistas);
  • Consulta Pessoal do BACEN (presencial em postos do Banco Central ou via consulta online);
  • Comprovante de estado civil.

Assalariado e Funcionário Público, como por exemplo:

  • 03 últimos holerites;
  • Carteira Profissional – folhas: foto, qualificação civil, contratos de trabalho e última alteração salarial;
  • Declaração do IRPF último exercício, incluindo recibo de entrega. Ademais, caso seja isento do IR, deverá apresentar a Declaração de Isenção do Imposto de Renda;
  • O Funcionário deverá ter no mínimo 3 meses de emprego atual e 1 ano de emprego contínuo comprovado pela Carteira de Trabalho.

Aposentado e Pensionista, como por exemplo:

  • Último extrato da conta corrente onde conste o crédito do benefício;
  • Declaração do IRPF do último exercício, incluindo o recibo de entrega.

Empresário (comerciante, industrial, firma individual, micro, média e grande empresa)

  • Declaração do IRPF último exercício, incluindo recibo de entrega;
  • Relação de Faturamento dos últimos 12 meses da empresa (em papel timbrado, assinado pelo contador);
  • 06 últimos meses de extratos PF e PJ.

Autônomo/Profissional Liberal e Prestador de Serviços, como por exemplo:

  • 6 últimos meses de extrato de conta corrente PF – de todas as contas que comprovem renda;
  • Declaração do Imposto de Renda IR último exercício, incluindo recibo de entrega;
  • Declaração de próprio punho informando sobre a situação profissional (somente para autônomos e prestadores de serviço) constando a média do recebimento mensal, principal atividade, desde quando atua nessa atividade, datar e assinar;
  • Cópia do contrato de prestação de serviço (quando for o caso);
  • Cópia das notas fiscais de serviços dos últimos 3 meses (quando for o caso).

Renda de Aluguel, como por exemplo:

  • Declaração do IRPF último exercício, incluindo recibo de entrega;
  • Contratos de Locação (período mínimo de locação de 06 meses);
  • Matrículas dos Imóveis atualizadas;
  • 6 últimos meses de extrato de conta corrente onde constam os créditos do aluguel.

Agricultor/Pecuarista, como por exemplo:

  • 6 últimos meses de extratos de conta corrente, constando a movimentação bancária;
  • Declaração do Imposto de Renda IR os 2 últimos exercícios, incluindo recibo de entrega;
  • Título Aquisitivo ou Certidão de Propriedade Atualizada ou Contrato de Arrendamento do Imóvel objeto de exploração registrado no INCRA;
  • CND do INSS

Documentos do Imóvel – Análise Jurídica

  • Matrícula atualizada com Certidão Negativa de Ônus, Alienação e ações reais e pessoais – validade de 30 dias;
  • Capa ou documento da Prefeitura referente ao IPTU, constando metragens do imóvel, endereço e destinação de uso (documento poderá ser retirado no site da Prefeitura ou pessoalmente);
  • Certidão Negativa de Tributos Imobiliários Municipais onde se localiza o imóvel (fornecida pela Prefeitura) – validade de 90 dias;
  • Declaração de inexistência de débitos condominiais firmada pelo síndico ou pela administradora (com forma reconhecida da assinatura)
  • Ata da Assembléia que elegeu o síndico ou cópia do Contrato de Prestação de serviços da Administradora

Documentos para solicitação da Avaliação do Imóvel, como por exemplo:

  • Matrícula do Imóvel
  • Capa ou documento da Prefeitura referente ao IPTU, constando metragens do imóvel, endereço e destinação de uso (documento poderá ser retirado no site da Prefeitura ou pessoalmente);
  • Contato para vistoria
  • Telefone para contato

OBS: Os dados bancários para depósito de R$250,00 (valor da avaliação do imóvel) será enviado após aprovação da análise de crédito.

Contudo, a Compra de Dívida Novi Imóvel com Garantia é regulamentada e fiscalizada pelo Banco Central do Brasil.

Renegociação de Dívidas

Renegociação de dívidas é o primeiro passo para que você possa colocar seu orçamento familiar em dia. Nossos Advogados Associados notificarão seu credor e promover excelentes acordos. Confira!

Renegociação de Dívidas

A Renegociação de dívidas é um processo moroso e que leva tempo, mas o nosso foco é colocar seu orçamento familiar em dia. Negociando e ajustando suas contas de forma que fique dentro das suas possibilidades.

Este produto é um programa de saúde financeira , onde irá lhe ajudar a negociar e renegociar todas as suas dívidas com ajuda de um Advogado Associado ao portal consignados. O controle e gestão de seu orçamento familiar é o segredo de sua saúde financeira.

Como Funciona

O primeiro passo é recolher as taxas conforme valor cobrado pelos serviços, o segundo passo será realizada por nós, onde receberá um checklist de documentos e informações que deverá nos informar. No entanto, após o envio dos documentos e analise dos credores, um de nossos advogados associados entrarão em contato com você. Seus credores serão notificados a respeito de seu pedido e faremos o acompanhamento destas propostas. Ademais, as dívidas a serem negociadas são:

Um de nossos Advogados Associados irão calcular os juros e propor um acordo que esteja dentro de suas possibilidades.

Atenção: Não fazemos baixa de empréstimos e sim renegociação de dívidas.

Vantagens ao Aderir

Ao aderir a este programa de Renegociação de dívidas poderá obter descontos e acordos conforme sua necessidade e capacidade de pagamento.

Quanto Custa?

O Custo para a Renegociação de dívidas se refere as custas e honorários advocatícios envolvidos no processo. No entanto, também se refere bem como todo o suporte oferecido pelo portal consignados.

Quanto Tempo Leva?

O tempo pode variar de acordo com o tipo de renegociação, mas em média os acordos saem dentro de 90 dias. Podendo se estender caso haja necessidade.

Recebo dinheiro em Troca?

Não é um empréstimo! É renegociação de dívidas e se você deseja receber algum dinheiro em troca, recomendamos outro produto, como por exemplo o empréstimo consignado. Todas dívidas renegociadas devem ser operações regulamentadas pelo Banco Central do Brasil!

Margem Negativa

Se você está com sua Margem Negativa e necessita de uma consultoria para poder deixa-la POSITIVA, temos o produto certo para você. O portal consignados é especialista em empréstimo consignado e criou um estrutura para poder ajuda-lo.

Público Atendido

No entanto, este produto é destinado ao seguinte público:

  • Servidores Públicos Federais
  • Servidores Públicos Estaduais de São Paulo

Importante: Aposentados e Pensionistas do INSS ainda estamos analisando a possibilidade de estender este produto a vocês, mas por enquanto não temos como atende-los.

Análise da Margem Negativa

Nossa equipe irá realizar um estudo baseado no seu demonstrativo financeiro (Holerite) para verificar os seguintes pontos:

  • Descontos Legais
  • Descontos Ilegais
  • Verbas Fixas
  • Verbas Variáveis
  • Contribuições Sindicais
  • Entre outros aspectos

Ademais, o Processo de analise pode levar até 48 horas úteis, após este período e realizado o estudo de viabilidade o cliente será notificado.

Notificação

Um consultor entrará em contato para lhe reportar as possibilidades de tirar a sua Margem Negativa a positivando. Contudo, o cliente deverá fornecer todas as informações em tempo hábil para que o processo seja realizado.

Detalhes sobre o Produto Margem Negativa

Contudo, será necessário a colaboração do cliente em fornecer documentos conforme lista abaixo:

  • Comprovante de Renda
  • Contratos (caso seja necessário)
  • Outros documentos conforme necessidade

Cada caso requer uma ação diferente. Por isso, caso seja necessário, o consultor poderá solicitar documentos adicionais. Será muito importante no ato do cadastro informar telefones e email que facilitem o contato.

Atualizando a Margem

A atualização da margem pode levar até 30 dias após realizada as recomendações de nossos consultores. Contudo, sua atualização dependerá do órgão pagador. Caberá o cliente atender as recomendações de nossos consultores para que sua margem possa ficar novamente positiva.

Pagamento

O pagamento é realizado no Ato da Solicitação e o valor cobrado por este serviço é simbólico em face do trabalho empregado e tempo despendido no processo. Após confirmada a viabilidade do processo o valor ficará retido. No entanto, somente em casos aonde não existe a possibilidade de positivar a margem que o valor será devolvido integralmente ao cliente.

Operações de Crédito

Caso seja necessário realizar Portabilidade com redução de parcelas, o cliente poderá optar por realizar sua portabilidade com outro correspondente.

Contudo, não nos responsabilizamos pelo êxito da operação. Este serviço é uma analise e consultoria de sua Margem Negativa, não se trata de um empréstimo. Este produto não é um produto Financeiro portanto não está sob regras do Banco dentral do Brasil.

Consulta Saldo Devedor Empréstimos INSS

Consulta Saldo Devedor do INSS Se você está precisando saber o seu saldo devedor de todos os seus contratos de empréstimo Consignado INSS então podemos lhe ajudar, nossos sistema de pesquisa tem 90% de assertividade nas informações sobre seu saldo devedor.

Contrate sem Sair de Casa

Consulta Saldo Devedor do INSS. Se você está precisando saber o seu saldo devedor de todos os seus contratos de empréstimo consignado INSS, então podemos lhe ajudar. Nosso sistema de pesquisa tem 90% de assertividade nas informações sobre seu saldo devedor. No entanto, o valor cobrado por este produto é de R$ 30,00.

Para obter seu consulta personalizada é bem simples basta clicar no botão abaixo que nosso time de consultores estarão analisando seu pedido e realizando sua pesquisa

Para quem Indicamos a Consulta Saldo Devedor

A Consulta Saldo Devedor de Empréstimos junto ao INSS é um produto indicado para você que busca informações sobre o saldo devedor de seus empréstimos junto ao INSS. No entanto, fazemos a pesquisa de todos os seus contratos, onde informamos os seguintes dados:

  • Instituição Tomadora
  • Código do banco
  • Número de Contrato
  • Quantidade de Parcelas Pagas
  • Saldo Devedor
  • Saldo para Refinanciamento
  • Saldo para Portabilidade

Nosso relatório traz as informações de forma simples e objetiva de um jeitinho que você compreende facilmente.

Nosso sistema faz uma pesquisa onde consegue identificar as informações referente ao seu contrato aonde temos cadastro como correspondentes ou agente. Contudo, esta pesquisa tem caractere matemático e é realizada de forma manual o que demanda tempo e pessoal.

Por isso, o prazo para o levantamento é de até 4 horas durante dia útil e horário comercial das 9:00 hs até as 17:00 hs.

Quem estiver solicitando a consulta, declara que o faz em nome próprio ou com autorização expressa do solicitante, sendo de acesso somente a parte interessada.

As informações levantadas através de nosso processo de pesquisa não representam 100% de assertividade por fatores de atualização de folha do INSS. Contudo, outros fatores são: data da liquidação da dívida e contratos ocultos da folha de pagamento do INSS. No entanto, garantimos 90% de assertividade no processo de pesquisa. Lembrando que este processo é manual e matemático.

Nosso Objetivo

No entanto, nosso objetivo é prestar serviço ao cliente de forma eficiente e clara. As pesquisas realizadas eram feitas de forma aleatória. Isso acabava deixando alguns clientes sem a devida atenção. Com a crescente demanda de tais informações, enxergou-se a necessidade de treinar e qualificar pessoas para realizar esta tarefa. Isso acaba gerando custos para empresa.

Por isso os valores cobrados pela consulta são apenas para compor custo sendo seu valor cobrado de R$ 30,00 um valor simbólico. Com isso, conseguimos garantir que terá a informação que precisa.

O que fazer com a Informação?

Muitos clientes solicitam este tipo de informação para se atualizarem e terem maior controle sobre seus contratos. Outro fator que cria a necessidade de levantar tais informações é a opção de fazer uma portabilidade. Lembrando que se a operação de portabilidade for realizada pelo Portal Consignados, não existirá a cobrança desta pesquisa.

Empréstimo Consignado Marinha

O Empréstimo Consignado Marinha destina-se a Militares da Marinha Brasileira, sendo assim um modalidade de crédito com Desconto em Folha de Pagamento.

Empréstimo Consignado Marinha – Vantagens

Empréstimo Consignado Marinha é uma das modalidades de crédito mais baratas do mercado. No entanto, não possui TAC, seguro nem outras despesas adicionais. Conheça algumas das vantagens especiais desta modalidade de crédito, como por exemplo:

  • Sem Consulta no SPC ou SERASA
  • Parcelas Fixas
  • Prazos de até 48 meses para pagar
  • Desconto em folha
  • Taxa de Juros Menores
  • Sem Cobrança de TAC ou Seguros

O Empréstimo Consignado Marinha é muito simples e fácil de solicitar. Contudo, basta simular o valor desejado, clicar em solicitar e preencher um formulário de contato para que nosso time de consultores possa entrar em contato.

Documentação

A documentação necessária para você contratar seu empréstimo consignado é muito simples, como por exemplo:

  • 03 vias do Termo de Adesão EMP (fornecido pelo Correspondente).
  • 01 via da Planilha de Proposta (fornecido pelo Correspondente).
  • Cópia da Carteira de Identidade e CPF.
  • Ultimo Contracheque.
  • Comprovante de Residência Atual.
  • Comprovante de averbação emitido pelo site.
  • 03 vias do Termo de Adesão – EMP.

Público Alvo

Este produto está destinado ao seguinte público, como por exemplo:

  • Militares da Marinha da Ativa
  • Militares da Marinha Aposentados
  • Militares da Marinha Pensionistas
  • Militares da Marinha Reformados

Margem Consignável. Por exemplo:

  • Margem de Consignação: 30% (trinta por cento)
  • A margem deve estar POSITIVA em pelo R$0,01 (um centavo).
  • A margem ZERADA no sistema significa MARGEM NEGATIVA, neste caso o cálculo deverá ser manual para identificar o real valor (negativo) da margem.

Em caso de não ter mais margem temos as opções de Refinanciamento e Portabilidade para você.

Considerações sobre o público Alvo

Clientes analfabetos não poderão ser atendidos por política de crédito da Financeira. Contudo, por determinação da Marinha, o crédito só poderá ser enviado para conta onde o militar recebe seu salário.

Regulamentação

Todas as modalidades de crédito Consignado atendem a uma regulamentação do Banco Central e Lei 10.820 que determinam as regras de contratação. Contudo, os convênios firmados entre seu órgão tem regras específicas as quais serão consideradas na liberação do seu Crédito. No entanto, as instituições financeiras tem políticas de crédito especificas conforme perfil do cliente. Portanto, tais regras também serão consideradas.

Situação Funcional Permitida. Por exemplo:

  • Servidores militares ativos.
  • Efetivos de Carreira.
  • Reformados e pensionistas.

Importante: Militares ativos deverão possui mais de 10 anos de efetivo serviço (contados após os 7 anos de engajamento)

Situação Funcional Não Permitida. Por exemplo:

  • Aluno de Colégio Naval.
  • Aprendiz de Marinheiro.
  • Marinheiro Grumete.
  • Recruta ou Quarto Suplementar.
  • Aluno do EFOM.
  • 1 º / 2º Tenente (Com menos de 8 anos de carreira).
  • Cabo Engajado.

Reserva de margem e liberação da proposta

Deverá ser feita a reserva de margem pelo Banco através do sistema consig, sendo necessário a coleta a assinatura do militar e toda a documentação necessária para aquisição do empréstimo.

Prazo. Por exemplo:

Variável de acordo com tabela vigente

Quantidade de Contratos. Por exemplo:

Limitado à margem consignável

Margem de Segurança. Por exemplo:

90% da margem consignável

Idade X Valor. Por exemplo:

  • Idade Mínima : 18 anos.
  • 25 anos completos para pensionistas.
  • Valor mínimo: R$ 250,00.
  • Valor máximo: R$ 100.000,00 para Militares com 73 até 74 anos e 11 meses.
  • Valor máximo: R$ 80.000,00 para Militares com 75 até 76 anos e 11 meses.
  • Valor máximo: R$ 50.000,00 para Militares com 77 até 78 anos e 11 meses.
  • Valor máximo: R$ 20.000,00 para Militares com 79 até 80 anos e 11 meses.

Idade final do Contrato. Por exemplo:

  • De 18 a 80 anos e 11 meses

Empréstimo Consignado Exército

Empréstimo Consignado Exército é uma das modalidades de crédito mais baratas do mercado. Destina-se a Militares do Exército Brasileiro, sendo assim um modalidade de crédito com Desconto em Folha de Pagamento. No entanto, não possui TAC, seguro nem outras despesas adicionais. Conheça algumas das vantagens especiais desta modalidade de crédito, como por exemplo:

  • Sem Consulta no SPC ou SERASA
  • Parcelas Fixas
  • Prazos de até 72 meses para pagar
  • Desconto em folha
  • Taxa de Juros Menores
  • Sem Cobrança de TAC ou Seguros

O Empréstimo Consignado Exército é muito simples e fácil de solicita. Basta clicar em solicitar e preencher um formulário de contato para que nosso time de consultores possa entrar em contato.

Como Funciona

Documentação | Público Alvo | Margem Consigável | Regulamentação |

Documentação

A documentação necessária para você contratar seu empréstimo consignado é muito simples, como por exemplo:

  • 03 vias do Termo de Adesão EMP (fornecido pelo Correspondente)
  • 01 via da Planilha de Proposta (fornecido pelo Correspondente)
  • Cópia da Carteira de Identidade e CPF
  • Ultimo Contracheque
  • Comprovante de Residência Atual
  • Comprovante de averbação emitido pelo site
  • 03 vias do Termo de Adesão – EMP

Público Alvo

Este produto está destinado ao seguinte público, como por exemplo:

  • Militares do Exercito da Ativa
  • Militares do Exercito Aposentados
  • Militares do Exercito Pensionistas
  • Militares do Exercito Reformados

Margem Consignável. Por exemplo:

  • Margem de Consignação: 30% (trinta por cento).
  • A margem deve estar POSITIVA em pelo R$0,01 (um centavo).
  • A margem ZERADA no sistema significa MARGEM NEGATIVA, neste caso o cálculo deverá ser manual para identificar o real valor (negativo) da margem.

Por determinação do Exército o Crédito só poderá ser enviado para conta onde o militar recebe seu salário.

Considerações sobre o público Alvo. Por exemplo:

Clientes analfabetos não poderão ser atendidos por política de crédito da Financeira.

Regulamentação

Todas as modalidades de crédito consignado atendem a uma regulamentação do Banco Central e Lei 10.820 que determinam as regras de contratação. Ademais, os convênios firmados entre seu órgão tem regras específicas as quais serão consideradas na liberação do seu Crédito. Contudo, as instituições financeiras têm políticas de crédito especificas conforme perfil do cliente. Portanto, tais regras também serão consideradas.

Situação Funcional Permitida. Por exemplo:

  • Servidores militares ativos
  • Efetivos de Carreira
  • Reformados e pensionistas.

Importante: Militares ativos deverão possui mais de 10 anos de efetivo serviço (contados após os 7 anos de engajamento)

Situação Funcional Não Permitida. Por exemplo:

  • Militar temporário (Categoria 1 | Indicativo 2)
  • Engajado ou Reengajado (Categoria 1 | Indicativo 2)
  • Anistiado Político (Categoria 2 | Indicativo 8)
  • Concessões não julgadas pelo TCU (Categoria 6 | Indicativo 2)
  • Concessões não remetidas para TCU (Categoria 6 | Indicativo 3)
  • Concessões julgadas ilegais pelo TCU (Categoria 6 | Indicativo 4)

Reserva de margem e liberação da proposta

Deverá ser feita a reserva de margem pelo Banco através do sistema consig, sendo necessário para isso a coleta a assinatura do militar e toda a documentação necessária para aquisição do empréstimo. No entanto, caso não tenha mais margem, considere nossa opções para Refinanciamento ou Portabilidade.

Prazo

Variável de acordo com tabela vigente.

Quantidade de Contratos

Limitado à margem consignável.

Margem de Segurança

95% da margem consignável.

Idade X Valor. Por exemplo:

  • Idade Mínima: 21 anos.
  • 25 anos completos para pensionistas.
  • Valor mínimo: R$ 250,00.
  • Valor máximo: R$ 120.000,00 para Militares com 21 até 64 anos e 11 meses.
  • Valor máximo: R$ 100.000,00 para Militares com 65 até 69 anos e 11 meses.

Idade final do Contrato

  • De 21 a 69 anos e 11 meses.

Empréstimo Consignado Aeronáutica

Empréstimo consignado Aeronáutica é uma das modalidades de crédito mais baratas do mercado. No entanto, não possui TAC, seguro nem outras despesas adicionais. Conheça algumas das vantagens especiais desta modalidade de crédito, como por exemplo:

  • Sem Consulta no SPC ou SERASA
  • Parcelas Fixas
  • Prazos de até 96 meses para pagar
  • Desconto em folha
  • Taxa de Juros Menores
  • Sem Cobrança de TAC ou Seguros

Enfim, o Empréstimo Consignado Aeronáutica é muito simples e fácil de solicitar. Basta simular o valor desejado, clicar em solicitar e preencher um formulário de contato para que nosso time de consultores possa entrar em contato.

O Empréstimo Consignado Aeronáutica destina-se a servidores das forças armadas do Brasil, sendo assim um modalidade de crédito com Desconto em Folha de Pagamento.

Documentação

A documentação necessária para você contratar seu empréstimo consignado é muito simples, como por exemplo:

  • 03 vias do Termo de Adesão EMP (fornecido pelo Correspondente)
  • 01 via da Planilha de Proposta (fornecido pelo Correspondente)
  • Cópia da Carteira de Identidade e CPF
  • Ultimo Contracheque
  • Comprovante de Residência Atual
  • Comprovante de averbação emitido pelo site
  • 03 vias do Termo de Adesão – EMP;

Público Alvo

Este produto está destinado ao seguinte público, como por exemplo:

  • Militares da Aeronática da Ativa
  • Militares da Aeronática Aposentados
  • Militares da Aeronática Pensionistas
  • Militares da Aeronática Reformados

Reserva de margem e liberação da proposta

Deverá ser feita a reserva de margem pelo Banco através do sistema aerconsig sendo necessário para isso a coleta a assinatura do servidor e toda a documentação necessária para aquisição do empréstimo.

Margem Consignável. Por exemplo:

  • Margem de Consignação: 30% (trinta por cento)
  • A margem deve estar POSITIVA em pelo R$0,01 (um centavo).
  • A margem ZERADA no sistema significa MARGEM NEGATIVA, neste caso o cálculo deverá ser manual para identificar o real valor (negativo) da margem.

Por determinação da Aeronáutica o Crédito só poderá ser enviado para conta onde o militar recebe seu salário.

Considerações sobre reserva de margem:

Código único: Máximo de 10 por matrícula. Contudo, expira após 10 dias corridos se não for utilizado e, depois de utilizado não pode ser reutilizado. Se emitidos 10 e um é utilizado, pode-se gerar mais um. No entanto, caso não tenha margem, considere consultar nossas opções de crédito como o Refinanciamento ou Portabilidade.

Situação Funcional. Por exemplo:

  • Militares ativos.
  • Militares da reserva remunerada.
  • Militares reformados.

Situação Funcional Não Permitida. Por exemplo:

  • Militares civis.
  • Militares não estabilizados.
  • Militares temporários.

Política de Crédito

A politica de crédito é um dos fatores muito importantes a serem considerados. Contudo, abaixo segue a politica de crédito ao qual você será submetido.

  • Idade Mínima: 18 anos
  • 25 anos completos para pensionistas
  • Valor mínimo: R$ 250,00
  • Valor máximo: R$ 150.000,00
  • De 18 a 74 anos e 11 meses

Considerações sobre o público Alvo

Para atendimento aos iletrados, além da assinatura de 02 testemunhas, será necessária a assinatura de um parente do servidor assinando como A rogo.

Regulamentação

Todas as modalidades de crédito Consignado atendem a uma regulamentação do Banco Central e Lei 10.820 que determinam as regras de contratação. Os convênios firmados entre seu órgão tem regras específicas as quais serão consideradas na liberação do seu Crédito.

As instituições financeiras tem políticas de crédito especificas conforme perfil do cliente, portanto tais regras também serão consideradas.

Compra de Dívida como Funciona?

Compra de Dívida é uma modalidade de crédito muito útil para você que precisa quitar suas dívidas. No entanto, pode ter seus juros reduzidos seja de um financiamento ou até mesmo de dívidas com instituições.

Compra de Dívida na Prática

Este tipo de operação exige um dose de paciência e muita análise por parte do consumidor. Contudo, algumas etapas deverão vir antes mesmo de você iniciar o processo junto a uma instituição financeira. Ademais, o ideal seria considerar os três principais pontos:

  1. Faça um levantamento honesto de seu custo mensal com dívidas
  2. Considere qual seria o valor que poderia pagar por mês
  3. Calcule os juros pagos de seus financiamentos ou empréstimos

No entanto, ao analisar seu custo mensal com pagamento de parcelas de empréstimos, considere que tudo que estiver acima de 30% de comprometimento de renda não é ideal.

Uma análise mais precisa de seus gastos deve considerar o que você pode pagar por mês de forma que não comprometa suas demais despesas.

Conforme estudos, o custo com alimentação no Brasil chega em média a 40% da receita bruta familiar, por isso considere que de 100% de sua receita tem somente 60% para as demais despesas.

Uma recomendação muito importante também seria analisar os juros pagos de todos os seus empréstimos ou dívidas que incidem juros. Portanto, com isso terá uma base para poder procurar uma modalidade de crédito que consiga reduzir os juros já pagos.

O Banco Central do Brasil disponibiliza a calculadora do cidadão. Nela você poderá calcular os juros aplicados em seus empréstimos de forma simples e rápida, o que lhe ajudará em muito nesta tarefa inicial. Para acessar a calculadora, basta clicar aqui!

Lembre-se que ter acesso ao crédito é maravilhoso, mas deverão ser tomadas todas as precauções necessárias para que não vire uma bola de neve.

1º Passo – Fazendo um Levantamento Sério

É de vital importância saber exatamente quanto você realmente está devendo, ou seja, qual seria o valor para quitar todas as suas dívidas hoje? Muitas operações de crédito são pouco transparentes neste sentido e esta informação é prejudicada. Contudo, não desista!

Procure a instituição e lhe solicite o valor atualizado da sua dívida. No entanto, com isso saberá qual valor realmente será necessário para quitar ou resolver todos os seus problemas.

Lembre-se de nunca fazer este tipo de operação sem saber ao certo o valor que realmente irá resolver seu problema. Neste caso, pegue apenas o necessário. Nada a mais e nada a menos.

2º Passo – Procurando uma Instituição Financeira

Uma vez analisando todos os pontos destacados acima, agora é hora de ação. Ou seja, você já fez todos os levantamentos necessários e já tem um valor como base para estipular como referência a qual vai lhe servir para resolver seus problemas.

Ao procurar uma instituição financeira, considere os seguintes fatores:

  • Público Atendido
  • Politica de Crédito
  • Valores liberados
  • Garantias

Público Atendido

Este produto está disponível para todo cidadão que comprove renda e que seja economicamente ativo.

Se você é aposentado ou pensionista do INSS, Servidor Público ou Militar, com certeza já ouviu falar ou já fez algum empréstimo consignado. Contudo, para este público, existe tanto a portabilidade quanto a compra de dívida. No entanto, existem diferenças:

  • Portabilidade só pode ser realizada entre Instituições Financeiras participantes da Febraban.
  • *Compra de Dívida pode ser utilizada entre bancos e instituições financeiras.

Seguradoras e Instituições que não participam da Febraban como por exemplo a SABEMI, que vende crédito consignado mão não é Banco, pode ser realizado a compra de dívida mesmo no consignado.

Política de Crédito

Cada instituição financeira tem suas regras e exigências. Contudo, antes de dar entrada em algum banco, recomendamos que solicite ao seu agente financeiro que analise antes dentro da politica de crédito do banco se seu perfil atende a todas as condições. Ademais, assim não terá atrasos na liberação de sua compra de dívida.

Valores Liberados

Cada instituição tem o que chamamos no mercado de limite de crédito. Consulte seu consultor para saber se o limite de crédito da instituição atende sua necessidade.

Garantias

Na compra de dívida você pode oferecer como garantia seus contratos de empréstimo consignado, imóvel e atualmente até veículos. No entanto, existem diferenças expressivas para cada modalidade. Percebo que seria muito importante considerar essas informações, as quais vamos destacar logo abaixo. Continue lendo.

3º Passo – Calculando os Juros Pagos de seus financiamentos ou empréstimos

O 3º e último passo, mas nem por isso é o menos importante é o cálculo dos juros.

Primeiramente, é necessário entender que existem 2 tipos de juros: Juros Simples e Juros Compostos.

Juros Simples:

Juros Simples são uma constante. São os juros utilizados no dia a dia e a curto prazo. A fórmula é fácil.

Juros Simples = capital inicial x juros x tempo

J= c.i.t

J: Juros Simples

c: Capital inicial

i: Juros

t: Tempo

Juros Compostos:

Juros Compostos são uma acumulação. Os valores aumentam a cada período. Isso poderá virar uma bola de neve. Eles estão presentes nos processos de médio e de longo prazos. Vamos para a fórmula.

Montante = capital inicial x (1+ juros)ᵗempo

M= c.(1+i)ᵗ

M: Montante

c: Capital Inicial

i: Juros

t: Tempo

Compra de Dívida de Empréstimos Consignados

A compra de dívida de empréstimos consignados é aplicada quando se utiliza seus contratos como garantia condicionado a sua margem consignável. Contudo, temos como limite de crédito a margem dos 30% da renda consignável.

Compra de Dívida com Garantia de Imóveis

Neste caso a referência é seu imóvel. Contudo, nesta modalidade os prazos se assemelham a um financiamento imobiliário e não é somente nos prazo que podem chegar a 240 meses mas também nas exigências e documentações exigidas. Quer uma consulta Agora ? Clique aqui que analisaremos para você!

Compra de Dívida com Garantia de Veículos

Esta modalidade tem como referência seu Veículo para avaliação de crédito. Costumeiramente, libera-se em torno de até 60% do valor do veículo em tabela. No entanto, esta modalidade se assemelha muito com o financiamento de veículos.

Quais as vantagens?

A compra de dívida muitas vezes é uma forma de resolver problemas crônicos financeiros. No entanto, em muitos casos se perde o controle e se acaba entrando no que chamamos de ciranda financeira. Contudo, para poder honrar com seus compromissos, acaba contraindo ainda mais empréstimos ao ponto do seu endividamento ser superior a sua renda.

Com a opção de vender suas dívidas e ficar devendo em um só local, você pode reduzir a taxa de juros, remanejar seu orçamento, prolongar o prazo. Isso lhe dará folego para pagar e ainda trocando operações caras como cheque especial e juros do rotativo do seu cartão por taxas como 1.56% ao mês.

Recomendação

Toda linha de crédito deve ser utilizada com muita cautela. Estou no mercado desde 1999 e o meu dia a dia é atender clientes com problemas financeiros. No entanto, a recomendação que sempre dou é :

“Sempre consulte antes, e nunca ultrapasse seus limites. Seja honesto com você mesmo quando for analisar o que você pode pagar.”

O Portal Consignados tem como obrigação orientar seus clientes de forma clara e objetiva. No entanto, caso este artigo não respondeu a alguma de suas perguntas, fique a vontade em comentar este post que teremos um imenso prazer em lhe responder.

Você sabia que o Portal Consignados é especialista em empréstimo consignado?

Com mais de 17 anos no Mercado de Empréstimo Consignado e com uma equipe treinada para lhe auxiliar na melhor decisão, no entanto o Portal Consignados trabalha em parceria com diversos bancos para lhe oferecer sempre o melhor negócio.

Contrate seu empréstimo consignado clicando aqui

Empréstimo com Garantia de Imóveis

Empréstimo com garantia de imóveis é uma linha de crédito que o cliente pode utilizar para fazer o que quiser, deixando como garantia um imóvel que poderá estar quitado ou não de sua propriedade ou de terceiros, (como por exemplo um parente). No entanto, esse parente terá que participar com você de todo o processo de contratação. É vantajoso contratar essa modalidade de empréstimo, pois as taxas de juros são menores.

O que é empréstimo com garantia de Imóvel?

O empréstimo com garantia de imóveis é uma modalidade na qual o cliente deixa como garantia um imóvel para adquirir algum bem, pagar dívidas, comprar outro imóvel ou reformar o imóvel existente, investir no seu negócio, fazer uma viagem, entre outros.

No entanto, é um produto que poderá ser destinado para Pessoa Física e Para Pessoa Jurídica, dependendo da instituição financeira.

Pessoas físicas que poderão contratar o empréstimo com garantia de imóveis, como por exemplo:

  • assalariado
  • pensionista
  • aposentado
  • funcionário público
  • empresário
  • investidor
  • profissional liberal
  • autônomo

Pessoas jurídicas que poderão contratar o empréstimo com garantia de imóveis, como por exemplo:

  • micro-empresa
  • empresa de pequeno porte
  • empresa de médio porte
  • empresa de grande porte

Vantagens do empréstimo com garantia de imóvel:

  • O seu imóvel será usado apenas como garantia da operação. Não é necessário se desfazer do imóvel. Além disso, ele poderá estar alugado ou em uso pelo proprietário na solicitação da empréstimo com Garantia de Imoveis.
  • Baixa taxa de juros.
  • Prazo para pagamento (varia de financeira para financeira mas o prazo mais encontrado é o de 15 a 20 anos).

Taxa de Juros

Assim como o prazo mencionado logo acima, a taxa de juros dessa modalidade de empréstimo também vária de instituição para instituição. No entanto, para todas as instituições financeiras, ela é dividida em 2 opções: taxa pós-fixada e taxa pré-fixada.

  • A taxa pós-fixada e a taxa pré-fixada variam de instituição para instituição.
  • Valor Mínimo do Imóvel: varia de instituição para instituição
  • Valor Máximo do Imóvel: varia de instituição para instituição
  • Valor mínimo do empréstimo: varia de instituição para instituição
  • Valor máximo do empréstimo: varia de instituição para instituição
  • Comprometimento da renda de até 30%
  • Faixa Etária: de 21 anos a 70 anos (fim do contrato)

Tarifas

As tarifas variam de instituição para instituição, inclusive existem instituições financeiras que pagam essas tarifas para você e depois incluem os valores no empréstimo só para você não ter que se preocupar em pagar agora.

Política de Crédito

Geralmente as instituições facilitam para o cliente compor renda com até 4 pessoas.

O valor das parcelas do empréstimo poderá comprometer, no máximo, 30% do total da renda bruta mensal do cliente ou da renda composta.

Imóvel como Garantia

O imóvel a ser utilizado como garantia poderá ser novo ou usado, residencial, comercial, misto (residencial e comercial) ou de veraneio, dependendo de cada instituição financeira.

Apenas 1 imóvel poderá ser aceito como garantia;
O imóvel precisa possuir escritura definitiva e Habite-se;
O imóvel deverá estar regularizado junto a Prefeitura e ao Cartório;
O proponente poderá utilizar um imóvel de outro estado do país como garantia.

Documentação Necessária para análise de crédito

Documentação padrão por categoria profissional para proponente, 2ª renda, Cônjuge e Avalista, se for o caso.

Assalariado e Funcionário Público

  • 03 últimos holerites
  • Declaração do IRPF último exercício, incluindo recibo de entrega. Contudo, caso seja isento do IR, deverá ser apresentada a Declaração de Isenção do Imposto de Renda.

Aposentado e Pensionista

  • 03 últimos comprovantes ou 03 últimos extratos do benefício. Ademais, se for aposentado pelo INSS, apresentar cópia simples do último comprovante ou último extrato do benefício.
  • IRPF do último exercício

Empresário (comerciante, industrial, firma individual, micro, média e grande empresa)

  • Declaração do IRPF último exercício, incluindo recibo de entrega.
  • Contrato Social/Estatuto Social e/ou última consolidação
  • 03 últimos extratos PF;
  • 03 últimos extratos PJ;
  • Declaração do Imposto Pessoa Jurídica (DIPJ) ou Escrituração Contábil Fiscal (ECF), último exercício, incluindo recibo de entrega;
  • Relação de Faturamento dos últimos 12 meses da empresa (em papel timbrado, assinado pelo contador);

OBS: Contudo, na Análise de Crédito poderá ser solicitado o Balanço/DRE dos 02 últimos exercícios.

Autônomo

  • Taxista: Alvará em nome, DUT sem reserva em nome e Condutax;
  • Caminhoneiro: Contrato de prestação de serviço e/ou Declaração da Empresa, Cadastro na ANT, D.E.R.;
  • Produtor Rural: ITR (Imposto sobre propriedade Territorial Rural) ou INCRA (Instituto Nacional de Colonização e Reforma Agrária);
  • Agricultor/Assemelhados: NF de Produtor Rural e Título aquisitivos ou Certidão de propriedade atualizada ou contrato de arrendamento do imóvel objeto de exploração ou ITR.

Profissional Liberal

  • Declaração de IRPF último exercício, incluindo recibo de entrega. No entanto, caso seja isento do IR, deverá ser apresentada a Declaração de Isenção do Imposto de Renda.

Contudo, o empréstimo com garantia de imóvel é regulamentado e fiscalizado pelo Banco Central do Brasil.

Você sabia que o Portal Consignados é especialista em empréstimo consignado?

Com mais de 17 anos no Mercado de Empréstimo Consignado e com uma equipe treinada para lhe auxiliar na melhor decisão, no entanto o Portal Consignados trabalha em parceria com diversos bancos para lhe oferecer sempre o melhor negócio.

Contrate seu empréstimo consignado clicando aqui

Cessão Fiduciária de Direitos Creditórios – O que é?

O que é Cessão Fiduciária de direitos de crédito em garantia? Neste artigo, iremos aprender da Cessão Fiduciária sobre suas vertentes, como por exemplo:

  • Direitos sobre bens móveis e títulos de crédito
  • Quotas de fundos de investimento para garantia de locação

Veremos também:

  • Conceito e abrangência de Cessão Fiduciária e Alienação Fiduciária
  • Titularidade Fiduciária
  • Sujeitos do Contrato
  • Abrangência dos direitos do Cessionário Fiduciário
  • Efeitos quanto à falência e ao regime de recuperação da empresa cedente-fiduciante

Vamos descobrir o que é Cessão Fiduciária?

O contrato de Cessão Fiduciária de Crédito em Garantia é regulamentado através da lei nº 4.864/1965. Essa lei instituiu uma garantia fiduciária, tendo como objeto direitos creditórios decorrentes de alienação de imóveis.

A lei 4.864/1965 limitava a Cessão Fiduciária apenas aos créditos de financiamento habitacional. O propósito dessa lei era estimular a expansão de crédito no setor habitacional e, nesse sentido, a titularidade fiduciária visava apenas servir como garantia dos financiamentos da produção de imóveis habitacionais. Foi preciso renovar a lei.

A lei 9.514/1997 assumiu e regula inteiramente o que a lei 4.864/1965 já fazia no que compete a cessão fiduciária de créditos imobiliários. Essa garantia foi aperfeiçoada, explicando com maior clareza o conteúdo e os efeitos da cessão. Ademais, também foi permitida a utilização generalizada da garantia.

Cessão Fiduciária de direitos sobre bens móveis e títulos de crédito

De acordo com a lei nº 10.931/2004, o Decreto lei nº 911/1969, o artigo 66-B cria a titularidade fiduciária de direitos sobre bens móveis e de direitos creditórios em geral, mediante contrato de cessão fiduciária. Entretanto, essa modalidade de garantia só é aplicável aos créditos constituídos no âmbito do mercado financeiro e de capitais, bem como aos créditos fiscais e previdenciários.

Ainda nessa modalidade, o devedor é obrigado a transferir a titularidade fiduciária dos direitos ou dos créditos ao credor. Contudo, os direitos ou os créditos ingressam no patrimônio do credor, mas com as restrições típicas da Cessão Fiduciária.

Cessão Fiduciária de Quotas de Fundos de Investimento para Garantia de Locação

A lei 11.196/2005 prevê a possibilidade de cessão de quotas de fundo de investimento em garantia de locação imobiliária. A Cessão pode ser formalizada no próprio contrato contrato de locação ou mediante termo à parte, admitindo-se a estipulação de prazo determinado ou indeterminado.

Ademais, na hipótese de prorrogação  automática da locação, o prestador da garantia (cedente-fiduciante) permanecerá responsável por todos os seus efeitos, ainda que não tenha anuído no auditivo contratual, podendo, no entanto, exonerar-se da garantia a qualquer tempo.

Em caso da execução judicial indevida da garantia, o locador responde pela restituição das quotas ou do valor atualizado correspondente. Contudo, se causou perdas e danos, também será responsável pela reparação.

Conceito e Abrangência

A Cessão Fiduciária e a Alienação Fiduciária são similares. Elas exercem a mesma função de garantia de crédito e alicerçando-se nos mesmos fundamentos.

Vejamos:

  • Na Alienação, o objeto do contrato é a transmissão de um bem (móvel ou imóvel)
  • Na Cessão, o objeto é a transmissão de um direito creditório

Em ambas, a transmissão do domínio fiduciário ou da titularidade fiduciária subsiste enquanto perdurar a dívida garantida.

Titularidade Fiduciária

De acordo com o artigo 18 da lei nº 9.514/1997, o contrato de Cessão Fiduciária em garantia opera a transferência ao credor da titularidade dos créditos cedidos, até a liquidação da dívida garantida.

Neste contrato, o tomador de um financiamento transfere seus direitos de crédito à instituição financiadora, que os adquire como cessionária fiduciária.

O parágrafo I do artigo 18, nos revela que as importâncias recebidas serão creditadas ao devedor cedente, na operação objeto da cessão fiduciária, até o final da liquidação da divida e encargos.

Sujeitos do Contrato

O cedente é o tomador de um empréstimo. Este cede créditos em caráter fiduciário para garantia do pagamento da sua dívida. No que tange aos créditos imobiliários, admite-se que só terá larga aplicação no setor da produção imobiliária.

Contudo, será nesse campo que ocorrerá maior demanda por financiamento. A maior quantidade de créditos será decorrentes de operações imobiliárias que constituirão o objeto da garantia por cessão fiduciária.

No que envolve os mercados financeiro e de capitais, é de se admitir que a cessão fiduciária de crédito é mais vantajosa para o credor. No entanto, esta cessão substitui o penhor, que ainda hoje é utilizado no mercado financeiro.

Abrangência dos Direitos do Cessionário Fiduciário

Compete ao credor:

  • Conservar e recuperar a posse dos títulos representativos dos créditos cedidos, contra qualquer detentor, inclusive o próprio cedente
  • Promover a intimação dos devedores que não paguem ao cedente, enquanto durar a cessão fiduciária
  • Usar das ações, dos recursos e execuções judiciais ou extrajudiciais, para receber os créditos cedidos e exercer os demais direitos conferidos ao cedente no contrato de alienação do imóvel
  • Receber diretamente dos devedores os créditos cedidos fiduciariamente

De acordo com a lei nº 4.864/1965, o devedor continua a exercer os direitos em nome do credor, segundo as condições do contrato e com as responsabilidades do depositário. Contudo, só permite que o credor-cessionário exerça diretamente a cobrança perante os adquirentes-devedores no caso de inadimplemento da obrigação garantida.

Efeitos quanto à falência e ao regime de recuperação da empresa cedente-fiduciante

No entanto, pela cessão fiduciária, cria-se uma titularidade fiduciária. Contudo, explica-se porque os créditos objeto da fidúcia são excluídos do patrimônio do devedor-cedente.

A lei nº 9.514/1997 trata de salvaguardar o objeto da garantia dos efeitos da insolvência do devedor. No entanto, mediante formação de um patrimônio autônomo, que responde exclusivamente pelas obrigações específicas para as quais foi constituído.

A lei 11.101/2005 exclui dos efeitos de recuperação de empresa, os créditos cedidos fiduciariamente. Contudo, prevalece o direito do credor-fiduciário de receber os créditos cedidos a´té o integral pagamento do seu crédito.

Você sabia que o Portal Consignados é especialista em empréstimo consignado?

Com mais de 17 anos no Mercado de Empréstimo Consignado e com uma equipe treinada para lhe auxiliar na melhor decisão, no entanto o Portal Consignados trabalha em parceria com diversos bancos para lhe oferecer sempre o melhor negócio.

Ações decorrentes da Alienação Fiduciária

Quais são as ações decorrentes da Alienação Fiduciária em garantia? Neste artigo, aprenderemos sobre essas ações decorrentes, discriminando cada ação. Vamos nessa!

De acordo com a lei nº 10.931/2004, a garantia decorrente no contrato de alienação fiduciária era feita quase que exclusivamente pela busca e apreensão do bem. Ademais, esta garantia era executada de acordo com a ação regulamentada no decreto-lei nº 911/1969.

Ações decorrentes em garantia

As principais ações que o credor está sujeito a cumprir no contrato de Alienação Fiduciária são:

  • Ação de Busca e Apreensão
  • Ação de Depósito
  • Ação de Execução
  • Ação Monitória
  • Ação Possessória

Na ação fiduciária de bens imóveis corpóreos, haverá procedimentos próprios para tutela judicial dos direitos do credor. Contudo, esses procedimentos ocorrem conforme ela seja contratada no âmbito mercadológico ou paritário. No entanto, isso significa que:

  1. na ação de busca e apreensão só estão legitimados o fisco, a previdência e as entidades que operam no mercado financeiro e de capitais. Contudo, essas ações estão regulamentadas no decreto-lei nº 911 de 1969.
  2. ação de reintegração de posse, ação reivindicatória ou ação de depósito, para a qual estão sujeitas todas as pessoas, sejam elas físicas ou jurídicas, contanto que sejam titulares de propriedade fiduciária de bens móveis, em garantia.

A seguir, veremos cada uma das ações decorrentes em garantia.

Ação de Busca e Apreensão

Esta é a ação mais frequente. Ademais, é aplicada somente aos casos em que o crédito for de natureza fiscal, previdenciária ou ainda, tiver sido contratado no mercado financeiro e de capitais.

É uma ação autônoma, porém dotada de regras especiais. No entanto, a ação de busca e apreensão visa a devolução do bem e a atribuição da propriedade e posse ao credor-fiduciário. Este ato ocorre mediante consolidação, onde o devedor-fiduciante terá um prazo para pagamento da integridade da dívida. Ademais, essa ação condena o devedor-fiduciante a devolver o bem e confirma a consolidação da propriedade no patrimônio do credor-fiduciário.

Em um financiamento de Alienação Fiduciária, o bem é colocado como garantia da dívida. Contudo, se o fiduciante, por algum motivo, não conseguiu honrar o pagamento das parcelas, o fiduciário entrará com uma ação de busca de apreensão do bem. No entanto, caso o fiduciante não regularize o pagamento, o mesmo poderá até perder o bem.

Perdas e Danos

O parágrafo 7 do artigo 3 do decreto-lei nº 911/1969 revela que a multa a que se refere o parágrafo 6 não exclui a responsabilidade do credor-fiduciário por perdas e danos. Contudo, trata-se de uma responsabilidade objetiva de natureza processual. Ademais, o credor responde independente da culpa, bastando a improcedência do pedido de busca e apreensão para ser aplicada a norma.

Ação de Depósito e Prisão Civil do devedor-fiduciante

A ação de depósito relata que, se o bem não for achado ou não se encontrar na posse do devedor, o credor poderá requerer a conversão da ação de busca e apreensão em ação de depósito. Possui natureza jurídica e ação executiva.

Em suma, deve o depositário custodiar a coisa, sendo essa a essência do contrato. Contudo, deve-se também restituir a coisa ao depositário a qualquer momento, bastando uma simples exigência.

Essa ação se trata de um procedimento para se obter a restituição da coisa depositada.

Esse procedimento é composto de 2 fases:

  • cognitiva: Destinada à prolação de sentença que determine a restituição da coisa
  • executiva: Para efetivação do comando contido da sentença

Ação de Execução

É uma iniciativa do credor, através de um processo legal de exigir o cumprimento forçado de um direito reconhecido pela legislação vigente ou por decisão judicial.

A ação de execução é usada quando o credor visa o patrimônio geral do devedor. Contudo, a garantia fiduciária foi desprezada por ser considerada insuficiente para a satisfação de seu crédito.

Ação Monitória

Ocorre nas hipóteses em que o produto da venda do bem, realizada em consequência da ação de busca e apreensão, não seja suficiente para a satisfação de todo o crédito e encargos. Contudo, restará ainda um saldo devedor, já agora desprovido da garantia fiduciária.

Existem 2 espécias de ação monitória:

  • Ação Monitória Pura: Se baseia na alegação do credor.

Por exemplo:

Se o credor alega que é credor, o mesmo já possui direito a ação monitória.

  • Ação Monitória Documental: Nesta, existe uma prova, que é a chamada prova escrita. A prova escrita é uma prova produzida antecipadamente e dotada de um laudo perícial.

Por exemplo:

Termo de audiência

Ação Possessória

É o poder físico sobre a coisa, com a intenção de tê-la como sua (posse).

As ações possessórias somente poderão ser utilizadas para tutelar direitos corpóreos, sendo esta, inaceitável para direitos não corpóreos.

Conclusão

Neste artigo, vimos quais são as ações decorrentes da Alienação Fiduciária (ação de busca e apreensão, de depósito, de execução, de monitória e de possessória).

Leiam e participem do nosso fórum.

Você sabia?

Com mais de 17 anos no Mercado de Empréstimo Consignado e com uma equipe treinada para lhe auxiliar na melhor decisão, no entanto o Portal Consignados trabalha em parceria com diversos bancos para lhe oferecer sempre o melhor negócio.

Contribuições ao sistema da Previdência Social

Veja nesse post quais são as contribuições ao sistema da Previdência Social. Para este artigo, iremos abordar as diversas espécies de contribuições destinadas ao custeio da Seguridade Social.

Acompanhe abaixo quais são as formas de contribuição ao sistema da Previdência Social!

Veja quais são as contribuições ao sistema do INSS

O sistema do INSS, no qual se baseia o regime vigente, é totalmente contribuitivo, ou seja, depende das contribuições sociais. Contudo, a seguir, analisaremos cada uma das contribuições ao sistema. No entanto, a primeira contribuição a ser analisada é o salário de contribuição.

Salário de Contribuição

O salário de contribuição é o valor que serve de base de cálculo para a incidência das alíquotas das contribuições previdenciárias dos segurados, exceto para o segurado especial. É um dos elementos de cálculo da Contribuição Previdenciária. No entanto, é a medida do valor com a qual, aplicando-se a alíquota de contribuição, consegue-se obter o montante da contribuição dos segurados empregados.

Por exemplo, além dos segurados empregados, são incluídos também:

  • domésticos
  • trabalhadores avulsos
  • contribuintes individuais
  • segurados facultativos

Esse assunto é de suma importância tanto para o sistema de Seguridade Social quanto para o segurado e seus dependentes. Contudo, para o segurado, a correção da fixação do salário de contribuição influencia na correção do cálculo da maior parte das prestações previdenciárias.

Para fins previdenciários, o salário-maternidade também é considerado salário de contribuição, mas é o único benefício que sofre dedução da contribuição da segurada.

Salário-Base

O salário-base era espécie do gênero salário de contribuição. É uma estimativa, não correspondendo exatamente ao valor recebido mensalmente pelo segurado. Portanto, é o valor que servia de base para o cálculo das contribuições previdenciárias. No entanto, os segurados sujeitos a essa escala não eram remunerados por salário.

Por exemplo, é o caso de:

  • empresários
  • trabalhadores autônomos
  • contribuintes individuais

Os segurados facultativos, sequer percebiam qualquer remuneração.

Contribuição do Segurado Empregado, Doméstico e Trabalhador Avulso

Nessa contribuição, o cálculo é feito mediante aplicação da correspondente alíquota. Todavia, é feito de forma não cumulativa, sobre o seu salário de contribuição mensal.

Por exemplo:

  • Para o empregado e o trabalhador avulso, o salário de contribuição é a remuneração auferida em uma ou mais empresas, assim entendida a totalidade dos rendimentos pagos, devidos ou creditados a qualquer título.
  • Para o empregado doméstico, o salário de contribuição será a remuneração registrada na Carteira de Trabalho e Previdência Social (CTPS)

A TNU (Turma Nacional de Uniformização), em conformidade com a orientação do STJ, estabeleceu as seguintes regras:

  • não é exigível que o trabalhador doméstico recolha contribuições ao INSS para os períodos laborados antes da entrada de vigor da lei nº 5.859/72
  • estando comprovado e reconhecido o exercício da atividade doméstica (mesmo que seja em período anterior a lei 5.859/72), o tempo de labor deverá ser contado como período de carência, independentemente de comprovação dos recolhimentos

Contribuição do Segurado Contribuinte Individual e Facultativo

Através da lei nº 9.876/99, os segurados passaram a ser classificados como contribuintes individuais.

Por exemplo, os profissionais que se enquadram nessa contribuição são:

  • empresário
  • trabalhador autônomo
  • trabalhador equiparado ao autônomo

De acordo com as lei nº 13.202/15, considera-se remuneração do contribuinte individual que trabalha como:

  • condutor autônomo de veículo rodoviário
  • auxiliar de condutor autônomo de veículo rodoviário
  • operador de trator
  • máquina de terraplenagem
  • colheitadeira de assemelhados

Micro Empreendedor Individual (MEI)

É uma política pública que tem por objetivo a formalização de pequenos empreendimentos e a inclusão social e previdenciária. No entanto, MEI é um contribuinte individual, pois se enquadra como empresário no artigo 966 do CC/2002.

Portanto, é a pessoa jurídica constituída de uma modalidade de microempresa. Ademais, Micro Empreendedor Individual (MEI), é a pessoa que trabalha por conta própria e que se registra como pequeno empresário.

Contribuições das Empresas

De acordo com o artigo 195, inciso I da Emenda 20 da Constituição, a incidência de contribuições ao sistema a cargo do empregador, da empresa e da entidade a ela equiparada na forma da lei 13.202/15. Por exemplo, encontra-se nos seguintes termos:

I – Do empregador, da empresa e da entidade a ela equiparada, la forma da lei, incidentes sobre:

  • folha de salários e demais rendimentos do trabalho pagos ou creditados a qualquer título
  • receita ou o faturamento
  • lucro

Contribuição sobre a folha de pagamento

E a contribuição sobre a folha de salários e demais rendimentos de trabalho descrita acima, no tópico das Contribuições das Empresas.

A cobrança é feita com base no Inciso I, do artigo 22 da lei 8.212/91, cuja alíquota é de 20% sobre o total das remunerações pagas, devidas ou creditadas a qualquer título, durante o mês.

Como visto, a contribuição do empregado e do trabalhador avulso é calculada mediante a aplicação da correspondente alíquota sobre seu salário de contribuição mensal, até o limite máximo previsto pela Previdência Social.

A empresa é obrigada a recolher as contribuições a seu encargo, no mês subsequente ao trabalho efetivado.

Anualmente, até o dia 20 de Dezembro, a empresa também é obrigada a recolher as contribuições ao sistema previdenciário sobre a gratificação natalina, que é o 13º salário. Existe uma ressalva se for referente as comissões, onde a empresa terá um prazo até 20 de Janeiro para efetuar o recolhimento das contribuições previdenciárias.

Remuneração paga aos segurados individuais e trabalhadores avulsos

Referente ao recolhimento das empresas sobre rendimentos de autônomos, avulsos e administradores, o STF declarou como inconstitucional a incidência das contribuições ao sistema previdenciário instituída na lei 8.212/91.

Em 1988, a Constituição Federal já previa a contribuição dos empregadores incidentes somente sobre a folha de salários, o faturamento e o lucro.

Em razão dessa decisão, foi editada em 1996, a lei Complementar nº 84, a qual instituiu 2 contribuições ao sistema:

  • a primeira de 15%, a cargo das empresas, pessoas jurídicas e das cooperativas. Incidem sobre as remunerações ou retribuições por elas pagas ou creditadas no decorrer do mês
  • a segunda também de 15%, a cargo de cooperativas de trabalho. Incide sobre o total das importâncias pagas, distribuídas ou creditadas aos seus cooperados

Com fundamento na lei nº84/96, a partir de maio de 1996, as empresas, cooperativas e entes públicos passaram a recolher contribuição de 15% sobre os valor pagos a empresários, autônomos e equiparados como também trabalhadores avulsos.

Contribuição sobre pagamentos feitos a cooperados

Como visto anteriormente, no artigo I parágrafo II, da lei complementar nº 84/96, estipulava-se uma contribuição de 15%, a cargo das cooperativas de trabalho, incidente sobre o total das importâncias pagas.

Com a alteração realizada pela lei 9.876/99, a partir de março de 2000, as empresas contratantes de mão de obra das cooperativas brasileiras passaram a ser responsáveis pelo recolhimento de 15% à Previdência Social sobre o valor da fatura. Antes, essa responsabilidade pelo recolhimento era das próprias cooperativas.

Contribuição sobre pagamentos feitos a membros de entidades religiosas

Com a lei nº 10.170/2000, os pagamentos feitos pelas instituições religiosas, não sofreram a incidência da contribuição patronal sobre pagamentos feitos à pessoas físicas que não sejam empregados.

Vale mencionar que nem sempre o pagamento feito aos eclesiásticos e outros membros de entidades religiosas estarão fora da hipótese de incidência.

Por exemplo:

  • Tributária
  • Ação Declaratória
  • Contribuição Previdenciária
  • Igreja
  • Valores Pagos a Ministros de Confissão Religiosa

Grau de incidência de laborativa dos riscos ambientais do trabalho – GILRAT

O seguro obrigatório de acidentes do trabalho foi integrado à Previdência Social através da lei nº 5.316/1967. O seguro é em favor dos empregados em geral, dos trabalhadores avulsos e dos presidiários que exercerem atividade remunerada.

É um seguro obrigatório, instituído por lei, mediante uma contribuição adicional a cargo exclusivo da empresa. Destina-se à cobertura de eventos resultantes de acidente de trabalho.

Assim, para o financiamento dos benefícios concedidos em razão do grau de incidência de incapacidade laborativa decorrente dos riscos ambientais do trabalho (GILRAT), o empregador contribui sobre o total das remunerações pagas ou creditadas, no decorrer do mês em relação ao segurados empregados e trabalhadores avulsos.

Fator  Acidentário de Prevenção – FAP

O FAP consiste num multiplicador variável num intervalo contínuo de cinquenta centésimos (0,50) a dois inteiros (2,00) a ser aplicado à respectiva alíquota da contribuição relativa ao GILRAT.

Para realizar os cálculos dos índices de frequência, de gravidade e de custo, foram definidas as seguintes fontes de dados:

  • registros da Comunicação de Acidentes de Trabalho (CAT), relativos a cada acidente ocorrido
  • registros de concessão de benefícios acidentários que constam nos sistemas informatizados do INS. Foram concedidos a partir de Abril de 2007
  • dados populacionais empregatícios registrados no Cadastro Nacional de Informações Sociais (CNIS), referentes ao período-base
  • a expectativa de sobrevida do segurado será obtida a partir da tábua completa de mortalidade construída pelo IBGE. Isso é para toda a população brasileira, levando em conta a média nacional única para ambos os sexos, mais recente no período-base.

Contribuição para o financiamento da aposentadoria especial

A lei nº 9.732/98, elevou as alíquotas de contribuição das empresas que expõem o trabalhador à situação de risco de acidentes e doenças ocupacionais. Devido ao aumento de contribuição, o governo almeja estimular as empresas à investirem em tecnologia para evitar o trabalho em condições de risco.

Contribuições ao sistema sobre a receita e o faturamento

As contribuições ao sistema instituídas com base de cálculo incidente sobre a receita e o faturamento são a COFINS e o PIS/PASEP.

O STF decidiu que o COFINS envolve, não somente aquela decorrente da venda de mercadorias e da prestação de serviços. Também é a soma das receitas oriundas do exercício de outras atividades empresariais.

Contribuição para o Financiamento da Seguridade Social – COFINS

A COFINS é devida pelas pessoas jurídicas, inclusive entidades a elas equiparadas pela legislação do Imposto sobre a Renda. Assim sendo, é destinado exclusivamente às despesas com atividades finais das áreas da saúde, previdência e assistência social.

O artigo 3 da Constituição, modificou a base de cálculo da COFINS e do PIS/PASEP. Contudo, foi determinado que o faturamento corresponderá à receita bruta.

PIS/PASEP

O PIS foi criado pela Lei Complementar nº 7 de 07/09/1970, enquanto o PASEP foi instituído pela Lei Complementar nº 8, de 03/12/1970. Ademais, essas duas normas foram inseridas na Constituição Federal de 1988.

Contudo, a base de exigência do PIS e do PASEP está no artigo 239, da Constituição de 1988. Essa, por sua vez, estabeleceu que a arrecadação dessas contribuições, a partir de 05/10/1988, passaria a financiar 2 programas, como por exemplo:

  • o programa de seguro-desemprego
  • o abono para os empregados que recebem até 2 salários mínimos mensais

Contribuição Social sobre o Lucro Líquido – CSLL

A CSLL está fundamentada no artigo 195, I, da Constituição Federal. Esse artigo determina que estão sujeitas ao pagamento da Contribuição Social sobre o Lucro Líquido as pessoas jurídicas e as pessoas físicas a elas equiparadas, contanto que estejam domiciliadas no País.

São isentas da CSLL as entidades fechadas de previdência complementar, relativamente aos fatos geradores ocorridos a partir de 1º de Janeiro de 2002.

Contribuições das microempresas e de pequeno porte – o SIMPLES NACIONAL

O SIMPLES NACIONAL consiste no tratamento diferenciado, simplificado e favorecido aplicável às microempresas e às empresas de pequeno porte, relativo aos impostos e contribuições sociais listadas abaixo, como por exemplo:

  • Imposto sobre a Renda da Pessoa Jurídica – IRPJ
  • Imposto sobre Produtos Industrializados – IPI
  • Contribuição Social sobre o Lucro Líquido – CSLL
  • Contribuição para o Financiamento da Seguridade Social – COFINS
  • Contribuição para o PIS/PASEP
  • Contribuição Patronal Previdenciária – CPP
  • Imposto sobre Operações Relativas à Circulação de Mercadorias e sobre Prestações de Serviços de Transporte Interestadual e Intermunicipal e de Comunicação – ICMS
  • Imposto sobre Serviços de Qualquer Natureza – ISS

A empresa de pequeno porte, que no decorrer do ano-calendário exceder o limite de receita bruta anual, fica excluída no mês subsequente à ocorrência do excesso, do tratamento jurídico diferenciado e do regime do SIMPLES NACIONAL para todos os efeitos legais.

Contribuições do Importador de Bens e Serviços do Exterior

A Constituição prevê no artigo 195, inciso IV, da Emenda Constitucional de 2003, a incidência de contribuição social a cargo do importador de bens ou serviços do exterior, ou de quem a lei a ele equiparar.

Desse modo, o artigo 1º da lei 10.865/2004, instituiu o PIS/PASEP – Importação e a COFINS – Importação.

São contribuintes da Contribuição para o PIS/PASEP – Importação e da COFINS – Importação:

  • o importador, assim considerada pessoa física ou jurídica
  • a pessoa física ou jurídica contratante de serviços de residente ou domiciliado no exterior
  • o beneficiário do serviço, na hipótese em que o contratante também seja residente ou domiciliado no exterior

Contribuições Decorrentes do Trabalho Prestado em Obras de Construção Civil

Na construção civil existe e única hipótese de não incidência de contribuição social, a qual está prevista na lei do custeio. Assim, não é devida contribuição  se a construção residencial unifamiliar, destinada ao uso próprio, de tipo econômico, for executada sem mão-de-obra assalariada (artigo 30, VIII, da lei nº 8.212/91).

Aferição indireta das contribuições ao sistema

É o método ou procedimento de que dispõe a RFB para apuração das bases de cálculo das contribuições ao sistema previdenciário, quando ocorrer recusa ou sonegação de documentos ou informações, ou até mesmo na sua apresentação deficientes, por parte do contribuinte.

Apuração de salário de contribuição contido em nota fiscal de serviço/fatura

É fixado em 40% o percentual mínimo de salário de contribuição contido em nota fiscal de serviço/fatura. Contudo, para os serviços com utilização de equipamentos mecânicos, o salário de contribuição corresponderá no mínimo a 40% do valor da mão-de-obra discriminado na fatura, devendo a empresa de construção civil, quando da fiscalização, comprovar a exatidão dos valores discriminados.

Salário de contribuição com base na área construída e no padrão da obra

A apuração do salário de contribuição dos segurados que trabalham em obra de construção civil de responsabilidade de pessoa física ou jurídica, com base na área construída é procedida nos termos das Instruções Normativas sobre a matéria, as quais estabelecem critérios e rotinas para a regularização da obra de construção civil.

Contribuição dos Clubes de Futebol Profissionais

Primeiramente, essa contribuição foi instituída na lei nº 5.939/73. Durante a vigência da lei nº 7.787/89, de 01/09/1989 a 31/10/1991, os clubes de futebol profissionais passaram a contribuir com 5% do total da sua receita bruta.

A partir de 18/10/2007, através da lei nº 11.505/2007, a associação desportiva que mantém o clube de futebol profissional fica obrigada ao pagamento das seguintes contribuições ao sistema:

  • 20% sobre os valores pagos a contribuintes individuais que lhe prestem serviços
  • 15% sobre o valor bruto da nota fiscal, fatura ou recibo de serviços prestados por cooperados, por intermédio de cooperativas de trabalho
  • devidas a terceiros (outras entidades e fundos)

Contribuições ao sistema do Empregador Doméstico

Empregador Doméstico é a pessoa ou família que contrata o serviço, sem finalidade lucrativa, de um empregado doméstico. Contudo, através da lei nº 7.787/89, a contribuição social foi de 12% sobre a remuneração constante na Carteira de Trabalho.

Contribuição do Produtor Rural Pessoa Física e do Segurado Especial

A lei complementar nº11, de 25/05/1971, instituiu o programa de assistência ao trabalhador Rural (PRORURAL), o qual era responsável pela concessão das seguintes aposentadorias e benefícios:

  • aposentadoria por velhice
  • aposentadoria por invalidez
  • pensão
  • auxílio-funeral
  • serviço de saúde
  • serviço social

A contribuição que o produtor rural terá que fazer para o custeio do PRORURAL é de 2%. Contudo, a contribuição que o Segurado Especial terá que fazer para ter direito aos benefícios concedidos é de 0,2%, incidente sobre a receita bruta proveniente da comercialização da produção.

Contribuição do Empregador Rural Pessoa Jurídica

O empregador rural constituído em pessoa jurídica contribui para a Seguridade Social com 2,5% do valor da receita bruta proveniente da comercialização de sua produção.

Contribuição sobre a Receita de Concursos de Prognósticos

Está contribuição prevista no artigo 195, III, da Constituição Federal de 1988, incide sobre todo e qualquer concurso de sorteio de números ou quaisquer outros símbolos, loterias ou apostas de qualquer natureza.

No entanto, inclusive, o percentual de 5% para contribuição que incide sobre o movimento global de apostas em prado de corridas, ou o movimento global de sorteio de números ou de quaisquer modalidades de símbolos.

Contribuições ao sistema Destinadas a Terceiros

Há uma ressalva no artigo 240 da Constituição de 1988 que, além das contribuições previstas no artigo 195, é possível realizar a cobrança de contribuições compulsórias dos empregadores sobre a folha de salários, destinadas às entidades privadas de serviço social e de formação profissional vinculadas ao sistema sindical.

Contudo, as contribuições ao sistema realizadas à terceiros incidentes sobre a remuneração paga, devida ou creditada a segurados empregados e trabalhadores avulsos são destinadas às seguintes entidades privadas de serviço social e de formação profissional vinculadas ao sistema sindical:

  • FNDE
  • INCRA
  • SENAI
  • SESI
  • SENAC
  • SESC
  • SEBRAE
  • DPC
  • SENAR
  • SEST
  • SENAT

Escrituração Digital das Obrigações Fiscais, Previdenciárias e Trabalhistas

O e-SOCIAL é um instrumento de unificação da prestação das informações referentes à escrituração das obrigações fiscais, previdenciárias e trabalhistas e sua finalidade é padronizar sua transmissão, validação, armazenamento e distribuição, constituindo assim o ambiente nacional, no qual é composto por:

  • escrituração digital, na qual contém informações fiscais, previdenciárias e trabalhistas
  • aplicação para preenchimento, geração, transmissão, recepção, validação e distribuição da escrituração
  • repositório nacional, contendo o armazenamento da escrituração

A prestação das informações ao eSocial substitui a obrigação de entrega das mesmas informações em outros formulários e declarações a que estão sujeitos:

  • o empregador, inclusive o doméstico, a empresa e os que forem a eles equiparados em lei
  • o segurado especial, inclusive em relação a trabalhadores que lhe prestem serviço
  • as pessoas jurídicas de direito público da União, dos Estados, do Distrito Federal e dos Municípios

São objetivos do eSOCIAL:

  • viabilizar a garantia dos direitos previdenciários e trabalhistas aos trabalhadores brasileiros
  • simplificar o cumprimento de obrigações
  • aprimorar a qualidade de informações das relações de trabalho, previdenciárias e fiscais

Simples Doméstico

É um regime unificado para pagamento de todos os tributos e demais encargos, inclusive FGTS. Contudo, esse sistema está disponível dentro do portal do eSOCIAL. Ademais, o portal possui um módulo específico para os empregadores domésticos.

Programa de Recuperação Previdenciária dos Empregadores Domésticos

Esse programa permite o parcelamento de todos os débitos do empregador doméstico, relativos a contribuição social.

Contudo, o parcelamento abrange todos os débitos existente sem nome do empregado e do empregador, na condição de contribuinte, inclusive os débitos inscritos na dívida ativa, que poderão ser:

  • pagos com redução de 100% das multas aplicáveis, de 60% dos juros de mora e de 100% sobre os valores dos encargos legais e advocatícios
  • parcelados em até 120 meses, com prestação mínima no valor de R$100,00

Na hipótese de rescisão do parcelamento com o cancelamento dos benefícios concedidos:

  • será efetuada a apuração do valor original do débito, com a incidência dos acréscimos legais, até a data de rescisão
  • serão deduzidas do valor as parcelas pagas, com a incidência dos acréscimos legais, até a data de rescisão

Ademais, a opção pelo REDOM sujeita o contribuinte a:

  • confissão irrevogável e irretratável dos débitos incluídos no parcelamento
  • aceitação plena e irretratável de todas as condições estabelecidas
  • pagamento regular das parcelas do débito consolidado, assim como das contribuições com vencimento posterior a 30/04/2013

Conclusão

Certamente você percebeu quantas taxas de contribuição que pagamos. No entanto, ainda a Previdência Social diz que não tem dinheiro para pagar os aposentados, querendo fazer uma reforma. Contudo, não existe um país que não possua corrupção, por menor que ela seja.

Certamente há corrupção nos países de Primeiro Mundo, mas a grande maioria dos políticos nesses países são honestos e não deixam faltar as necessidades básicas que o ser humano precisa para sobreviver. No entanto, esse não é o caso do Brasil, onde é um país dotado de muita riqueza, mas muito mal administrado.

Quanto a corrupção, aqui ocorre o contrário dos países de Primeiro Mundo. Existe muita corrupção e, como se não bastasse, os políticos ainda querem mexer e retardar o benefício que é direito do trabalhador que contribuiu para um dia poder se aposentar.

Você sabia que o Portal Consignados é especialista em empréstimo consignado?

Com mais de 17 anos no Mercado de Empréstimo Consignado e com uma equipe treinada para lhe auxiliar na melhor decisão, no entanto o Portal Consignados trabalha em parceria com diversos bancos para lhe oferecer sempre o melhor negócio.

Fidúcia Legal – O que é? Quais são as modalidades?

O que é fidúcia legal? E quais são as modalidades de fidúcia legal? Neste artigo, abordaremos este tema que faz parte do assunto Negócio Fiduciário. Me acompanhem!

O que é Fidúcia Legal?

Antes de iniciar o artigo descrevendo o que é fidúcia legal, irei primeiramente dizer o que é negócio fiduciário?

Negócio Fiduciário é aquele onde o fiduciante encontra-se em situação de perigo, que poderia acusar o fiduciário por abuso de poder. No entanto, a ausência dessa situação descaracteriza a natureza fiduciária do negócio.

Na América espanhola, admite-se a inclusão da fidúcia na sistemática do direito positivo como uma espécie de negócio fiduciário. Contudo, acredita-se que ambos os negócios têm em comum os seguintes aspectos:

  • presença de duas pessoas
  • transmissão de um bem ou direito de um ao outro
  • obrigação do fiduciário referente ao fiduciante de dar determinada destinação ao bem ou direito transmitido
  • afetação do bem ao fim estipulado no instrumento

Denomina-se Fidúcia Legal aquela que está caracterizada, ou seja, aquela cujos poderes do fiduciário são limitados e sujeitos a um rigoroso controle que esteja definida no instrumento de formalização do negócio a exata correspondência desses poderes com a finalidade do negócio celebrado.

Por exemplo:

No caso da Fidúcia Legal, na constituição de um direito de propriedade cujo registro contém as restrições as quais estão submetidos os poderes do fiduciário. No entanto, isso resulta que o fiduciante dispõe de meios jurídicos para evitar os abusos do fiduciário.

Os negócios fiduciários poderão ser de 2 modalidades:

  • Negócios Fiduciários Próprios
  • Negócios Fiduciários Impróprios

A seguir, explicarei à respeito dessas duas modalidades de negócios fiduciários.

Negócios fiduciários próprios e impróprios

Através da lei dos fundos de investimento imobiliário nº 8.668/1993, foi decretado que os negócios fiduciários próprios são aqueles típicos negócios onde existe a confiança, apresentando certo perigo para o fiduciante, enquanto o negócio fiduciário impróprio é aquele que não oferece perigo ao negócio. Vamos entender melhor?

No negócio fiduciário impróprio, não existe aquela forma singular como é feita no negócio fiduciário, mas sim uma forma comum do negócio jurídico, até porque no negócio impróprio, o fiduciante dispõe de tutela legal para exigir o cumprimento da finalidade da fidúcia, sendo impostas restrições explícitas ao fiduciário. No entanto, essas restrições integram o contrato fiduciário, também conhecido como Trust.

Trust significa confiar e o que caracteriza um negócio fiduciário é justamente a confiança. Ademais, no negócio fiduciário, é muito comum a administração e a negociação com terceiros, daí que se origina a confiança (Trust).

Seja como for, o direito positivo vem emprestando a designação fiduciária às mais diversas figuras que vêm sendo construídas a partir da conciliação entre a concepção da fidúcia romana e a ideia do Trust. Isso acontece em favor do investidor-beneficiário, continuam presentes no negócio as regras da boa-fé e da confiança.

Você sabia?

Com mais de 17 anos no Mercado de Empréstimo Consignado e com uma equipe treinada para lhe auxiliar na melhor decisão, no entanto o Portal Consignados trabalha em parceria com diversos bancos para lhe oferecer sempre o melhor negócio.

Direito à Proteção Social do Trabalhador pelo Estado

Qual é a origem da Proteção Social? Nesse artigo, falaremos do início da proteção social, passando por datas históricas e terminando com uma reflexão que tenho certeza que você se identificará pois esse é um assunto que está sempre em pauta.

Primeiramente, convém dizer que o direito à proteção social do trabalhador pelo estado tem o seu início relacionado ao desenvolvimento da sua estrutura sobre as quais deveriam ser as suas funções. Contudo, a proteção social foi inserida no artigo 3 da Constituição Federal, de 1988. Por sua vez, a Proteção Social é mais conhecida como Seguridade Social.

Como surgiu a Proteção Social?

Proteção Social é o conjunto de medidas de caráter social destinadas a atender certas necessidades individuais. No entanto, ela compreende as necessidades individuais que, não atendidas, repercutem sobre os demais indivíduos e sobre a sociedade.

Referente a situação empregatícia do passado, o trabalho retribuído por salário sem nenhuma regulamentação, era motivo de submissão de trabalhadores. No entanto, suas condições eram semelhantes às dos escravos. Com isso, não existia nada que pudesse comparar à proteção do indivíduo. Ademais, seja em caráter de relação empregado-empregador ou na questão relativa aos riscos da atividade laborativa, no tocante a eventual perda ou redução da capacidade de trabalho. No entanto, vale mencionar que os direitos dos trabalhadores eram aqueles assegurados pelos seus contratos. Ademais, não existia qualquer intervenção estatal no sentido de estabelecer garantias mínimas.

Primeiras mudanças

Como pôde ser visto, nem sempre houve a preocupação efetiva com a proteção dos indivíduos quanto a seus infortúnios. Somente a partir do final do século XIX, a questão de proteção social se tornou importante dentro da ordem jurídica dos Estados.

Sobre esse ponto, Mozart Victor Russomano comentou em uma reportagem sobre a CLT , na pág. 18 da Revista dos Tribunais, em 1981:

“O mundo contemporâneo abandonou, há muito, os antigos conceitos da Justiça Comutativa, pois as novas realidades sociais e econômicas, ao longo da História, mostraram que não basta dar a cada um o que é seu para que a sociedade seja justa. Na verdade, algumas vezes, é dando a cada um o que não é seu que se engrandece a condição humana e que se redime a injustiça dos grandes abismos sociais.”

Datas que mudaram o mundo referente à Proteção Social

Antigamente, não se atribuía ao Estado o dever de dar assistência aos necessitados. A exceção registrada na história foi uma lei na Inglaterra, datada em 1601, na qual diz que a contribuição era obrigatória para fins sociais, com intuito assistencial.

Fundado em Londres, em 1762, surge a primeira companhia de seguro de vida.

Em 1849, no Brasil, surgiram empresas que se dedicavam à instituição de seguros populares, destinados à classe trabalhadora.

Em 1789, ocorreu uma mudança significativa na Declaração dos Direitos do Homem, na qual foi inserido o início da Seguridade Social como direito subjetivo assegurado à todos.

Revoluções e Guerras para Conquistas

Tanto os cartistas da  Inglaterra, quanto as Revoluções Francesas (de 1848 e de 1871) e Alemã (de 1848), despertaram interesse dos governantes dos Estados para a intervenção e regulamentação na vida econômica. Você deve estar se perguntando o que este fato tem a ver com a proteção social? A resposta é tudo. Tanto a Inglaterra, quanto a França e a Alemanha estavam se manifestando e lutando pelos direitos dos trabalhadores. Suas intenções eram que todos tivesses uma vida decente e sem explorações. Os estados da Europa que são os precursores da ideia de proteção estatal ao indivíduo, estabeleceram de forma gradativa, do final do século XIX ao início do século XX, um sistema jurídico que garantia aos trabalhadores, normas de proteção referente aos seus empregadores nas suas relações contratuais.

E por fim, a Primeira Guerra Mundial (1914-1918), também é considerado um fator primordial na formação de um novo molde estatal. As consequências econômicas e sociais da guerra foram cauda de uma aceleração que a mudança era necessária e consequentemente uma revisão nos princípios da legislação social.

A Proteção Social nos Tempos Modernos

Existem 2 modelos fundamentais de proteção social, surgidos após a Segunda Guerra Mundial. Ambos são baseados nos ideais de solidariedade e na intervenção do Estado no domínio econômico.

Os 2 modelos fundamentais de proteção social são:

  • Modelo Bismarckiano: É um sistema previdenciário cuja principal característica pois sua funcionalidade será como seguro social.
  • Modelo Beveridgeano: É um sistema que enfatiza funções redistributivas pois objetiva também a redução da pobreza.

Conclusão

Diante desses fatos, concluímos que dessa época em diante se materializa a Universalização dos Direitos Sociais. Contudo, essa Universalização foi reconhecida como como categoria integrante do rol de direitos fundamentais.

 Acompanhando este artigo, percebemos que o trabalhador foi muito explorado ora pelo patrão ora pela lei. Mas será que ainda não estamos assim? Convém evidenciar que parece que estamos voltando ao passado. Digo isso no sentido que ainda somos explorados por patrões que não querem pagar nossos direitos e que se acham o dono da razão. Temos que nos motivar para dar um basta. Todavia, precisamos lutar pelos nossos direitos. Direitos esses que foram adquiridos através de muita luta. Nada impede que consigamos nossos direitos, entretanto basta ter vontade. Ainda há muito o que melhorar. Sei que as leis no Brasil não colaboram para que tenhamos melhores condições de emprego. Se não fizermos nossa parte, ninguém fará por nós.

Você sabia que o Portal Consignados é especialista em empréstimo consignado?

Com mais de 17 anos no Mercado de Empréstimo Consignado e com uma equipe treinada para lhe auxiliar na melhor decisão, no entanto o Portal Consignados trabalha em parceria com diversos bancos para lhe oferecer sempre o melhor negócio.

Negócio Fiduciário – O que é? Do início aos dias atuais

Nem sempre foi fácil realizar um negócio fiduciário. Neste artigo, aprenderemos o que é e como surgiu o negócio fiduciário. Aprenderemos também qual é a origem da palavra fidúcia e como estão os negócios fiduciários nos dias de hoje. Prepare-se para aprofundar o seu conhecimento nessa viagem referente a fidúcia de antigamente aos dias atuais.

Como era o Negócio Fiduciário e qual é a origem da palavra Fidúcia?

Negócio fiduciário é o negócio jurídico típico no qual o credor (fiduciante) transmite a propriedade de uma coisa ou titularidade para o devedor (fiduciário).

Caso o fiduciário cumpra com os deveres, o mesmo poderá retransmitir a coisa ou direito ao fiduciante ou a um beneficiário indicado no contrato.

O contrato de fidúcia teve a sua origem com os romanos. Foram tempos difíceis, pois a fidúcia romana retirava do devedor a posse da coisa. Contudo, essa atitude obviamente afastava os meios com os quais o devedor poderia pagar a dívida que estava vinculada ao contrato.

A medida em que foram sendo implementados novos produtos no comércio, tornou-se indispensável a normatização de uma lei que fosse beneficiária tanto para o credor quanto para o devedor. Foi justamente aí que surgiu a Fidúcia. Essa palavra vem do latim confidere que, por sua vez, significa confiança, segurança, lealdade, ou seja, aquele que age com boa fé e que honra seus compromissos.

O Negócio Fiduciário nos dias atuais

Até o final do século XIX, garantias como hipoteca e penhor eram eficazes aos fins a que se destinavam. A partir da Revolução Industrial, essas garantias demonstraram deficiências. Foi pedida a revisão do seu sistema visando contornar os problemas decorrentes da preferência de outros créditos. No entanto, os juristas europeus reconstruíram o negócio fiduciário. Inspirados na fidúcia do direito romano, procuravam viabilizar e proteger com mais eficácia o crédito. Contudo, não só mediante rápida reposição das situações de mora, como também, afastar da concorrência créditos preferenciais.

Contudo, o modelo fiduciário reconstruído pelos juristas europeus apresentada as mesmas deficiências do modelo criado pelos romanos. Os problemas não eram somente em razão da transmissão da posse ao credor como também em função da vulnerabilidade da posição do devedor. Assim, como na fidúcia romana, se o fiduciário se recusar a transmitir e alienar a coisa, o fiduciante não dispõe de ação para reivindicar a coisa, mas apenas de ação pessoal de reparação de danos, pois a venda há de ser considerada válida. No entanto, o fiduciário responde por seus atos ao instituidor, ao beneficiário e a terceiros. Ademais, se o fiduciário não cumprir com os seus deveres, o mesmo poderá perder a coisa pois está no contrato.

A seguir, conforme algumas dúvidas que ouvi de pessoas sobre esse assunto, irei expor algumas diferenças entre negócios simulados e negócios fiduciários.

Principais diferenças entre Negócio Simulado e Negócio Fiduciário 

Negócio Simulado

  • não é real
  • se realiza com o propósito de suscitar uma ilusão
  • é único e jejuno de consentimento
  • é absolutamente nulo e não visa resultado econômico

Negócio Fiduciário

  • é efetivamente desejado pelas partes envolvidas
  • seu propósito é suprir uma lacuna do ordenamento
  • é a união de dois negócios, sendo um de natureza real e outro obrigacional
  • se caracteriza pelo caráter entre o meio jurídico empregado e o resultado econômico do contrato

Você sabia que o Portal Consignados é especialista em empréstimo consignado?

Com mais de 17 anos no Mercado de Empréstimo Consignado e com uma equipe treinada para lhe auxiliar na melhor decisão, no entanto o Portal Consignados trabalha em parceria com diversos bancos para lhe oferecer sempre o melhor negócio.

Alienação Fiduciária Veículos – Conceito e suas características

Você sabe o que é Alienação Fiduciária no ramo de veículos? Sabe qual é o seu conceito e quais são suas características? A alienação fiduciária advém da propriedade fiduciária. Suas características básicas são idênticas. Portanto, explicarei primeiramente sobre a propriedade para logo após, entrar no tema desse artigo. Acompanhe e comente!

O que é Propriedade Fiduciária?

No artigo 1361 do Código Civil de 2002, propriedade fiduciária se descreve como uma propriedade resolúvel de coisa móvel infungível. Isso significa que a propriedade fiduciária só existe como garantia do pagamento de outra obrigação. Em ambos os casos,  trata-se da transparência da propriedade resolúvel de bens móveis pelo devedor e credor, como garantia de obrigações assumidas do devedor junto ao credor. Devido a Constituição da Propriedade Fiduciária, ocorre ainda o desdobramento da posse, tornando-se o devedor possuidor do produto enquanto o credor permanece com a posse indireta do produto.

O direito da posse é dividido em 2 segmentos:

  • Posse direta (devedor-fiduciante) – Pode usufruir do bem.
  • Posse indireta (credor-fiduciário) – Mantém o direito de haver a posse plena, em caso de inadimplemento.

Após o devedor realizar o pagamento total ao credor, a propriedade resolúvel é extinguida.

Agora aprenderemos sobre Alienação Fiduciária, cujas informações complementarão o conhecimento adquirido na Propriedade Fiduciária.

Mas afinal, o que é Alienação Fiduciária de Veículos e quais são suas características?

De acordo com o artigo 66 da lei 4.728 de 1965 do Código Civil, aplica-se à alienação fiduciária em garantia de coisa fungível ou de direito, transferindo ao credor a posse direta ou indireta do bem alienado em garantia. O credor possui o domínio do bem sobre o devedor até a liquidação da dívida.

Na lei 10.406 datada em 2002 do Código Civil, a alienação fiduciária de bens móveis (veículos também é incluso nessa categoria) foi regulamentada nos artigos 1.361 á 1.368. Posteriormente, na lei 10.931 de 02/08/2004, os artigos 66 e 66-A da lei 4.728/1965 foram derrogados e, no lugar, foi inserido o artigo 66-B. No artigo 66-B, foram definidas características especiais em garantia dos créditos constituídos no âmbito do mercado financeiro e de capitais.

Alienação Fiduciária de veículos é o contrato firmado entre o usuário e uma entidade financeira, na compra do veículo. A entidade financeira é o credor enquanto o usuário é o devedor. Alienação Fiduciária significa Restrição Administrativa. No entanto, essa informação é inserida nos documentos desses veículos com a intenção de impedir a transferência de propriedade até que ocorra a quitação do financiamento. O bem (veículo) fica como garantia da dívida. O comprador só poderá passar o veículo para o seu nome quando a dívida do bem estiver quitada.

Caso haja descumprimento por parte do devedor referente ao pagamento, o bem retornará ao credor.

Suas principais características são:

  • É bilateral, já que tanto o fiduciário quanto o fiduciante possuem suas obrigações;
  • É oneroso porque beneficia a ambos, proporcionando um negócio seguro;
  • É acessório, pois depende de uma obrigação principal que pretende garantir;
  • É formal, pois requer sempre um instrumento escrito, público ou particular para constituir-se;
  • É indivisível, pois o pagamento de uma ou mais prestações não implica na exoneração da garantia.

Até a próxima!

Você sabia que o Portal Consignados é especialista em empréstimo consignado?

Com mais de 17 anos no Mercado de Empréstimo Consignado e com uma equipe treinada para lhe auxiliar na melhor decisão, no entanto o Portal Consignados trabalha em parceria com diversos bancos para lhe oferecer sempre o melhor negócio.

Direito adquirido – Regimes Próprios da Previdência Social

Antes de falarmos sobre direito adquirido, temos que falar das Emendas Constitucionais. Mas porquê falar de Emendas Constitucionais quando o foco na verdade é Direito Adquirido? Entenda como a Emenda Constitucional foi fundamental para a implementação do direito adquirido aos contribuintes junto a Previdência Social.

Emenda Constitucional – fundamental para o Direito Adquirido

As Emendas Constitucionais estão presentes no artigo 40 da Constituição Federal de 1988 e são uma modificação da constituição de um estado. Isso quer dizer que a Emenda Constitucional permite que você mude um parágrafo, tópico ou tema da Constituição sem a necessidade que convocar uma nova Assembléia.

A primeira emenda foi criada pela Constituição da Pensilvânia, nos Estados Unidos, em 1976. Contudo, vale salientar que antes da emenda, os processos de mudança na Constituição sempre foram marcados com violência. Contudo, em várias situações, essas mudanças ocorriam durante a guerra. Após o surgimento da Emenda, diversos países a adaptaram para sua Constituição.

No artigo 59 da Constituição brasileira de 1988, foi prevista que fizesse emendas a ela., mas nada aconteceu. A câmara dos deputados decidiu criar a PEC (Proposta de Emenda Constitucional) e leva-la ao presidente da República. Essa PEC ainda não foi aprovada.

As mudanças que a Emenda Constitucionais fizeram no Regime Próprio, de 1998 à 2003, resguardaram o direito adquirido a concessão de aposentadoria aos servidores que tivesse preenchido os requisitos para a inativação até a sua vigência.

O que é Direito adquirido?

Direito adquirido é um direito fundamental descrito no artigo 5, da Constituição Federal. É o direito que poderá ser exercido em qualquer período, pois o contribuinte já apresentou todos os documentos e preencheu todos os requisitos exigidos para usufruir do benefício disponibilizado pelo INSS.

Direito adquirido é um direito fundamental descrito no artigo 5, da Constituição Federal que diz:

A lei não prejudicará o direito adquirido, o ato jurídico perfeito e a coisa julgada.

Pela citação do artigo 5, da Constituição Federal, percebe-se que o direito adquirido, bem como a forma grandiosa de um juri que age corretamente na forma de julgar um processo estão resguardadas pela lei. Há também uma citação que vale a pena mencionar. No entanto, essa citação foi feita pela presidente do Instituto Brasileiro de Direito Previdenciário, a Sra. Jane Berwarner, que diz o seguinte:

Não existe direito adquirido se ele não estiver na Constituição.

No entanto, para entendermos melhor o que foi dito acima, iremos explicar o que é lei. Lei é um conjunto de normas. Elas são feitas para que a sociedade fique estável. Imagine se não houvesse lei e todos pudessem fazer o que bem quisessem?  Não iria dar certo, pois cada pessoa pensa e age de um modo diferente.

A lei foi criada justamente para organizar a sociedade, definindo o que pode e o que não pode ser feito. A Constituição é exatamente isso. É um conjunto de leis que regem o estado, criando regras para organizar a sociedade. Por esse motivo que o direito adquirido é aquele que está presente na Constituição, pois se é lei e esta é válida para todos, ninguém terá o direito de retirar.

Até a próxima!

Você sabia que o Portal Consignados é especialista em empréstimo consignado?

Com mais de 17 anos no Mercado de Empréstimo Consignado e com uma equipe treinada para lhe auxiliar na melhor decisão, no entanto o Portal Consignados trabalha em parceria com diversos bancos para lhe oferecer sempre o melhor negócio.

Ações Previdenciárias – Quais são as competências adotadas?

O que são ações previdenciárias? Quais são as competências adotadas para essas ações da previdência? Você sabe identificar qual é a diferença entre Jurisdição e Competência? Ademais, neste artigo você aprenderá mais sobre esses assuntos com exemplos e citações.

Quais são as diferenças entre Jurisdição e Competência?

Vamos aprender a identificar a diferença entre Jurisdição e Competência?

Primeiramente, vamos começar pela Jurisdição.

Jurisdição

Jurisdição é a atividade do estado que tem por objetivo fazer atuar concretamente a lei, pois seu objetivo é solucionar os conflitos de interesses em seu território.

Contudo, a Jurisdição abrange 3 medidas, que são:

  • decisão

Na decisão, o Estado-Juiz tem o direito de conhecer a sua fundamentação, pois este deverá colher provas e decidir.

  • coerção

Na coerção, o Estado-Juiz pode compelir o vencido ao cumprimento da decisão.

  • documentação

Na documentação, O Estado-Juiz pode documentar por escrito os atos processuais.

Agora iremos aprender sobre Competência.

Competência

Competência é a delimitação da Jurisdição. Esta serve para dividir a jurisdição entre os órgãos do Judiciário. Contudo, é uma repartição dentro do Poder Judiciário, composta por diversos órgãos jurisdicionais (STF, STJ, TRF, entre outros), repartindo a jurisdição entre eles. Em outras palavras, a competência nada mais é do que uma repartição limitada onde esses órgãos jurisdicionais poderão exercer a jurisdição.

A competência é determinada por alguns critérios, como por exemplo:

  • Territorial

É a escolha de foro.

  • Material

É o objeto em questão que está em discussão.

  • Valor da Causa

Poderá ser usado como um critério de determinação da competência.

  • Funcional ou Hierárquico

Em razão da hierarquia, a causa será movida do tribunal.

Por Exemplo:

Encontra-se na Constituição Federal a competência do STJ enquanto a competência do STF está nos Tribunais de Justiça.

Quais são as competências adotadas para as ações previdenciárias?

Antes de partimos para as competências adotadas, vamos descobrir o que são ações previdenciárias?

Ações Previdenciárias

São ações de concessão e de revisão dos benefícios da previdência social.

Competência para as ações previdenciárias

Citando o parágrafo I do artigo 109 da Constituição Federal de 1988, tem-se a seguinte afirmação:

Aos juízes federais, compete processar e julgar:

I – As causas em que a União, entidade autárquica ou empresa pública federam forem interessadas na condição de autoras, rés, assistentes ou oponentes, exceto as de falência, as de acidentes de trabalho e a sujeitas à Justiça Eleitoral e à Justiça do Trabalho.

De acordo com o artigo citado acima, vê-se que os juízes federais possuem a competência para processar e julgar ações judiciais e eventuais recursos do Judiciário que tratam dos benefícios da Previdência Social. Vale ressaltar que as ações e medidas cautelares para acidentes de trabalho serão processadas na Justiça Estadual.

Como toda regra, há uma exceção. Citarei o parágrafo II, do artigo 109 da Constituição Federal de 1988, que relata justamente:

As causas intentadas contra a União poderão ser aforadas na seção judiciária em que for domiciliado o autor, naquela onde houver ocorrido o ato ou fato que deu origem a demanda ou onde esteja situada a coisa, ou, ainda, no Distrito Federal.

Foi declarado que nos 4 lugares citados do parágrafo II em que a demanda for contra a União, o juízo federal será plenamente competente para assumir a causa.

Citarei também o artigo 3 da lei nº 10.259/01 que diz o seguinte:

Artigo 3- Compete ao Juizado Especial Federal Cível processar, conciliar e julgar causas de competência da Justiça Federal até o valor de 60 salários mínimos, bem como executar as suas sentenças.

Na citação acima, notamos que o Juizado Especial Federal Cível se tornou responsável pelo processo, conciliação, julgamento e execução das sentenças das causas de competência. Anteriormente, essas atividades competiam a Justiça Federal  para o limite de até 60 salários mínimos.

Conclusão

Depois dessa leitura, fica nítido que ainda há muito o que arrumar nas leis do nosso país, pois algumas leis não fazem mais sentido nos dias de hoje.  No entanto, estas deveriam ser substituídas por leis que realmente se preocupassem em melhorar o país e não só em benefício próprio.

Até a próxima!

Você sabia que o Portal Consignados é especialista em empréstimo consignado?

Com mais de 17 anos no Mercado de Empréstimo Consignado e com uma equipe treinada para lhe auxiliar na melhor decisão, no entanto o Portal Consignados trabalha em parceria com diversos bancos para lhe oferecer sempre o melhor negócio.

Acidente de Trabalho e Doença Ocupacional

O que caracteriza um acidente de trabalho? E o que é doença ocupacional? Em quais situações que terei direito ao benefício seja ele por acidente de trabalho ou por doença ocupacional? Contudo, descubra quais são as diferenças entre acidente de trabalho e doença ocupacional aqui.

O que é acidente de trabalho?

De acordo com o artigo 19 da lei nº 8.213/91, o acidente de trabalho caracteriza-se por ocorrer pelo exercício do trabalho a serviço da empresa.

A primeira lei de acidente de trabalho foi criada em 1919, sob o nº 3.724. No entanto, ela se baseou na teoria da responsabilidade objetiva do empregador, pois culpava o empregador pelos acidentes de trabalho. Dessa forma, a Constituição de 1934 foi a primeira a mencionar a proteção ao acidente de trabalho como prestação previdenciária, no artigo 121.

O benefício por acidente de trabalho só será concedido nas seguintes situações:

  • empregados, podendo ser inclusive temporário;
  • segurados especiais;
  • médicos residentes;
  • empregados domésticos;

Também caracterizam-se acidentes de trabalho os causados por:

  • ato de agressão, sabotagem ou terrorismo praticado por terceiros ou colegas de trabalho;
  • ofensa física intencional, inclusive de terceiro, por motivo de disputa relacionada ao trabalho;
  • ato de imprudência, de negligência ou de imperícia de terceiro ou de companheiro de trabalho;
  • doença proveniente de contaminação acidental do empregado no exercício da sua atividade;
  • no percurso da residência para o local de trabalho ou vice-versa, qualquer que seja o veículo de locomoção.

E em quais situações que não receberei o benefício por acidente de trabalho?

  • Nos períodos destinados à refeição ou descanso.
  • Acidente de trajeto sofrido pelo segurado que, por interesse pessoal, tiver alterado ou interrompido o percurso habitual.

E doença ocupacional? O que é e o que caracteriza?

São as que estão diretamente relacionadas as atividades desempenhadas pelo trabalhador ou as condições de trabalho às quais eles está submetido.

No entanto, as mais comuns são:

As doenças ocupacionais estão divididas em 2 categorias:

  • Doenças Profissionais:

São aquelas ligadas a atividade que o trabalhador exerce, pois resultam de contante exposição a agentes químicos e biológicos. Contudo, é estendida à todos os outros profissionais que exercem a mesma atividade.

Por Exemplo:

Um soldador que adquiri catarata é considerado uma doença profissional, pois o mesmo a contraiu na atividade que desempenha.

  • Doenças do Trabalho:

Não possui ligação direta com a atividade que o trabalhador desenvolve. Ademais, são aquelas adquiridas em função das condições especiais em que o trabalho é realizado.

Por Exemplo:

Vamos utilizar, por exemplo o mesmo soldador. Suponhamos que ele resolva trabalhar em um galpão e, ao lado desse galpão, exista um motor que gere ruído. Contudo, se o ruído lhe causar surdez ocupacional, essa surdez seria caracterizada doença do trabalho.

E em quais situações que não receberei o benefício por doença ocupacional?

  • por doença degenerativa
  • a que não produza incapacidade laborativa

Você sabia que o Portal Consignados é especialista em empréstimo consignado?

Com mais de 17 anos no Mercado de Empréstimo Consignado e com uma equipe treinada para lhe auxiliar na melhor decisão, no entanto o Portal Consignados trabalha em parceria com diversos bancos para lhe oferecer sempre o melhor negócio.

Pagamento dos benefícios concedidos pelo INSS

Neste artigo, aprenderemos qual é o prazo que os benefícios concedidos pela Previdência Social, têm para serem pagos. Veremos, desde a concessão quanto ao pagamento dos segurados pelo INSS. Confira abaixo, diversas informações relevantes quanto ao benefício previdenciário.

Quanto à Concessão dos Benefícios Concedidos

A Previdência Social tem a obrigação de conceder os benefícios aos segurados que contribuíram para a entidade. Homens com 35 anos de contribuição e Mulheres com 30 anos de contribuição possuem o direito garantido.

De acordo com a lei nº 11.665/2008, os benefícios concedidos com renda mensal superior a 1 salário mínimo serão pagos do 1º ao 5º dia útil dos mês subsequente. No entanto, deve-se levar em conta a distribuição proporcional dos beneficiários por dia de pagamento.

Os benefícios concedidos com renda mensal de até 1 salário mínimo serão pagos entre o 5º dia útil que anteceder o final do mês de sua competência até o 5º dia útil do mês subsequente. No entanto, deve-se levar em conta a distribuição proporcional dos beneficiários por dia de pagamento.

Essa divisão das datas de pagamento, separando em grupos é necessária, pois devido ao enorme número de segurados, seria impossível efetuar o pagamento de todos no mesmo dia.

O benefício será pago diretamente ao beneficiário, salvo se o mesmo tiver impossibilidade de locomoção.

Pelo artigo 163 do Regulamento, o beneficiário que for menor e que tiver a partir de 16 anos, tem capacidade para firmar recibo de pagamento de benefício. Essa lei independe da presença de seu responsável legal, salvo se for incapaz.

Se o pagamento for feito para terceiros, é necessário que o procurador tenha um mandato que não exceda 12 (doze) meses.

Quanto ao Pagamento dos Benefícios concedidos pelo INSS

Pelo decreto nº 3.048/99, é obrigação do INSS fornecer ao beneficiário o demonstrativo detalhado das importâncias pagas. No entanto, o demonstrativo deverá discriminar o valor da mensalidade, as diferenças eventualmente pagas com o período que se referem e os descontos efetuados.

Contudo, quando a data de pagamento cair de final de semana ou feriado, a mesma será transferida para o próximo dia útil.

O 1º pagamento do benefício terá um prazo de 45 dias. Esse prazo é contado após a data da apresentação da documentação necessária pelo segurado para a sua concessão.

Histórico de pagamento é um documento que comprova a renda dos beneficiários. Contudo, ele detalha os valores e a data de pagamento do benefício.

Contudo, o reajuste dos benefícios previdenciários e a manutenção do seu valor estão assegurados pelo artigo 41, inciso I da Lei do Benefícios.

Há também o acúmulo do benefícios, que é o recebimento conjunto de mais de 1 benefício previdenciário.

Ademais, não é permitido o acúmulo de recebimento dos seguintes benefícios:

  • aposentadoria com auxílio-doença;
  • aposentadoria com auxílio-acidente, salvo com a data de início de benefício anterior a 11/11/1997;
  • mais de 1 (uma) aposentadoria, exceto com a data de início de benefício anterior a Janeiro de 1967;
  • aposentadoria com abono de permanência em serviço;
  • salário-maternidade com auxílio-doença;
  • mais de um auxílio-acidente;
  • mais de uma pensão deixada por cônjuge e/ou companheiro(a), ressalvado o direito de opção pela mais vantajosa;
  • seguro-desemprego com qualquer benefício de prestação continuada da Previdência Social. Exceto pensão por morte ou auxílio-acidente;
  • benefícios previdenciários com benefícios assistenciais pecuniários. Exceto referente a pensão especial mensal aos dependentes das vítimas da hemodiálise em Caruaru.

Você sabia que o Portal Consignados é especialista em empréstimo consignado?

Com mais de 17 anos no Mercado de Empréstimo Consignado e com uma equipe treinada para lhe auxiliar na melhor decisão, no entanto o Portal Consignados trabalha em parceria com diversos bancos para lhe oferecer sempre o melhor negócio.

Direito aos benefícios assegurados pelo INSS

Muitas são as perguntas sobre os benefícios assegurados pela Previdência. Quem tem direito e quem não tem direito à receber os benefícios assegurados pela Previdência Social? Se eu contribuí por 12 meses, terei direito ao auxílio-doença? Quais são os benefícios ofertados pelo INSS? A seguir, responderei essas e outras perguntas.

Benefícios assegurados pela Previdência Social

De acordo com a lei nº 8.213/91, todo trabalhador que contribui mensalmente para a Previdência Social, é chamado de segurado e, portanto, terá direito aos benefícios ofertados pelo INSS. Contudo, o trabalhador que não contribui com o INSS, não terá direito a concessão da Prestação Previdenciária. Os benefícios serão descritos logo abaixo.

Quais são os benefícios assegurados que a Previdência Social concede atualmente?

Atualmente, os benefícios assegurados pelo INSS são para:

Aposentadorias

  •  Aposentadoria por Tempo de Contribuição

Essa aposentadoria é concedida para Homens com 35 anos de contribuição e para Mulheres com 30 anos de contribuição.

  • Aposentadoria por Idade

Para usufruir dessa aposentadoria, os Homens terão que ter 65 anos completos e as Mulheres terão que ter 60 anos completos.

  • Aposentadoria Especial

Essa aposentadoria é concedida para os segurados que trabalharam em condições que ameaçavam dua saúde ou integridade física. No entanto, para adquirir esse benefício, o tempo mínimo exigido varia de 15 a 25 anos, dependendo da atividade desenvolvida.

  • Aposentadoria por Invalidez

É concedido para trabalhadores que por doença ou acidente, pois ficaram incapacitados de continuar trabalhando na atividade anterior ou em outra.

  • Por Doença: O trabalhador deverá ter no mínimo 12 contribuições mensais.
  • Por Acidente: Basta estar inscrito no INSS.

Auxílios

  • Auxílio-Doença

Benefício concedido aos trabalhadores que ficaram impedidos de trabalhar por mais 15 dias, devido à doença ou acidente. Para adquirir esse benefício, é necessário que o trabalhador comprove esse impedimento através da perícia médica da Previdência. No entanto, o tempo mínimo de contribuição para ter esse direito é de 12 meses. Contudo, para continuar recebendo o benefício, é necessário que o trabalhador faça exames médicos periódicos. No entanto, caso o trabalhador não possa voltar a trabalhar, o seguro poderá solicitar a aposentadoria por invalidez.

  • Auxílio-Acidente

Benefício concedido ao trabalhador que sofre um acidente e que fica com sequelas que reduzem sua capacidade de trabalho mas que não o incapacitam para o desempenho de qualquer atividade. No entanto, o benefício é pago mesmo após o trabalhador ter retornado ao trabalho. Portanto, este é uma espécie de gratificação para o trabalhador que tem a capacidade de trabalho reduzida. Ademais, o auxílio só cessará quando o indivíduo se aposentar, mas o valor é igual a 50% do salário de benefício que deu origem ao auxílio-doença. Para adquirir o benefício não é exigido tempo mínimo mas o trabalhador deverá ter qualidade de segurado.

  • Auxílio-Doença Acidentário

Funciona da mesma forma que o auxílio-doença, mas ocorre quando o acidente ou doença ocorreu no ambiente de trabalho. No entanto, o funcionário terá com este benefício, a estabilidade de trabalho no período de 1 ano.

Pensões

  • Pensão por Morte

Benefício concedido à família do trabalhador após a sua morte. O requisito é que o trabalhador esteja na condição de segurado no momento da sua morte.

Maternidade

  • Salário-Maternidade

Este benefício é pago para trabalhadoras no momento do parto ou para adoção de um filho.

O prazo deste benefício varia de acordo com a idade da criança.

Por exemplo:

  • 120 dias (para crianças até 1 ano de idade)
  • 60 dias (para crianças entre 1 e 4 anos de idade)
  • 30 dias (para crianças entre 4 e 8 anos de idade)

Até a próxima!

Você sabia que o Portal Consignados é especialista em empréstimo consignado?

Com mais de 17 anos no Mercado de Empréstimo Consignado e com uma equipe treinada para lhe auxiliar na melhor decisão, no entanto o Portal Consignados trabalha em parceria com diversos bancos para lhe oferecer sempre o melhor negócio.

Crimes contra Previdência Social – Quais são eles?

Quais são os crimes contra Previdência Social? Quais são as penas impostas pela Previdência?

Neste artigo, primeiramente veremos uma breve história da Previdência Social desde a sua fundação até os dias atuais e logo após saberemos quais são os crimes contra a Previdência.

Os crimes contra Previdência Social

A Previdência Social teve o seu início em 1923, quando foi criada uma caixa, ou seja, um fundo de aposentadorias e pensões para os empregados de empresas ferroviárias, mediante contribuição dos trabalhadores.

Na época, nem todos os trabalhadores tinham acesso a esse novo sistema de contribuição para garantir suas aposentadorias.

Com o tempo, várias caixas foram criadas para diversos setores e mais trabalhadores puderam contribuir para um dia se aposentarem.

Década de 30

Por volta de 1930, vários ministérios foram criados, dentre eles o Ministério do Trabalho, Indústria e Comércio, cuja tarefa era supervisionar a Previdência Social.

A partir de 1930, vários institutos surgiram. No entanto, esses institutos abrangiam vários setores, tais como:

  • Marítimos
  • Comerciários
  • Bancários
  • Industriários

Contudo, cada instituto cuidava da aposentadoria da sua classe. No entanto, esse processo de unificação da aposentadoria só avançou em 1950, quando quase todos os trabalhadores assalariados estavam contribuindo ou sendo cobertos pela Previdência.

A Previdência é mantida pela contribuição dos trabalhadores, das empresas e do estado.

Prefácio – Crimes contra Previdência Social

Nos crimes tributários, o parâmetro objetivo para aplicação da insignificância penal (excluídas as condutas fraudulentas) é o valor do crédito tributário (principal e acessório) fixado por ato normativo da Receita Federal ou Ministério da Fazenda como o mínimo necessário para o ajuizamento de execução fiscal.

Nem toda conduta ilícita é, todavia, caracterizada como crime. Por exemplo: a falta de recursos financeiros do contribuinte que ocasiona inadimplência.

Esse contribuinte não cometeu crime. No entanto, ele só não tem condições financeiras no momento para fazer a contribuição à Previdência.

Afinal, quais são os crimes previstos na lei nº 9.983/2000 do Código Penal contra a Previdência? No entanto, também falarei das penas impostas para esses crimes. Ademais, faremos no estilo perguntas e respostas para melhor entendimento.

O que é apropriação indébita previdenciária?

Resp: Deixar de repassar à previdência social as contribuições recolhidas dos contribuintes.

Qual a pena?

Resp: Reclusão de 2 à 5 anos + multa

O que é sonegação de contribuição previdenciária?

Resp: Suprimir ou reduzir a contribuição social previdenciária, tais como por exemplo:

  • omitir a folha de pagamento da empresa
  • deixar de lançar mensalmente através da contabilidade da empresa as quantias descontadas dos segurados ou as devidas pelo empregador
  • omitir total ou parcialmente, receitas ou lucros auferidos

Qual a pena?

Resp: Reclusão de 2 à 5 anos + multa

O que é divulgação de informações sigilosas ou reservadas?

Resp: Divulgar, sem justa causa, informações sigilosas ou reservadas contidas ou não nos sistemas de informações ou banco de dados da Administração Pública.

Qual a pena?

Resp: Reclusão de 1 à 4 anos + multa

O que é falsificação de documento público?

Resp: Falsificar em todo ou em parte um documento público ou alterar documento público verdadeiro, tais como por exemplo:

  • na folha de pagamento
  • na carteira de trabalho
  • em documento contábil

Qual a pena?

Resp: Reclusão de 2 à 6 anos + multa

O que é inserção de dados falsos em sistemas de informações?

Resp: Inserir, alterar ou excluir dados no sistema afim de obter vantagem indevida para si ou para outrem.

Qual a pena?

Resp: Reclusão de 2 à 12 anos + multa

O que é modificação ou alteração não autorizada de sistema de informações?

Resp: Modificar ou alterar sistema de informações ou programa de informática sem autorização ou solicitação de autoridade competente.

Qual a pena?

Resp: Reclusão de 3 meses à 2 anos + multa

O que é violação de sigilo funcional?

Resp: Permitir ou facilitar, mediante atribuição, fornecimento e empréstimo de senha ou qualquer outra forma de acesso de pessoas não autorizadas a sistemas de informações ou banco de dados da Administração Pública.

Qual a pena?

Resp: Reclusão de 6 meses à 2 anos ou multa

O que é estelionato previdenciário?

Resp: Obter para si ou para outrem vantagem ilícita em prejuízo alheio, induzindo ou mantendo alguém em erro, mediante artifício ou qualquer outro ato fraudulento.

Qual a pena?

Resp: Reclusão de 1 à 5 anos + multa

Os crimes contra previdência evidenciam uma falta de controle e de fiscalização do Governo. No entanto, em tempos de mudanças, é essencial que este assunto seja levado em consideração. Portanto, ao cometer um crime contra previdência o prejuízo é enorme, por isso denuncie!

Continuem acompanhando os nossos artigos e participem do Fórum.

Você sabia que o Portal Consignados é especialista em empréstimo consignado?

Com mais de 17 anos no Mercado de Empréstimo Consignado e com uma equipe treinada para lhe auxiliar na melhor decisão, no entanto o Portal Consignados trabalha em parceria com diversos bancos para lhe oferecer sempre o melhor negócio.

Carro Elétrico – O que é e como funciona?

Como funciona o Carro elétrico? Em média, qual é o valor deles? Tem para vender aqui no Brasil? Contudo, essas e outras perguntas serão respondidas nesse artigo. Acompanhem.

Carro elétrico no setor automobilístico

Os carros movidos a energia elétrica poderão ser de diversos modelos. Não necessariamente só são recarregados na rede elétrica (ligados na tomada).

Além desses, existem carros que são alimentados por energia solar. Outros que utilizam baterias como fonte de energia. Existem também os que são movidos à base de hidrogênio.

Sem contar também que existem carros que não expelem nenhum poluente. No entanto, são carros econômicos e que não degradam a natureza. Vamos aprender mais sobre o assunto?

Quais são os benefícios dos carros movidos a energia elétrica?

O principal benefício do carro elétrico em relação ao carro convencional é justamente o fato do carro elétrico não liberar emissão de poluentes. No entanto, os carros elétricos não devem em nada para os carros convencionais, pois apresentam a mesma performance referente a potência do motor.

Atualmente, além de carros elétricos, existem também os ônibus elétricos. No entanto, a tecnologia empregada não é barata mas, mesmo assim, é vantajosa e aparece como uma forte tendência dos carros para um futuro próximo.

Como funcionam os carros elétricos?

Os carros movidos a energia elétrica são uma opção ambientalmente sustentável. Contudo, seu motor é elétrico, o que o torna silencioso. Consequentemente não promovem poluição sonora e ajudam a preservar os recursos naturais do nosso planeta.

Sua transmissão consiste em apenas 1 marcha para frente e a ré. Sua bateria é feita de ion-lítio, mesmo componente usado nas baterias de celulares. No entanto, a média de consumo dos carros elétricos é de 30kWh para andar 160km.

O kWh está em torno de R$0,50. Com R$1,00 de energia, o carro anda em torno de 21km. Contudo, para uma viagem de 160km, o motorista gastaria R$15,00.

Assim, as montadoras estão investindo muito nessa tecnologia. A recarga da bateria demora de 5 a 20 minutos para a carga total. Ademais, seu motor elétrico é cerca de 3 vezes mais eficiente que o motor movido a gasolina, além de ter metade do peso e do volume. Seu freio é regenerativo, ou seja, transforma cerca de 90% do calor gerado pelo atrito entre as pastilhas e o disco de freio em energia elétrica. No entanto, a economia financeira também é percebida quando comparada com a gasolina.

Por exemplo:

Com R$31,20, um veículo movido a energia elétrica percorre 1.170 km enquanto o veículo movido a gasolina percorre apenas 120 km. A diferença é enorme!

O veículo chamado de Vega é o primeiro protótipo brasileira de carro movido a hidrogênio. Contudo, a tecnologia empregada para utilização dos recursos que não afetam o meio ambiente ainda é cara, mas a tendência é que daqui alguns anos, o Vega possua uma linha de montagem.

Atualmente, os modelos de carros elétricos vendidos por montadoras no Brasil são:

  • Ford Focus Eletric
  • Nissan Leaf
  • Chevrolet Volt
  • Honda Fit EV
  • Tesla Model X

Preços em média dos carros elétricos aqui no Brasil

Em suma, o preço em média dos carros movidos a energia elétrica no Brasil varia de R$ 150.000,00 à R$ 800.000,00. O preço é salgado, mas como as vendas estão aumentando consideravelmente a cada ano que passa, a tendência é que os preços logo abaixem.

Continue acompanhando nossos artigos.

Até a próxima!

Você sabia que o Portal Consignados é especialista em empréstimo consignado?

Com mais de 17 anos no Mercado de Empréstimo Consignado e com uma equipe treinada para lhe auxiliar na melhor decisão, no entanto o Portal Consignados trabalha em parceria com diversos bancos para lhe oferecer sempre o melhor negócio.

Tecnologia Automotiva – Os avanços Tecnológicos da área automobilística no Brasil

Tecnologia e automobilismo hoje caminham lado a lado. Mas será que foi sempre assim? O assunto desse artigo é sobre a tecnologia automotiva utilizada na indústria automobilística no nosso querido Brasil. Acompanhem!

Tecnologia empregada nos veículos – Do início aos dias atuais

Foi-se o tempo que o carro era usado somente para transportar pessoas. Não tinha GPS, não tinha sensor de ré, não tinha toda essa tecnologia que estamos acostumados. O máximo que tinha era um rádio e não eram todos os modelos que possuíam. Os anos se passaram e a tecnologia foi avançando e aprimorando essas máquinas que tanto nos encantam. Convido à todos para acompanharem este artigo. Garanto que vocês irão gostar!

Tecnologia automotiva nos dias de hoje

Na combinação entre carros e tecnologia, a segurança sempre virá em primeiro lugar. Fábricas como Volkswagen, General Motors e outras criam acessórios tecnológicos para atiçarem nossa vontade em adquiri-los. Confira agora algumas invenções dessas máquinas de 4 rodas.

Em alguns carros, hoje não é mais necessário utilizar chave para dar a partida, pois através de um dispositivo, o proprietário do veículo o aciona para ligar o carro.

Outro recurso é o reconhecimento de voz. Este já não é mais novidade mas ainda sim é totalmente funcional, principalmente se o veículo for furtado.

Também existe o assistente de estacionamento, onde o carro procura uma vaga para estacionar e fazer a baliza. No entanto, tudo o que o motorista terá que fazer é acelerar e pisar no freio. Contudo, o restante o carro faz sozinho.

No entanto, existem carros que regulam o banco de acordo com a estrutura corpórea do proprietário. Outros carros nem precisam mais de combustível. Eles simplesmente se recarregam na tomada como um notebook ou celular. Ademais, este assunto em específico, será tratado em um artigo que estou criando  desses carros que se recarregam na energia elétrica de nossas casas.

Obviamente que toda essa tecnologia apresentada neste artigo tem um custo que normalmente não é baixo. Mesmo importando peças ou acessórios, a taxa alfandegária de impostos que é cobrada é muito alta. Isso acaba desestimulando a adesão à esses acessórios.

Mas a paixão por esses veículos nos faz romper essas barreiras para adquirir acessórios e cuidar deste que nos leva para qualquer lugar que precisemos.

Até a próxima!

Você sabia que o Portal Consignados é especialista em empréstimo consignado?

Com mais de 17 anos no Mercado de Empréstimo Consignado e com uma equipe treinada para lhe auxiliar na melhor decisão, no entanto o Portal Consignados trabalha em parceria com diversos bancos para lhe oferecer sempre o melhor negócio.

Justiça do Trabalho – Contribuições Previdenciárias

A justiça do trabalho assumiu a CLT em uma época que havia muita fraude. Essa com certeza foi uma grande ação pois com os desvios que estavam ocorrendo, a previdência deixava de arrecadar dos contribuintes. Isso prejudicava quem contribuía corretamente. Essa introdução eu fiz para poder explicar à vocês, leitores, que essa foi uma decisão arriscada mas sábia. Vamos entender como foi antes e depois da Justiça do Trabalho ter assumido a regularização dos contribuintes para a Previdência? Me acompanhem!

Justiça do Trabalho o que mudou?

No artigo 114, pela Emenda Constitucional de 20/98, onde foi incluída a execução de contribuições sociais e acréscimos, competiu à Justiça do Trabalho a execução do ofício, das contribuições sociais previstas no artigo 195, I e II e seus acréscimos legais decorrentes das sentenças que proferir.

Mas o que são essas sentenças?

Essas sentenças são justamente aplicar a lei da forma que consta no decreto nº 5.452/43 e que atualmente foi revisada passando a ter o nº 13.467/2017

A promulgação da Emenda Constitucional, passou a constar no inciso VIII do artigo 45/2004. Isso significa que o público só tomou conhecimento de que a Justiça do Trabalho assumiria a fiscalização da Previdência Social através da lei de 2004.

Parece haver muitas dúvidas relevantes quanto as normas inseridas na CLT (Consolidação das Leis do Trabalho).

Muitas dessas normas, revelam um total desconhecimento dos princípios doutrinários. Essas normas demonstram despreparo também nas regras básicas do Direito Tributário, bem como de Direito Processual.

Trabalho Justiça – Previdência Social em meio ao caos

A Justiça do Trabalho “dividiu” com a Justiça Federal a competência para execução de créditos da Seguridade Social. Nessa divisão, a contribuição é vista como “acessório” dos direitos reconhecidos por uma decisão proferida na Justiça do Trabalho.

Competente para processar e julgar execuções (fiscais) de créditos da Seguridade Social. Essa ação só será válida desde que sejam respeitados os princípios fundamentais dos processo legal e as regras do CTN. Essa lei é válida para todo o território nacional.

Isso quer dizer que a Justiça do Trabalho rastreia pessoas que estão fraudando a Previdência enquanto a Justiça Federal, de acordo com a lei, executa a ação contra esse indivíduo. A Justiça do Trabalho é competente o suficiente para processar, executar e julgar os indivíduos que não estão agindo de acordo com a lei.

Temos que seguir a lei corretamente para que não tenhamos problemas posteriormente.

Continuem acompanhando nossos artigos.

Até a próxima!

Você sabia que o Portal Consignados é especialista em empréstimo consignado?

Com mais de 17 anos no Mercado de Empréstimo Consignado e com uma equipe treinada para lhe auxiliar na melhor decisão, no entanto o Portal Consignados trabalha em parceria com diversos bancos para lhe oferecer sempre o melhor negócio.

Adquirir Veículo: Necessidade ou Vontade?

Adquirir Veículo: Necessidade ou Vontade? Neste artigo, iremos abordar o assunto e lhe dar muitas dicas importantes para você. No entanto, continue lendo.

É muito comum termos vontade de adquirir algo, mas será que temos necessidade? Por exemplo: Tenho vontade de adquirir um carro, mas será mesmo que tenho a necessidade de compra-lo?

Acompanhe comigo este artigo e entenda a diferença entre necessidade e vontade e sobre a necessidade em adquirirmos um veículo no Brasil.

Para você, adquirir veículo é uma Necessidade ou Vontade?

  • Necessidade: É algo que não se pode evitar, que não se pode viver sem. O sentimento que se relaciona à necessidade é a carência do que realmente é preciso.
  • Vontade: É o desejo em adquirir algo. É motivado por um apelo físico e psicológico. O sentimento que se assemelha com a vontade é impulso.

No entanto, todos temos necessidades mas poucos realizam suas vontades.

Exemplos de necessidades e vontades para melhor entendimento:

  • Necessito trabalhar, mas a minha vontade é que seja como secretária.
  • Necessito comer, mas a minha vontade é que seja uma pizza.

Quando você tem necessidade de algo, qualquer marca, modelo e cor serve. No entanto, quando você tem vontade, tem que ser aquela marca, aquele modelo e aquela cor.

Percebeu como a necessidade é ampla e a vontade é específica?

No entanto, agora que já entendemos a diferença entre necessidade e vontade, vamos falar sobre a necessidade em adquirir veículo no Brasil.

Veículo: Necessidade ou Vontade?

Primeiramente irei explicar o que é veículo.

Veículo é um meio que serve para transportar ou conduzir as pessoas e os animais de um lugar para o outro.

Os veículos poderão ser:

  • terrestres
  • aquáticos
  • aéreos

Na época da sua invenção, o veículo era usado para transportar donos de terra, animais e cargas. Contudo, hoje vemos que é imprescindível a aquisição de um veículo para trabalharmos, para momentos de lazer, etc,…

Mesmo nas grandes cidades do Brasil, onde o fluxo de veículos é maior do que a população de diversos países.

Segundo dados levantados pelo Detran-SP, de Janeiro à Dezembro de 2016 há 1 carro para cada 2 habitantes da cidade de São Paulo. São 6.000.000 (seis milhões) de carros registrados em São Paulo até Dezembro de 2016.

E olha que essa pesquisa foi feita só com carros da cidade de São Paulo. No entanto, imagine se essa pesquisa fosse realizada com todos os veículos?

Veículo é necessidade sim para nos locomovermos de um lugar para o outro e na hora que quisermos. No entanto, seja carro, moto, caminhão, helicóptero, etc, … o veículo trouxe dinamismo e praticidade para o dia a dia do cidadão brasileiro.

Continue acompanhando nossos artigos.

Até a próxima!

Você sabia que o Portal Consignados é especialista em empréstimo consignado?

Com mais de 17 anos no Mercado de Empréstimo Consignado e com uma equipe treinada para lhe auxiliar na melhor decisão, no entanto o Portal Consignados trabalha em parceria com diversos bancos para lhe oferecer sempre o melhor negócio.

Compre veículos, mas antes pesquise e compare!

Compre veículos, mas antes pesquise e compare! Abordaremos o assunto Veículos e apresentaremos 4 passos para fazer um bom negócio.

Quando temos vontade de nos informarmos sobre algum produto nos dias de hoje, qual é a primeira coisa que fazemos?

Acessamos a internet para pesquisarmos. Muito bem! O artigo está muito interessante. Vamos nessa!

Compre Veículos – Primeiros Passos

A tecnologia é a nossa grande aliada, pois com a internet poderemos pesquisar qual é a marca, o modelo, a cor, as especificações, o valor e a forma de pagamento para adquirir um veículo. No entanto, seja qual for a sua vontade em adquirir um carro, moto, caminhão, helicóptero, avião, … O processo de pesquisa, comparação e compra será o mesmo para todos.
O primeiro passo é a pesquisa mas, antes de realiza-la, é necessário saber o que você está procurando.

Por exemplo:

Se o que você está procurando é carro, para que a pesquisa tenha eficácia, será necessário analisar alguns pontos, tais como:

  • Marca
  • Modelo
  • Estado: novo ou seminovo
  • Combustível: gasolina, álcool ou flex
  • Quantidade de portas: 2 portas ou 4 portas
  • Câmbio: manual ou automático, entre outros

Contudo, a seguir veremos os demais passos.

Compare, teste e Compre

Feita a pesquisa, chegou a hora de realizar a comparação.
A internet também te auxiliará neste passo pois lá existem diversos sites e matérias seja em texto ou em vídeo comparando marcas, modelos, potência do motor, etc…
A internet lhe dará uma base mas não deverá ser encarado como fator decisivo.
O ideal é sempre testar cada detalhe para ver se realmente é este o produto que você procura.
Após você ter realizado o teste, de ter se certificado e decidido de que o produto que você procura é este, chegou a hora de realizar a compra.

Para a compra, negocie e veja qual será a melhor forma de pagamento. Tire todas as dúvidas com o vendedor. Pergunte bastante.
Contudo, observe cada detalhe do veículo que você está comprando.
No entanto, o mais importante em um negócio é que todas as partes envolvidas estejam satisfeitas.
Coloque em prática os 4 passos abordados neste artigo e não tenha problemas na compra do seu veículo.

Continue acompanhando nossos artigos.

Até a próxima!

Você sabia que o Portal Consignados é especialista em empréstimo consignado?

Com mais de 17 anos no Mercado de Empréstimo Consignado e com uma equipe treinada para lhe auxiliar na melhor decisão, no entanto o Portal Consignados trabalha em parceria com diversos bancos para lhe oferecer sempre o melhor negócio.

Poderei participar de vários grupos?

Poderei fazer parte de vários grupos ao mesmo tempo? Qual é o limite máximo permitido para realizar um consórcio? Essas e outras dúvidas eu poderei explicar para vocês. Continue lendo.

Vários bens ao mesmo tempo?

O grupo é formado pela união de pessoas com o mesmo desejo que é o bem móvel ou o bem imóvel. Poderei participar de vários grupos para adquirir diversos bens ao mesmo tempo?  Poderei sim. O consorciado deverá ter a responsabilidade para honrar o pagamento de cada bem no seu respectivo grupo. Agindo assim, terá diversas chances todos os meses de ser contemplado em um bem que tanto almeja.

Poderei participar de vários grupos de consórcio ao mesmo tempo?

Sim. O consorciado poderá participar de vários grupos de consórcio ao mesmo tempo contanto que não ultrapasse o limite de R$ 2.000.000,00 (dois milhões de reais) de bens por CPF. Os bens poderão ser móveis ou imóveis.

Por exemplo:

Se o consorciado quiser adquirir uma moto, um carro e uma casa ao mesmo tempo, ele poderá sim participar de vários grupos ao mesmo tempo. Não terá nenhum problema. Serão 3 grupos diferentes com parcelas e prazos diferentes. O consorciado deverá efetuar o pagamento via boleto das parcelas dos 3(três) planos até a data de vencimento para concorrer ao sorteio todos os meses. Caso não seja contemplado no sorte, o mesmo poderá ofertar lances. Quanto mais lances o consorciado ofertar, maiores são as chances de ter a sua cota contemplada.

Vamos supor que a moto que o consorciado quer custe R$20.000,00(vinte mil reais), o carro que ele deseja custe R$ 50.000,00(cinquenta mil reais) e a casa que a esposa dele viu e se apaixonou está por R$500.000,00 (quinhentos mil reais). A soma de R$500.000,00 + R$50.000 + R$20.000,00 = R$ 570.000,00(quinhentos e setenta mil reais). O valor da soma dos 3 bens é inferior ao limite de R$2.000.000,00 (dois milhões de reais), portanto este consorciado poderá participar dos 3 consórcios ao mesmo tempo.

O produto Consórcio é regulamentado pelo Banco Central caso tenha dúvida pode consultar as regras e diretrizes do Banco Central.

Você sabia que o Portal Consignados é especialista em empréstimo consignado?

Com mais de 17 anos no Mercado de Empréstimo Consignado e com uma equipe treinada para lhe auxiliar na melhor decisão, no entanto o Portal Consignados trabalha em parceria com diversos bancos para lhe oferecer sempre o melhor negócio.

É possível fazer Portabilidade Cartão de Crédito Consignado? Entenda aqui.

Muitos clientes tem nos procurando fazendo esta pergunta “É possível fazer portabilidade cartão de crédito consignado?”. Infelizmente, por enquanto ainda não é possível.

Mas isso não indica que não podemos lutar para mudar isso! Por este motivo, em conjunto com os grupos do Whatsapp de clientes do SIAPE, INSS, Servidores Públicos e Militares nós estamos criando uma campanha.

Como Participar da Campanha Portabilidade de Cartão Consignado

Para participar é muito simples. Deixe um comentário nesta página e compartilhe através dos botões a sua esquerda da tela na sua rede social.

É muito importante comentar e colocar o seu ponto de vista.

Por exemplo:

Porque você acha que deve haver a Portabilidade no Cartão de Crédito Consignado?

Portabilidade Cartão de Crédito Consignado é Possível?

Seguindo ao exemplo do empréstimo consignado que tem a possibilidade de realizar uma portabilidade, podemos enumerar vários motivos pelos quais a portabilidade cartão seria interessante.

  1. Maior Flexibilidade de Negociação
  2. Reduzir a taxa de juros do Rotativo
  3. Poder trocar de banco se não for bem atendido
  4. Optar por limites de crédito maiores

Eu apenas coloquei 4 motivos, mas agora queremos saber de você:

Porque você acredita que deve haver a portabilidade Cartão de Crédito Consignado?

Atualmente, a lei 10.820 que regula as operações sobre os empréstimos consignados e cartões de crédito consignado está sendo modificada para  as Mudanças no prazo do empréstimo Consignado  poderem entrar em vigor. Não seria uma boa hora para se mobilizar?

Nosso Compromisso

O Portal Consignados tem o compromisso com o setor de empréstimos desde 1999 e há anos tem se comprometido em campanhas como o da margem dos 5%, Libera já INSS, entre muitas outras campanhas que saímos vitoriosos. Mas essa vitória foi graças ao apoio de nossos clientes e porque não dizer amigos que nos acompanham a anos.

Eu, Luiz Fernando R Pereira, todos os dias fico chocado com situações do cotidiano seja de aposentados, servidores públicos ou militares que me comovem de verdade. Mas nem por isso perdem a esperança, alegria e vontade de lutar. Afinal, somos brasileiros e não desistimos!

Contudo, se está comigo nessa jornada, compartilhe esse artigo. Comente e deixe seu ponto de vista. Quero saber de você, “Portabilidade de Cartão, sim ou não?”.

Você sabia que o Portal Consignados é especialista em empréstimo consignado?

Com mais de 17 anos no Mercado de Empréstimo Consignado e com uma equipe treinada para lhe auxiliar na melhor decisão, no entanto o Portal Consignados trabalha em parceria com diversos bancos para lhe oferecer sempre o melhor negócio.

Mudanças no Empréstimo Consignado

As mudanças no empréstimo consignado está sendo aguardada por milhares de pessoas que utilizam o crédito consignado no Brasil. Ademais, essas mudanças geraram uma grande expectativa por parte das lojas e dos clientes com o intuito de melhorar a comunicação entre as partes. Enfim, vamos conhecer quais serão as mudanças? Me acompanhem.

Entre algumas das mudanças, as que mais estão sendo aguardadas são:

  • Aumento no prazo do empréstimo consignado
  • Aumento na quantidade de empréstimo por convênio

Proposto pelo governo atual para fomentar o consumo e tentar reduzir o endividamento, as mudanças no empréstimo consignado caminham a passos lentos.

Aumento no prazo do empréstimo consignado

Foi proposto pelo governo que seja estendido o prazo para o empréstimo consignado em 12 meses considerando o prazo atual, por exemplo:

Para aposentados e pensionistas do INSS de 72 vezes para pagar passaria poder pagar em até 96 vezes.

Servidores Federais teriam seu prazo estendido de 96 para 120 meses.

Outras mudanças estão sendo discutidas como a redução da taxa de juros contudo o que se tem de mais concreto é o aumento do prazo e quantidade de contratos por cliente.

Aumento na quantidade de empréstimo por convênio

Pela regra funciona assim: “30% de comprometimento de renda para empréstimos ou quantidade máximas de contrato por Matrícula ou Benefício”.

Convênios com o INSS por exemplo que atende a milhões de aposentados e pensionistas tem como limite 6 empréstimos.

Com a nova regra, poderiam ter até 9 empréstimos o que evitaria ter de portar ou refinanciar seus contratos agrupando parcelas.

Mudanças no Empréstimo Consignado x Vantagens

Muitas vezes o que se parece um facilitador nem sempre é a melhor saída para um problema. Considere que estamos tratando de situações as quais comprometem e prolongam um endividamento.

Empréstimo deve ser contratado por necessidade e não por costume ou porque quer comprar algo supérfluo.

Quando falamos em aumentar o prazo, lembre-se que estará aumentando seu total a prazo.

A forma mais correta a se fazer antes de contratar um empréstimo é o total a prazo que é o jeito mais simples de você saber o quanto vai pagar no final, ou seja, pegue o valor da parcela e multiplique pela quantidade de meses que vai pagar, o resultado desta conta é o seu total a prazo.

Total a Prazo

Se aumentar o prazo vai aumentar o seu total a pagar também, por isso use a cabeça.

Nós, do Portal Consignados, temos como compromisso você, cliente! Por esse motivo, recebemos essas mudanças com algumas ressalvas.

Contudo, queremos muito que em situações extremas você possa ser beneficiado por tais mudanças. No entanto, cuidado! Canja de galinha não faz mal a ninguém.

Você sabia que o Portal Consignados é especialista em empréstimo consignado?

Com mais de 17 anos no Mercado de Empréstimo Consignado e com uma equipe treinada para lhe auxiliar na melhor decisão, no entanto o Portal Consignados trabalha em parceria com diversos bancos para lhe oferecer sempre o melhor negócio.

Processo administrativo Fiscal Junto ao INSS

Processo administrativo fiscal ou tributário é aquele que se destina a determinação, exigência ou dispensa do crédito fiscal bem como a fixação do alcance de normas de tributação em casos concretos.

Contudo, é realizado pelos órgãos competentes tributantes, ou à imposição de penalidade pelo contribuinte.

Constituição do crédito da Seguridade Social

Em diversos casos, a obrigação da apuração e arrecadação é por parte do contribuinte. Em outros, o responsável é obrigado pela arrecadação.

Por exemplo:

Para quem trabalha em empresa privada, a responsabilidade é da empresa fazer a arrecadação. Esta deverá informar e recolher os valores devidos.

Em casos onde não se declara ou recolhe as devidas contribuições, cabe ao fisco apurar as responsabilidades e oferecer ao responsável a conta.

Quando não se recolhe ou faz de forma errada, o contribuinte está sujeito a penalidades e multas, conforme art. 142 do CTNart. 142 do CTN.

Processo administrativo Notificação de Lançamento – NL

É o documento pelo qual a fiscalização avisa o devedor de haver débito em atraso com a Seguridade Social.

Sua finalidade é notificar o contribuinte sobre o lançamento de débitos relativo a contribuições Sociais e instaurar o processo fiscal de cobrança.

Processo administrativo Auto de Infração – AI

O AI destina-se a registrar a ocorrência de infração a legislação previdenciária em descumprimento de uma obrigação acessória. A AI possibilita a instauração do respectivo processo de infração, bem como constituir o crédito decorrente de multa.

Tramitação e Julgamento

Emitido pelo órgão de arrecadação, este é um documento fiscal capaz de constituir crédito da seguridade social NL ou AI. O imperativo constitucional impõe pelo direito contraditório à defesa para que o contribuinte possa apresentar provas as quais o impeça de quaisquer punições e multas pela falta de pagamento à previdência social.

Em alguns casos, existem erros na baixa de débitos previdenciários. Esses erros poderão ser pela geração da guia de recolhimento e até por alterações na lei tributária. Essas leis tributárias não foram observadas pelo contribuinte. Essa ocorrência pode levar o entendimento que a penalidade e multa poderá ser mais branda.

Deposito Recursal – Exigibilidade

De antemão, o plenário do supremo tribunal federal no julgamento da ADI n. 1.976 (DJ 18.05.2007) reconheceu a inconstitucionalidade da garantia prévia para recurso administrativo pois ele foi afastando a exigência de deposito de 30% do valor discutido em débito com a seguridade social como condição de recorribilidade.

Na prática, as empresas poderão recorrer sem a necessidade de efetuar um depósito judicial, até que seja julgado.

Em muitos casos já que era notória a falta de pagamento por má fé. O governo utilizava o artifício do pagamento dos 30% para ganhar tempo em infinitas artimanhas jurídicas.

Por outro lado, em muitos casos onde a cobrança era indevida, o contribuinte teria que pagar os 30% mesmo estando em dia aguardando a justiça em dar uma resolução ao caso. Consequentemente, essa situação causava um desconforto no contribuinte em pagar o que já havia pago.

Ainda mais que o valor a ser pago eram as contribuições mais a multa. Em alguns casos, a multa representava até o dobro do valor a ser recolhido.

Por exemplo:

Se a dívida era de R$ 1.000,00, a multa poderia ser de até R$ 2.000,00, ou seja, o valor a ser pago seria de R$ 3.000,00 o que corresponde a R$ 900,00. Considerando o depósito no valor dos 30%, ou seja, praticamente o que já tinha sido recolhido mas não acusado pela previdência social.

Processo Administrativo x Saúde Financeira da Previdência

Infelizmente é assim que deve ser observada esta questão. Há pouca fiscalização e muita artimanha para fraudar a previdência, e quem paga a conta são os contribuintes que a cada ano perdem os seus direitos. O contribuinte enxerga a sua aposentadoria cada vez mais longe devido aos ajustes nas regras previdenciárias para cobrir o rombo nas contas.

Atualmente se discute as reformas mas a fiscalização não deveria também ser abordada nesse assunto?

Perguntas sem respostas em tempos de tempestade. Infelizmente, só nos resta este instrumento de luta.

Diante deste cenário, acredito que você caro leitor possa refletir e se unir contra a falta de administração de um governo que ao invés de lutar pelos nossos direitos, é capaz de gerar ainda mais dor e sofrimento aos que mais necessitam.

Você sabia que o Portal Consignados é especialista em empréstimo consignado?

Com mais de 17 anos no Mercado de Empréstimo Consignado e com uma equipe treinada para lhe auxiliar na melhor decisão, no entanto o Portal Consignados trabalha em parceria com diversos bancos para lhe oferecer sempre o melhor negócio.

Passo a passo Portabilidade de Empréstimo Consignado

Passo a Passo Portabilidade de forma simples e prática você fica sabendo aqui no portal consignados. Devido a muitas perguntas sobre portabilidade, decidi escrever um artigo explicando como funciona o passo a passo portabilidade, e espero que ajude!

Passo a Passo Portabilidade – As 5 etapas

A portabilidade consiste em 5 etapas:

  • Solicitação do DED (Boleto eletrônico solicitado pelo banco que está portando seu contrato).
  • Pagamento do DED e conciliação por parte do banco portado.
  • Baixa do Contrato
  • Inclusão do Contrato
  • Refinanciamento

É importante entender que em para cada etapa, existem prazos a serem percorridos e critérios a serem atendidos. Justamente por isso que vamos explicar cada etapa de forma bem simples e objetiva para você.

Solicitando o DED

Ao solicitar uma portabilidade, o primeiro passo é realizado pelo banco que está portando a sua dívida. Funciona da seguinte maneira. Por exemplo:

  • Solicita-se um boleto para a quitação da dívida e é recolhido uma taxa para efeito de compensação ao banco portado.
  • Esta taxa recolhida fica a cargo do banco que estiver portando não podendo ser repassado ao cliente.
  • O Banco portado tem 5 (cinco) dias úteis para emitir o DED
  • O Banco portado tenta durante os 5 (cinco) dias úteis convencer o cliente a permanecer no banco.

Muitas vezes este prazo de 5 dias úteis extrapola porque a primeira tentativa do banco portado é desqualificar a operação alegando que existem erros. Isso ocorre porque ao solicitar o DED, é necessário informar o número de contrato, prazo inicial e final, além de outras informações.

Na maioria das vezes, as informações são colocadas de forma correta. Infelizmente “Brasil”, é duro isso mas na prática funciona assim.

Pagamento do DED

O pagamento do DED é realizado pelo Banco que estiver portando sua dívida. Ao faze-la, leva em torno de 48 horas para o banco que foi portado enxergar o pagamento e iniciar o processo de baixa junto ao seu convênio.

Na prática leva as 48 horas mesmo, pode acreditar! Contudo, deveria haver um entendimento por parte do banco que em menos de duas horas e com boa vontade, já se conseguiria acusar o pagamento.

No entanto, existem instituições que fazem questão de não enxergar mesmo após as 48 horas. Contudo, neste caso o seu querido agente de crédito, correspondente e até o banco tem que implorar para baixar no sistema do banco portado.

Baixa do Contrato

Feito o pagamento e, após o banco portado finalmente ter enxergado, dará início a baixa do seu contrato. Ademais, dependendo do convênio, poderá levar até 7 dias úteis.

Pode acreditar que leva 7 dias ou mais.

Inclusão do Contrato

Finalmente, após a baixa do contrato, o banco que portou fará a inclusão do seu contrato com as mesmas condições que estava no banco anterior.

Por Exemplo:

Se a parcela era de R$ 100,00 e você já havia pago 36 de 72, seu contrato vai para o banco que está portado com as mesmas condições.

Refinanciamento

Uma vez portado, só libera crédito para o cliente refinanciando este contrato. Aonde voltaria para o prazo máximo permanecendo o mesmo valor de parcela.

Utilizando o exemplo acima, seu contrato portado com parcela de R$ 100,00 com 36 de 72 pagas, ficaria com o mesmo valor de parcela de R$ 100,00 , porem com 0 de 72 parcelas pagas.

Conclusão do Passo a Passo Portabilidade

Muitos clientes são abordados diariamente com a proposta que uma portabilidade vai resolver todos os problemas financeiros. No entanto, essas propostas prometem que irá reduzir drasticamente os juros, mas não é verdade.

O passo a passo da Portabilidade vai fazer você entender os prazos que levam para a liberação do crédito. No entanto, se alguém lhe prometer em menos tempo, duvide. Infelizmente, neste meio não existem milagres.

A portabilidade reduz os juros SIM na maioria das vezes, mas tome cuidado! Contudo, estamos falando em redução, por exemplo de 2,3% para 2,14% ou 1,9%, e varia muito. No entanto, na prática o que o cliente recebe de troco não é tão diferente de se refinanciar seu contrato no Banco Atual.

Contudo, a portabilidade é muito bacana em situações que a politica de crédito do banco não lhe atende mais, ou que seu contrato é antigo e celebrado em taxas superiores a 2,3%.

Primeiramente, antes de optar por uma portabilidade consulte seu banco sobre o Refinanciamento e faça uma pesquisa antes. Se o banco que está portando seu contrato tem condições no futuro em refinanciar seus contratos.

Você sabia que o Portal Consignados é especialista em empréstimo consignado?

Com mais de 17 anos no Mercado de Empréstimo Consignado e com uma equipe treinada para lhe auxiliar na melhor decisão, no entanto o Portal Consignados trabalha em parceria com diversos bancos para lhe oferecer sempre o melhor negócio.

Regularidade Fiscal INSS – Entenda sua importância

A Regularidade fiscal pode ser comprovada através da certidão negativa de débitos. Para um maior controle de alguns atos jurídicos, a empresa deve comprovar que está quites com os débitos junto a previdência. Isso irá proporcionar um maior controle sobre os recolhimentos.

Muitas empresas consideram como opcional o pagamento em dia das contribuições previdenciárias. No entanto, essa opção acarreta em muitas vezes um déficit no caixa da previdência.

Uma medida foi atrelar algumas situações a exigência de estar em dia com a previdência.

Um exemplo clássico disso é quando se deseja realizar qualquer alteração no contrato social ou requerer crédito subsidiado do governo para capital de giro ou compra de equipamentos.

Regularidade Fiscal x Trabalhador

A empresa sendo obrigada a sempre ter sua Regularidade fiscal em dia o trabalhador fica mais seguro pois a obrigação do recolhimento se faz necessário para o bom andamento da empresa.

Quando mencionamos a questão de regularidade fiscal, é importante salientar que se referimos aos encargos previdenciários da parte da empresa. Pois se faz necessário para efeito de aposentadorias. Inclusive para pensões e demais benefícios que um empregado tem direito junto a previdência social.

CND ou CPD-EN

A partir de 02/05/2007, a CND ou CPD-EN passou a ser conhecida como certidão especifica previdenciária. A mesma é expedida pela Secretaria da Receita Federal do Brasil.

As certidões podem ser:

  • Certidão Negativa de débitos – CND
  • Certidão positiva de débitos com efeito de negativa – CND-EN

As certidões podem ser emitidas conforme a finalidade ou exigência do órgão ou situação.

Atualmente, até para vender um imóvel em nome de pessoa física que possui empresa em seu nome é exigido essas certidões. No entanto, elas servem para demonstrar que o imóvel não se trata de objeto de ação seja junto a previdência ou trabalhista.

As certidões podem ser solicitadas e emitidas pela internet pelo site do portal da receita federal do brasil.

Mesmo a empresa deixando de existir, ela deverá prestar conta durante o prazo de 5 anos junto a previdência social. No entanto, só pode se encerrar uma empresa se estiver em dia com a previdência social.

Em vista disso, é comum aparecerem alguns débitos posteriores ao encerramento de uma empresa o que não descaracteriza a sua cobrança uma vez que legalmente os responsáveis respondem por 5 (cinco) anos após a baixa da empresa.

Você sabia que o Portal Consignados é especialista em empréstimo consignado?

Com mais de 17 anos no Mercado de Empréstimo Consignado e com uma equipe treinada para lhe auxiliar na melhor decisão, no entanto o Portal Consignados trabalha em parceria com diversos bancos para lhe oferecer sempre o melhor negócio.

Decadência na Previdência e Prescrição das Contribuições

Há muitos anos que se percebe uma decadência na Previdência Social. Seja através de cessão de direitos, ou do déficit que, ano após ano, não para de crescer. Contudo, neste artigo, vamos destacar os principais motivos que contribuem para a decadência na Previdência Social.

Prescrição de Contribuições Previdenciárias

Decadência não se confunde com prescrição. Entre outras diferenças há de ressaltar que a primeira não se interrompe ou se suspende, ou seja, o prazo é fatal, enquanto a segunda tem seu prazo sujeito a interrupções. De acordo com o parágrafo único do art. 174 do Código Tributário Nacionalart. 174 do Código Tributário Nacional, a prescrição se interrompe nos seguintes casos:

  • Citação pessoal ao devedor;
  • Protesto judicial;
  • Qualquer ato judicial que constitua em mora o devedor ou qualquer ato inequívoco, ainda que extrajudicial, que importe o reconhecimento do débito pelo devedor.

A lei determina um prazo de até 5 anos para que o contribuinte possa reconhecer seus débitos junto a previdência. Esse prazo também vale para que possa realizar os pagamentos das contribuições. Os demais anos são prescritos, ou seja, mesmo o segurando querendo pagar, a previdência não reconhece o débito.

Decadência na Previdência Social e suas consequências

Aquela máxima que “os bons pagam pelos maus” é a mais pura realidade na Previdência Social.

Quando se deixa de contribuir, não está somente se prejudicando, mas está prejudicando também todos os segurados.

Lembre-se que a Decadência na Previdência Social afeta a todos. Com um caixa reduzido, o governo há anos vem mudando as regras para concessão de benefícios. Essa medida, deixa o contribuinte cada vez mais longe de obter a aposentadoria.

“Atualmente o custo com a previdência social corresponde a 22,7% das despesas total do governo”.

É verdade que foram anos de descaso e má administração dos recursos que geraram essa decadência na previdência social, mas saber disso não resolve o problema.

As atuais reformas mostram à você contribuinte como o Governo resolve a questão, ou seja, cessando direitos e dificultando o acesso. Isso no meu entendimento, é a forma mais covarde e contribui ainda mais com a decadência da Previdência Social.

Os jovens atualmente se sentem desestimulados a contribuir. Estamos falando de um país que tem como perfil o empreendedorismo, ou seja, ao invés da contribuição retida na fonte, como empreendedor é necessário optar pela contribuição e recolher os impostos devidos. Se existisse uma politica de cessão de direitos, isso ficaria cada vez mais difícil.

Se o governo não fizer a parte dele em fiscalizar, acompanhar e administrar melhor os recursos, não há reforma que consiga equilibrar as contas com a Previdência Social.

Você sabia que o Portal Consignados é especialista em empréstimo consignado?

Com mais de 17 anos no Mercado de Empréstimo Consignado e com uma equipe treinada para lhe auxiliar na melhor decisão, no entanto o Portal Consignados trabalha em parceria com diversos bancos para lhe oferecer sempre o melhor negócio.

Responsabilidade Solidária e por Substituição Tributária – INSS

Um importante tema a ser tratado é a responsabilidade solidária do custeio da Seguridade Social, ou seja, quem de fato é o responsável pela contribuição previdenciária.

O art. 33, § 5º da lei de custeio, determina que a responsabilidade solidária é da empresa. No entanto, a mesma deverá recolher as guias para pagamento em nome do empregado. Afinal, também é de responsabilidade da empresa a omissão ou falta de pagamento da contribuição previdenciária.

Por exemplo: 

O Imposto de Renda, que recai sobre a empresa a responsabilidade de recolhimento do IRPF e desconto do funcionário.

Tanto a Receita Federal quanto o INSS, poderão fiscalizar e exigir que os pagamentos e recolhimentos sejam realizados pela empresa. Cabe a empresa questionar o vínculo empregatício junto ao Ministério do trabalho estendendo assim, a responsabilidade solidária ao empregador.

“A responsabilidade Solidária não se aplica à contratação de Serviços por intermédio de cooperativas de trabalho, conforme Art. 224-A do Decreto 3.048/99 e Decreto 3.265/99”

Responsabilidade Solidária na Construção Civil

Se você já contratou um pedreiro, empreiteira ou construtora, fique sabendo que a responsabilidade solidária também é sua.

“Imagine que você contratou um pintor e o mesmo sofre um acidente na obra. Neste caso, você poderá ser acionado à pagar as despesas médicas como também as demais obrigações se o prestador de serviço não estiver coberto pela previdência social.”

Dessa forma, entende-se que direta ou indiretamente, cada cidadão é um fiscal. De maneira alguma se deve compactuar com a falta de obrigações legais nos pagamentos de impostos e/ou recolhimento de contribuições sociais.

“No Brasil, pouco se dá atenção para questões como essa. Na maioria das vezes, ao contratar um pedreiro, nem contrato de prestação de serviço é celebrado.”

Apesar de uma carga tributária excessiva no Brasil, as quais eu compartilho a minha total insatisfação. É de suma importância compreender que a responsabilidade solidária faz parte de um processo importante para manter o custeio da seguridade social.

Tomador de Serviços

Embora nos dias de hoje se comente sobre terceirização, algumas tarefas executadas pelas empresas são direcionadas à outras empresas que realizam um trabalho específico, os chamados “Prestadores de Serviço”.

Os prestadores de serviço são pessoas jurídicas constituídas com as mesmas obrigações que o contratante. Assim, existe uma responsabilidade solidária dos recolhimentos de impostos.

Como o tema é muito discutido, existia uma certa discrepância em relação de como acompanhar os pagamentos do prestador de serviço. Diante disso, a Lei 8.212/91 foi criada para regulamentar esta questão.

Ficou estabelecido que o contratante deverá recolher os impostos a cargo do contratado. Ficou acordado também ao contratante informar o recolhimento em nota fiscal e prestação de serviços.

Efeito Colateral Brasil

Se existe uma conta complicada de se entender é a previdência social. De fato, durante muito tempo só se recebia. Quando foi criada a previdência, hipoteticamente o segurado teve de contribuir por pelo menos 30 anos para ter direito á algum benefício.

Entende-se que em 1923, a população brasileira era de 17 milhões de pessoas. Contudo, atualmente passamos de 170 milhões. Não é difícil fazer as contas de que hoje existem muito mais contribuintes do que no passado, certo?

“Cadê o dinheiro que estava aqui?”

Usaram o dinheiro e agora querem que o povo pague a conta por isso é de suma importância que o cidadão fiscalize e exerça sua cidadania.

Vejo diariamente nos noticiários escândalos políticos onde fica evidenciado a falta de honestidade de alguns de nossos governantes. Temos que olhar para isso, se indignar e depois se relacionar comercialmente de forma irresponsável. Não seria fazer o mesmo?

Ao contratar um prestador de serviço, seja empresa ou um pedreiro, você solicita que seja apresentado as guias de recolhimentos sociais?

Ao comprar um produto pirata ou de um camelô na rua, você se preocupa se ele está recolhendo os devidos impostos? Ou acha vantagem comprar o produto mais barato sem se importar com isso?

Adivinhe quem irá pagar essas contas?

Sabe quem no final das contas vai pagar essa conta? Você…

Não defendo a reforma previdenciária até porque acredito que estão mexendo no lugar errado. Quem me acompanha neste blog, sabe que defendo sim a modernização, mas que os benefícios sociais sejam de responsabilidade do governo. Defendo que os fundos de previdência sejam separados por categorias. Contudo, qual é a culpa do contribuinte se o governo usa os benefícios sociais em épocas de eleições como cabo eleitoral?

Não seria melhor se o contribuinte respondesse pelo fundo dele ao invés de estar custeando por exemplo o “Amparo Social”?

Não tenho nada contra para quem recebe amparo social. Contudo, sabemos que existem diversas fraudes na concessão. A conta deve ser de quem fiscaliza e libera de forma irresponsável tais benefícios.

A verdade é que existe a necessidade sim de reformas. No entanto, a reforma deve ser feita na cultura deste país que valoriza o que está errado e puni os que estão certos.

A reforma emergencial que deveria estar sendo discutida é na educação. No entanto, somente com um alto índice de desenvolvimento pessoal é possível construir um país mais justo, mais honesto, mais consciente, mais produtivo e com um futuro promissor.

Sem desenvolvimento humano, fica difícil de explicar aos manifestantes que quebrar, depredar e agredir outras pessoas não resolve o problema. É necessário que cada cidadão seja honesto, respeitoso, amante dos bons costumes para querer mudar este país.

Vamos lutar sim, mas vamos também fazer a nossa parte. Vamos cobrar de nós mesmos uma postura honesta e lutando pela cultura e educação. No entanto, a cultura ninguém tira de você. Já ter a visão capitalista que o dinheiro compra tudo e todos é um câncer nesta sociedade moderna de forma geral.

Você sabia que o Portal Consignados é especialista em empréstimo consignado?

Com mais de 17 anos no Mercado de Empréstimo Consignado e com uma equipe treinada para lhe auxiliar na melhor decisão, no entanto o Portal Consignados trabalha em parceria com diversos bancos para lhe oferecer sempre o melhor negócio.

Arrecadação e Fiscalização Previdenciária

A arrecadação e fiscalização Previdenciária atende á regras específicas as quais é de vital importância ter seu pleno conhecimento. De fato, com a publicação da Lei n. 11.457, de 16/03/2007, a Secretaria da Receita Federal do Brasil assumiu as atribuições de planejar, executar, acompanhar e avaliar as atividades relativas a tributação, fiscalização, arrecadação, cobrança e recolhimento das contribuições sociais.

Lei que Regulamenta a Arrecadação e Fiscalização Previdenciária

Ademais, as normas gerais que regulamentam a arrecadação por parte das empresas, está prevista no art. 216 do Decreto 3.048/99 :

  1. Arrecadar a contribuição do segurado empregado, do trabalhador avulso e do contribuinte individual a seu serviço, descontando-a da respectiva remuneração;
  2. Recolher o produto arrecadado na forma da alínea anterior e as contribuições a seu cargo incidentes sobre as remunerações pagas, devidas ou creditadas. Deverá ser recolhido á qualquer título, inclusive adiantamentos decorrentes de reajuste salarial, acordo ou convenção coletiva aos segurados empregado, contribuinte individual e ao trabalhador avulso a seu serviço. Assim sobre o valor bruto da nota fiscal ou fatura de serviço, relativo a serviços que lhe tenha sido prestados por cooperados, por intermédio de cooperativas de trabalho no dia dois do mês seguinte àquele a que se referirem as remunerações. Também deverão ser recolhidas as importâncias retidas na forma do art. 219, no 2º dia do mês seguinte da emissão da nota fiscal ou fatura, prorrogando-se o vencimento para o próximo dia útil subsequente quando não houver expediente bancário no 2º dia;
  3. Recolher as contribuições de que trata o art. 204, na forma e prazos definidos pela legislação tributária federal;

Obrigações Acessórias na Arrecadação e Fiscalização Previdenciária

As obrigações acessórias são as previstas no art.113 § 2º, do Código Tributário Nacional.

No entanto, é obrigação da empresa ter que preparar a folha de pagamento, considerando todos os encargos previdenciários bem como gerar as respectivas guias de pagamento e informar ao trabalhador por escrito todos os débitos aos quais lhe foram recolhidos.

Arrecadação e Fiscalização – Entrega da GFIP

A GFIP é a guia de recolhimento e informações dos encargos previdenciários pois tem um prazo pra ser recolhida, conforme regra de até o dia 7 do mês subsequente.

Existem exceções para a entrega da GFIP. Preste atenção que é da entrega, não do recolhimento dos encargos. No entanto, a Arrecadação e Fiscalização Previdenciária são facilitadas.

Os casos de exceções são:

  • o contribuinte individual sem segurado que lhe preste serviço;
  • o segurado especial;
  • os entes públicos em relação aos servidores estatutários filiados ao regime próprio de previdência social;
  • o empregador doméstico;
  • o segurado facultativo;

Comprovação dos fatos geradores

Os fatos geradores nada mais são do que fatores que geram riscos ao segurado na sua atividade profissional. Isso lhes proporcionaria a chamada “insalubridade”. Contudo, a insalubridade é comprovada em atividade profissional através de fiscalização pela RFB e apresentação de documentos por parte do empregador.

A insalubridade é importante para o fator previdenciário, pois desonera ao trabalhador de cumprir todo o tempo estipulado de contribuição vigente.

Contudo, em alguns casos cada ano trabalhado vale por 2 anos de contribuição. No entanto, as regras da Arrecadação e Fiscalização Previdenciária são aplicadas na sua totalidade.

Prerrogativas da Fiscalização

Segundo o disposto n. 1º do art. 33 da lei n. 8.212/91, com a redação conferida pela medida provisória n. 449, de 03/12/2008, convertida na Lei n. 11.941/2009.

“É prerrogativa da Secretaria da Receita Federal do Brasil, por intermédio dos auditores fiscais da Receita Federal do Brasil, o exame da contabilidade das empresas. Ficam obrigados a prestar todos os esclarecimentos e informações solicitadas, o segurado responsável pelo recolhimento das contribuições previdenciárias devidas à outras entidades e fundos”.

Enfim, a Receita Federal é responsável pela fiscalização tanto do Segurado quanto o responsável pelas contribuições previdenciárias.

Inadimplemento e acréscimos moratórios

Tanto segurado quando responsável pelos recolhimentos previdenciários estão sujeitos acréscimos moratórios ou pagamento de multa por incoerência na apuração do recolhimento que esteja em desacordo com a realidade dos pagamentos realizados.

Em caso de atrasos nos pagamentos existe a tabela vigente determinada pelo governo a qual poderá incidir juros e multa.

Restituições de Contribuições, Compensação e Reembolso de Benefícios

Da mesma forma que é cobrado multa e juros quando é recolhido um valor maior do que se deveria, existe a compensação de reembolso dos valores pagos. Porém, existem regras para isso.

Reembolso de Benefícios

O reembolso de benefícios geralmente se dá em casos muito específicos.

Por exemplo:

Auxílio Maternidade.

No entanto, a empresa efetua o pagamento do funcionários normalmente, abatendo o valor pago das guias previdenciárias. Contudo, a empresa obtém o reembolso em forma de abatimento de impostos.

Parcelamento de Débitos

O parcelamento é um acordo entre o contribuinte e o órgão arrecadador dos tributos. Contudo, as dívidas inscritas na dívida ativa da união, ajuizadas ou não, poderão ser parceladas. No entanto, desde que sejam pagos os honorários advocatícios e as custas judiciais.

O segurado ou empresa cujo representante tenha sido condenado criminalmente por decisão transitada em julgado, em decorrência da infração cometida contra seguridade social, não poderá obter parcelamento de suas dívidas nos cinco anos seguintes ao trânsito em julgado da decisão, independentemente das sanções administrativas, civis ou penais cabíveis.

Em suma, cabe ao devedor optar pelo parcelamento de apenas um ou mais seus débitos da Seguridade Social.

Contudo, os créditos objeto de defesa ou de recurso na via administrativa poderão ser incluídos em parcelamento desde que o contribuinte desista expressamente da defesa ou do recurso.

Você sabia que o Portal Consignados é especialista em empréstimo consignado?

Com mais de 17 anos no Mercado de Empréstimo Consignado e com uma equipe treinada para lhe auxiliar na melhor decisão, no entanto o Portal Consignados trabalha em parceria com diversos bancos para lhe oferecer sempre o melhor negócio.

Política de Crédito para Espécie 32 e 21

A Política de Crédito de vários bancos mudou com a atualização na lei n. 13.135. No entanto, afeta principalmente pensionistas e quem recebe aposentadoria por invalidez previdenciária.

Entendendo as Mudanças

Com a alteração das regras na previdência, quem recebe aposentadoria por invalidez previdenciária tem que retornar de 3 em 3 anos ao INSS para perícia.  Contudo, o objetivo disso é confirmar se a doença ou o fator gerador da aposentadoria ainda existe.

Para quem recebe pensão, existe um período ao qual o pensionista irá receber a pensão. No entanto, isso muda conforme a idade do beneficiário. Ademais, na nova regra ficou assim:

  • 3 (três) anos, com menos de 21 (vinte e um) anos de idade;
  • 6 (seis) anos, entre 21 (vinte e um) e 26 (vinte e seis) anos de idade;
  • 10 (dez) anos, entre 27 (vinte e sete) e 29 (vinte e nove) anos de idade;
  • 15 (quinze) anos, entre 30 (trinta) e 40 (quarenta) anos de idade;
  • 20 (vinte) anos, entre 41 (quarenta e um) e 43 (quarenta e três) anos de idade;
  • vitalícia, com 44 (quarenta e quatro) ou mais anos de idade.

As mudanças nas regras previdenciárias tanto para os pensionistas quanto para os aposentados por invalidez causaram conflitos na contratação de empréstimo consignado. No entanto, muitas instituições Financeiras estão criando Política de Crédito para esses casos.

Política de Crédito das Instituições Financeiras

Algumas instituições financeiras a fim de evitar que tenham seus pagamentos referente a parcelas de empréstimo consignado não repassadas pelo INSS devido ao encerramento da Pensão ou pela perca da aposentadoria por invalidez, mudaram suas políticas de crédito. Procuramos as principais instituições financeiras da Atualidade e criamos para você caro leitor um roteiro, aonde nele poderá saber qual financeira estará lhe atendendo a partir de agora. Até o presente momento, vigora as seguintes regras:

Espécie 21 (Pensionistas do INSS)

Pensão por Morte Previdenciária

Espécie 32 (Aposentadoria por Invalidez Previdenciária)

política de Crédito espécie 32

Como puderam notar, existem ainda Instituições que podem lhe atender. No entanto, basta procurar com cautela. O Portal Consignados trabalha com todos os bancos acima citados e poderemos lhe orientar.

Como faço agora para refinanciar meus contratos?

Se você tem contratos em instituições financeiras que não estão mais atendendo a sua espécie de benefício uma alternativa seria a portabilidade. Contudo, infelizmente muitos clientes que poderiam atualmente refinanciar seus contratos estão tendo sérias dificuldades.

Mas lembre-se que tem instituições financeiras que ainda estão lhe atendendo. Portanto, você pode sim portar seus contratos para Bancos que possam refinanciar seus empréstimos.

Você sabia que o Portal Consignados é especialista em empréstimo consignado?

Com mais de 17 anos no Mercado de Empréstimo Consignado e com uma equipe treinada para lhe auxiliar na melhor decisão, no entanto o Portal Consignados trabalha em parceria com diversos bancos para lhe oferecer sempre o melhor negócio.

Remissão Previdenciária e Anistia

A Remissão Previdenciária não pode ser confundida com a Anistia. A emenda constitucional n. 20/98 introduziu o § 11 no art. 195 da constituição, vedando a concessão de remissão anistia das contribuições sociais de que trata os incisos I e II deste artigo, para débitos em montante superior fixados em lei complementar.

Remissão Previdenciária e Anistia

Essa norma constitucional limitar a concessão remissão e anistia até os valores assim definidos em lei complementar.

No entanto, existe uma diferença entre isenção, remissão e anistia. Contudo, a isenção é uma limitação legal que impede que o débito exista.

Isenção Previdenciária

A isenção de débitos previdenciários são condições especiais e exclusivas que o segurado ou contribuinte tem, que não são passíveis de geração de impostos previdenciários.

Remissão Previdenciária

Já a Remissão previdenciária é o perdão legal tributário, ou seja, o débito existiu mas por questões enquadradas. Contudo, na lei levaram à remissão dois débitos.

Na lei de anistia, o segurado mesmo havendo débitos, multas e demais contribuições previdenciárias a pagar, seus débitos são perdoados.

Anistia Previdenciária

A anistia está prevista no art. 291 § 1º, do decreto n. 3.048/99. No entanto, existem exceções, como um exemplo a falta de comunicação em acidente de trabalho.

Existem Regras para a Remissão

Com relação à remissão, o art. 362 do decreto n. 3.048/99 prevê o estabelecimento de critérios, para dispensa de Constituição a exigência de crédito de valor inferior ao custo destas medidas.

A medida provisória n. 449, de 3/12/2008, convertida na Lei n. 11.941/2009, estabeleceu: “ficam remetidos os certos com a fazenda Nacional, inclusive àqueles com exigibilidade suspensa que, em 31 dezembro 2007, estejam vencidos há cinco anos ou mais e cujo valor total consolidado, nesta mesma data, seja igual ou inferior a R$ 10.000,00”. Contudo, essa lei não implica, todavia, no direito à restituição de valores já pagos.

O objetivo da Regra Remissão Previdenciária e Anistia

O objetivo da regra, segundo a exposição de motivos encaminhada pela Presidência da República ao Congresso Nacional, eu respeito o princípio da eficiência, que rege a administração pública, Concedendo-se remissão de débitos de longa data de valor baixo, considerados pelos técnicos Como de difícil recuperação. No entanto, caso tenha algum dúvida a respeito, pode solicitar uma análise de seu benefício para uma possível ação junto ao INSS.

Você sabia que o Portal Consignados é especialista em empréstimo consignado?

Com mais de 17 anos no Mercado de Empréstimo Consignado e com uma equipe treinada para lhe auxiliar na melhor decisão, no entanto o Portal Consignados trabalha em parceria com diversos bancos para lhe oferecer sempre o melhor negócio.

Isenção das Contribuições para Seguridade Social

A Constituição Federal de 1988, no artigo 195, § 7º, concedeu as contribuições para Seguridade Social em favor das entidades beneficentes de Assistência Social. Se manterá, desde que atenda às exigências estabelecidas em lei afim de estabelecer regras sobre a isenção das contribuições.

A concessão de isenção de contribuições previdenciárias às entidades filantrópicas pela lei da Constituição de 1988 foi mantida. Contudo, foi limitada para as entidades de assistência social. Na redação da CLPS/84, a isenção estendia-se para toda e qualquer entidade que fosse considerada entidade pública desde que os diretores não recebessem remuneração (art. 130).

Requisitos para Isenção das Contribuições à Seguridade Social

A pessoa jurídica de direito privado beneficente de assistência social, para obter a isenção das contribuições previdenciárias previstas nos art. 22 e 23 da Lei n. 8.212/91, deverá preencher os seguintes requisitos no art. 29 da Lei n. 12.101/2009:

I – não recebam seus diretores, conselheiros, sócios, instituidores ou benfeitores remuneração. Também não deverão receber vantagens ou benefícios mesmo que seja direta ou indiretamente;

II – aplique suas rendas, seus recursos e eventual superávit integralmente no território nacional. Inclusive, deverá ser aplicado na manutenção e desenvolvimento de seus objetivos institucionais;

III – apresente certidão negativa ou positiva com efeito de negativa de débitos relativos aos tributos administrados pela Secretaria da Receita Federal e certificado de regularidade do FGTS;

IV – mantenha escrituração contábil regular que registre as receitas e despesas. Também deverá ser mantida a aplicação em gratuidade em consonância com as normas emanadas do Conselho Federal de Contabilidade;

V – não distribua resultados, bonificações, participações ou parcelas do seu patrimônio, sob qualquer forma ou pretexto;

VI – conserve em boa ordem, pelo prazo de 10 (dez) anos, contado da data da emissão, os documentos que comprovem a origem e a aplicação de seus recursos. Também deverão ser conservados os relativos a atos ou operações realizados que impliquem modificação da situação patrimonial;

VII – cumpra as obrigações acessórias estabelecidas na legislação tributária;

VIII – apresente as demonstrações contábeis e financeiras devidamente auditadas por auditor. Independente legalmente habilitado nos Conselhos Regionais de Contabilidade quando a receita bruta anual auferida for superior ao limite fixado pela Lei Complementar no 123, de 14/12/2006.

Requerimento e indeferimento da isenção

Em síntese, a entidade interessada poderá protocolizar o pedido de reconhecimento da isenção perante a RFB a contar da data de sua certificação como entidade beneficente.

Desse modo, referente em relação à concessão e renovação do certificado de Entidade beneficente de Assistência Social, a primeira sessão do STJ tinha a jurisprudência firmada no sentido de que a entidade reconhecida como de caráter filantrópico. Contudo, antes da publicação do decreto-lei número 1572/77. Ademais, esta possuía direito adquirido a manutenção de modo que a administração pública com fundamento no decreto n. 752/93. Posteriormente, no decreto n. 2.536/98 – não poderia impor-lhes novos requisitos para a obtenção do CEBAS, pois estaria extrapolando de forma irregular os exemplos anteriormente estabelecidos pela legislação ordinária.

Alcance da isenção das Contribuições Previdenciárias

A isenção atinge todas as contribuições devidas pela empresa. Contudo, não abrange as contribuições dos segurados que presta serviços, como por exemplo: empregados, avulsos, empresários, trabalhadores autônomos, ou a estes equiparados.
Aplicasse as pessoas jurídicas no exercício do direito isenção à todas as normas da arrecadação, fiscalização e cobrança de contribuições estabelecidas no regulamento da Previdência Social.

Revisão da Isenção das Contribuições

Se, caso, for constatado o descumprimento pela entidade dos requisitos indicados na Lei n. 12.101/2009, a fiscalização da Secretaria da Receita Federal lavrará o alto de infração relativo ao período correspondente. Contudo, serão relatados os fatos conforme forem demonstrando o não atendimento de tais requisitos para gozo da isenção.

Você sabia que o Portal Consignados é especialista em empréstimo consignado?

Com mais de 17 anos no Mercado de Empréstimo Consignado e com uma equipe treinada para lhe auxiliar na melhor decisão, no entanto o Portal Consignados trabalha em parceria com diversos bancos para lhe oferecer sempre o melhor negócio.

Alterada Metodologia de cálculo

Alterada Metodologia de cálculo do Fator Acidentário de Prevenção. O CNP (Conselho Nacional de Previdência) alterou a forma de cálculo do Fator Acidentário de Prevenção (FAP), prevista no anexo da Resolução CNPS nº 1.316/2010.

Lembrando-se que as novas regras produzirão efeitos a partir do cálculo do FAP 2017, com vigência em 2018.

As contribuições realizadas pelas empresas poderão variar de 1% a 3%, conforme o grau de incidência de acidente. Contudo, o objetivo é incentivar as empresas a criarem condições de trabalho melhores aos seus colaboradores.

Uma outra forma de estabelecer a alíquota de 1% a 3%, é o enquadramento do estabelecimento de acordo com a Classificação Nacional de Atividades Econômicas (CNAE).

Quanto maior o risco da atividade da empresa, maior será a alíquota.

Esse multiplicador deve variar em um intervalo fechado contínuo de 0,5000 a 2,0000. Espera-se que as empresas apliquem politicas de segurança no trabalho a fim de evitar acidentes de trabalho.

A alíquota passa a ser recalculada periodicamente conforme a incidência de acidente de trabalho. Contudo, levando em consideração a frequência e gravidade nas ocorrências de acidentes.

Alterada Metodologia de cálculo – Maior Risco + Contribuição

A forma de cálculo era bem diferente. Essa fórmula não estimulava as empresas a criarem uma politica interna de proteção ao trabalhador. Agora com as mudanças anunciadas pelo FAP, fica vinculado ao 6CNPJ os registros de comunicação ao CAT sobre acidentes e óbitos no trabalho.

Esta é mais uma medida para ajustar as contas com a Previdência colocando em cheque as condições de trabalho que causam maior incidência de afastamentos. Contudo, até mesmo óbitos que tem custado milhões a Previdência Social em pagamentos de benefícios.

É uma forma de equilibrar as contas que sabidamente estão desproporcionais á realidade da Previdência Social.

A Previdência Social finalmente começa a tomar medidas para estimular a qualidade de trabalho. Bem como as condições que as empresas proporcionam ao trabalhador.

Infelizmente, não tem outro jeito senão mexer no bolso das empresas que não tem a preocupação com seus colaboradores.

É uma medida totalmente aplaudida pela critica e pelo público, pois além de estimular melhores condições de trabalho ainda ajustam as contas da Previdência que está pra lá de desorganizada.

(Resolução CNP nº 1.329/2017 – DOU 1 de 27.04.2017)

Você sabia que o Portal Consignados é especialista em empréstimo consignado?

Com mais de 17 anos no Mercado de Empréstimo Consignado e com uma equipe treinada para lhe auxiliar na melhor decisão, no entanto o Portal Consignados trabalha em parceria com diversos bancos para lhe oferecer sempre o melhor negócio.

Contrate seu empréstimo consignado clicando aqui

Contribuições Seguridade Social

As Contribuições Seguridade Social tem uma forma de custeio muito complexa através de regimes de contribuições que somados compões os recursos para a manutenção e pagamentos de benefícios junto a previdência.

Uma forma de arrecadação para que o segurado possa receber seus benefícios de forma segura e que seja honrado todos os compromissos junto a Seguridade Social.

Ao estudar profundamente as formas de arrecadação e contribuição para a seguridade Social sempre me pergunto “Porque existe déficit?”.

Contribuições Seguridade Social

No entanto, as principais formas de Contribuição ao sistema de Seguridade Social são:

  • Salário de Contribuição;
  • Salário Base;
  • Contribuição do Segurado Empregado, doméstico e trabalhador avulso;
  • Contribuição do Segurado Contribuinte individual e facultativo;
  • Contribuições das Empresas;
  • Contribuição sobre Folha de Pagamento;
  • Contribuição sobre a remuneração paga aos segurados contribuintes individuais e trabalhadores avulsos;
  • Contribuição em razão do grau de incidência de incapacidade laborativa decorrente dos riscos ambientais do trabalho – GILRAT;
  • Contribuição sobre Receita e Faturamento;
  • Contribuição para o Financiamento da Seguridade Social – COFINS
  • PIS/PASEP ;
  • Contribuição Social sobre o Lucro Liquido – CSLL;
  • Contribuições das microempresas e empresas de pequeno porte – SIMPLES NACIONAL;
  • Contribuições do Importador de Bens e Serviços do Exterior;
  • Contribuições decorrentes do trabalho prestado em obras de construção civil;
  • Obrigações previdenciárias do sujeito passivo na obra de construção civil;
  • Aferição indireta das contribuições;

Continuando com as Contribuições da Seguridade Social

  • Apuração de salário de contribuição contido em nota fiscal de serviços/fatura;
  • Apuração de salário de contribuição com base na área construída e no padrão de obra;
  • Retenção na Construção civil;
  • Contribuição de clubes de futebol profissional;
  • Contribuição do Empregador Doméstico;
  • Contribuição do produtor Rural Pessoa Física e do Segurado Especial;
  • Contribuição do Empregador Rural Pessoa Jurídica;
  • Contribuição sobre receita de concursos de prognósticos;
  • Contribuições destinada a terceiros;
  • Sistema de Escrituração Digital das Obrigações Fiscais, Previdenciárias e Trabalhistas –eSocial;
  • Simples Doméstico;
  • Programa de Recuperação Previdenciária dos Empregadores Domésticos – REDOM;

Ademais, as formas de contribuição ao sistema de previdência social destacadas acima, ajudam a pagar os benefícios sociais. Contudo, neste artigo iremos detalhar um a um a fim de esclarecer ao caro leitor o quão complexa é a previdência social no Brasil.

Nos dias atuais se fala muito que os contribuintes da ativa não conseguem custear as despesas da previdência.

Na cabeça da maioria das pessoas, se tem a ideia que o trabalhador é quem paga os benefícios dos segurados. Contudo, o que poderão notar que a forma de arrecadação da previdência social é muito mais complexa do que isso.

Salário de Contribuição

No entanto, o salário de Contribuição é o valor que serve como base de cálculo para incidência das alíquotas das contribuições previdenciárias dos segurados empregados. Contudo, incluem-se os domésticos, trabalhadores avulsos, contribuintes individuais e, por extensão, os segurados facultativos.

Contribuições Seguridade Social sobre o Salário Base

O salário base era espécie de gênero salário de contribuição estabelecido cuja escala de valores prefixados por norma regulamentar. Portanto era escalonado em classes, cujo reajustamento seguia os mesmos índices utilizados para a correção dos valores de contribuições e benefícios do RPGS. Atualmente, o Salário Base está instinto.

Contribuição do Segurado Empregado, doméstico e trabalhador avulso

A contribuição do segurado empregado, inclusive o doméstico,e do trabalhador avulso é calculada mediante a aplicação da correspondente alíquota, de forma não acumulativa, sobre seu salário de contribuição mensal conforme o artigo 20 da Lei n. 8.212/91.

Contribuição do Segurado Contribuinte individual e facultativo

Contribuições Seguridade Social em face da lei n. 8.976, de 26/11/1999, revela que o empresário e trabalhador autônomo e o equiparado ao autônomo passaram a ser classificados como contribuintes individuais, sendo dada nova redação ao art.28, III, da lei n. 8.212/91. No entanto, foi estabelecido que, “para o contribuinte individual, o salário de contribuição é a remuneração auferida em uma ou mais empresas ou pelo exercício de sua atividade por conta própria, durante o mês, observando o limite máximo previsto no § 5º do art. 28 da Lei n. 8.212/91”.

Contribuições Seguridade Social das Empresas

A constituição prevê no art. 195, inciso I, com a redação dada pela emenda n.20, a incidência de contribuições sociais a cargo do empregador, da empresa e da entidade a ela equiparada na forma da lei (art.15 da Lei n. 8.212/91, com a redação conferida pela Lei 13.202/15), nos seguintes termos:

I – do empregador, da empresa e da entidade a ela equiparada, na forma da lei, incidentes sobre:

  1. folha de salários e demais rendimentos do trabalho pagos ou creditados, a qualquer titulo, à pessoa física que lhe preste serviço, mesmo sem vínculo empregatício;
  2. receita ou a faturamento;

Contribuições Seguridade Social sobre Folha de Pagamento

Contribuições Seguridade Social prevista na letra a do inciso I do art. 195 da constituição. No entanto, sua incidência se dá sobre a folha de salários e demais rendimentos do trabalho pagos ou creditados, pela empresa, a qualquer título, à pessoa física que preste serviço, mesmo sem vínculo empregatício.

Contribuição sobre a remuneração paga aos segurados contribuintes individuais e trabalhadores avulsos

Com relação ao recolhimento das empresas sobre rendimentos de autônomos, avulsos e administradores, o Supremo Tribunal Federal declarou inconstitucional a incidência da contribuição previdenciária instituída por meio de lei ordinária (Lei n. 7.87/89, com nova redação dada pela Lei. n. 8.212/91).

Contribuição em razão do grau de incidência de incapacidade laborativa decorrente dos riscos ambientais do trabalho – GILRAT

O seguro obrigatório de acidentes do trabalho foi integrado à previdência Social pela Lei n. 5.316, de 14/09/1967, em favor dos empregados em geral, dos trabalhadores avulsos e dos presidiários que exercessem atividade remunerada.

As Contribuições Seguridade Social na ocorrência de acidentes do trabalho ou de doenças chamadas ocupacionais. Contudo, nesse caso o acidentado, ou seus dependentes no caso de sua morte, terão direito às prestações e serviços previstos na legislação previdenciária.

Contribuição sobre Receita e Faturamento

A contribuição incidente sobre a receita e o faturamento está prevista na letra b do inciso I do art. 195 da constituição. No entanto, a redação atual foi dada pela emenda constitucional n. 20/98, a qual acrescentou o termo “receita” como base de calculo da contribuição previdenciária a cargo da empresa.

No entanto, as contribuições instituídas com base de calculo incidente sobre a receita e o faturamento são a COFINS e o PIS/PASEP, as quais são examinadas na sequência.

Contribuição para o Financiamento da Seguridade Social – COFINS PIS/PASEP

A lei complementar n. 70, de 30/12/1991, instituiu a Contribuição para o Financiamento da Seguridade Social – COFINS, revogado o art. 23, I, da Lei n. 8.212/91, que tratava do FINSOCIAL A COFINS foi criada com uma alíquota de 2%, tendo como base de calculo o faturamento mensal, assim considerada a receita bruta das vendas de mercadorias, de mercadorias e serviços de qualquer natureza.

Contribuições Seguridade Social do PIS/PASEP

O PIS – Programa de Integração Social, foi criado pela Lei Complementar n. 7, de 07/09/1970, e o PASEP – Programa de Formação do Patrimônio do Servidor Público foi instituído pela Lei complementar n. 8, de 03/12/1970.

A natureza Jurídica do PIS/PASEP é de contribuição Social, destinada ao custeio da Seguridade Social (art. 149, c/c o § 6º do art. 195 da Constituição).

A medida provisória n. 413, de 03/01/2008, convertida na Lei n. 11.727, de 23/06/2008, em eu art. 17, majorou as alíquotas da CSLL, alterando o art. 3º da Lei n. 7.689/88, passando a estabelecer as seguintes alíquotas:

  • quinze por cento, no caso das pessoas jurídicas de seguros privados, as de capitalização e as referidas no inciso I a XII do § 1º do art. 1º da Lei Complementar n. 105, de 10 de janeiro de 2001; e
  • nove por cento, no caso das demais pessoas jurídicas.

Contribuições Seguridade Social sobre o Lucro Liquido – CSLL

A CSLL está fundamentada no art. 195, I, c, da Constituição Federal, sendo que a cobrança foi instituída pela Lei n. 7.689, de 15/12/1988.

No entanto, são aplicadas à CSLL, no que couberem, as disposições da legislação do imposto sobre a renda referentes à administração, ao lançamento, à consulta, à cobrança, às penalidades, às garantias e ao processo administrativo, mantidas a base de calculo e as alíquotas previstas na legislação da referida contribuição (Lei n. 7.689, de 1988, art. 6º, e Lei n. 8.981, de 1995, art. 57).

Contribuições das microempresas e empresas de pequeno porte – SIMPLES NACIONAL

No entanto, a constituição Federal assegurou, nos art. 170 e 179, às microempresas e às empresas de pequeno porte tratamento jurídico diferenciado e simplificado nos campos administrativos, tributário, previdenciário, trabalhista, creditício e de desenvolvimento empresarial.

Contribuições Seguridade Social do Importador de Bens e Serviços do Exterior

Contudo, a constituição prevê no art. 195, inciso IV, introduzindo pela emenda constitucional n. 42, de 19/12/2003, a incidência de contribuição social a cargo do importador de bens ou serviços do exterior, ou de quem a lei a ele equiparar. Ademais, esse dispositivo está sem sintonia com o disposto no art. 146, § 2º, inciso II, que recebeu nova redação pela EC n. 42/2003, prevendo a incidência de contribuição sobre a importação de produtos estrangeiros ou serviços.

Contribuições Seguridade Social decorrentes do trabalho prestado em obras de construção civil

Contudo, vamos em busca de maior desenvolvimento no Brasil, com utilização em larga escala de mão-de-obra sem qualificação.

Periodicamente, o governo federal perguntar políticas de incentivo a construção civil Como fonte de geração de empregos e de aquecimento da economia.

No entanto, uma das situações nas quais mais comumente se observa um fenômeno de mercado informal de trabalho das obras de construção civil. Ademais, os efeitos desta informalidade são, de um lado, trabalhadores que prestam serviços com elevado risco de acidentes de trabalho, sem a devida proteção previdenciária. Contudo, uma vez que, se não realizadas as contribuições. Contudo, caso necessite de Amparo, precisarão provar inicialmente o exercício de atividade e o seu salário de contribuição e, de outro, um alto índice de evasão fiscal.

Obrigações previdenciárias do sujeito passivo na obra de construção civil

São responsáveis pelas obrigações previdenciárias decorrentes de execução de obra de construção civil proprietário do imóvel, o dono da obra, o incorporador, o condomínio da unidade imobiliária não incorporada na forma da Lei n. 4.591, de 1964, e a empresa construtora.

Ademais, a pessoa física dona da obra o executor da obra de construção civil, é responsável pelo pagamento de contribuições em relação à remuneração paga, devida ou creditada aos segurados queria prestam serviço na obra, Na mesma forma e prazos aplicados As empresas em geral.

Aferição indireta das contribuições

No entanto, a aferição indireta pode ser conceituada como método ou procedimento de que dispõe a RFB para apuração das bases de cálculo das contribuições previdenciárias, quando ocorrer recusar ou sonegação de documentos ou informações, mesmo na apresentação deficiente, por parte do contribuinte, bem como na apuração do salário de contribuição decorrente de obra de construção civil responsabilidade da pessoa física, não incorporada na forma da lei n. 4.591/64.

Apuração de salario de contribuição contido em nota fiscal de serviços/fatura

É fixada em 40% o percentual mínimo de salário de contribuição continuem nota fiscal de serviço/fatura. Em se tratando de nota fiscal de serviço com que mão-de-obra e material, Contudo, o salário de contribuição corresponderá do mínimo de 40% do valor da jovem descriminado na fatura, devendo a empresa de construção civil, quando da fiscalização, comprovar a exatidão dos valores discriminados.

 Apuração de salario de contribuição com base na área construída e no padrão de obra

A Fundação salário de contribuição dos segurados que trabalham em obra de construção civil de responsabilidade de pessoa física ou jurídica, com base na área construída (aferição indireta) é procedida nos termos das instruções normativas sobre a matéria, que estabelece critérios e rotinas para regularização da obra de construção civil. Ademais, é de ressaltar entre direito predominante é que a escolha dos indicadores para avaliação do custo da construção civil E a regulamentação de sua utilização para fins de apuração da remuneração da mão-de-obra, por aferição indireta, competem exclusivamente ao órgão arrecadador, por atribuição conferida pelos §§ 4º e 6º do art. 33 da Lei n. 8.212/91.

Retenção na Construção civil

Na empreitada de obras ou serviços de construção civil, com ou sem o fornecimento de material, deverá a contratante efetuar a retenção de 11% sobre o valor bruto dos serviços contidos a nota fiscal, fatura ou recibo recolher em nome da contratada. Contudo, tal previsão foi introduzida pela medida provisória n.1.663-15, de 22/10/1998, convertida no art. 33 da Lei 9.711,de 20/11/1998, que deu uma nova redação ao art. 31 da Lei n.8.212/91.

Contribuição de clubes de futebol profissional

Considera-se Como de futebol profissional toda associação desportiva que, proporcionando a prática de futebol profissional, esteja filiada a Federação de futebol do respectivo Estado, ainda que não tenha outras modalidades esportivas.

Ademais, o regime de custeio das prestações aplicáveis aos clubes de futebol profissional às associações desportivas equiparadas, bem como sistema de cálculo de benefícios do jogador de futebol profissional foram instituídos pela Lei n.5.939/73, regulamentada pelo Decreto n.77.210/76.

Contribuição do Empregador Doméstico

Considera-se empregador doméstico a pessoa ou família que admite seu serviço, sem finalidade nos lucrativa, empregado doméstico(art. 15, II da Lei n.8.212/91).

O empregado doméstico passou a ser segurado obrigatório da Previdência Social somente a partir de abril de 1973, em face da Lei n. 5.859/72, a qual institui a alíquota de contribuição para empregado doméstico em 8%, sobre um salário mínimo regional e mais tarde(janeiro/1981) até o limite máximo de três salários mínimos regionais.

A partir de dezembro de 1979 quando a vigência da lei n.7.787/89, a contribuição passou a ser de 12%, respeitando limite máximo do salário de contribuição (art. 6º).

Contribuição do produtor Rural Pessoa Física e do Segurado Especial

Contudo, a lei complementar n. 11, de 25/05/1971, instituiu o programa de assistência trabalhador rural (PRORURAL), O Qual era responsável pela concessão de aposentadoria por velhice; aposentadoria por invalidez ; pensão; auxílio funeral; serviços de Saúde e serviços social, aos trabalhadores rurais.

No entanto, os recursos para o custeio do PRORURAL provinham da contribuição de 2% devida pelo produtor, sobre o valor comercial dos produtos rurais e da intervenção que se tratava no art. 3ºDo decreto-lei n.1.146, de 31/12/1970, a qual ficou elevada para 2,6%, cabendo 2,4% ao PRORURAL (art. 5º da LC n.11/71).

Contribuição do Empregador Rural Pessoa Jurídica

No entanto, o empregador rural constituído em pessoa jurídica contribui para a seguridade social com o equivalente a 2,5% do valor da receita bruta proveniente da comercialização de sua produção.

Estabeleceu o § 2º do art. 25 da Lei n. 8.870/94 que a referida contribuição, se estendia as pessoas jurídicas que se dedicavam a produção Agroindustrial. Contudo, quanto a folha de salários de sua parte agrícola, mediante pagamento da contribuição que devia ser calculado sobre o valor estimado da produção agrícola própria, mesmo considerando o seu preço de mercado, cabendo as devidas pessoas jurídicas continuará a contribuir com o percentual de 20% em relação os empregados do setor industrial (§ 3º do art. 25 do Decreto n. 1.197/94).

Contribuição sobre receita de concursos de prognósticos

Prevista no artigo 195, III, da Constituição de 1988, esta contribuição incide sobre todo e qualquer concurso do sorteio de inúmeros por quaisquer outros símbolos loterias e apostas de qualquer natureza No âmbito federal, Estadual, Distrital ou municipal, promovidos por entes públicos ou por pessoas jurídicas de direito privado.

Contribuições destinada a terceiros

O art. 240 da constrição de 1988 ressalvou que, além das contribuições previstas no art. 195, é possível cobrança de contribuições compulsórias dos empregadores sobre a folha de salários, destinadas às entidades privadas de serviço social ele formação profissional vinculadas ao sistema sindical.

Sistema de Escrituração Digital das Obrigações Fiscais, Previdenciárias e Trabalhistas –eSocial

Decreto n. 8.373, de 11/12/2014, instituiu o sistema de escrituração Digital das obrigações fiscais, previdenciárias e trabalhistas – eSocial.

O eSocial É Instrumento de unificação da prestação das informações referentes à escrituração das obrigações fiscais, previdenciárias e trabalhistas. No entanto, sua finalidade é padronizar sua transmissão, validação, armazenamento e distribuição, constituído ambiente nacional composto por:

I-escrituração Digital, contém informações fiscais, previdenciários e trabalhistas;

II-aplicação para preenchimento, geração, transmissão, recepção, validação e distribuição desfiguração; e

III-repositório nacional, contendo o armazenamento da escrituração.

Simples Doméstico

Contudo, para facilitar o cumprimento das novas obrigações criadas pelo empregador doméstico, além complementar n. 150/15 determinou a implantação do simples doméstico, que define o regime bonificado para pagamento de todos os tributos demais encargos, inclusive FGTS.

Ademais, simples doméstico assegurará O recolhimento mensal, mediante documento único de a arrecadação para as Contribuições Seguridade Social.

Programa de Recuperação Previdenciária dos Empregadores Domésticos – REDOM

Lei complementar n. 150/15 institui, em seus artigos 39 a 41, o programa de Recuperação previdenciária dos empregadores domésticos – REDOM. Contudo, esse programa, permite o parcelamento dos débitos do empregador doméstico relativos à contribuição de quem tratam os art. 20 a 24 da lei n. 8.212, de 24 julho 1991, com vencimento até 30 abril 2003.

Conclusão das Contribuições Seguridade Social

Ademais, como puderam notar, o sistema de contribuições da Previdência Social é extremamente complexo e possui várias formas de arrecadação. Portanto, é muito complicado afirmar que apenas ou contribuinte da ativa, ou seja, o trabalhador que contribui para previdência é o responsável pela total arrecadação para manter o sistema de previdência social ativo.

Você sabia que o Portal Consignados é especialista em empréstimo consignado?

Com mais de 17 anos no Mercado de Empréstimo Consignado e com uma equipe treinada para lhe auxiliar na melhor decisão, no entanto o Portal Consignados trabalha em parceria com diversos bancos para lhe oferecer sempre o melhor negócio.

Financiamento da Seguridade Social

O financiamento da Seguridade Social é previsto no art. 195 da Constituição Federal. Colocado como um dever a toda Sociedade seja de forma direta ou indireta, mediante recursos provenientes dos orçamentos:

  • União;
  • Estados;
  • Distrito Federal;
  • Municípios;

Contribuições Sociais

Contudo, um dos maiores problemas no custeio da Seguridade Social no Brasil é que ela depende exclusivamente das contribuições de trabalhadores e Empresários.

Um outro problema é que a administração pública destes recursos não vem se mostrando eficaz.

Contudo, não existe uma aplicação de parte dos recursos provenientes das contribuições, por exemplo em títulos da dívida pública.

Financiamento da seguridade SocialA própria Caixa econômica federal poderia utilizar por exemplo 10% destas contribuições em carteiras de empréstimo consignado por exemplo, para aplicar esses recursos e potencializar o recurso destas contribuições.

Só no ano de 2016 a arrecadação chegou a 364 bilhões de reais, em contra partida o valor pago foi de 515,9 bilhões, um déficit de 149,7 bilhões.

No entanto, a situação é muito grave e algumas medidas para conter o avanço e possível calote nos segurados foi mudar algumas regras com relação a concessão, tempo de contribuição.

Com a emenda constitucional n. 20 foram incluídos no art. 195 os §§ 9º, 10 e 11, e alterado o § 8º, criou-se uma forma de calculo diferenciado conforme porte da empresa, através de impostos sobre a folha.

Contudo, atualmente benefícios como auxilio maternidade são pagos pela empresa diretamente ao funcionário, havendo apenas o desconto do valor pago da guia de contribuição mensal.

Contudo, o governo evita que haja sangria nos cofres da previdência. Ademais, de outro lado deixa o segurado mais vulnerável.

Sistema de Contribuição

Existem duas formas de contribuição a Seguridade Social: uma pela receita tributária e a outra pelo chamado sistema contributivo.

Ademais, a receita tributária é composta por impostos e pela contribuição dos segurados, já o sistema contributivo é feito pelos Estados e União.

Contudo, o grande problema é que não existe um limite mínimo para os Estados e União realizarem estas contribuições, ou seja a União estabelece um orçamento anual e faz as contribuições conforme o orçamento.

Natureza Jurídica

A identificação da natureza jurídica das contribuições para a Seguridade Social possui uma importância significativa, pois ajuda a compreender as regras que lhe são aplicáveis.

Regras como contribuições, alíquotas de impostos e demais legislações a respeito do custeio da previdência social dependem disso.

Outras Receitas do Financiamento da Seguridade Social

Ademais, constituem outras receitas da Seguridade Social, de acordo com o art. 27 da Lei n. 8.212/91:

  • As multas
  • Atualizações monetária e os juros moratórios
  • A remuneração recebida por serviços de arrecadação, fiscalização e cobrança prestados a terceiros – art. 274 do Decreto n.3.048/99;
  • As receitas provenientes de prestação de serviços e de fornecimento ou arrendamento de bens;
  • As demais receitas patrimoniais, industriais e financeiras;
  • As doações, legados, subvenções e outras receitas eventuais;
  • 50% dos valore obtidos e aplicados de forma do parágrafo único do art. 243 da Constituição Federal;
  • 40% do resultado dos leilões de bens aprendidos pela receita Federal; e
  • Outras receitas previstas em legislação especifica.

No entanto, a Seguridade Social tem como objetivo prover ao trabalhador uma segurança seja em casos de doença, afastamento por acidente, aposentadoria e até mesmo pensões.

A manutenção e da Seguridade é de vital importância em nossa sociedade. Contudo, é com ela que milhões de brasileiros poderão contar e dar a devida atenção ao tema é indispensável, visto que a população brasileira está envelhecendo. Portanto, é importante o tema do Financiamento da Seguridade Social.

Você sabia?

Com mais de 17 anos no Mercado de Empréstimo Consignado e com uma equipe treinada para lhe auxiliar na melhor decisão, no entanto o Portal Consignados trabalha em parceria com diversos bancos para lhe oferecer sempre o melhor negócio.

Inscrição dos Segurados e Dependentes do INSS

Inscrição dos Segurados e Dependentes do INSS ao regime geral de previdência social é realizada mediante comprovação de dados pessoais e outros elementos necessários e úteis a sua caracterização.

Inscrição dos Segurados e Dependentes do INSS

Inscrição dos Segurados e Dependentes do INSS

A forma de inscrição dos segurados e dos dependentes, está disciplinada em regulamento, conforme prevê o art. 17 da Lei n. 8.213/91, estando suas normas contidas nos art. 18 a 24 do Decreto n. 3.048/99.

Contudo, os Incisos I a V do Decreto n. 3.048/99 estabelecem as condições para a inscrição do segurado:

  • Nas categorias de empregado e de trabalhador avulso – Preenchimento dos documentos que os habilitam ao exercício da atividade, formalizado pelo contrato de trabalho, no caso do empregado. E pelo cadastramento e registro do sindicato ou órgão gestor de mão de obra, no caso do trabalhador avulso;
    Empregado doméstico – Apresentação de documento que comprove a existência de Contrato de Trabalho;
  • Contribuinte Individual – Apresentação de documento que caracterize sua condição ou o exercício de atividade profissional, liberal ou não;
    Segurado Especial – Apresentação de documento que comprove o exercício ou atividade rural;
  • Segurado Facultativo – Apresentação de documentos de identidade e declaração expressa de que não exerce atividade que o enquadre na categoria de segurado obrigatório.

Atendendo os pré-requisitos estabelecidos acima, a pessoa física é Cadastrada ao Cadastro Nacional de Informações Sociais – CNIS.

A pessoa física é identificada no CNIS por intermédio de um NIT Previdência ou NIT PIS/ PASEP/SUS ou NIS – Número de identificação Social, que é emitido pela Caixa Econômica Federal.

Inscrição de Segurado post mortem

O Decreto 3.048/99, em sua redação original, vedou expressamente a inscrição post mortem do empregado e trabalhador avulso. Contudo, isso não trata a inscrição do segurado especial. Contudo, é ilegal conforme Lei 8.213/91, contudo existem jurisprudências a favor do segurado especial uma vez que reconhecida a qualidade de segurado do falecido.

Inscrição de Dependentes

De acordo com o art. 17 § 1º, da lei de benefícios e o art.22 do decreto n.3.048/99, com a redação conferida pelo decreto n. 4.079/2002, a inscrição do dependente do segurado será promovida quando do requerimento do benefício a que tiver direito, mediante apresentação dos seguintes documentos:
– Para os dependentes preferenciais:

  • a) cônjuge e filhos: Certidões de casamento e nascimento;
  • b) Companheira ou companheiro: documento de identidade e certidão de casamento com averbação de separação judicial ou divórcio, quando um dos companheiros ou ambos já tiverem sido casados, ou de óbito, se for o caso; e
  • c) Equiparado a filho: Certidão judicial de tutela e, em se tratando de enteado, certidão de casamento de segurado e de nascimento do dependente;

– Para os pais: Certidão de nascimento do segurado e documentos de identidade dos mesmos; e
– Para os Irmãos: Certidão de nascimento.

Para inscrição dos pais ou irmãos, estes deverão comprovar a inexistência de dependentes preferenciais, mediante declaração firmada perante o INSS, na forma do art. 24 do Decreto n. 3.048/99.

Você sabia que o Portal Consignados é especialista em empréstimo consignado?

Com mais de 17 anos no Mercado de Empréstimo Consignado e com uma equipe treinada para lhe auxiliar na melhor decisão, no entanto o Portal Consignados trabalha em parceria com diversos bancos para lhe oferecer sempre o melhor negócio.

Redução na Taxa de Juros no Empréstimo Consignado

Muito se falava sobre a redução na taxa de juros no Empréstimo Consignado e o Governo anunciou nesta última segunda-feira, 03 de Abril, um pacote de redução. Esse pacote limitará a taxa máxima para empréstimo consignado e cartões de Crédito. Conheça mais sobre a redução de juros no empréstimo consignado e suas vantagens agora!

Redução na Taxa de Juros + Vantagens

Veja como ficou:

  • Empréstimo Consignado: Taxa Máxima de 2,14% a.m
  • Juros do Rotativo do Cartão de Crédito Consignado: 3% a.m

Pacote de Incentivo a Classe Média

O Governo, vendo a classe média tomada por juros e a economia estagnada devido ao grande grau de endividamento, reduziu a taxa de juros cobrada pelas instituições financeiras na modalidade consignado.

REDUÇÃO NA TAXA DE JUROSA ideia é que o cidadão busque o crédito consignado a fim de trocar juros maiores por juros menores.

Ainda pode haver mudanças

Uma outra medida divulgada nos bastidores é em relação ao prazo. Diante disso, foi estudada a possibilidade de alongar para 120 (cento e vinte) meses para pagar.

Categorias como os Servidores Federais estão aguardando um prazo maior ainda que seria de 130 (cento e trinta) meses para pagar.

De certo mesmo, é que essa definição em relação aos prazos possa ocorrer ainda esta semana. Sem dúvida é mais uma medida do governo em reter a recessão e conter o endividamento da família brasileira.

Mudança Imediata

Para quem está buscando um empréstimo consignado hoje, certamente já percebeu que os juros caíram. Isso já é uma realidade.

Muitas pessoas me perguntam no blog sobre Refinanciamento e Portabilidade e se a redução da taxa de juros iria interferir nestes produtos também. A resposta é SIM.

Quem tem Contratos em andamento podem refinanciar já com as novas taxas de juros.

O mesmo ocorre para os clientes que desejam portar seus contratos, pois eles poderão se beneficiar com a taxa de juros menores.

Refinanciamento

O Refinanciamento nada mais é do que uma conta básica de matemática:

(Valor atual do contrato) – (Saldo devedor) = Valor a liberar ao cliente

Ou seja, se o valor do contrato anterior estava baseado em uma taxa de juros de 2,4% e agora está baseado em uma taxa de 2,14%, o valor do contrato atual será maior.

O contrato atual sendo maior sobra mais dinheiro para o cliente, uma vez que o saldo devedor não muda.

Portabilidade

A portabilidade atende a mesma regra que o Refinanciamento. O que muda é que quem paga o saldo devedor é a instituição para aonde está se portando o contrato.

Devo Refinanciar ou Portar meus Contratos Então?

O que recomendamos é que sempre recorra ao crédito consignado quando for necessário. E não é porque a taxa de juros caiu que você tem que refinanciar seus contratos. Faça isso quando necessário.

Pessoalmente, eu aguardaria até que seja definido a questão prazo, até porque existe uma chance muito grande desta semana ainda o prazo também mudar, o que daria uma margem ainda maior para você, porque aumentando o prazo aumenta o valor liberado também.

Cuidados Especiais a se tomar

Entenda que ao alongar seu empréstimo consignado o total a prazo ficará maior também, não ache que será diferente.

Outro fator importante é que ao alongar seu contrato para 120 meses por exemplo, o prazo para refinanciar ele depois será mais longo, em média 36 parcelas pagas para poder refinanciar.

É verdade que ainda estamos aguardando uma definição nas regras de prazos. No entanto, como é dada como certa essa mudança, recomendamos que se possível só a utilize caso seja extremamente necessária.

Entendemos que a redução na taxa de juros do empréstimo consignado é uma vitória sim, mas deve ser utilizada com muita cautela.

Você sabia que o Portal Consignados é especialista em empréstimo consignado?

Com mais de 17 anos no Mercado de Empréstimo Consignado e com uma equipe treinada para lhe auxiliar na melhor decisão, no entanto o Portal Consignados trabalha em parceria com diversos bancos para lhe oferecer sempre o melhor negócio.

Dependentes de Segurados do INSS

Dependentes são as pessoas que, embora não estejam contribuindo para a Seguridade Social, mas tenham vínculo familiar com o segurado, a lei determina que tenham direito :

  • Pensão por morte;
  • Auxilio-reclusão;
  • Serviço Social;
  • Reabilitação Profissional.

Dependentes de Segurados do INSS – Quem pode ser?

Dependente é uma pessoa economicamente subordinada ao segurado.

Dependentes de Segurados do INSSClasses de Dependentes do INSS

Os dependentes são divididos em três classes, de acordo com os parâmetros previstos no art. 16 da lei n. 8.213/1991, com redação atual dada pela Lei n. 13.146, de 06/07/2015:

  • Classe I – O Cônjuge, a companheira, o companheiro e o filho não emancipado, de qualquer condição, menor de 21 anos ou inválido ou que tenha deficiência intelectual ou mental ou deficiência grave;
  • Classe II – Os pais;
  • Classe III – O irmão não emancipado, de qualquer condição, menor de 21 anos ou inválido ou que tenha deficiência intelectual ou mental ou deficiência grave.

O atual Código Civil, Lei n. 10.406, de 10 de janeiro de 2002, reduziu para 18 anos completos a idade que cessa a menoridade, ficando a pessoa habilitada à prática de todos os atos da vida civil, e reduziu também a idade para a emancipação para 16 anos completos.

No entanto, são equiparados filhos o enteado e o menor que esteja sob tutela e não possua bens suficientes para o próprio sustento.

Comprovação para acesso aos Benefícios

A Comprovação nestes casos é feita por escrito através de uma declaração juntamente com a comprovação da dependência econômica, por exemplo através de comprovante de pagamentos:

  • Escola
  • Médico
  • Remédios
  • Mercado

Para fins comprobatórios vale lembrar que sempre é bom ter o depoimento por escrito de pelo menos duas testemunhas.

No entanto, é importante salientar que que a falta de prova documental não é por si só elementos que possam excluir um beneficiário, uma vez que haja elementos que o Juiz possa aferi-la.

Hipóteses de Cessação de Dependência 1

As hipóteses em que ocorre a cessação da dependência estão previstas no art. 77 da Lei n. 8.213/1991, com a redação conferida por sucessivas alterações legislativas:

Art.17 – A Pensão por Morte, havendo mais de um pensionista, será rateada entre todos em parte iguais. (Redação dada pela lei n. 9.032, de 1995)

  • 1º Reverterá em favor dos demais a parte daquele cujo direito à pensão cessar.
  • 2º O Direito à percepção de cada cota individual cessará :
  • I – Pela morte do Pensionista;
  • II – Para o filho, a pessoa a ele equiparada ou o irmão, de ambos os sexos, pela emancipação ou ao completar 21 anos de idade. Salvo se o mesmo for inválido ou tiver deficiência intelectual ou mental ou deficiência grave;
  • III – Para o filho ou irmão inválido, pela cessação da invalidez;
  • IV – Para o filho ou irmão que tenha deficiência intelectual ou mental ou deficiência grave, pelo afastamento da deficiência, nos termos do regulamento;
  • V – Para o cônjuge companheiro:

Hipóteses de Cessação de Dependência 2

  1. Se inválido ou com deficiência, pela cessação da invalidez ou pelo afastamento da deficiência, respeitados os períodos mínimos decorrentes da aplicação das alíneas “b” e “c”;
  2. Em 4 (quatro) meses, se o óbito ocorrer sem que o segurado tenha vertido 18 (dezoito) contribuições mensais ou se o casamento ou a união estável tiverem sido iniciados em menos de 2 (dois) anos antes do óbito do segurado;
  3. Transcorridos os seguintes períodos, estabelecidos de acordo com a idade do beneficiário na data óbito do segurado. Se o óbito ocorrer depois de vertidas 18 (dezoito) contribuições mensais e pelo menos 2 (dois) anos após o início do casamento ou da união estável:
  4. 3 anos, com menos de 21 anos de idade;
  5. 6 anos, entre 21 e 26 anos de idade;
  6. 10 anos, entre 27 e 29 anos de idade;
  7. 15 anos, entre 30 e 40 anos de idade;
  8. 20 anos, entre 41 e 43 anos de idade;
  9. Vitalícia, com 44 anos ou mais de idade.

No entanto, á respeito do tema, envolvendo também o RPPS, o STF garantiu o pagamento de pensão à neta de servidora pública que morreu no momento em que detinha a guarda da criança.

Você sabia?

Com mais de 17 anos no Mercado de Empréstimo Consignado e com uma equipe treinada para lhe auxiliar na melhor decisão, no entanto o Portal Consignados trabalha em parceria com diversos bancos para lhe oferecer sempre o melhor negócio.

Quais são os segurados do regime geral da Previdência Social?

Os Segurados da Previdência Social de forma compulsória, é a pessoa física que exerce atividade remunerada, seja de forma efetiva ou eventual, seja de natureza urbana ou rural, conforme art. 9º do Decreto n. 3.048/99.

Segurados da Previdência Social

Existem duas espécies de segurados,Conforme exemplo ilustrativo abaixo: os obrigatórios e os facultativos.

SEGURADOS DO REGIME GERAL DE PREVIDÊNCIA SOCIALSegurados Obrigatórios

OBRIGATÓRIOSSegurados obrigatórios são aqueles que devem contribuir compulsoriamente para a seguridade social, com todos os direitos aos benefícios que lhe cabem, como por exemplo:

  • Aposentadoria
  • Pensões
  • Auxílios
  • Salario Família
  • Salario Maternidade

Tem direito também aos serviços que a previdência oferece aos seus segurados, como por exemplo:

  • Reabilitação Profissional
  • Serviço Social

Tais serviços são oferecidos pela Previdência sem nenhum ônus ao segurado.

Empregado Urbano e Rural

Segundo o art. 3º da consolidação das Leis do Trabalho, empregado é a pessoa física que presta serviços de natureza não eventual ao empregador, sob a dependência deste e mediante salário.

Contudo, o Conceito de empregado adotado pela Legislação do RGPS abrange tanto o trabalhador urbano quanto o rural.

O que caracteriza o vínculo do empregado, por exemplo cujo pressupostos são:

  • Ser pessoa Física e realizar trabalho de modo personalíssimo;
  • Prestar Serviço de natureza não eventual;
  • Ter Afã de receber salario pelo serviço prestado;
  • Trabalhar sob dependência do empregador(subordinação).

Ademais, estes não são requisitos essenciais para a caracterização da relação de emprego:

  • A Exclusividade;
  • Trabalho em estabelecimento do empregador;
  • Trabalho diário;
  • Trabalho mediante salario fixo

No entanto, existem casos aonde não há como caracterizar vínculo de trabalho, aos quais, por exemplo, iremos detalhar:

  • Sindico de Condomínio;
  • Cooperativas;
  • Boias-frias;
  • Residência médica;
  • Estágio curricular ou comunitário e bolsas de estudo;
  • Ministros de confissão religiosa;
  • Pedreiros de mão de obra eventual

Empregado Doméstimo

O empregado doméstico é aquele que presta serviço de forma continua, subordinada, onerosa e pessoal e de finalidade não lucrativa á pessoa ou família, no âmbito residencial por mais de dois dias por semana, conforme art. 1º da LC n. 150/2015.

Contudo, o pressuposto básico desta relação de emprego é:

  • Natureza contínua;
  • Finalidade não lucrativa;
  • Serviço prestado em âmbito residencial.

Contribuínte Individual

O contribuinte individual é a pessoa que contribui de forma voluntária a Previdência Social . Portanto, conforme a Lei n. 9.876, de 26 de Novembro de 1999, criou-se uma categoria para englobar os seguintes segurados:

  • Empresários;
  • Autônomos;
  • Equiparados a Autônomos;
  • Prestador de Serviços;
  • Aposentado;
  • Membros de Cooperativas;
  • Micro Empreendedor Individual.

Trabalhador Avulso

Primeiramente, o conceito de trabalhador avulso, adotado pela legislação previdenciária é o da pessoa que, sindicalizada ou não, presta serviço de natureza urbana ou rural a diversas empresas.

Portanto, não possui vínculo empregatício com qualquer delas, com intermediação obrigatória do órgão gestor de mão de obra, nos termos da Lei n. 8.630, de 25/02/1993, ou do sindicato da categoria.

Segurado Especial

Contudo, considera-se Segurado Especial a pessoa física residente no imóvel rural ou em aglomerado urbano ou rural próximo a ele que, individualmente ou em regime de economia familiar, ainda que com o auxilio eventual de terceiros, a título de mútua colaboração na condição de:

  • Produtor
  • Agropecuarista
  • Pescador Artesanal
  • Cônjuge companheiro
  • Parceiro Produtor
  • Meeiro
  • Arrendatário
  • Comodatário
  • Condômino
  • Mariscador
  • Índios em via de integração ou isolado

Segurado Facultativo

FACULTATIVOSContudo, o segurado facultativo é a pessoa que não se enquadra em nenhuma situação que a lei a obrigue a se filiar ao RGPS, portanto, sua filiação não é obrigatória, mas mesmo assim, tais pessoas podem contribuir voluntariosamente a previdência social desde que tenham mais de 14 anos e não estejam filiadas a nenhum outro regime de previdência. Por exemplo:

  • Dona de casa;
  • Síndico;
  • Estudante;
  • Brasileiro que acompanha cônjuge que presta serviço no exterior.

Contudo, também podem ser classificados como Segurados Facultativos:

  • Membro de conselho tutelar;
  • Bolsista;
  • Presidiário;
  • Brasileiro residente ou domiciliado no exterior;
  • Beneficiário de auxilio acidente.

Menoridade e a Filiação com Segurado

Enfim, considera-se menor, para os efeitos da legislação previdenciária e trabalhista, a partir da emenda constitucional n. 20 de 15/12/1998, o trabalhador de 14 a 18 anos, sendo vetado ao trabalhador menores de 16 anos o trabalho noturno ou insalubre.

Aposentado que retorna a Atividade

Ademais, o aposentado pelo RGPS que estiver exercendo ou que voltar a exercer atividade abrangida por este Regime é segurado obrigatório, em relação a estas atividade, ficando sujeito as contribuições de que trata a lei n. 8.212/91.

Você sabia?

Com mais de 17 anos no Mercado de Empréstimo Consignado e com uma equipe treinada para lhe auxiliar na melhor decisão, no entanto o Portal Consignados trabalha em parceria com diversos bancos para lhe oferecer sempre o melhor negócio.

Contribuintes da Seguridade Social

Os contribuintes da seguridade social possuem diferenças significativas. Contudo, não podemos confundir contribuintes de “segurados”, no âmbito do Direito Previdenciário é definido da seguinte forma:

  • Sujeito passivo da obrigação principal é a pessoa obrigada ao pagamento de tributo ou penalidade pecuniária(art. 121, capult);
  • Sujeito Passivo da obrigação acessória é a pessoa obrigada ás prestações que constituam o seu objeto (art.122).

Sujeito passivo da obrigação principal pode assumir a condição de contribuinte ou responsável. Por exemplo, um sujeito passivo seria:

  • Segurados Empregados
  • Empregados domésticos
  • Trabalhadores Avulsos

Contribuintes da Seguridade Social

O Contribuinte passivo pode assumir a condição de contribuinte ou responsável. Nos casos acima os segurados não são responsáveis pelo recolhimento de suas contribuições previdenciárias.

Contudo, cabe ao empregador e ou tomar de serviço recolher suas contribuições. (art. 30, incisos I e V, da lei n. 8.212/91).

A Constituição estabelece quem deverá contribuir para a Seguridade Social, no Art. 195, I, II, III e IV:

  • O Empregador, a empresa e a entidade a ela equiparada;
  • Os Trabalhadores segurados da previdência social, conforme suas categorias (empregado, empregado doméstico, trabalhador avulso, contribuinte individual e segurado especial);
  • Os apostadores de concursos de prognósticos;
  • O Importador de bens ou serviços do exterior, ou de quem a lei a ele se equiparar.

Segurados da Previdência Social

Os segurados da Previdência social são os principais contribuintes do sistema de seguridade social prevista na ordem jurídica nacional. No entanto, suas contribuições são revertidas ao fundo comum.

Contudo, para ter acesso aos benefícios, deverá ter contribuído pelo menos a 18 meses.

Os segurados são classificados entre os segurados obrigatórios e facultativos.

Os segurados obrigatórios a lei exige que haja contribuição sobre seus rendimentos mensais. No entanto, poderão ser definidos como:

Empregado, empregado doméstico, contribuinte individual, trabalhador avulso e segurado especial, conforme art. 12 da Lei n. 8.212/91.

Um dos grandes gargalos da previdência social é a falta de fiscalização na contribuições dos trabalhadores autônomos, rurais e ou prestadores de serviços. Contudo, nestes casos a contribuição é obrigatória, mas não existe nenhuma cobrança efetiva.

Os segurados Facultativos são aqueles que não tem um regime de previdência próprio e para fazer jus aos benefícios da previdência devem contribuir de forma avulsa.

Empresas e Entidades equiparadas

De acordo com o art. 15, inciso I, da lei n. 8.212/91, considera-se empresa para fins de aplicação a legislação ou de custeio, a firma individual ou sociedade que assume o risco de atividade urbana ou rural, com fins lucrativos ou não.

Também fazem parte órgãos e entidades da administração direta, indireta e fundamental. Ademais, só se exercerem atividades de cargo de comissão, empregados públicos e contratados temporários filiados ao RGPS (Regime Geral da Previdência Social).

Matrícula da empresa, do produtor rural pessoa física e do segurado Especial

A matrícula é o ato pelo qual são cadastradas como contribuintes da Seguridade Social, o que é obrigatório conforme lei n. 8.212/91 art. 49 e regulamentado pelo Decreto n.6.722/2008.

Contribuintes

Empregador Doméstico

O empregador doméstico é a pessoa física que admite a seu serviço, mediante remuneração, sem finalidade lucrativa, empregado doméstico por mais de dois dias por semana.

Contudo, o empregador doméstico é contribuinte mas não segurado. Ademais, apenas será segurado quem exercer atividade que o enquadre como segurado obrigatório ou venha contribuir como segurado facultativo.

Apostadores de Concursos de Prognósticos

A contribuição social incide sobre as apostas feitas, cabendo a pessoa jurídica responsável pelo concurso fazer o recolhimento, não podendo ser retirada do apostador.

Conclusão

Contudo, este artigo tem como objetivo orientar e esclarecer quem deve contribuir a previdência social e de quem é a responsabilidade de recolher as devidas contribuições.

No entanto, no cotidiano passamos por diversas situações as quais nos colocamos em risco.

Exemplo: contratar um pintor, uma doméstica ou ir a uma consulta médica. Contudo, nestes casos devemos se atentar em quem deve recolher e o que implica e não o faze-lo.

No passado achava engraçado quando meu pai ao contratar um pedreiro pedia que lhe apresenta-se o carne do INSS, e ao efetuar o pagamento meu pai descriminava os valores considerando o recolhimento realizado pelo pedreiro ao INSS.

Meu pai ao fazer isso, estava garantindo que se caso houvesse algum acidente de trabalho o profissional poderia recorrer ao INSS. Por ele ser contribuinte e ao descriminar os valores a serem pagos pelo profissional a previdência, demonstrava boa fé e não conivência a sonegação.

Você sabia?

Com mais de 17 anos no Mercado de Empréstimo Consignado e com uma equipe treinada para lhe auxiliar na melhor decisão, no entanto o Portal Consignados trabalha em parceria com diversos bancos para lhe oferecer sempre o melhor negócio.

Organização da Seguridade Social

O papel da Previdência social no Brasil é de vital importância para entender a organização da Seguridade Social. Contudo, este artigo ajudará a você contribuinte a tomar as decisões pertinentes a respeito de sua aposentadoria.

A Seguridade Social depende de um conjunto de ações de poderes públicos e da sociedade nas área de saúde, previdência e assistência social. No entanto, apesar de não haver uma disciplina adequada do que a legislação chama de Sistema Nacional de Seguridade Social (Lei 8.212/91, art.5º), existe certa estrutura administrativa que tem por atribuição, executar politicas no âmbito da segurança social.

Organização da Seguridade Social

No entanto, a estrutura da Seguridade Social é feita da seguinte forma:

  • Conselhos Setoriais de Previdência (CNPS)
  • Conselho Nacional da Saúde (CNS)
  • Conselho Nacional da Assistência Social (CNAS)
  • INSS
  • Superintendência Nacional de Previdência Complementar (PREVIC)
  • DataPrev
  • Central de Medicamentos (CEMI)

Dentro da estrutura do Poder Executivo, os ministérios da área social são os responsáveis pelo cumprimento das atribuições que competem a União em matéria de Seguridade Social.

Ministérios da Seguridade Social

Ademais. se tratando de uma das maiores conquistas do povo brasileiro e de forma que haja uma proteção a tal conquistas, vários ministérios atual diretamente nas políticas e regras da Seguridade Social, os quais destacamos:

  • Ministério do Trabalho e Previdência Social
  • Ministério da Saúde
  • Ministério do Desenvolvimento Social e Combate a Fome

Instituto Nacional do Seguro Social

O Instituto Nacional do Seguro Social é uma autarquia federal vinculada ao ministério do Trabalho. Contudo, o INSS foi instituído com base na Lei. 8.029 de 12/04/1990 tendo como atribuições as seguintes funções:

  • Conceder e manter os benefícios e serviços previdenciários;
  • Emitir Certidões relativas a tempo de contribuição perante o RGPS;
  • Gerir os Recursos do Fundo do Regime Geral de Previdência Social;
  • Calcular o montante das contribuições incidentes sobre a remuneração e demais rendimentos dos trabalhadores, pelos empregadores, domésticos e pelas empresas com vistas a concessão ou revisão de benefício requerido.

Ademais, com a Lei 11.457/2007 o INSS foi transferido do Ministério da Previdência Social para a Secretaria da Receita Federal do Brasil, órgão este subordinado ao Ministério da Fazenda.

Conselho Nacional da Seguridade Social – CNSS

O CNSS foi extinto pela medida provisória n. 1.799-5/99. No entanto, era um órgão superior de deliberação colegiada, composto por representantes da União, dos Estados, do Distrito Federal, dos Municípios e da sociedade civil.

Conselho Nacional de Previdência Social – CNPS

O CNPS é um órgão de deliberação colegiada, composto de representantes do Governo Federal e da sociedade civil, num total de quinze (15) membros, conforme previsto no art. 3º da Lei n. 8.213/91, divididos da seguinte maneira:

  • (6) Seis Membros Representantes do Governo Federal
  • (9) Nove Membros Representantes da sociedade civil
  • (3) Três Membros Representantes dos Aposentados e Pensionistas
  • (3) Três Membros Representantes dos Trabalhadores
  • (3) Três Membros Representantes dos Empregadores

As indicações dos Membros dos Aposentados e Pensionistas, Trabalhadores e Empregadores são realizadas através das centrais sindicais e confederações nacionais, conforme art. 3º, § 2º, da Lei n. 8.213/91.

Conselho de Previdência Social – CPS

O Conselho de Previdência Social tem previsão no art. 296-A do Regulamento da Previdência Social, sendo representado por representantes do Governo e da Sociedade.

Conselho Nacional de Assistência Social – CNAS

O CNAS é o órgão da administração pública federal responsável pela coordenação política Nacional da Assistência Social. Contudo, é composto por 18 membros.

Criado pela Lei n. 8.742/93 tem como objetivo a participação do Governo e da sociedade civil de forma igualitária, descentralizada e participativa.

Conselho Nacional de Previdência Complementar – CNPC

O CNPC é o órgão com função de regular o regime de previdência complementar operado pelas entidades fechadas de previdência complementar. Contudo, é presidido pelo Ministro da Previdência Social e composto por:

  • Representantes da Superintendência Nacional de Previdência Complementar (PREVIC);
  • Secretaria de politicas de Previdência Complementar (SPPC);
  • Casa Civil da Presidência da República;
  • Ministérios da Fazenda e do Planejamento;
  • Orçamento e Gestão;
  • Entidades Fechadas de Previdência Complementar;
  • Patrocinadores e Instituidores de planos de benefícios das entidades fechadas de Previdência complementar e dos participantes e assistidos de Planos de benefícios das referidas entidades.

Conselho de Recursos da Previdência Social – CRPS

O CRPS é um órgão de controle jurisdicional das decisões do INSS, nos processos referentes a benefícios a cargo desta autarquia. Ademais, o CRPS é também um tribunal administrativo que tem por atribuição solucionar no âmbito não judicial, os conflitos entre a Autarquia Previdenciária e os beneficiários do Regime Geral da Previdência Social.

Conselho Administrativo de Recursos Fiscais – CARF

O CARF faz parte da estrutura do Ministério da Fazenda, constituído por seções e pela Câmara superior de Recursos Fiscais, foi pela medida provisória n. 449, de 3.12.2008, convertida na lei n. 11.941/2009, para atuar com atribuição de julgar recursos de oficio voluntários de decisão de primeira instancia, bem como recursos de natureza especial.

Considerações Finais

Contudo, apesar de problemática e muitas vezes temos a sensação que a Seguridade Social no Brasil é engessada. No entanto, sua estrutura organizacional é muito complexa e idealizada a fim de ter a participação de todos os envolvidos, seja o contribuinte ou o empregador, o Governo ou as centrais sindicais. Contudo, ao entender sua estrutura, notamos que os problemas são mais políticos do que administrativos e sua função em nossa sociedade é fundamental para as gerações passadas e futuras.

O Portal da Previdência social poderá lhe orientar com relação a diversos serviços ao cidadão.

Seguridade Social

Seguridade Social

Você sabia que o Portal Consignados é especialista em empréstimo consignado?

Com mais de 17 anos no Mercado de Empréstimo Consignado e com uma equipe treinada para lhe auxiliar na melhor decisão, no entanto o Portal Consignados trabalha em parceria com diversos bancos para lhe oferecer sempre o melhor negócio.

Lei 13135/2015. E como ficam os Empréstimos à Pensionistas?

Conheça sobre o que diz a lei nº 13135 de 2015 e qual é a relação desta lei com o empréstimo para os pensionistas. Entenda o que essa lei influencia no na modalidade de empréstimos para pensionistas.

Lei 13135/2015 causa problemas no Empréstimo para Pensionistas

Após a alteração da Lei 13135/2015 que implica nos benefícios de código 01, 21 e 93, os pensionistas deixam de ter um benefício vitalício caso sua concessão seja com data antes dos 44 anos de idade.

No entanto, começa a valer uma regra de cálculo contada a partir da data de óbito do contribuinte, conforme tabela abaixo:

Idade do Beneficiário na data do óbito

Prazo do Benefício

Abaixo de 21 anos

3 anos

Entre 21 e 26 anos

6 anos

Entre 27 e 29 anos

10 anos

Entre 30 e 40 anos

15 anos

Entre 41 e 43 anos

20 anos

A partir de 44 anos

Vitalício

Contudo, por questões de zelo, a maioria das instituições financeiras estão utilizando como base a idade de 64 anos. Contudo, isso significa que abaixo desta idade, para se fazer empréstimo consignado, é necessário tomar algumas medidas. Contudo, essas medidas servirão para comprovar a instituição financeira que o prazo do contrato está dentro do prazo do benefício.

No entanto, para pensionistas que tiveram sua concessão entre a medida provisória 664/2014 que já determinava tais mudanças, permanecem na regra antiga.

Somente após a Lei 13135/2015 que começou a valer a regra nova. Contudo, caso tenha seu empréstimo consignado negado por conta desta alterações e sua concessão seja anterior a nova Lei, existem alternativas.

Sou Pensionista e tive meu Empréstimo Consignado Negado e Agora?

Algumas instituições financeiras já estão tomando alguns cuidados em relação a Pensionistas que estão com dificuldade em renovar seus empréstimos ou até mesmo contratar novos empréstimos. Por esse motivo, existem saídas para este problema.

É de vital importância ter sua carta de concessão em mãos na hora de contratar seu empréstimo consignado. Essa regra valerá caso tenha menos de 64 anos.

A Carta de Concessão irá demonstrar às Instituições financeiras, a data a qual foi concedida sua Pensão. Se for anterior a Lei 13.135/2015, você mesmo fora da carência, poderá contratar seus empréstimos consignados sem problema algum.

No entanto, a carta de concessão pode ser obtida no site da previdência social, basta informar seus dados. No entanto, caso tenha dificuldades em acessar ou obter a carta de concessão pode solicitar ao seu agente de crédito que o faça.

Para os pensionistas que tiveram sua concessão após a Lei 13135/2015, vale a regra conforme tabela acima. Portanto, o prazo do seu contrato deve estar dentro do prazo do benefício e pode ser pleiteado desde que apresente a carta de concessão.

Lei 13135/2015 Considerações Finais

Minha opinião pessoal a respeito da Lei 13135 /2015 é que infelizmente a discussão seja a perda de direitos adquiridos e não como resolver o déficit da previdência. Ainda não avançamos na rentabilidade dos pagamentos realizados por segurados da ativa.

Atualmente, milhões de trabalhadores contribuem para a Previdência Social. No entanto, seus depósitos não rentabilizam como um fundo de pensão privada.

Por exemplo:

Contudo, entendo que a balança atualmente esteja totalmente desregulada, ou seja, se paga mais do que se arrecada. Contudo, não seria a hora de colocar limites nisso?

A culpa da desproporcionalidade não seria da falta de planejamento de nossos governantes passados?

Porque não se faz de forma progressiva também a rentabilidade do recurso arrecadado? Isso não possibilitaria novas gerações a uma aposentadoria ou pensão com mais dignidade?

Ademais, se existe o Fator Previdenciário o qual limita conforme contribuição o pagamento do Benefício, porque não existem limites para o gasto das contribuições atuais?

No entanto, não seria simples estabelecer que durante 10 anos, pois a Previdência utilizaria 90% das arrecadações para pagar os benefícios atuais e os 10% restantes estariam rentabilizando em operações como o empréstimo consignado por exemplo?

Contudo, fico imensamente triste com os caminhos que a previdência vem tomando. Me preocupo com meu filho e com as gerações futuras que correm o risco de não terem a oportunidade que seus avós tiveram.

Você sabia que o Portal Consignados é especialista em empréstimo consignado?

Com mais de 17 anos no Mercado de Empréstimo Consignado e com uma equipe treinada para lhe auxiliar na melhor decisão, no entanto o Portal Consignados trabalha em parceria com diversos bancos para lhe oferecer sempre o melhor negócio.

Regime Previdenciário no Brasil

O Regime Previdenciário é utilizado pelo cidadão brasileiro a fim de garantir tanto uma aposentadoria como resguardar os familiares e/ou dependentes.

Existem vários regimes previdenciários. Contudo, neste artigo iremos destacar os principais.

Regime Geral de Previdência Social – RGPS

O RGPS (Regime Geral de Previdência Social) é o principal método de previdência utilizado no Brasil.

No entanto, por ser obrigatório, atinge todos os trabalhadores da iniciativa privada que possuem relação de emprego regida pela CLT. Também atinge aqueles trabalhadores em condições especiais conforme Lei complementar 150/2015 e pela lei 5.899/73.

A previdência faz parte da cultura do povo brasileiro. Ademais, estudos confirmam que cerca de 86% da população contribui para algum tipo de previdência.

Regime Previdenciário dos Agentes Públicos ocupantes de Cargos Efetivos e Vitalícios

Há muitos anos que a aposentadoria dos servidores públicos era vista como um “prêmio” pelos serviços prestados.

Em razão de tais distorções conceituais, a aposentadoria do servidor público possui graves problemas. Um exemplo clássico disso pode ser apresentada na Lei orgânica da magistratura Nacional (LC 35/79).

A LC 35/79 especifica como punição por falta grave a aposentadoria do servidor público.

Uma das maiores discrepâncias deste regime previdenciário seria ao invés de demitir por justa causa um trabalhador de empresa privada, lhe punisse com a aposentadoria.

Como resultado, a Lei 8.112/90 dispõe sobre o regime jurídico dos servidores da União, autarquias e fundações públicas federais. Em caso de “Pena Grave”, os servidores aposentados poderão até mesmo perder sua aposentadoria.

Mesmo a aposentadoria sendo um direito fundamental, não consta no Regime Geral da Previdência Social o cancelamento a não ser que seja comprovado fraude ou erro na concessão.

Vale ressaltar que a aposentadoria dos servidores públicos sempre foi diferenciada dos trabalhadores da iniciativa privada, tanto nas regras quanto na base de cálculo da remuneração.

Após a Emenda Constitucional n.20 de 15.12.1998, foi estabelecido que os servidores públicos deveriam ter seu regime previdencial próprio.

Por exemplo:

  • Servidores Federais = SIAPE
  • Trabalhadores da Iniciativa Privada = INSS
  • Servidor do Governo do Estado de SP = SPPREV

Regime Previdenciário Complementar

Como já apresentado neste artigo, a Previdência Social no Brasil é composta por:

  • Regime Geral da Previdência Social;
  • Regimes Próprios de Agentes Públicos;

Todos estes regimes em sistema de repartição compulsório geridos pelo poder público, que cobrem perda da capacidade de gerar meios para a subsistência até o valor teto.

 Até a criação da Emenda Constitucional n. 20, a previdência complementar era tratada de forma pouco objetiva, oferecendo como alternativa a criação de um seguro que seria pago com contribuições adicionais.

Nos artigos 40 e 202 o regime de Previdência complementar passa a ter autonomia , permitindo se criar fundos de capitalização, aplicando assim as contribuições do trabalhador a fim de proporcionar rendimentos futuros.

Diferentemente da Previdência Oficial, a Previdência Complementar é facultativa e não obrigatória. Contudo, ela não desobriga o trabalhador a contribuir com a previdência oficial.

A previdência complementar tem como órgão fiscalizador a PREVIC (Superintendência Nacional de Previdência complementar), órgão criado pela lei 12.154 de 23.12.2009.

As entidades de previdência complementar se dividem em fechadas e abertas.

A entidade de previdência complementar fechada não tem fins lucrativos, ou seja, o ganho de capital com a aplicação das contribuição do fundo é distribuído entre os segurados.

Previdência Social é seguro para todos?

É correto dizer segurado, pois a previdência social é um seguro.

A entidade de previdência complementar aberta é explorada economicamente por Seguradoras e Instituições financeiras, a chamada “Previdência Privada”. Com certeza você já viu no seu banco.

Na previdência complementar aberta, é comum se utilizar papéis da bolsa e da dívida pública a fim de se obter maiores ganhos. Neste modelo de Previdência, ainda se pode escolher a forma de tributação dos ganhos obtidos, o VGBL ou PGBL.

  • PGBL (Plano gerador de benefício Livre) Todas as contribuições podem ser deduzidas do Imposto de Renda, sendo pago o Imposto de Renda somente no saque.
  • VGBL (Vida gerador de benefício Livre) Nele, o imposto de renda é deduzido da rentabilidade.

Vale ressaltar que o regime de previdência privada deve ser analisado conforme perfil do trabalhador. Não existe um modelo melhor ou pior, existe um modelo ideal para o seu perfil. Consulte um especialista em previdência privada junto ao seu banco.

Regime Previdenciário dos Militares das Forças Armadas

Os militares das Forças Armadas deixaram de ser considerados servidores públicos conforme Emenda constitucional n. 18 de 05.02.1998. Por este motivo, seu regime de Previdência Social é especifico.

Uma das diferenças mais importantes é que mesmo aposentado, o militar pode sofrer reajustes salariais conforme sua graduação e patente. Portanto não é necessário estar na ativa para ter sua patente melhorada. O reflexo disso é um reajuste conforme o piso estabelecido devido a sua patente.

Os militares das forças armadas contribuem apenas para fins de pensão por morte (7,5% do saldo), ou seja, os proventos de reserva remunerada e de reforma são pagos pela União.

Dados apontam que a sustentabilidade do regime de Previdência dos militares é a menor de todos os outros regimes apresentados neste artigo.

Simulações mostram que para custear 100% a Previdência Militar, o governo deveria arcar com 25% e cada membro das forças armadas com 16%.

Atualmente, devido ao grande número de militares em reserva e sua aposentadoria em muitos casos precoce, é um grande problema para os cofres públicos pois a conta não fecha.

Você sabia que o Portal Consignados é especialista em empréstimo consignado?

Com mais de 17 anos no Mercado de Empréstimo Consignado e com uma equipe treinada para lhe auxiliar na melhor decisão, no entanto o Portal Consignados trabalha em parceria com diversos bancos para lhe oferecer sempre o melhor negócio.

Novas Regras Previdenciárias

Quais são as Novas Regras Previdenciárias? Devemos sentir medo com essas mudanças que virão? Continue lendo para saber o que mudou!

Após a Lei 13.183/2015, vieram a tona um dos grandes assuntos que vem atormentando a milhares de brasileiros. Contudo, o fator previdenciário, que tem sido colocado como o grande vilão pelos nossos governantes.

Questões como por exemplo:

  • critério de elegibilidade das prestações em fase da redução de taxas natalidade e aumento de expectativa de vida,
  • mudanças no mercado de trabalho
  • aumento de brasileiros na informalidade e ou como empreendedores individuais.

Com a Lei 13.183, mudam muitas coisas para o contribuinte do INSS.

Primeiramente, vamos destacar abaixo as principais mudanças e como elas podem afetar você.

Novas Regras Previdenciárias – Entenda

Fórmula 95/85 do fator Previdenciário

 Os trabalhadores não necessitam ter uma idade mínima. No entanto, basta comprovar 35 anos de tempo de contribuição para homens e 30 anos para mulheres, além da carência de 180 meses.

Já os servidores públicos que optaram por regimes próprios de previdência, além do tempo de contribuição, é necessário ter no mínimo 60 anos se homem e 55 se mulher.

Lei 9.876/99

O fator Previdenciário criado pela lei 9.876/99, em razão da não aprovação da idade mínima para o RGPS, não impede a concessão da aposentadoria por tempo de contribuição.

O que muda é quanto mais cedo se dá entrada menor será o valor a se receber. No entanto, a perda, na maioria das vezes, pode corresponder até 40% do valor do benefício. Uma herança das novas Regras Previdenciárias.

Lei 13.183/2015

Para tentar reduzir o déficit na Previdência, o governo criou uma forma de cálculo onde leva-se em consideração a idade mínima, ficando definido da seguinte forma:

Idade + tempo de contribuição, no entanto, para os homens tem que atingir 95. Já, para as mulheres 85.

Por exemplo:

  • Idade: 60 anos
  • Tempo de Contribuição: 35
  • Soma = 95 anos

No entanto, o grande problema é que esses números vão aumentando ponto a ponto até 2026, conforme tabela abaixo:

  • 2018 = 96 e 86
  • 2020 = 97 e 87
  • 2022 = 98 e 88
  • 2024 = 99 e 89
  • 2026 = 100 e 90

Na prática, com as Novas Regras Previdenciárias, a aposentadoria por tempo de contribuição ainda pode ser requerida sem idade mínima, desde que seja aplicado o fator previdenciário com perda salarial.

Dos Auxílios

Auxílio doença

A MP 664/2014, convertida na Lei n. 13.165/2015, estabelece que o auxílio doença não poderá ser calculado mais sobre a média dos últimos 12 meses de salario como era calculado anteriormente.

No entanto, passa a valer o valor do último salario, o que é questionado devido a não incorporação de benefícios adicionais que o trabalhador possa ter em sua renda, como por exemplo comissões, e etc.

Pensão Por Morte

Uma alteração importante pela lei 13.135/2015 foi a quebra da vitaliciedade da pensão. Ademais, essa lei passa a valer à partir de 15/01/2015, de acordo com a data de óbito do cônjuge ou companheiro.

O segurado deve ter contribuído pelo menos por 18 meses. Contudo, o mesmo já deverá ter iniciado a contribuição no mínimo há dois anos, anterior a data do óbito.

Uma exceção para as Novas Regras Previdenciárias existe somente para casos de morte acidental.

No entanto, a vitaliciedade é valida ainda para quando o cônjuge ou companheiro possuir mais de 44 anos de idade na data do óbito, mas ainda é necessário que o segurado tenha contribuído pelo menos há 18 meses.

Contudo, as hipóteses de concessão acumuladas e perda do direito à pensão por morte previstas pelo Regime Geral de Previdência Social, também foram reproduzidas em grande parte para dependentes, conforme alterações em lei 13.135/2015 na Lei 8.112/90 (arts.215 a 225).

Conclusão

Infelizmente, devido a má gestão da administração dos recursos recebidos dos segurados do INSS e a falta de investimento em políticas que proteja o destino dos tais, fazem com que os direitos adquiridos em lutas passadas pela classe trabalhadora, passe por tais transformações.

Mais uma vez os contribuintes do INSS tem assistido de perto a desvalorização dos rendimentos e com essas mudanças as novas gerações terão muito mais esforço para requerer sua aposentadoria.

Não é difícil escutar “Poxa vida, quando me aposentei ganhava o correspondente a 3 salários mínimos. Hoje, não recebo mais que 2 salários.”

Assim sendo, já que o futuro a Deus pertence, nota-se que se não tiver um freio em tais mudanças as gerações futuras, independente de sua contribuição, ficarão fadadas a receber um salario mínimo.  O pior é que no mínimo irão receber após os 70 anos de idade.

Ademais, como se não bastasse, só falta daqui alguns anos mudarem a idade do estatuto do idoso.

Você sabia?

Com mais de 17 anos no Mercado de Empréstimo Consignado e com uma equipe treinada para lhe auxiliar na melhor decisão, no entanto o Portal Consignados trabalha em parceria com diversos bancos para lhe oferecer sempre o melhor negócio.

Lentidão no INSS deixa segurados desconfortáveis

Lentidão no INSS deixa milhões de Aposentados e Pensionistas em situação desconfortável. Mais uma vez, como de costume, nesta época do ano o volume de pedidos de empréstimos aumenta. Ano após ano, o problema vem se repetindo e, muitos ainda aguardam uma resposta sobre seus empréstimos consignados.

Entenda os Motivos da Lentidão no INSS

O Dataprev, que é o responsável pelo processamento de dados, vem sofrendo durante anos com a falta de investimento do governo em infraestrutura e pessoal, pois isso dificulta muito algumas rotinas internas.

Uma delas é justamente o processamento de arquivos de empréstimos consignados, o que acarreta em Lentidão no INSS.

Funciona da seguinte maneira:

  1. As instituições financeiras enviam um lote de arquivos ao INSS
  2. Neste lote estão todos os pedidos de empréstimos consignados do dia.

O INSS tem que processar e devolver este arquivo com suas devidas respostas:

  • Autorizado
  • Negado
  • Dados inválidos

Alguns motivos para esse atraso são:

  • Aumento de Pedidos de empréstimo
  • Reajuste Salarial
  • Fechamento de Folha

Aumento de Pedidos de Empréstimo

Nesta época do ano, o endividamento aumenta devido ás contas, como por exemplo:

  • IPVA
  • IPTU
  • Matrícula escola
  • Entre outras contas

O reflexo deste endividamento é o aumento na procura de empréstimos, o que acarreta a lentidão no INSS.

Reajuste Salarial

O Reajuste Salarial é dado geralmente em Janeiro e a competência da Folha é de Fevereiro. Apenas após o fechamento da folha de Janeiro, que ocorre sempre entre os dias 15 e 20 que a folha é atualizada. Para quem pensa que é feito de forma automática, está bem enganado!

Infelizmente, o processo ainda é manual. Portanto, o que seria apenas uma transmissão dependerá da interação humana, pois leva tempo para fechar a folha de milhões de aposentados e pensionistas a nível Brasil.

Consequência disso é a paralisação das transmissões no Dataprev em mais de uma semana.

Fechamento da Folha

Após atualização da renda conforme reajuste salarial, é necessário transmitir para rede bancária, mas mesmo assim, o sistema utilizado pelo Dataprev apresenta os seguintes problemas:

  • Lentidão
  • Sistema Antigo
  • Aumento no número de segurados

A prioridade do Dataprev é com a manutenção da folha de pagamento!

Problemas Corriqueiros

Um dos maiores problemas nesta época do ano que faz muitos aposentados e pensionistas do INSS ficarem de cabelo em pé é a falta de informação. No entanto, é liberado aos bancos a digitação desde Novembro, da qual denominamos margem complementar, ou seja, a margem que fica disponível após a atualização da renda do segurado.

Demora muito até que seja atualizado a renda, o fechamento da folha e a transmissão.

Muitos segurados acabam solicitando mais de uma vez seu pedido de empréstimo por achar que não deu certo o primeiro pedido. No entanto, alguns detalhes deverão ser considerados, aos quais destacamos:

  • Dados
  • Volume
  • Transmissão
  • Duplicidade
  • Margem Consignável

Dados

O INSS valida todos os dados do segurado para autorizar seu empréstimo. Por isso, se sua proposta foi enviada com dados incorretos, certamente terá uma infeliz surpresa ao saber que o INSS até devolveu sua proposta. A proposta deverá ser reenviada com os dados corretos, o que acaba acarretando mais atrasos.

Volume

O Volume de pedidos aumenta mais de 500% neste período do ano. Ademais, a capacidade de processamento do INSS não consegue atender á todos. No entanto, o INSS não faz mais contratações temporárias para dar conta da demanda. Ademais, isso costuma acontecer na iniciativa privada, e isso gera atrasos.

Transmissão

A transmissão é realizada em lote e obedece a ordem de chegada, mas pode ser transmitido mais de um lote por vez. No entanto, o problema é na capacidade de transmissão destes lotes. Contudo, por ser um sistema antigo, o INSS não consegue processar tudo de uma vez, e, com isso você acaba esperando mais uma vez.

Duplicidade

A duplicidade é um dos fatores que contribuem para o atraso da liberação também, o aposentado ou pensionista que acredita que pela demora não deu certo, acaba solicitando em outros locais. Contudo, a consequência disso é que mais dados serão enviados, portanto maior será a demora no processamento deles.

Margem consignável

A Margem consignável também é um problema. Quando se começa a digitar as propostas de margem complementar, ainda não se tem algumas definições reais do reajuste. Contudo, em se tratar do Brasil, tudo pode mudar de uma hora para outra. Portanto, isso gera mais problemas ao aferir a margem errada.

Ademais, outro detalhe é para aqueles que pagam o imposto de renda. Contudo, muitos bancos não percebem esse detalhe e, apenas calculam o reajuste sem considerar a faixa do IR.

Conclusão

Ademais, é importante nesta época do ano se manter calmo! Contudo, deve-se acompanhar junto ao seu correspondente, agente ou banco o andamento da sua proposta. Contudo, infelizmente o INSS não tem a capacidade de processar conforme a demanda e nem é o foco da instituição.

No entanto, a prioridade do INSS é o segurado. Contudo, falta do governo munir o INSS de uma infraestrutura melhor para acabar com a espera que todo ano deixa milhões de aposentados e pensionistas a espera de uma resposta mais rápida.

Você sabia que o Portal Consignados é especialista em empréstimo consignado?

Com mais de 17 anos no Mercado de Empréstimo Consignado e com uma equipe treinada para lhe auxiliar na melhor decisão, no entanto o Portal Consignados trabalha em parceria com diversos bancos para lhe oferecer sempre o melhor negócio.

Paguei a primeira parcela – Posso realizar outro empréstimo?

Paguei a primeira parcela. Posso realizar outro empréstimo? Esta pergunta é muito comum entre os consumidores de empréstimos consignados.

Paguei a primeira parcela – Quais são minhas chances?

O Empréstimo Consignado tem características bem definidas, conforme convênio e instituição financeira e, para responder a esta pergunta, é importante considerar:

  • Regra do convênio
  • Política de crédito
  • Saldo matemático

Todas as condições de se refazer um empréstimo ou de contratar um novo, deverão sempre ser consideradas de forma muito consciente.

Regra do Convênio

Cada convênio tem regras específicas para a contratação de um empréstimo consignado.

Por exemplo:

O INSS, que ao liberar o empréstimo para seus segurados, realiza uma ATA. ATA é uma espécie de regras e condições permitidas para seus segurados. As instituições financeiras, por sua vez, deverão seguir estas regras na concessão de crédito aos segurados.

Uma das condições do INSS é a quantidade máxima de contratos que não pode ser superior a 6 (seis) contratos por benefício.

Caso o segurado tenha 6 (seis) contratos e, mesmo possuindo margem, o próprio INSS não autoriza a liberação de mais um empréstimo.

Portanto, se paguei a primeira parcela de meu empréstimo, mas já tenho a quantidade máxima de contratos, não poderei ter mais um.

Política de Crédito

Em muitos bancos, a de Política de crédito é na verdade condições as quais o cliente não pode estar enquadrado para poder contratar seu empréstimo. As principais políticas de crédito são:

  • Idade
  • Ser devedor na própria instituição
  • Limite de Crédito

O Banco possuí do próprio convênio dados estatísticos de mortalidade. Com esta informação, fica limitado uma idade máxima para a contratação de empréstimos. Em alguns casos, a idade limite não pode ser superior a 79 anos.

É muito comum o cliente ter um dívida não paga em uma instituição financeira. Com a aquisição de bancos e fusão de outros, muitos clientes não sabem por exemplo que o BMG faz parte do grupo Itaú. Ao ter um cheque especial vencido ou um empréstimo pessoal não pago, o banco não libera o empréstimo, mesmo tendo todas as condições para isso.

As instituições financeiras limitam o crédito conforme faixa de idade. São casos raros, até porque os limites são bem expressivos. Porém, existe a chance sim de você se enquadrar nesta condição. Com isso, terá seu crédito negado. A solução é bem simples. Contudo, basta procurar outra instituição a qual ainda não tenha realizado um empréstimo ou que se enquadre dentro do limite de crédito dela.

Saldo Matemático

É comum escutar do cliente dizer “Mas já paguei 1o porque não posso refinanciar?”.A verdade que o empréstimo consignado é calculado conforme tabela price, ou seja, cada pagamento realizado é amortizado do saldo devedor.

Mas é importante lembrar também o que exatamente compõem seu saldo devedor, o chamado CET (Custo Efetivo Total). Ademais, seu Empréstimo compõem das seguintes taxas:

  • Taxa de Juros
  • IOF
  • Carência inicial

Apesar de ser baixa, a taxa de juros, IOF e carência inicial aumentam seu saldo devedor. Contudo, considerando os pagamentos regulares se tem um saldo positivo após ter pago pelo menos 10% do prazo do seu contrato.

O Saldo positivo é a diferença entre um novo contrato considerando o mesmo valor da parcela e seu saldo devedor, é mais ou menos isso:

(Novo Contrato) – ( Saldo Devedor)

Lembre-se que o que muitas vezes pode interferir é a taxa de juros contratada e a taxa de juros atual. Contudo, este tipo de operação geralmente chamada de Refinanciamento tem que estar em condições iguais ou melhores para que dê certo.

Paguei a primeira parcela mas já tenho o total de empréstimos permitidos. Quais são minhas possibilidades?

Refinanciamento

O refinanciamento seria uma opção para aqueles casos aonde já se atingiu a quantidade máxima de contratos. Só é permitido quando se tem uma quantidade mínima de parcelas pagas. No entanto, as instituições financeiras entendem que o mínimo tem que se ter pago é 30% do prazo do seu contrato para liberar o refinanciamento.

É condicionado desta forma devido ao lucro da operação. As instituições financeiras alegam que mesmo havendo saldo antes a operação, ela ainda está cobrindo seu custo e, por isso, mesmo havendo saldo matemático antes dos 30%, só se libera esta possibilidade com a quantidade certa de parcelas pagas.

Portabilidade

A portabilidade muitas vezes é colocada para o cliente como a solução de todos os seus problemas. Contudo, se o cliente pagou duas ou três parcelas, lhe é oferecido uma portabilidade com a promessa de mais crédito. CUIDADO!

Não existe milagre neste setor, nem promoções malucas como se vê em lojas de departamento. Ademais, o que é feito na maioria dos casos é a seguinte equação:

(Valor do Contrato) – (Saldo Devedor)

Fique atento e solicite que seu agente faça pelo menos uma projeção de valores. Sempre leve em conta o valor do contrato que está sendo realizado.

Portanto, se paguei a primeira parcela do meu empréstimo e, mesmo assim um outro contrato não cobre, a portabilidade não é para mim.

Lembrando que o saldo devedor do seu empréstimo é corrigido diariamente. Como não se tem uma data exata que está sendo quitado seu empréstimo em outra instituição, existem diferenças de 10% para mais ou para menos nos valores apresentados muitas vezes pelo seu agente.

Conclusão

Considere sempre a melhor opção para você. As vezes, um refinanciamento ou portabilidade nem sempre são os melhores caminhos. Contudo, solicite sempre uma analise antes e considere as condições que estão lhe sendo oferecidas.

No entanto, não existe carência entre um pedido de empréstimo para um outro, mas existem condições que deverão ser consideradas para que seja realizado afim de resolver o seu problema.

Você sabia que o Portal Consignados é especialista em empréstimo consignado?

Com mais de 17 anos no Mercado de Empréstimo Consignado e com uma equipe treinada para lhe auxiliar na melhor decisão, no entanto o Portal Consignados trabalha em parceria com diversos bancos para lhe oferecer sempre o melhor negócio.

Novas Regras no Cartão de Crédito

As Novas regras do cartão de crédito anunciadas pelo governo terão seu início a partir de 3 de abril. Com isso, tenta-se diminuir os juros pagos pelo rotativo do cartão de crédito dando a opção ao cliente que efetuar apenas o pagamento mínimo é uma forma de parcelamento de sua dívida. Isso evitaria a chamada “Bola de Neve”.

Novas regras do Cartão – Perguntas ainda sem respostas

Ainda não se sabe em que bases serão realizados este parcelamento. Algumas respostas precisam ser respondidas pelas instituições financeiras e governo, como por exemplo:

  1. Qual será a taxa de juros deste parcelamento?
  2. Qual o prazo que o Banco irá estabelecer no parcelamento?
  3. Terá um limite de juros?
  4. Será avaliado a capacidade de pagamento do Credor?
  5. Que impacto isso terá para o cadastro do consumidor?

Cartões x Consumidor

Já não é de hoje que a relação do consumidor e o cartão de crédito tem se tornado uma verdadeira guerra. O fato é que ninguém paga o mínimo porque quer. A grande raiz do problema não tem sido tocada, como por exemplo:

  • Qual a posição do Banco Central com relação ao super endividamento?
  • De quem é a culpa?

Se por um lado o consumidor do cartão de crédito muitas vezes deixa de pagar a fatura, por outro o banco muitas vezes concede crédito sem responsabilidade. Isso significa que o banco concede mais crédito do que o cliente tem capacidade de pagar.

No Brasil, existem vários órgãos que “defendem o consumidor”. Na prática, manda quem pode e obedece quem tem juízo, ou seja, ainda vivemos em uma sociedade que o poder econômico ainda faz muita diferença.

A pergunta a qual ninguém responde é “Porque ainda se concede crédito com tanta facilidade ou irresponsabilidade por parte dos bancos sem que não haja nenhuma punição a respeito?”.

Parcelamento ou Empréstimo

O que pode parecer uma grande chance de reduzir os juros do cartão de crédito, pode se tornar um sofrimento para o consumidor. Ter a opção de parcelamento após os 30 dias do pagamento mínimo é fantástico. Contudo, ainda faltam regras para que este “parcelamento” não se transforme em um verdadeiro pesadelo ao consumidor.

Perguntas deverão ser respondidas. Contudo, com a proximidade da nova regra, as respostas precisam ser urgentes. As perguntas são:

  • Qual será a taxa de Juros a ser cobrada?
  • Existe limite para os juros?
  • Qual o Prazo deste parcelamento?
  • Haverá seguro?
  • Com o pagamento das parcelas e amortização da dívida, como ficará a utilização deste cartão?

Não quero ser pessimista, mas se uma coisa eu entendo é de instituições financeiras. Por essa razão, faço aqui meu apelo aos órgãos competentes que deixem muito bem claro às instituições financeiras e às administradoras de cartões seus limites, a seguinte afirmação: Se não houver limite, teremos um outro problema.

Diante disso, o mais triste é a movimentação que tenho assistido de seguradoras com a possibilidade de fechar ainda mais negócios com o chamado “Produto de reciprocidade”. Quem que já não se sentou em uma mesinha achando que estava fechando seu empréstimo com um funcionário do Banco e descobriu que era da …… Seguradora?

Só pra lembrar aos meus caros bancários, responsabilidade social se faz primeiro dentro do banco. Estamos cansados de ver propagandas bem elaboradas em horário nobre sobre o quanto o banco ajuda e tal, mas será apenas uma crise de consciência? Na prática, a situação é bem diferente. Contudo, estaremos de olho com as Novas Regras do Cartão de Crédito.

 Crédito Consciente

Só pra lembrar aos caros leitores que o crédito consciente existe. Por isso, exija o seu. Mesmo com as Novas Regras do Cartão de Crédito, lute mesmo que colocando aqui sua opinião quando for lhe oferecido um parcelamento. Sempre que for negociar com o banco, peça que esteja detalhado o CET (Custo Efetivo total). Ademais, falando em CET, seria bom lembrar que, ao fazer um empréstimo, existem as seguintes possibilidades aos quais devem ser muito bem analisadas:

  • TAC – Taxa de abertura de crédito
  • Seguro Prestamista
  • Seguro de Vida
  • Taxa de juros
  • IOF

Das taxas possíveis a serem embutidas em seu parcelamento na Nova regra do cartão de crédito, fica aqui minha dica: No entanto, é sacanagem incluir Seguro prestamista e seguro de vida neste tipo de operação. Outra taxa a qual seria cruel cobrar é o TAC. É bom que se diga que, ao cobrar o Banco Central, deveria perguntar “Porque TAC?”. Se está parcelando um crédito já concedido, porquê cobrar TAC?

Caros governantes deste país, se a proposta é ajudar o povo, porque não cobrar um IOF diferenciado neste tipo de operação? Ou a proposta é gerar mais crédito e com isso cobrar mais impostos?

Não sei se estou pensando certo, mas por trás de tanta bondade, existe sempre um detalhe que deixamos de analisar. Desculpem em lembrar, mas SIM, o governo lucra quando você faz empréstimos.

Cadastro Positivo x Crédito forçado

Uma questão muito importante também a ser abordada é de como o banco vai portar ao ser forçado a fazer um parcelamento de sua dívida com a Novas Regras do Cartão de Crédito. Será que irá considerar isso uma falta de pagamento e, por isso restringir o crédito ao consumidor?

É comum ter seus limites de crédito restritos por um parcelamento de dívida. O banco entende que o consumidor, ao parcelar uma dívida, tem sua capacidade de crédito comprometida. Muitas vezes, reduz seu crédito ou até impede que faça outro tipo de operação dentro do banco.

A verdade é que, mais uma vez, não tocamos na raiz dos problemas que levam o consumidor a ter sua vida financeira enrolada. No entanto, a falta de controle dos bancos em conceder cada vez mais crédito sem se preocupar com a capacidade de pagamento do consumidor ainda é um dos maiores problemas.

No entanto, a iniciativa é um avanço SIM, mas precisamos avançar mais. Ademais, temos que cobrar dos órgãos competentes mais controle. Também temos que cobrar um controle mais rigoroso a respeito desta nova medida.

Você sabia que o Portal Consignados é especialista em empréstimo consignado?

Com mais de 17 anos no Mercado de Empréstimo Consignado e com uma equipe treinada para lhe auxiliar na melhor decisão, no entanto o Portal Consignados trabalha em parceria com diversos bancos para lhe oferecer sempre o melhor negócio.

Salário Mínimo 2017 – O que pode Mudar para Você?

O Salário Mínimo 2017 está sendo discutido pelo governo que propôs um reajuste de 7,47%, passando de R$ 888,00 para R$ 945,80. No entanto, apesar do reajuste, muitos aposentados e pensionistas do INSS têm cobrado um reajuste maior. Afinal de contas, o índice de inflação no último ano foi de 7,47%. Na prática, o reajuste não aumenta o salário mínimo e sim, o reajuste.

Pessoalmente, não entendo como se calcula este índice de inflação. Até porque, no meu bolso e no bolso da grande maioria das pessoas, a inflação foi muito maior. Contudo, veja alguns itens que subiram mais do que a inflação neste ano:

  • Alimento
  • Internet
  • Remédios

Infelizmente, com as condições atuais do país, devemos ficar contentes se o governo mantiver este reajuste. Até porque a conta não fecha há tempos no Brasil.

Salário Mínimo 2017 x Margem Consignável

Para os aposentados e pensionistas do INSS que fazem uso do empréstimo consignado, é importante destacar que este aumento terá um reflexo no que chamamos de margem consignável. Veja como irá ficar:

  • Renda R$ 888,00 = Margem de R$ 266,40
  • Renda R$ 945,80 = Margem de R$ 283,74

Um aumento na margem consignável de R$ 17,34 que liberaria um pouco mais de R$ 500,00 dependendo do Banco e prazo, é claro.

Bancos estão se preparando

Como de costume, no final do ano a procura por empréstimos aumenta e os bancos começam a liberar linhas de crédito considerando o aumento salarial.

Os principais Bancos do Setor ainda não se manifestaram a respeito, mas tudo indica que começará a maratona em Novembro.

Se você deseja obter crédito consignado, contando com seu reajuste salarial de 2017 logo poderá solicitar, mas calma! O valor só ficará disponível para utilização entre o final de Janeiro e início de Fevereiro.

Recebo mais de um salário. Vou ter reajuste?

Tudo indica que sim, mas ainda não se sabe quanto será o reajuste. Com o déficit na Previdência Social, as expectativas não são as melhores. O aumento do Salário Mínimo 2017 indica que o sofrimento de uma gestão confusa recheada de escândalos vai afetar em cheio aqueles que mais contribuíram para construir nosso país.

O Limite do meu cartão de Crédito será reajustado?

Para quem utiliza o cartão de crédito consignado ainda não temos uma confirmação oficial da parte dos bancos em relação ao reajuste dos limites. Apesar de alguns bancos em off confirmarem que haverá, ainda não é possível afirmar se realmente irá se concretizar este reajuste do mínimo nos limites de crédito.

Pense bem

Apesar de muitas vezes ser inevitável a utilização do reajuste em novas contratações de empréstimos, recomendamos que o faça com muita cautela. Pense bem! Não precisa ter pressa para tomar esta decisão.

Recomendamos que antes de contratar, analise suas reais condições e o faça com segurança. No que precisar, estaremos sempre aqui para auxiliar.

Você sabia que o Portal Consignados é especialista em empréstimo consignado?

Com mais de 17 anos no Mercado de Empréstimo Consignado e com uma equipe treinada para lhe auxiliar na melhor decisão, no entanto o Portal Consignados trabalha em parceria com diversos bancos para lhe oferecer sempre o melhor negócio.

Tempo médio que leva para fazer uma Portabilidade

O tempo médio para liberar sua portabilidade empréstimo consignado é de 20 a 30 dias úteis. No entanto, muitos clientes nos questionam sobre a demora, burocracia e até os riscos de se fazer uma portabilidade. Contudo, foi por este motivo que resolvemos escrever este artigo.

Tempo Médio x Processos

Durante muitos anos a única forma de conseguir transferir sua dívida para outro banco era fazer a famosa compra de dívida. Oferecida por diversas instituições o processo dependia exclusivamente do cliente ter em mãos o boleto para quitar seu empréstimo.

Ademais, com a alteração na Lei 10.820 foi possível simplificar este processo. Contudo, somente é possível realizar a portabilidade entre Bancos. Ademais, Financeiras e Seguradoras estão fora deste processo.

No entanto, o processo consiste nas seguintes etapas:

  • Processamento da CIP
  • Pagamento da CIP
  • Baixa do Contrato junto ao órgão
  • Averbação junto ao órgão

Processamento da CIP

A CIP (Câmara Interbancária de Pagamento) nada mais é que a geração do boleto eletrônico com os dados do seu contrato. Contudo, este processo costuma levar em torno de 2 dias úteis o tempo médio. No entanto, os seguintes dados são necessários para a geração da CIP:

  • Valor da dívida estimada
  • Número do Contrato
  • Prazo do Contrato
  • Quantidade de parcelas pagas
  • Prazo restante do contrato

Caso uma destas informações não esteja correta, a instituição credora poderá se negar a fornecer a CIP.

Pagamento da CIP

Após a geração da CIP a instituição credora tem até 5 dias úteis que é o tempo médio para convêncer o cliente a desistir da portabilidade, geralmente é oferecida as Seguintes vantagens:

  • Redução na taxa de juros
  • Flexibilização na Liberação de Valores

O cliente confirmando o interesse em prosseguir com a portabilidade é feito a quitação do contrato anterior.

Baixa do Contrato junto ao órgão

A baixa do seu contrato após o pagamento da CIP varia conforme o órgão, mas geralmente leva em torno de 5 dias úteis para a baixa.

Averbação junto ao órgão

Após a baixa é realizada a inclusão do contrato junto a nova instituição financeira, o prazo para isso é de 5 dias úteis o tempo médio.

Considerações Importantes

Se você fez as contas pode ter percebido que se somar todos os prazos o tempo médio levado é de 17 dias úteis, mas existem algumas pedras no meio do caminho. Os principais atrasos na liberação são:

  • Muitas instituições simplesmente se negam a acatar a CIP e é necessário retransmiti-la por mais de uma vez;
  • Erros na Emissão da CIP, como por exemplo o número de contrato;
  • Falta de comunicação do Banco com o Cliente que está pagando a CIP;

Infelizmente existe SIM um acordo entre alguns bancos em não fazer a portabilidade entre eles e ainda pior!

Existem alguns bancos que simplesmente ao receber a baixa do CIP não dão o comando de exclusão da CIP o que inviabiliza o processo todo, uma vez que quem pagou não vai conseguir transferir a dívida sem a baixa.

Lembre-se que a portabilidade consiste em transferir seu contrato para outra instituição da mesma forma que ele se encontra. A portabilidade por sim só não libera ao cliente valor algum!

O que existe é um Refinanciamento automático que irá lhe gerar valores e consequentemente, irá estender o valor e prazo da sua dívida.

Recomendamos que sempre consulte bem antes de contratar, não existe milagre na portabilidade e sim um fator matemático : (valor do contrato) –  (Saldo devedor) = valor a ser creditado ao cliente.

Verdades Secretas

Ao fazer uma portabilidade é definido uma taxa que chamamos de RCO, esta taxa é proporcional ao valor de parcelas a pagar, até ai sem problema algúm certo? Errado! Muitas instituições não fazem a portabilidade porque o valor do RCO é alto demais e ainda pior!

Repassam esse valor a pagar para seu agente de crédito e ou correspondente, ou seja, se quiser fazer uma portabilidade para seu cliente vai ter que participar das despesas.

Conheça algumas verdades:

  • Muitas Instituições se negam a portar um contrato que tenha valor de parcela inferior a R$ 90,00;
  • Entre os bancos “Amigos”, a portabilidade não existe;
  • Existem Bancos que por não dar baixa nos contratos ficam impedidos de se portar dívidas deles;
  • Quem paga as despesas da sua portabilidade geralmente é seu correspondente;

É triste dizer isso mas a Portabilidade no Brasil não funciona, devido a alguns cartéis de Bancos, falta de controle do Banco central e maus profissionais o produto deve ser muito bem consultado antes de ser contratado.

Mais informações

Os bancos portam o que querem e como querem e se estiver portando um contrato de um banco amigo então! Esqueça, pois vai dar tudo errado.

Para nós que somos correspondentes funciona assim : Quer portar um contratado? O risco é 100% seu, todas as despesas são suas e se der errado você é que se vire. Um total absurdo! ai eu me pergunto?

Como uma instituição Financeira, controlada pelo Banco Central consegue fazer isso com um setor que tem uma força de vendas de mais de 1 Milhão de representantes? Infelizmente a resposta é : Brasil!!!

Por todos estes motivos e alguns outros você muitas vezes se pergunta: Porque minha portabilidade está demorando? Porque não consigo fazer a portabilidade dos meus contratos?

A resposta é que se um produtos desta magnitude tem tantos contra como pode dar certo? Os Bancos não querem fazer a portabilidade e a verdade é essa, fazem por conta de uma legislação fraca e pouco criteriosa, mas se depender das instituições financeiras nuca teria a possíbilidade de fazer sua portabilidade.

A portabilidade deveria ser um instrumento de melhor o produto e setor, ou seja, se seu banco não está mais lhe atendendo em condições de taxas, politica de crédito e atendimento. Você poderia demonstrar a ele seu descontentamento simplesmente trocando de Banco.

Eu pessoalmente acredito que um dia poderemos ter um sistema financeiro mais justo e com mais controle.

No entanto, reforço minhas palavras quando recomendo à você que deseja fazer sua portabilidade e, ao fazer, pesquise bem. Ademais, não acredito em falsas esperanças.

Você sabia?

Com mais de 17 anos no Mercado de Empréstimo Consignado e com uma equipe treinada para lhe auxiliar na melhor decisão, no entanto o Portal Consignados trabalha em parceria com diversos bancos para lhe oferecer sempre o melhor negócio.

Saldo Bloqueado na Caixa após realizar empréstimo. É normal?

Muitos clientes que ficam com Saldo Bloqueado na Caixa Econômica Federal após fazer seu consignado diariamente nos questionam a respeito. Contudo, para tranquilizar o leitor, queremos dizer que é SIM normal ficar com o saldo bloqueado referente ao valor do empréstimo.

Porque será que a Caixa deixa o Saldo Bloqueado?

Cada instituição financeira trabalha de uma forma, e a Caixa Econômica Federal não é diferente. Contudo, o procedimento da caixa consiste nas seguintes etapas:

  • Conferência
  • Processamento
  • Transmissão
  • Saldo Automático
  • Pagamento

Conferência

Ao solicitar seu empréstimo consignado Caixa, geralmente o faz pelo caixa eletrônico. Ademais, isso acontece porque a Caixa Econômica faz um processamento mensal e atualiza os limites, disponibilizando em tela os valores previamente aprovados, considerando a margem consignável. Portanto, ao gerar seu pedido o sistema da caixa faz uma espécie de conferencia de dados e nele considera os seguintes fatores:

  • Margem Consignável
  • Política de Crédito
  • Regras Operacionais

Apesar da margem estar disponível em sistema, é refeita esta pesquisa interna e um cruzamento de dados, para conferir os seguintes fatores:

  • Cliente dentro do limite de crédito do Banco
  • Cliente dentro da política de idade
  • Cliente não possuí restrições internas

Quando existe alguma pendência por falta de pagamento dentro do Banco, é normal a Caixa vetar a liberação.

Processamento

Após a Conferência de todos os critérios internos e externos que o Sistema da Caixa faz é processado seu pedido ao que chamamos de arquivo em lote. Contudo, esse arquivo contém todas as informações sobre seu pedido de empréstimo e será preparado para enviar juntamente com os outros pedidos ao seu órgão. Ademais, neste arquivo contém as seguintes informações:

  • Valor Contratado
  • Valor Liberado
  • Valor da Parcela
  • Prazo
  • Número de Contrato
  • Data do ínicio dos descontos
  • Data do final dos descontos

Transmissão

Após as etapas concluídas, é realizada a transmissão de seus dados ao órgão e começa a contar o prazo de liberação dele, que pode levar de 2 a 5 dias dependendo do convênio. Ademais, é importante lembrar que o empréstimo consignado tem sua aprovação bi participada, ou seja, tanto a instituição financeira e o convênio precisam aprovar, portanto perguntas como:

  • O Banco disponibilizou o saldo bloqueado em minha conta significa que está aprovado?
  • Se o Banco aprovou posso contar com o dinheiro?

Até agora caro leitor, você pode perceber que o banco é apenas uma etapa, para confirmar 100% a sua operação terá de aguardar o seu convênio autorizar.

Saldo Automático

A Caixa tem um processo diferente dos demais bancos. No entanto, ela deixa o saldo bloqueado em sua conta até que seja autorizado pelo convênio. Contudo, na prática isso significa que, por parte da Caixa, não existe nenhum impedimento na liberação. Mas pode existir no decorrer do tempo alguma ocorrência. Portanto, fique de olho na sua proposta.

Pagamento

Finalmente, chegamos ao ponto que você estava esperando, e é simples assim mesmo! Ademais, o convênio autorizando o valor é liberado em sua conta, o que chamamos de pagamento da operação.

Considerações

Contudo, apesar de tantas etapas, idas e vindas, o processo de liberação da Caixa Econômica Federal não leva mais do que 7 dias úteis. Portanto, se fez seu pedido a mais tempo do que isso, recomendamos que procure sua Agência e verifique o que possa estar ocorrendo.

Você sabia que o Portal Consignados é especialista em empréstimo consignado?

Com mais de 17 anos no Mercado de Empréstimo Consignado e com uma equipe treinada para lhe auxiliar na melhor decisão, no entanto o Portal Consignados trabalha em parceria com diversos bancos para lhe oferecer sempre o melhor negócio.

Servidores Federais CLT poderão fazer Cartão Consignado

Uma novidade que promete deixar os Servidores Federais CLT muito contentes é a flexibilização das regras do empréstimo consignado. Durante muitos anos os Servidores Federais CLT tem procurado uma linha de crédito consignado e recebem um sonoro não! Mas isso acabou. Durante quanto tempo ainda não sabemos. Contudo, o fato do banco BMG Itaú ter flexibilizado é um ótimo sinal. É verdade que por enquanto trata-se de apenas o Cartão de crédito, mas já é um ótimo sinal.

Porque é importante esta mudança ter vindo do BMG Itaú?

O BMG Itaú é um dos percursores do empréstimo consignado e detem um dos melhores controles do setor. No entanto, sua flexibilização é muito importante porque sinaliza para os demais Bancos que é possível e sadio este tipo de operação. Com isso, os demais bancos também poderão mudar suas regras e definir melhores condições para os servidores Federais CLT.

Consignado x Servidores Federais CLT

Um dos maiores problemas no empréstimo consignado é a garantia, se existe condições para haver o desconto de forma segura e contínua as instituições fazem o empréstimo consignado sem maiores problemas. Confira as categorias CLT que passam a poder contratar o Cartão de Crédito Consignado:

  • Contrato Temporário
  • Celetista/Empregado
  • CLT Ans. Dec. Judicial
  • CLT Após Complemento
  • CLT Aps Dec. Judicial
  • CLT Ans Dec. 6657/08

Regras de Concessão de Limite de Crédito para Compras e Saques

Conheça as regras específicas para Servidores Federais CLT e Celetistas.

  • Margem Consignada Mínima R$ 23,00 (Vinte e três reais)
  • Margem Consignada Máxima R$ 920,00 (Novecentos e vinte reais)
  • Limite de Crédito Mínimo R$ 300,00 (Trezentos reais)
  • Fator de Multiplicação 13,05 x (vezes) o valor da margem
  • Cálculo do Limite de Crédito Ex.: [(MR x 13,05)] = Limite de Crédito
  • Ex.: Margem 100,00 x Fator 13,05 = Limite R$ 1.350,00
  • Idade para Aquisição do Cartão Mínima: Titular 18 (Dezoito) anos
  • Máxima: Titular 75 (Setenta e cinco) anos

Limite de Crédito Máximo por Idade

  • De 18 a 70 anos R$ 12.000,00 (Doze mil reais)
  • De 71 a 75 anos R$ 2.000,00 (Dois mil reais)
  • Acima de 75 anos não será concedido crédito

Saque Autorizado, Complementar

Limite para Saque 100% (cem por cento) do Limite do Cartão Lembrando: o Para aquisição do Saque Autorizado e/ou Complementar é necessário o preenchimento da Cédula de Crédito Bancário (CCB) – Modelo 2.99.032, devidamente assinada e anexada ao sistema BMG CONSIG; o RG ou documento que contenha foto e assinatura.

Liberação do Crédito

O crédito “preferencialmente” deverá ser enviado na conta SALÁRIO do servidor, conforme determinação do órgão.

Parâmetros/Taxas/Tarifas/Multas e Regras

Servidores Federais CLT descubra as Regras do seu cartão de crédito consignado bem como todas as desepesas envolvidas :

  • Dia do Corte da Fatura Dia 7 (sete) de cada mês, exceto finais de semana e feriados.
  • Vencimento da Fatura Dia 2 (dois) de cada mês
  • Margem para Cartão 5% (cinco) por cento exclusivo para Cartão
  • Consignado. Este percentual é sobre o valor líquido
  • do servidor informado no Contracheque.
  • Taxa de Juros (Saque Todas as Modalidades e Rotativo) 4,50 % a.m.
  • Desconto em Folha Mínimo R$ 5,00
  • Percentual de Desconto em Folha
  • Permite Saque

Tipo de Cartão Internacional / Cartão com Chip

  • Tarifa de Saque (Todas as Modalidades) R$ 9,00 (nove) reais
  • Anuidade Cartão Titular = Não cobra
  • Permite Cartão Adicional = Não cobra
  • Seguro Perda e Roubo = Não possui
  • Multa = Não cobra
  • Tarifa de Reemissão de cartão R$ 15,00 (quinze) reais em Casos de perda e má conservação do Cartão.
  • Tarifa de Extrato = Não cobra
  • TAC – Tarifa de Abertura de Crédito = Não Cobra
  • É permitido apenas 1 (um) Cartão por CPF

Transação Parcelada

  • Tipo de Parcelamento Lojista
  • Quantidade de Parcelas Mínima: 2 e Máxima: 12
  • Valor Mínimo de Parcela R$ 1,00

ATENÇÃO:

Sempre que o pagamento mínimo efetuado for < (menor) que o pagamento “mínimo previsto”, a conta evoluirá para o ATRASO.

Margem Consignável

Conforme legislação que rege o convênio, a soma mensal das consignações facultativas é de 35%.

A soma dos descontos compulsórios e facultativos não podem ultrapassar 70%.

Forma de Cálculo da Margem

Cálculo manual utilizando as informações contidas no contracheque do servidor.

Pontos importantes:

  1. Considerar o somatório de todos os facultativos e observar se irá ultrapassar a margem de 30% de empréstimo. Se ultrapassado, a margem de cartão (5%) será impactada; (Caso o servidor tenha facultativos fora da folha, a margem de cartão também será impactada);
  2. Considerar o somatório de todos os descontos facultativos e compulsórios para avaliar nível de comprometimento, se ultrapassado 70%, a margem de cartão também será impactada;
  3. Considerar verbas variáveis conforme listagem no RO e Calculadora, se existir, deverão ser relacionados e a margem de cartão será impactada;

Central de Relacionamento ao Cliente BMG CARD

Para desbloqueio do Cartão e outras informações o Titular deverá entrar em contato com a Central de Relacionamento BMG CARD, pelos seguintes telefones:

  • Capital e Região Metropolitana: 4002 – 7007 / 24h – 7 dias da semana;
  • Para Desbloqueio, Perda e/ou Roubo do cartão.
  • Demais Localidades: 0800 770 1790 / 24h – 7 dias da semana;

Desbloqueio, Perda e/ou Roubo

  • Serviço de Atendimento ao Consumidor/SAC: 0800 979 9099 / 24h da semana;

Reclamações, Sugestões, Cancelamentos e Informações Gerais

  • Atendimento ao deficiente Auditivo e Fala: 0800 979 7333.
  • Ouvidoria: 0800 723 2044 de Segunda à Sexta-feira de 8 às 18h.

Atenção: Os horários dos canais de atendimento referem-se ao horário de Brasília.

Dúvidas sobre como tirar sua fatura Online, temos o artigo certo para você, clique aqui.

Você sabia que o Portal Consignados é especialista em empréstimo consignado?

Com mais de 17 anos no Mercado de Empréstimo Consignado e com uma equipe treinada para lhe auxiliar na melhor decisão, no entanto o Portal Consignados trabalha em parceria com diversos bancos para lhe oferecer sempre o melhor negócio.

GEAP interfere na margem dos servidores Federais

O Plano de Saúde GEAP interfere na margem a partir de Setembro. Muitos servidores federais foram surpreendidos com a mudança na regra do cálculo de margem consignável. Com a inclusão dos débitos do GEAP na margem dos 30%, muitas pessoas tem reclamado.

Nova Regra

Atualmente, o valor descontado referente ao plano de saúde é debitado da margem dos 30%. Infelizmente, o SIAPE passou a considerar este desconto como um empréstimo. Contudo, essa situação tem tirado não somente a possibilidade de contratações de empréstimos, como também:

Diariamente, recebemos em nosso blog diversos servidores reclamando que sua margem está negativa. Ao investigar os motivos, o desconto do plano de saúde GEAP sempre está lá para atrapalhar.

GEAP – Direito de Resposta

A fim de ajudar e responder a muitos servidores, fizemos contato com a assessoria de imprensa do GEAP e obtivemos as seguintes resposta da senhora Juliana Brascher:

Resposta: Apenas como complementação de suas perguntas, ressaltamos que a Geap Autogestão em Saúde possui personalidade jurídica de direito privado, sem fins lucrativos. A GEAP é qualificada juridicamente como operadora de plano de saúde, na modalidade de autogestão, e nossos planos de saúde são classificados como “coletivos empresariais”.

Assim, os beneficiários somente possuem o acesso à assistência à saúde por nós oferecida, mediante celebração de convênio por adesão. Essa celebração é formalizada entre o órgão ao qual esteja vinculado, designado como Patrocinador, e a Geap (operadora). Ou seja, não existe contrato individual no âmbito da Geap.

É possível efetuar os pagamentos através de outra forma ou existe algum acordo coletivo que impede tal mudança?

Resposta: As receitas destinadas aos planos de saúde de servidor de órgão da União, vinculado a um dos planos da Geap, deverão ser pagas pelo titular. Para si e para seus dependentes, e pelo pensionista, mediante consignação em folha de pagamento.

Caso a arrecadação não possa ser efetuada em folha de pagamento, por ausência de margem consignável ou outro motivo que impeça o desconto, a cobrança será realizada mediante Título de Cobrança Bancária – TCB  ou qualquer outro meio hábil e idôneo de cobrança.

A forma de pagamento acima mencionada é prevista no convênio firmado entre o Patrocinador e a Geap. Conforme podemos observar na Cláusula Nona do convênio por Adesão nº 01/2013, firmado entre a Geap Autogestão e Saúde e a União, que abarca os órgãos vinculados ao Sistema de Pessoal Civil da Administração Federal (Sipec).

Se possível, qual o procedimento?

Resposta: Essa modalidade de cobrança não está disponível para os beneficiários co-patrocinados. Salvo por ausência de margem consignável ou outro motivo que impeça o desconto em folha de pagamento.

Existe algum ônus para o servidor federal?

Resposta: Qualquer que seja a forma de pagamento, prevista no convênio por adesão firmado entre o órgão e a Geap, não existe ônus para o beneficiário em relação à forma de cobrança.

Muda alguma coisa em seu convênio médico ao mudar para boleto bancário?

Resposta: Essa modalidade de cobrança não está disponível para os beneficiários co-patrocinados. Salvo por ausência de margem consignável ou outro motivo que impeça o desconto em folha de pagamento.

Finaliza aqui as respostas do GEAP o qual gentilmente nos respondeu de prontidão.

Cálculo de Margem

No que se refere a margem consignável, a culpa claramente é do SIAPE. A regra de cálculo de margem considera os seguintes fatores:

Renda fixa – débitos fixos x 30% = Margem consignável para empréstimos.

O estranho no SIAPE é que passaram a considerar o débito do GEAP como um empréstimo e não como um débito fixo.

No entanto, existe um erro grave no entendimento do que se é débito fixo. Mesmo com variações de valores e eles existem no plano de saúde da GEAP, o valor deveria ser considerado como um débito fixo e não como um empréstimo.

Fica comprovado a falta de capacidade do SIAPE em processar a folha de pagamento dos servidores federais e as constantes mudanças nas regras. Isso fora o atraso na implementação das mudanças na lei são uma prova disso. Contudo, quem acompanha este blog e viu a maratona do cartão de crédito consignado, sabe bem do que estou falando.

Margem Negativa

A margem negativa não é apenas um problema matemático mas meche com a ordem natural das coisas, por exemplo:

Ademais, muitos bancos não refinanciam empréstimos com a margem negativa. Atualmente, com a possibilidade de utilizar 5% adicionais para contratar um cartão de crédito o que ajudaria muito também sofrem interferências em seus limites e liberações por conta de uma margem negativa.

No mercado de crédito a margem consignável nem sempre é o fator de sucesso em uma liberação. No entanto, existem alternativas como um refinanciamento, portabilidade ou cartão de crédito. Contudo, podemos afirmar sem sombra de dúvidas que a margem negativa é um principal fator de fracasso.

Contudo, antes de tomar qualquer decisão, é muito importante como segurado obter todas as informações. Tenho visto alguns servidores cancelando seus planos de saúde a fim de obter a margem normalizada. Contudo, este procedimento não é recomendado. O ideal seria fazer de forma coletiva e, através do sindicato que representa sua categoria, uma solicitação de retirada do débito da margem dos 30%.

Você sabia que o Portal Consignados é especialista em empréstimo consignado?

Com mais de 17 anos no Mercado de Empréstimo Consignado e com uma equipe treinada para lhe auxiliar na melhor decisão, no entanto o Portal Consignados trabalha em parceria com diversos bancos para lhe oferecer sempre o melhor negócio.

Fatura Digital BMG Card

O Banco BMG inova mais uma vez disponibilizando aos clientes BMG Card a Fatura Digital! A fatura do cartão de crédito sempre foi uma queixa bem comum dos clientes do BMG Card.

Neste artigo, vamos explicar o passo a passo de como você que ainda não tem acesso a sua fatura poderá obter. Assista o vídeo:

Motivos que levaram o BMG disponibilizar a Fatura Digital

Foram muitos os motivos que levaram o Banco BMG disponibilizar sua fatura digital. Contudo, os principais foram:

  • Sustentabilidade
  • Segurança
  • Acessibilidade
  • Queixa de muitos clientes
  • Entre outros

O fato é que acompanhando as tendências do mercado o BMG tenta aos poucos oferecer aos seus clientes uma experiência cada vez mais positiva.

Vale a pena lembrar que o Cartão de Crédito Consignado é um produto relativamente novo e ajustes ainda serão necessários.

Passo a Passo

Em apenas 5 passos, você consegue criar seu acesso para receber sua fatura online.

Veja como funciona:

  1. Acesse www.bancobmg.com.br/
  2. Clique em internet banking
  3. Faça o login
  4. Caso não tenha login clique em “Se você, cliente de Cartão BMG CARD, ainda não tem usuário ou esqueceu a senha, clique aqui”.
  5.  Receba sua fatura por email

Contudo, ao optar pela fatura digital, além de contribuir com o nosso planeta evitando a impressão de papel, você estará recebendo sua fatura de forma mais segura.

No entanto, muitos clientes têm problemas com os correios em sua cidade. Contudo, desta forma, você minimizará problemas com extravios. Ademais, existem vários benefícios em ter sua fatura acessível.

No entanto, os principais são:

  • Pagamento em dia
  • Acompanhamento financeiro
  • Segurança na utilização
  • Entre outros

Pagamento em dia

Ademais, apesar do cartão de crédito consignado ter o desconto em folha existe a possibilidade de pagar um valor adicional através da fatura.

Vale lembrar que o saldo devedor é corrigido conforme a taxa de juros do rotativo, ou seja, quanto menor a dívida, menor serão os juros que irá pagar no total.

Acompanhamento Financeiro

É de suma importância ter o controle exato de suas compras. Contudo, por este motivo, o acompanhamento da sua fatura é tão importante.

Segurança

No entanto, ao obter o acesso a sua fatura poderá acompanhar suas compras. Certamente é um boa prática de segurança, pois existem cartões clonados todos os dias.

Contudo, reconhecer e confirmar suas compras é muito importante.

Você sabia que o Portal Consignados é especialista em empréstimo consignado?

Com mais de 17 anos no Mercado de Empréstimo Consignado e com uma equipe treinada para lhe auxiliar na melhor decisão, no entanto o Portal Consignados trabalha em parceria com diversos bancos para lhe oferecer sempre o melhor negócio.

Empréstimo Consignado como Funciona?

Para saber sobre o Empréstimo consignado como funciona é importante destacar que Empréstimo consignado é uma modalidade de crédito a qual o valor referente a parcela é descontada diretamente da folha de pagamento.

Apesar de ser implantada no Brasil a mais de 10 anos, esta modalidade de crédito não está disponível para todos! Vamos destacar os principais públicos atendidos atualmente:

  • Aposentados e Pensionistas do INSS
  • Servidores Federais
  • Servidores Municipais
  • Servidores Estaduais
  • Funcionários de Empresas com mais de 300 Funcionários

Empréstimo Consignado Como Funciona na Prática?

Neste momento você deve estar se perguntando “Tudo bem! Mas o Empréstimo consignado como funciona na prática? Para responder a esta pergunta é importante entender que o Empréstimo consignado passa sempre por duas etapas:

  • Analise do Convênio
  • Analise do Banco

É muito importante entender as duas etapas, para evitar problemas ou demora na liberação.

Analise do Convênio

O convênio é a empresa ou órgão ao qual recebe seu pagamento ou benefício. O Convênio leva em consideração alguns fatores:

  • Margem consignável
  • Dados cadastrais
  • Política Interna

A margem consignável é de 35% sendo dividida entre limites para empréstimos que é de 30% e 5% exclusivos para cartão de crédito.

Os dados cadastrais são verificados afim de evitar fraudes, onde se verifica UF, filiação entre outros dados que podem variar conforme o convênio.

A política interna é na verdade uma convenção realizada entre os membros do conselho do convênio, onde se define algumas regras, por exemplo:

  • Quantidade de contratos
  • Situação funcional permitida
  • Entre outras situações específicas que podem variar de acordo com o convênio.

Por exemplo quem recebe pelo INSS pode fazer até 6 empréstimos, e quem recebe auxilio doença do INSS não pode realizar empréstimos.

Analise do Banco

O Banco por sua vez faz pesquisas referente a analise de crédito, apesar de não ser considerado restrições no SPC/SERASA como um impeditivo, existem algumas confirmações e verificações que o banco faz sim. Das quais as principais são:

  • Dados bancários
  • Confirmação com o cliente
  • Analise documental

As analises do banco são de caráter protecionista, evitando assim possíveis fraudes, seja de estelionatários ou até mesmo de algum familiar.

Margem Consignável

A margem consignável é o limite ao qual se pode comprometer da renda, contudo existe uma regra para chegar nesta conta.

Soma-se todas as rendas fixas do cliente e subtrai os descontos fixos, o resultado desta conta se multiplica por 30% em casos de empréstimos e 5% quando existe a possibilidade de cartões pelo convênio.

O cliente possuindo empréstimos é subtraído da margem dos 30%, tendo assim o valor máximo que o cliente pode comprometer da sua renda. Legal agora que você já sabe sobre o Empréstimo consignado como funciona, vamos para as possibilidades.

Possibilidades

Muitos clientes não tem margem consignável e ficam aflitos mas existem possibilidades para estes casos. Vamos destacar:

  • Refinanciamento
  • Portabilidade
  • Cartões

O Refinanciamento nada mais é que renegociar o que se foi pago, voltando o contrato para o inicio e liberando o saldo para o cliente como um novo empréstimo. Atualmente só é possível fazer o Refinanciamento tendo pago pelo menos 30% do prazo do contrato.

A portabilidade segue a mesma lógica do Refinanciamento, contudo a operação é feita através de um outro Banco. Muitas vezes o cliente se beneficia da portabilidade por uma taxa de juros menor o que possibilita um valor liberado maior.

Recentemente foi liberado pelo governo a possibilidade de utilizar 5% de margem para o limite de um cartão de crédito. No entanto, como a taxa de juros do cartão de crédito consignado é muito baixa, muitos clientes tem sacado este limite em dinheiro e pagando apenas o mínimo do cartão que já vem descontado em folha. Contudo, o pagamento mínimo deste cartão amortiza o saldo devedor e vira uma espécie de “empréstimo”.

Considerações

O Empréstimo consignado depende de autorização de seu convênio ou empresa. Ademais, consulte seu convênio para saber como o Empréstimo consignado como funciona para você! Só assim poderá usufruir da linha de crédito mais barata do Mercado de crédito.

Você sabia que o Portal Consignados é especialista em empréstimo consignado?

Com mais de 17 anos no Mercado de Empréstimo Consignado e com uma equipe treinada para lhe auxiliar na melhor decisão, no entanto o Portal Consignados trabalha em parceria com diversos bancos para lhe oferecer sempre o melhor negócio.

Empréstimo com débito em conta – Como funciona?

O empréstimo com débito em conta tem como principal característica a forma de pagamento das parcelas de seu empréstimo através do débito em conta corrente.

Primeiramente, como toda operação de crédito é importante analisar bem e pesquisar bem antes de sair contratando. Por este motivo, estamos escrevendo este artigo, com o objetivo em lhe ajudar a entender melhor esta modalidade de crédito.

Risco x taxa de juros

O risco é um fator que influencia diretamente nas taxas de juros, ou seja, quanto maior o risco, maior será os juros.

Contudo, o Empréstimo com débito em conta tem um dos índices de inadimplência mais altos do mercado, consequentemente uma das maiores taxas.

Algumas instituições Financeiras como a Crefisa oferecem este tipo de crédito a uma taxa mensal que pode chegar até 20% ao mês.

Analise outras opções antes

Existem modalidades de crédito que devem ser observadas antes de se submeter a uma taxa de juros dessa, as quais podemos destacar:

  • Empréstimo Consignado
  • Empréstimo Pessoal
  • Refinanciamento de Veículos
  • CDC

Existem diversas opções de crédito atualmente no mercado, por isso avalie todas as possibilidades.

Empréstimo com Débito em Conta porque é tão utilizada?

Neste momento, você deve estar se perguntando: Se é tão cara porque as pessoas fazem este tipo de empréstimo?

A resposta é muito simples : Facilidade na aprovação e necessidade emergencial em obter crédito.

Um dos grandes diferenciais desta modalidade de crédito é justamente o perfil do cliente que contrata, aos quais se destacam:

  • Clientes com restrição no nome
  • Clientes com Margem consignável excedida
  • Clientes já tomados em outros Bancos

Muitas vezes a falta de opção a necessidade faz com que se submeta a pagar uma taxa de juros mais alta para poder resolver um problema maior.

Lado Positivo

Algumas características importantes nesta modalidade de crédito que podemos destacar são:

  • Valor liberado
  • Prazo para pagamento
  • Desconto em quitação antecipada

Os valores liberados nesta modalidade de crédito não são muito expressivos, por isso você não se enrola tanto.

Os prazos para pagamento são no máximo em até 15 meses fazendo o total a prazo não ser tão grande assim.

Por ser uma modalidade de risco as instituições que operam com esta modalidade oferecem bons descontos na quitação antecipada.

Matemática da Vida

Há mais de 17 anos tenho acompanhado vários casos de clientes endividados. Por isso, apesar de pessoalmente achar muito caro e que deva ser sua última opção, a necessidade as vezes é maior do que a prudência. Contudo, as vezes, aqueles R$ 500,00 poderão fazer todo sentido para você e, mesmo pagando mais caro, não deixa de ser uma opção.

Ademais, aprendi que possibilidades são muito importantes no dia a dia de uma família e ter crédito nunca é ruim.

Tire o máximo de proveito

Recomendamos que se for sua única opção que a faça com muita prudência, e siga os 5 passos como, por exemplo:

  1. Solicite apenas o valor necessário
  2. Faça um esforço para pagar antecipado
  3. Contrate apenas o empréstimo
  4. Leia sempre seu contrato
  5. Faça pesquisas antes

Empréstimo deve ser feito para uma finalidade específica, por isso pegue apenas o valor necessário.

Como é um modalidade de risco, existem bons descontos em se pagar antecipadamente.

Se lhe for oferecido junto ao empréstimo, produtos como seguros, títulos de capitalização, não contrate. Certamente, isso vai encarecer seu empréstimo.

Leia atentamente seu contrato de empréstimo com débito em conta, e solicite que o agente de crédito lhe explique todos os detalhes. Existem pegadinhas e a informação do CET (Custo Efetivo Total) é fundamental para saber o que está exatamente pagando.

Pesquise antes, existem várias empresas que oferecem este tipo de serviço, não seja apressado! Consulte e compare, se necessário solicite até mesmo para ler as cláusulas do contrato antes mesmo de contratar.

Considerações Importantes

Analise muito bem antes de tomar qualquer decisão. No entanto, se for pagar dívidas recomendamos que faça primeiro as seguintes tentativas:

  • Negociar suas dívidas diretamente com o Credor
  • Refinanciamentos
  • Some todas as suas contas

Contudo, antes de você optar por um empréstimo com débito em conta tente negociar suas dívidas diretamente com o credor além de ser mais barato é muito simples. Haja com sinceridade com seu credor e coloque ele ciente de sua situação. No entanto, muitas vezes isso ajuda em muito no sucesso de uma negociação.

Tente refinanciar seus empréstimos. No entanto é mais barato e a instituição entende isso de forma positiva.

Some todas as suas contas e veja se realmente pode assumir mais uma dívida. No entanto, lembre-se que ao optar pelo débito em conta, não terá a opção de não pagar!

Vai descontar de sua conta, ou seja, se não tiver saldo pode ficar ainda com a conta negativa e pagar mais juros ainda.

Você sabia que o Portal Consignados é especialista em empréstimo consignado?

Com mais de 17 anos no Mercado de Empréstimo Consignado e com uma equipe treinada para lhe auxiliar na melhor decisão, no entanto o Portal Consignados trabalha em parceria com diversos bancos para lhe oferecer sempre o melhor negócio.

Empréstimo com Cartão de Crédito é Possível?

O Empréstimo com cartão de crédito não é uma modalidade de empréstimos, que isso fique bem claro. Geralmente quando utilizado desta forma o cliente acaba sendo lesado, seja pelos juros do cartão, ou pelo ágio do estabelecimento que estiver propondo tal condição.

Contudo, existe uma forma de fazer um “Empréstimo com Cartão de Crédito” e de forma legal, ou seja, sem que seja proposto por alguém de forma sorrateira.

Empréstimo com Cartão de Crédito só que não

Com o surgimento do cartão de crédito consignado muitos clientes tem utilizado do artifício do saque que pode chegar até 98% do limite do cartão, como uma forma de empréstimo. Muito cuidado! Apesar do juros do rotativo deste cartão ser menor do muito empréstimo por aí, ainda sim é uma operação de cartão.

Nesta modalidade não existe parcela fixa ou prazo para pagar e sua taxa pode variar conforme o mercado. Alguns cuidados são necessários, por isso recomendamos:

  • Pegue somente o necessário
  • Programe um pagamento regular
  • Saque não é Empréstimo
  • Calculo os Juros
  • Tenha controle dos Gastos

Um erro muito comum entre os consumidores é sacar além do necessário, ou seja, se você precisa de R$ 1.000,00 saque apenas o valor que necessita.

Lembre-se que seu cartão corrige pelo saldo devedor, portanto, caso opte por sacar, tente pagar o maior valor possível para que o saldo fique menor. Menor o saldo menor será os juros.

Não utilize o saque como um empréstimo, pois não é, faça de modo responsável.

Calcule os juros do rotativo. Contudo, para isso consulte a tabela do seu Banco emissor. Por exemplo BMG. Saber o quanto vai pagar é um passo importante para evitar surpresas desagradáveis.

Saiba parar, ou seja, uma vez utilizado o valor necessário, tire o cartão de sua carteira! Só coloque novamente assim que tiver o controle da situação.

Muitas vezes a matemática da vida é bem diferente da matemática financeira. Eu com meus 17 anos no mercado de crédito já vi muita coisa! Mas sabendo usar seu cartão, mesmo que como um “Empréstimo”, é possível controlar de forma saudável sua vida financeira.

Você sabia?

Com mais de 17 anos no Mercado de Empréstimo Consignado e com uma equipe treinada para lhe auxiliar na melhor decisão, no entanto o Portal Consignados trabalha em parceria com diversos bancos para lhe oferecer sempre o melhor negócio.

Itaú Uniclass – Conheça todas as Vantagens

Itaú Uniclass é uma categoria de atendimento do Banco Itaú, ou seja, existem classificações de clientes dentro do Itaú. Mas calma este tipo de classificação não é exclusividade do Itaú somente mas várias agencias possuem este tipo de classificação.

Ademais, com a fusão com o Unibanco, o Itaú herdou uma carteira de clientes chamados de “Renda Média”.

Contudo, são aqueles clientes com rendimentos acima de R$ 4.000,00.

Dentro do Itaú, atualmente existe 3 tipos de clientes:

  • Cliente Correntista Normal
  • Cliente Uniclass (Renda acima de R$ 4.000,00)
  • Cliente Personnalite (Renda acima de R$ 10.000,00)

No entanto, se você tem renda superior a R$ 4.000,00, pode ser um cliente e desfrutar de alguns serviços exclusivos:

  • Gerente Dedicado
  • Consultor de Investimentos
  • Maiores Limites de Crédito
  • Caixas exclusivos
  • Atendimento Gerencial por telefone

Aliás, o banco Itaú proporciona um atendimento personalizado para atender aos clientes de forma ágil e personalizada.

Itaú Uniclass x Personnalite

Ademais, os clientes Personnalite tem um diferencial dos Clientes Itaú Uniclass. No entanto, a diferença é na rede de atendimento, pois os clientes Personnalite tem uma rede de agencias específicas para ser atendido.

Contudo, além de contar com algumas vantagens como Saque programado, Gerente 24 horas e linhas de crédito mais acessíveis.

No entanto, as duas modalidades são interessantes e tem pontos a favor e contra. Contudo, o Uniclass está no meio termo o que não significa que é ruim, mas atende a um nicho de mercado.

Ademais, o cliente Personnalite tem um perfil de investimento, o que em muitas vezes é positivo por zerar algumas tarifas mantendo um investimento no Banco.

Contudo, o Cliente Itaú Uniclass já tem um perfil mais tomador, é o cliente que financia carro, casa e utiliza os produtos de crédito do Banco.

Níveis diferentes com serviços diferentes

Contudo, existem 3 níveis do Itaú Uniclass:

  • 3.0: É um pacote com serviços básicos, com uma tarifa de R$54,95 por mês
  • 4.0: É um pacote intermediário, com uma tarifa de R$ 68,95 por mês
  • 5.0: É um pacote completo, com uma tarifa de R$ 72,00 por mês

Itaú 3.0:

  • extratos ilimitados
  • 1 talão de cheque com 30 folhas mensais
  • saque ilimitado
  • transferências entre contas Itaú ilimitadas

Itaú 4.0:

  • extratos ilimitados
  • 2 talões de cheque. Cada talão com 40 folhas mensais
  • saque ilimitado
  • transferências entre contas Itaú ilimitadas
  • 6 transações de transferências DOC (eletrônico)
  • 6 transações de transferências TED (eletrônico)
  • 1 transação de transferência DOC (pessoalmente)
  • 1 transação de transferência TED (pessoalmente)

Itaú 5.0:

  • extratos ilimitados
  • 2 talões de cheque. Cada talão com 40 folhas mensais
  • saque ilimitado
  • transferências entre contas Itaú ilimitadas
  • 8 transações de transferências DOC (eletrônico)
  • 8 transações de transferências TED (eletrônico)
  • 2 transação de transferência DOC (pessoalmente)
  • 2 transação de transferência TED (pessoalmente)

Desvantagens

Os bancos de modo geral têm uma obsessão por produtos e serviços financeiros. No entanto, existem tais divisões e não se engane tudo no final das contas está sendo contabilizado e cobrado de você.

Portanto, pense muito bem e consulte a cesta de serviços antes de pensar em trocar de modalidade de cliente e isso serve para qualquer banco. Contudo, serviços a mais é igual a tarifas e taxas a mais.

Essa é a regra do jogo. Portanto, se você está satisfeito com o bom e velho atendimento da sua agência, fique com ela!

Contudo, não se iluda com um talão de cheque mais bonitinho ou um cartão prateado, pois eles não vão fazer diferença na sua vida.

Consulte o Banco central do Brasil, ele tem uma relação de tarifas cobradas pelas instituições Financeiras.

Você sabia?

Com mais de 17 anos no Mercado de Empréstimo Consignado e com uma equipe treinada para lhe auxiliar na melhor decisão, no entanto o Portal Consignados trabalha em parceria com diversos bancos para lhe oferecer sempre o melhor negócio.

Cartão de Crédito sem Burocracia já é Realidade

O Cartão de Crédito sem burocracia já é uma realidade e pode estar sim estar ao seu alcance. Muitos consumidores utilizam o cartão de crédito para fins de orçamento familiar e sua utilização já faz parte de 8 em cada 10 famílias brasileiras.

Muitos motivos fazem com que você não tenha a opção de um cartão de crédito a sua disposição. Contudo, vamos enumerar alguns deles:

  1. Falta de Crédito
  2. Restrições no nome
  3. Não possuir uma conta bancária

Estes são os três principais motivos que fazem você ficar sem poder ter um cartão de crédito. No entanto, existem alternativas. Por isso, continue lendo e irá descobrir.

Alternativas

Hoje no Mercado existe algumas opções para você que necessita de um Cartão de Crédito sem Burocracia, e o grande diferencial é a facilidade e acredite a taxa de juros do rotativo. Veja algumas opções:

  • Cartão de Crédito Consignado.
  • Cartão de Crédito Pré Pago.

Cartão de Crédito Consignado

Após a alteração da Lei 10.820 que define as regras do empréstimo consignado e consignações, ficou definido uma margem adicional de 5% para utilização exclusiva com Cartões de Crédito.

Contudo, com esta alteração na lei, os convênios com desconto em folha passaram a adotar a margem adicional com a finalidade de possibilitar aos seus colabores um cartão de crédito sem consulta e mais em conta.

Como tudo que é recente, é necessário a adesão e a adequação por parte dos convênios. Contudo, alguns deles já aderiram, como por exemplo:

  • Aposentados e Pensionistas do INSS
  • Servidores Federais
  • Servidores Estaduais (*)

* Servidores Estaduais: Consulte seu órgão para se certificar que o produto já está disponível para você.

Finalidades x Necessidades

Se sua finalidade é usufruir do limite do seu cartão de crédito em saques, este produto poderá lhe atender plenamente. No entanto, veja os motivos:

  • Sem Consulta ao SPC
  • Até 400% mais Barato do que um cartão de crédito convencional
  • Pagamento mínimo amortiza Saldo devedor
  • Pode sacar até 98% do Limite

Entender a finalidade é fundamental para utilizar seu cartão de forma mais correta possível. No entanto, lembre-se que, apesar de um cartão especial ele incide juros e por isso tenha responsabilidade em utiliza-lo.

Formas de Pagamento

O pagamento é realizado conforme sua margem dos 5% em desconto em folha e o restante pode pagar através de boleto bancário, ou fatura do cartão. Existe as seguintes possibilidades:

  • Pagamento Total da Fatura
  • Pagamento Parcial
  • Desconto apenas do Mínimo

Digamos que utilizou R$ 1.000,00 do limite do seu cartão e sua margem dos 5% é de R$ 100,00. Receberá uma fatura no valor de R$ 900,00 porque R$ 100,00 já foi descontado em folha.

A fatura dos R$ 900,00 poderá ser paga no valor total, ou poderá optar por pagar por exemplo o valor de R$ 100,00. Ademais, note que o rotativo do cartão é sobre o saldo, ou seja, se descontou R$ 100,00 em folha e fez outro pagamento através da fatura no valor de R$ 100,00 os juros irão incidir sobre R$ 800,00.

Por este motivo, quanto maior o pagamento avulso, menor será os juros! Fica a Dica.

Cartão de Crédito sem Burocracia algumas alternativas

Como ainda este cartão não é para todos, pois depende de autorização de seu convênio, existem alternativas para você que ainda não pode ter um cartão de crédito consignado. No entanto, veja a alternativa:

  • Cartão de Crédito sem burocracia Pré Pago

O Cartão de crédito sem burocracia pré pago não é ainda muito conhecido no Brasil. No entanto, é muito interessante para você que precisa de um cartão para pagar contas ou comprar online. Veja as principais vantagens:

  • Sem Juros
  • Sem Anuidade
  • Sem Mensalidade
  • Cartão Internacional
  • Sem Consulta ao SPC/Serasa

O modelo de consumo no mundo vem mudando e os padrões de segurança também. Contudo, veja um exemplo bem sucedido de utilização do cartão pré pago:

Marcelo tinha dois filhos adolescentes mas achava que abrir uma conta para eles seria ainda muito cedo. Por isso, decidiu dar um cartão pré pago para cada um deles e carregar com crédito conforme sua necessidade. No entanto, Marcelo, além de proporcionar aos seus filhos opções mais seguras, ainda lhes preparou para iniciar sua vida financeira.

Contudo, ao escolher seu cartão de crédito, analise bem as opções e política de crédito do Banco emissor. No entanto, se souber usar o cartão, é um excelente aliado.

Você sabia?

Com mais de 17 anos no Mercado de Empréstimo Consignado e com uma equipe treinada para lhe auxiliar na melhor decisão, no entanto o Portal Consignados trabalha em parceria com diversos bancos para lhe oferecer sempre o melhor negócio.

Renegociação de dívidas com Banco – Como fazer?

Renegociação de dívidas com Banco pode parecer um obstáculo intransponível mas na verdade não é nada disso. Contudo, o importante é ter todas as informações sobre sobre sua dívida a mão. Contudo, neste artigo, iremos explicar o passo a passo de como obter sucesso em uma renegociação de dívidas com Banco.

Tenha todos os Detalhes

O importante na hora de uma renegociação de dívidas, é ter todos os detalhes de seu empréstimo ou financiamento em mãos. Detalhes como por exemplo:

  • Valor Emprestado ou Financiado
  • Valor de Parcela
  • Taxa de Juros
  • Parcelas pagas
  • Parcelas em atraso
  • Contrato
  • CET (Custo Efetivo Total)

Tais informações são muito importantes e você caso não tenha poderá solicitar a instituição Financeira.

Avaliar uma Renegociação de Dívidas com Banco

Em posse de todas as informações é a hora de começar a avaliar o seu contrato, para isso estabeleça um checklist de questões:

  • Qual foi a taxa de juros contratada?
  • Existe alguma taxa embutida no meu financiamento ou empréstimo?
  • Existe seguro?
  • Qual a mora paga de juros por conta do atraso?
  • Em quanto está minha dívida?

Muitas operações de crédito tem taxas de juros diferenciadas, saber a contratada poderá ser muito útil. Considere todas as despesas que envolveram seu empréstimo ou financiamento, principalmente se existe seguros embutidos.

Muitas instituições tem políticas de punição ao credor em atraso e colocar taxas adicionais em casos de atrasos, saiba o quanto estão lhe cobrando por isso.

Faça uma planilha colocando todas as informações de sua dívida, isto é muito importante para elaborar uma defesa.

Saiba Recorrer

Uma Renegociação deve partir de forma amigável, ou seja, recorra ao seu gerente ou agente de crédito e solicite uma renegociação, contudo pondere:

  • Valor da dívida a prazo
  • Valor de Parcela
  • Taxa de Juros

Renegociar sua dívida aumentando o total a prazo pode ser um tiro no pé, por isso, avalie bem antes de tomar uma decisão. Outro aspecto é o valor da parcela, se você chegou ao ponto de não conseguir pagar, renegociar aumentando a parcela é algo que não deve ser tido como uma opção.

Discuta com seu gerente a taxa de juros, brigue por taxas menores, assim o ganho é real em uma renegociação.

Toda e qualquer comunicação realizada junto a uma instituição financeira deve ser realizada através de carta, seja ela protocolada ou com AR via correios.

Não se esqueça que em instituições Financeiras a arte do empurra é sua maior ferramenta de trabalho, por isso, protocole sempre.

Mantenha um cronograma e anote tudo, cada contato, telefone e exija protocolo, isso poderá lhe ser muito útil. Colher provas de sua boa fé é fundamental em acordos.

Existem possibilidades

Atualmente, existem programas de acordos coletivos. Contudo, nestes acordos são levados em consideração sua capacidade de pagamento. Um exemplo disso é o SERASA, que promove encontros entre clientes e seus devedores. No entanto, para participar é muito simples. Basta informar detalhadamente suas dívidas, que é realizado um agendamento. Caso tenha interesse em realizar este agendamento, basta clicar aqui.

Portabilidade também é uma opção para você que precisa de um upgrade em suas dívidas, contudo atualmente só é possível realizar em operações de crédito como o empréstimo consignado.

Você sabia que o Portal Consignados é especialista em empréstimo consignado?

Com mais de 17 anos no Mercado de Empréstimo Consignado e com uma equipe treinada para lhe auxiliar na melhor decisão, no entanto o Portal Consignados trabalha em parceria com diversos bancos para lhe oferecer sempre o melhor negócio.

Consistências do Banco BMG – Como Resolver?

O processo de liberação de um empréstimo consignado passa por diversas etapas. Contudo, no Banco BMG são chamadas de consistências. Ademais, cada consistência tem um número e este número representa um tipo de ocorrência.

Contudo, entender bem as consistências é um fator determinante para evitar atrasos na sua liberação. No entanto, existem diversos tipos de consistências para ilustrar segue as principais como, por exemplo:

  • 51 – Consiste parâmetros que exigem analise documental.
  • 145 – Consiste parâmetros que exigem Analise Documental.
  • 150 – UF da agência de crédito/saque diferente da UF loja da operação.
  • 155 – Pós Venda – Consiste valor liberado para cliente – Refinanciamento.
  • 159 – Consiste OP e DOC/TED acima do máximo parametrizado.
  • 162 – Consiste parâmetros específicos – Liberação Correspondente.
  • 179 – Banco e/ou Forma de Liquidação inválidos para recebimento do crédito.
  • 180 – Operação só pode ser liberada mediante a apresentação do físico.
  • 181 – Consiste UF do endereço x UF domicílio bancário.
  • 184 – Consiste CPF do agente/usuário.
  • 267 – Aguardando recebimento da gravação.
  • 270 – Aguardando recebimento de documentação.
  • 272 – Problemas na documentação anexada.
  • 274 – Validação de dados: Aguardando consulta.
  • 275 – Aguardando validação de dados.
  • 276 – Aguardando Consulta Data Nascimento – Metabusca.
  • 277 – Aguardando Validação Data de Nascimento.
  • 278 – Aguardando Validação de CPF.
  • 279 – Aguardando Validação de Data de Nascimento.
  • 280 – Validação Endereço.
  • 282 – Aguardando Análise Contra Cheque.
  • 284 – Aguardando consulta de margem.
  • 285 – Tratamento de Duplicidade de Proposta de Cartão.
  • 287- Sem concorrência de intencionamento.

Porque é importante saber sobre minhas Consistências?

Ademais, entender cada uma das suas consistências é muito importante para que possa resolve-la de forma correta e mais rápida. Contudo, somente assim o empréstimo consignado poderá ser pago. No entanto, para cada Consistência requer uma ação. Ademais, estaremos explicando detalhadamente abaixo:

51 – Consiste parâmetros que exigem analise documental

Que a operação depende de análise documental e, para isso, é necessário anexar os documentos corretamente (observar consistência de pendência de anexo 270 e 272 e demais que são de responsabilidade do correspondente).

Ação do Correspondente: Anexar toda a documentação no Consig, liberar todas as consistências de responsabilidade do correspondente e aguardar o prazo de 48 horas para a análise da Mesa.

145 – Consiste parâmetros que exigem Analise Documental

Que a operação depende de análise documental, e, para isso é necessário anexar os documentos corretamente (observar consistência de pendência de anexo 270 e 272 e demais que são de responsabilidade do correspondente).

Ação do Correspondente: Anexar toda a documentação no Consig, liberar todas as consistências de responsabilidade do correspondente e aguardar o prazo de 48 horas para a análise da Mesa.

150 – UF da agência de crédito/saque diferente da UF loja da operação

Ademais, quando o Correspondente não está localizado no mesmo estado que o cliente.

Ação do Correspondente: Acessar o Consig e liberar a consistência para que a proposta possa seguir para analise interna do Banco.

155 – Pós Venda – Consiste valor liberado para cliente – Refinanciamento

Esta consistência é gerada quando existe a necessidade do Banco confirmar o valor liberado e demais condições do empréstimo com o cliente.

Ação do Correspondente: Acompanhar via sistema e informar o cliente que o Banco irá entrar em contato.

159 – Consiste OP e DOC/TED acima do máximo parametrizado

Quando o valor liberada para Ordem de Pagamento é superior a R$ 5.000,00, pois valores muito altos devem ser confirmados e analisados a fim de evitar fraudes.

Ação do Correspondente: Liberar consistencia após analise interna.

162 – Consiste parâmetros específicos – Liberação Correspondente

Consistência de responsabilidade do correspondente para que avalie, de acordo com seu próprio critério, a formalização e a integridade da operação.

Ação do Correspondente: Após avaliar, acessar pelo Consig a opção Manutenção >> Liberação de Consistências>> realizar o filtro e liberar.

179 – Banco e/ou Forma de Liquidação inválidos para nova operação de empréstimo

Quando os dados bancários informados na proposta não estão válidos. Contudo, geralmente isso ocorre quando o banco tenta validar os dados bancários e não consegue.

Ação do Correspondente: Acionar o suporte do Banco via chat, abrindo um chamado para que internamente seja feita a alteração dos dados bancários.

180 – Operação só pode ser liberada mediante a apresentação do físico

Quando o cliente fechou alguma proposta recente e solicitou novamente uma nova operação de empréstimo.

Ação do Correspondente: Encaminhar o contrato físico e documentos para a filial administrativa do banco.

181 – Consiste UF do endereço x UF domicílio bancário

Quando o cliente mora em um estado diferente da onde ele possuí conta bancária.

Ação do Correspondente: Confirmar os dados bancários com o cliente e liberar a consistencia.

184 – Consiste CPF do agente/usuário

Quando a proposta foi digitada com o CPF do agente / usuário que não possuí cadastro de agente certificado.

Ação do Correspondente: Indicar um CPF de um agente cadastrado ou cadastrar o CPF do agente no Consig.

267 – Aguardando recebimento da gravação

Que a operação foi realizada através de venda gravada e para prosseguir com a aprovação, portanto é necessário enviar o arquivo de gravação para o servidor do Banco (SFTP). Vide Manual de Venda Gravada.

Ação do Correspondente: Ademais, é necessário nomear o arquivo de gravação conforme a formatação padrão e em seguida enviar através do SFTP. Vide Manual de Venda Gravada.

270 – Aguardando recebimento de documentação

Sinaliza que os documentos necessários para aprovação da proposta não foram inseridos no sistema BMG CONSIG. Contudo, é necessário anexar todos os documentos exigidos pelo Banco.

Ação do Correspondente: Acessar a opção “Manutenção”>>”Upload de Anexos”>> Realizar o filtro para localizar a operação e anexar as imagens nos campos necessários.

272 – Problemas na documentação anexada

Indica que a mesa de analise que libera a 51 e 145 identificou divergência ou irregularidade na documentação.

Ação do Correspondente: Observar qual anexo pendente e corrigir anexando-os. Acessar a opção “Manutenção”>>”Upload de Anexos”>> Realizar o filtro para localizar a operação e anexar as imagens nos campos necessários.

274 – Validação de dados: Aguardando consulta

Contudo, que houve sucesso na consulta de intencionamento e que os dados cadastrais estão sendo validados. Dica: No entanto, observar se não existe nenhuma outra consistência de responsabilidade do correspondente que possa impedir o pagamento/liberação.

Ação do Correspondente: Ademais, aguardar a validação. Contudo, caso não seja possível fazer a validação, ou seja, se a consistência estiver negada, observar o fluxo da consistência 278, a qual exigirá o contracheque para análise manual.

275 – Aguardando validação de dados

É quando o banco está confirmando todos os dados da proposta.

Ação do Correspondente: Acompanhar validação de dados e se necessário cobrar agilidade na validação via suporte do Chat.

276 – Aguardando Consulta Data Nascimento – Metabusca

Sistema de consulta interno do banco que irá validar data de nascimento conforme sistema interno para que seja validade idade conforme politica de crédito do banco.

Ação do Correspondente: Acompanhar.

277 – Aguardando Validação Data de Nascimento

Esta consistencia é parecida com a 276, contudo a validação é realizada manualmente pelos analistas do banco.

Ação do Correspondente: Acompanhar e, se necessário, anexar documentos no Consig. para agilizar a validação.

278 – Aguardando Validação de CPF

Ademais, indica que os dados não foram validados com sucesso. Contudo, e necessário enviar contracheque do cliente através do BMG Consig.

Ação do Correspondente: Acessar o menu BMG CONSIG Manutenção -> Upload de anexo, e inserir o a documentação.

279 – Aguardando Validação de Data de Nascimento

Validação manual da data de nascimento do cliente.

Ação do Correspondente: Acompanhar.

280 – Validação Endereço

Ademais, indica que estamos verificando se o endereço digitado esta em duplicidade para outro CPF cadastrado. No entanto, uma eventual duplicidade poderá gerar o cancelamento da proposta.

Ação do Correspondente: No entanto, caso a operação seja cancelada nessa consistência e o endereço cadastrado for o mesmo enviado no comprovante, enviar e-mail para reanalise do banco com o Comprovante em anexo. Contudo, se estiver válido, o impedimento será liberado.

282 – Aguardando Análise Contra Cheque

Significa que o contracheque foi anexado, conforme fluxo na consistência 278 e está aguardando análise do Banco.

Ação do Correspondente: Aguardar tratamento e liberação da consistência.

284 – Aguardando consulta de margem

A consistência liberada significa que a consulta foi realizada com sucesso, o que confirma o intencionamento do cliente. Atenção: digitação com dados divergentes (ex. matrícula e órgão) acarretará o cancelamento automático da proposta.

Ação do Correspondente: Caso a consistência ainda esteja no processo de liberação, se faz necessário certificar-se com o cliente se houve o intencionamento. Contudo, caso a operação seja cancelada nessa consistência, deverá ser observado o motivo e redigitado.

285 – Tratamento de Duplicidade de Proposta de Cartão.

Significa que existe mais de uma operação digitada para o mesmo cliente. Contudo, caso a mesma esteja liberada, você tem prioridade nesta operação.
Ademais, atente-se ao status da 284, providenciando o intencionamento o quanto antes, para que sua proposta seja liberada.

Ação do Correspondente: Caso a 285 esteja pendente e você tenha o controle do intencionamento junto ao cliente, envie um e-mail para Apoio Comercial  com o assunto “Prioridade SIGEPE” e solicite a reversão de prioridade da proposta.

287- Sem concorrência de intencionamento.

Contudo, se essa consistência estiver liberada a operação seguirá o fluxo normal de aprovação, desde que todas as outras consistências estejam também liberadas. Ademais, a consistência será reaberta quando houver outra loja manifestando interesse na operação e alegando possuir o intencionamento do cliente.

Ação do Correspondente: No entanto, para reversão, seguir o mesmo procedimento citado na consistência 285, para o e-mail Apoio Comercial.

Obs. Ademais, a Mesa irá considerar como critério de aprovação quem enviar o intencionamento primeiro.

Ademais, espero poder ter ajudado com as explicações e descrições das consistências neste artigo. No entanto, logo teremos uma área de EAD com Curso Online para Correspondente aonde estaremos explicando o passo a passo.

Você sabia que o Portal Consignados é especialista em empréstimo consignado?

Com mais de 17 anos no Mercado de Empréstimo Consignado e com uma equipe treinada para lhe auxiliar na melhor decisão, no entanto o Portal Consignados trabalha em parceria com diversos bancos para lhe oferecer sempre o melhor negócio.

Intencionar Reserva de Margem do Cartão SIAPE

Um dos segredos para ter seu Cartão de Crédito SIAPE liberado rapidamente é intencionar reserva de margem corretamente. Contudo, no vídeo abaixo, estaremos demonstrando como você faz isso na prática. Assista!

Após  intencionar Reserva de Margem o que devo Fazer?

Se você seguiu o passo a passo, não precisará fazer mais nada. Contudo, o Banco faz a conciliação da reserva e, após isso, é feito o pagamento. Contudo, o prazo do pagamento pode variar de Banco para Banco. Ademais, no BMG em média os clientes estão levando 48 horas para receber após a reserva dos 5%.

Eu fiz o passo a passo e ainda não recebi o crédito do saque

No entanto, se você fez o passo a passo e já se passaram 48 horas e nada do seu crédito, pode haver alguns problemas. Contudo, vamos destacar os principais:

  • Proposta se encontra em analise do Banco.
  • Correspondente não existe mais.
  • Pendência de Documentação.
  • Perfil fora da política de Crédito do Banco.

Para resolver os problemas acima descriminados é bem simples, veja como funciona:

Proposta se encontra em Analise do Banco

Se a proposta está parada na analise do banco é porque alguma consistência não foi liberada. Para resolver este problema basta entrar em contato com seu correspondente. Pode ser diversas situações e as vezes é muito simples de se resolver! Como por exemplo um comprovante de residência que ficou faltando.

Correspondente não existe mais

Como as propostas do cartão foram liberadas para digitação a mais de um ano, é possível que o correspondente não exista mais. Em casos assim será necessário que entre em contato com a central de relacionamento do Banco BMG e indique um correspondente de sua confiança. Para isso é necessário informar o código da loja do Correspondente ao qual deseja que prossiga com o atendimento. Caso não consiga fazer isso pelo telefone, pode solicitar ao seu correspondente atual que o faça. Basta informar com suas próprias palavras o porque deseja mudar de correspondente.

Pendência na documentação

Se tiver alguma pendência na sua documentação, não bastará intencionar reserva de margem no sistema do SIGEPE. O Banco também tem seu processo de validação, mas calma é muito simples! Basta entrar em contato com seu correspondente e enviar a documentação que está pendente.

Perfil fora da política de Crédito do Banco.

Se o Banco negou sua proposta por causa de alguma ocorrência interna, ou política de crédito basta seguir os seguintes passos.

1º Solicite o cancelamento da proposta.

2º Solicite a exclusão da reserva por parte do Banco.

O processo neste caso é mais moroso, leva em torno de 5 dias úteis.

 Recebi um valor a menor o que devo fazer?

Existem duas situações que podem estar ocorrendo, a primeira é considerar seu limite dos 5%. No BMG por exemplo, por mais que tenha solicitado um valor maior o Banco irá depositar o que corresponde a 24 vezes a sua margem dos 5%. Existem limites por idade também confira abaixo:

Clientes com até 60 anos pode sacar até R$ 60.000,00.

Clientes de 61 anos a 70 anos pode sacar até R$ 25.000,00.

Clientes de 71 a 75 anos e 11 meses pode sacar até R$ 5.000,00.

Clientes acima de 75 anos e 11 meses não será concedido crédito.

Lembrando que os limites são conforme política de crédito de cada banco, no Bonsucesso por exemplo se aplica 19 vezes a margem dos 5% como limite após intencionar reserva.

Fez o pedido do Cartão mas agora preciso sacar

Outra situação bem comum é o cliente que fez o pedido do cartão e na ocasião não solicitou o saque, neste caso é muito simples resolver. Basta solicitar para um correspondente de sua confiança que faça a solicitação da proposta de saque. Mas atenção: Só pode solicitar saque após o cartão ter sido gerado no sistema. Contudo, se a proposta estiver em andamento, terá de aguardar até a conclusão da mesma.

Você sabia que o Portal Consignados é especialista em empréstimo consignado?

Com mais de 17 anos no Mercado de Empréstimo Consignado e com uma equipe treinada para lhe auxiliar na melhor decisão, no entanto o Portal Consignados trabalha em parceria com diversos bancos para lhe oferecer sempre o melhor negócio.

Planos de Saúde Sofrerão Reajuste de 13,57% em Junho

Em meio à crise que assola o país, é assustador saber os planos de saúde estarão 13,57% mais caros. Contudo, a situação da saúde pública no Brasil obriga consumidores a aceitarem o percentual imposto pelos convênios. No entanto, infelizmente esse reajuste conta com o crivo da ANS – Agência Nacional de Saúde Suplementar.

No dia 06.06.16, a ANS publicou o índice máximo de 13,57%, para o reajuste dos planos de saúde individuais/familiares. Contudo, serão reajustados a partir deste mês até abril de 2017, respeitando a data de aniversário dos respectivos contratos ou apólices. Segundo a ANS, o reajuste divulgado alcança 17% dos consumidores, o que representa cerca de 8,3 milhões de beneficiários.

Planos de Saúde – Fique atento!

Para que seu contrato ou apólice esteja sujeito a tal reajuste, é necessário que tenha sido contratado como pessoa física:
(1) após janeiro de 1999;
(2) se contratado antes, estará suscetível apenas se o contrato não contiver cláusula de índice financeiro (IGPM, IPCA etc); ou
(3) se for plano de saúde antigo, mas adaptado à Lei 9656/98.

Caso o seu plano tenha sido contratado por uma pessoa jurídica, a sistemática do reajuste é outra.  Portanto, poderá incidir reajuste ainda maior que os 13,57% autorizados pela ANS. Contratos coletivos sofrem reajuste conforme a livre negociação entre a empresa e a operadora de planos de saúde. Para iniciar as negociações, a operadora verifica a sinistralidade do contrato ou de um agrupamento de contratos.

Como a ANS chega ao percentual dos Planos de Saúde

Surpreendentemente, o índice do reajuste para pessoa física é calculado com base no reajuste para pessoas jurídicas. No entanto, a lógica é a seguinte:

Entre pessoa física e operadora, há flagrante desproporcionalidade no poder de barganha. Desta feita, faz-se necessária a intervenção da ANS para evitar abusividade.

Já para contratos firmados com PJ, tal reajuste acontece de forma mais equilibrada, pois há duas pessoas jurídicas em negociação. A vulnerabilidade nessa relação é muito menor.

As operadoras são obrigadas a informar os percentuais praticados para os planos coletivos à ANS. Isso permite que se faça uma média em âmbito nacional, aplicando o reajuste apurado para os planos individuais/familiares.

Algumas dicas

Caso o seu reajuste não seja aplicado de acordo com as regras acima, procure uma instância de mediação de conflitos. Contudo, pode ser mais rápido e menos burocrático do que buscar diretamente o Poder Judiciário.

Por exemplo: as operadoras são obrigadas a manter uma Ouvidoria cujo prazo de resposta é de 07 dias úteis. A reclamação também pode ser registrada na ANS, por meio do 0800-7019656. Se a operadora não presta os devidos esclarecimentos ao consumidor em 10 dias úteis, poderá ser penalizada pela ANS.

Após tais tentativas, se o assunto não for solucionado e realmente houver abusividade, é hora de recorrer à Justiça. Contudo, é muito provável que, pelo valor a ser discutido, deva se dirigir a um Juizado Especial Cível.

Este artigo foi escrito por: Dr. Fabiano Luiz Ribeiro Pereira

Advogado – OAB/PR Nº 67773

Saiba mais sobre Fabiano Luiz Ribeiro Pereira acessando http://www.fabiolauniz.com/

Você sabia que o Portal Consignados é especialista em empréstimo consignado?

Com mais de 17 anos no Mercado de Empréstimo Consignado e com uma equipe treinada para lhe auxiliar na melhor decisão, no entanto o Portal Consignados trabalha em parceria com diversos bancos para lhe oferecer sempre o melhor negócio.

Comunicado SIAPE define regras sobre os 35%

O Comunicado SIAPE foi publicado em 01 de Junho de 2016. O SIAPE, através do Ministério do Planejamento, Desenvolvimento e Gestão, soltou um informativo com algumas alterações. Essas alterações são nos normativos que regulamenta o processo de consignação do SIAPE, referente a lei 13.172 e o decreto 8.690 bem como MP nº 110.

Comunicado SIAPE define regras sobre os 35%

Passa a valer a margem dos 35%, sendo que 30% é destinado para empréstimos, e 5% exclusivos para operações com cartão de crédito. O que até então não deixa de ser o esperado. Até porque a alteração esta em conformidade a lei 10.820, que foi alterada recentemente.

Uma mudança significativa é a inserção dos débitos referente a serviços de saúde ou planos de saúde. Estes passam a ser considerados e abatidos da margem dos 30% e não mais da margem dos 70%. No meu entendimento, isso acaba atrapalhando um pouco as coisas. Além do valor do plano de saúde, a margem do servidor poderá sofrer algumas alterações com alguns procedimentos cobrados a parte na folha.

Por exemplo:

Exames que são valores não definidos e, apesar desta alteração só passar a valer em Julho. Já existe uma movimentação dos bancos a fim de evitar que operações como portabilidade sejam realizadas sem a devida atenção.

Até mesmo as operações de empréstimos novos estão tendo agora 48 horas de prazo mínimo para pagamento. Essa medida é a fim de assegurar que se faça a reserva de margem de forma correta.

Esta alteração gera muita preocupação por parte dos bancos e poderá ter impactos muito negativos na forma de contratação de novos empréstimos. Uma vez que não se tem uma margem segura para efetuar a consignação devido as grandes oscilações que tais débitos referente a saúde poderão ocasionar.

Resposta do Siape

O Comunicado SIAPE, por sua vez fala que haverá sim impactos até a adequação do limite dos 35% na folha de Julho. Isso não deixa claro se sua incorporação passa a valer a partir de agora ou se será realizada somente uma adequação em Julho. Já está valendo os 35%, porém com a alteração na margem prevista em Julho irá mudar tudo. Por outro lado, os bancos ainda não divulgaram nada. Isso me deixa preocupado com a liberação do cartão.

Ademais, o SIAPE ainda informa que o prazo para cadastro dos bancos acaba em 11 de Junho de 2016. Contudo, após esta data, caberá os Bancos  iniciarem o processo de venda do cartão.

Boas notícias sobre o Comunicado SIAPE

A boa noticia é que se existia algum impedimento, não existe mais. A parte legal e institucional estão prontas. Agora, caberá aos bancos ajustarem e se adequarem para dar inicio a liberação dos cartões. Contudo, até o momento deste artigo, não temos uma definição de data oficializada por parte de nenhuma instituição do setor bancário.

Nem mesmo nenhum roteiro operacional que explique como ficará a questão do limite de crédito dos cartões. Com essa mudança de incluir as despesas de saúde na margem dos 35%, continuamos no aguardo de novas notícias.

Você sabia que o Portal Consignados é especialista em empréstimo consignado?

Com mais de 17 anos no Mercado de Empréstimo Consignado e com uma equipe treinada para lhe auxiliar na melhor decisão, no entanto o Portal Consignados trabalha em parceria com diversos bancos para lhe oferecer sempre o melhor negócio.

Calculando Limite do Cartão SIAPE

Se você anda perdendo o sono calculando Limite do Cartão SIAPE, então bem vindo ao clube. Apesar de mais de um ano de espera, ainda não temos uma fórmula exata que diga como calcular o limite do seu cartão.

Contudo, algumas iniciativas foram tomadas por parte do Banco BMG disponibilizando um simulador de limite pelo Excel, mas por sua complexidade e, após tantas mudanças, acreditamos que não irá se aplicar a forma de calculo informada pelo BMG. Contudo, estamos tomando a iniciativa de divulgar um simulador que entendemos que se aplica a realidade.

Calculando Limite do Cartão SIAPE

Uma vez entendendo que se temos o valor da margem dos 30% (trinta por cento), podemos aplicar a mesma regra para o limite do cartão se pegar uma sexta parte deste limite, ou seja, dividindo por 6 (seis) teremos os 5%.

Considerações Importantes calculando Limite do Cartão SIAPE

Em nosso simulador, você deverá se atentar ao campo “Margem dos 30% (Contracheque)”. No entanto, este campo deverá ser preenchido conforme sua margem atual. Mesmo que negativa, se trata de informar o valor da margem liquida e atual conforme descrita em seu contracheque ou a informada pelo portal SIGEPE.

Outro campo importante a ser observado é “Soma de todos os Empréstimos”. Ademais, some através de seu contracheque um a um de seus empréstimos consignados. A partir do dia 25/05/2016, some a este campo o valor debitado em seu contracheque da mensalidade de seu plano de saúde.

Considerações importantes

Ademais, os cálculos informados acima são apenas uma referencia de iniciativa do Portal Consignados. Contudo, neste exato momento que o artigo está sendo criado, não existe uma informação confirmada por parte do SIAPE. Partimos do óbvio que seria considerar sua margem dos 30% como base e 5% como uma sexta parte da margem dos 30%. Isso conforme decreto 8.690 publicado em 11 de Março de 2016.

Você sabia que o Portal Consignados é especialista em empréstimo consignado?

Com mais de 17 anos no Mercado de Empréstimo Consignado e com uma equipe treinada para lhe auxiliar na melhor decisão, no entanto o Portal Consignados trabalha em parceria com diversos bancos para lhe oferecer sempre o melhor negócio.

Indicar Instituição no Sistema do SIGEPE para o Cartão

Com a liberação dos cartões para os servidores federais, é necessário indicar instituição financeira a qual solicitou o cartão para fazer a reserva. Ademais, este passo é importante para a liberação do cartão. Contudo, definimos apenas 5 passos necessários para a transmissão. Siga o passo a passo e gere o código a favor da Instituição Financeira.

5 passos básicos para indicar instituição no SIGEPE

Em apenas 5 passos básicos você servidor federal que precisa indicar a instituição no sistema do SIGEPE irá aprender. Siga nosso passo a passo:

1º Passo

Acesse o portal SIGEPE clicando aqui e selecione a opção “Sigepe Servidor e Pensionista” contida na primeira página.
Passo 1 sigepe

2º Passo

O servidor deverá inserir seu CPF, Senha e clicar em “Acessar”.

Passo 2 Sigepe

3º Passo

O servidor deverá clicar na opção “Consignações”.

passo-3-sigepe

4º Passo

Ademais, o servidor deverá acessar a opção “Gerar Código de Autorização de Consignações”.

passo 4 siape

5º Passo

O servidor deverá selecionar o Banco BMG (Exemplo) e clicar em “Gerar Código”.

Obs: NÃO é necessário transmitir o código gerado para o banco. No entanto, o sistema disponibiliza automaticamente e fica gravado no Portal SIAPE.

Considerações Finais

O Cartão consignado para os servidores federais foi um grande conquista. Após uma grande espera, nós do Portal Consignados, sempre estaremos aqui para lutar por aquilo que entendemos que é justo. Ademais, é importante lembrar que se trata de um cartão de crédito e necessita de muita cautela na sua utilização. Contudo, apesar de ter juros praticamente 400% menores que qualquer outro cartão de crédito convencional, é muito importante saber como efetuar o pagamento deste cartão. Também deverá saber bem como utiliza-lo com segurança para evitar futuros aborrecimentos. Por isso, caso tenha dúvidas sobre a utilização, conte sempre com nossa ajuda e suporte.

O cartão de Crédito consignado SIAPE é um dos melhores produtos em consignação. No entanto, hoje no mercado financeiro, muitos clientes do INSS tem tido uma experiência fantástica com sua utilização, além de ser um grande aliado. Como um crédito emergencial devido a sua capacidade de poder sacar com taxas tão baixas. Contudo, lembramos que este cartão não possui anuidade, nem mensalidade e está disponível em diversas instituições financeiras.

Você sabia que o Portal Consignados é especialista em empréstimo consignado?

Com mais de 17 anos no Mercado de Empréstimo Consignado e com uma equipe treinada para lhe auxiliar na melhor decisão, no entanto o Portal Consignados trabalha em parceria com diversos bancos para lhe oferecer sempre o melhor negócio.

Planos de saúde serão debitados da margem dos 30%

O SIAPE anunciou que Planos de Saúde serão debitados da margem dos 30% (trinta por cento). Essa margem é utilizada para calcular limite para empréstimos consignados. Atualmente, o servidor possui plano de saúde debitado da sua folha de pagamento. Este tem o valor da mensalidade do plano deduzida da margem dos 70% (setenta por cento).

Agora, com a nova regra terá deduzido da margem dos 30%. Contudo, esta mudança começa a valer a partir do dia 25/05/2016 e terá grande impacto sobre a margem pra empréstimos do servidores federais. Estamos acompanhando o decreto 8.690 para confirmar esta alteração na data acima mencionada.

Planos de saúde serão debitados da margem

Com a mudança do débito da mensalidade dos planos de saúde fazerem parte da margem dos 30% (trinta por cento), muitos servidores federais ficaram com sua margem negativa. Pior ainda, mais negativa do que já estava. Isso poderá afetar tanto as contratações de empréstimos novos quanto de operações de refinanciamento e portabilidade.

Nessa semana, alguns bancos já sinalizaram a paralisação de operações de portabilidade. Eles estão com medo de não conseguirem fazer a reserva da parcela devido a essa mudança. O servidor tinha a certeza que seu plano de saúde não iria interferir na sua margem dos 30%. Agora, o mesmo ficou surpreso em saber que tanto irá interferir quanto irá deixa-lo sem margem, ou pior, com a margem negativa.

Em conversa com alguns servidores, muitos me confidenciaram que se sentiram enganados, pois não foi cumprido o que lhes havia prometido.

Porque faz tanta diferença?

Os servidores Federais há anos vem sofrendo com a desvalorização de seus salários. Isso devido a falta de reajuste e com a inflação. O fato é que a margem dos 30%,.ainda faz muita diferença. Se mantive-lá positiva, a mesma lhe dará a possibilidade de refinanciar seus contratos ou até mesmo fazer uma portabilidade de empréstimo consignado.

Pessoalmente, tenho acompanhado a luta dos servidores. Muitos, já são meus amigos. Enfrentaram várias lutas e são uma categoria com muito engajamento. Os últimos governos vêm assolando e massacrando a categoria com diversas promessas não cumpridas. É um descaso fora do comum.

Alternativa Emergencial

Uma alternativa seria procurar seu plano de saúde e solicitar que seja retirado da folha o desconto da mensalidade do plano de saúde e que seja enviado um boleto bancário. Normalmente é assim que é feito nos planos de saúde convencional. Contudo, isso poderia sanar o problema, mas a pergunta que fica no ar é: Será que a operadora do plano de saúde irá aceitar?

Tentamos procurar a operadora do plano para obter esta resposta, mas infelizmente não quiseram se pronunciar.

Mais uma Luta a ser travada

Igualmente ao empréstimo consignado, existe a possibilidade de seu fazer  a portabilidade de seu plano de saúde. No entanto, o único problema será conseguir no boleto, as mesmas condições e valores aos quais já vem pagando com desconto em folha no boleto bancário.

Portanto, antes de qualquer coisa, faça essa análise, pois com saúde não se brinca. Ademais, estamos realizando um estudo junto nossa área jurídica para analisarmos se os planos de saúde serão obrigados ou não a mudar a forma de débito. Em caso do servidor solicitar, mas como de costume neste canal, contamos com vossa ajuda em mais uma luta.

Você sabia que o Portal Consignados é especialista em empréstimo consignado?

Com mais de 17 anos no Mercado de Empréstimo Consignado e com uma equipe treinada para lhe auxiliar na melhor decisão, no entanto o Portal Consignados trabalha em parceria com diversos bancos para lhe oferecer sempre o melhor negócio.

Demora na Liberação do Cartão SIAPE Agita Servidores

A demora na liberação do Cartão SIAPE tem ocasionado sofrimento com as incertezas e informações desencontradas sobre a liberação do Cartão de Crédito Consignado. No entanto, o jogo de empurra-empurra parece que não acaba mais.

Contudo, mesmo após MP, Lei, normativo e etc, … nada mudou. Ademais, a espera a cada dia que passa se mostra insuportável.

No entanto, o fato é que, com o aumento da taxa de juros e a economia em recessão, muitos servidores estão passando um verdadeiro pesadelo.

Contudo, o cartão de crédito consignado é sua esperança de poder quitar suas dívidas e poder respirar mais tranquilo.

Depoimento de alguns servidores

Contudo, para esclarecer melhor, recolhemos 6 depoimentos de servidores federais.

No entanto, veremos a seguir.

Depoimento nº 1 – Amanda Amorim – Servidor Federa

Isso é uma vergonha. Estamos vivendo a maior crise no Brasil. Ademais, estamos precisando resolver nossos problemas. O governo criou uma lei para pagar as dívidas com cartão de crédito, mas desde de Setembro do ano passado que esperamos por esse cartão. No entanto, a normativa já saiu. Vocês estão esperando o que para liberar esse cartão? Falta respeito com a nossa categoria. Ademais, estou precisando muito desse cartão para pagar algumas contas.

Depoimento nº 2 – Aparecida Ricardo – Servidor Federal

Meu nome é Aparecida C. Salles de O. Ricardo. Sou servidora pública federal e, desde Julho de 2015, venho acompanhando a mudança de margem para 35% sendo 5% para cartão de crédito. Já estamos praticamente em Julho novamente. Sei que todos os passos já foram cumpridos e, em 13 de Abril saiu a portaria nº110. No entanto, já não sei mais onde pesquisar, pois nessa crise que estamos passando, esses 5% iria aliviar muito. Principalmente no que diz respeito a cartão de crédito. Peço encarecidamente que olhem com carinho para a liberação do sistema. Assim, como eu sei que muitos servidores estão precisando também. Vocês são cidadãos e sabem do momento difícil que estamos atravessando. Então, por favor, liberem o sistema para que possamos resolver essa situação. No entanto, não quero imaginar que seja má vontade ou um grande desmerecimento para nossa categoria.

Depoimento nº 3 – Neide Santos – Servidor Federal

A alegria de poder possuir um cartão consignado demorou muito pouco, pois a demora me deixou extremamente frustrada. Contava com esse cartão, pois tenho uma filha especial que necessita de tratamento além dos que ela já recebe. Contudo, esse cartão seria uma bênção, pois facilitaria as nossas vidas. Infelizmente, estamos endividados. Por favor, solucione o mais breve possível para nós servidores e pensionistas federais esse sistema de averbação e libere nossos cartões. Eu, particularmente, em meio a tudo isso, estou desesperada.

Depoimento nº 4 – Isabel Soares –  Servidor Federal

Por favor, libere o cartão consignado. Eu, como servidora aposentada, estou com problemas de saúde precisando de remédios e eles são caros. Tenho depressão. Estou muito endividada e preciso urgente desse cartão. Contudo, faço um apelo ao MPOG, pelo amor que vocês tenham a Deus e a sua família. Por favor, libere esse Cartão Consignado. Agradeço, desde já! Meu muito obrigada.

Depoimento nº 5 – Amanda – Servidor Federal

Preciso do cartão urgente, pois estamos sofrendo uma tentativa de homicídio se esta situação perdurar mais um pouco.

Depoimento nº 6 – Eudes Americo – Servidor Federal

O QUE SINTO É QUE A LEI NO BRASIL,  SÓ É CUMPRIDA QUANDO SATISFAZ O INTERESSE DE ALGUMA AUTORIDADE QUE TENHA INTERESSE NA MESMA. COM ISSO, PEÇO QUE MOSTRE-ME QUE ESTOU ERRADO EM MEU PENSAMENTO E LIBERE OS CARTÕES AINDA ESSE MÊS DE ABRIL.

Demora na Liberação qual a informação atual

A informação que temos atual é que falta apenas a liberação do sistema de consignação para dar inicio as averbações. Afinal, ninguém aguenta mais a espera e, por isso, estamos mobilizando todos os servidores a fazerem uma campanha cobrando explicações. Contudo, no nosso entendimento, não existe explicação para tamanha demora na liberação. No entanto, os servidores federais querem que seja liberado imediatamente o cartão de crédito consignado. Ademais, a demora na liberação tem feito muitos estragos negativos na vida de milhares de servidores. Por isso, estamos promovendo uma campanha.

Faça a sua parte

Ademais, por causa da demora na liberação do cartão SIAPE e por conta de tantas informações desencontradas, decidimos ajudar criando uma campanha. No entanto, contamos com a colaboração de todos em compartilhar essa matéria nas redes sociais o máximo de vezes possível e pedindo para seus amigos que o façam a mesma coisa.

Junte-se na causa

Contudo, necessitamos de pelo menos 1.000 compartilhamentos e curtidas. No entanto, consigo acionar a assessoria de impressa e expor este problema. Por isso, necessitamos que façam em massa esses compartilhamentos e curtidas.

No entanto, o segundo passo será mediante a prova de que é sim público e notório, a necessidade da liberação do Cartão que seja feito o mais rápido possível. Ademais, sem a colaboração em massa, fica difícil discutir alguma coisa seja no SIAPE ou no MPGO. No entanto, por isso necessito desta ação como prova.

Você sabia?

Com mais de 17 anos no Mercado de Empréstimo Consignado e com uma equipe treinada para lhe auxiliar na melhor decisão. No entanto, o Portal Consignados trabalha em parceria com diversos bancos para lhe oferecer sempre o melhor negócio.

FGTS para pagar Empréstimo Consignado

Nesta semana, foi falado sobre o FGTS para pagar empréstimo consignado, após o anuncio do Ministro da Fazenda Nelson Barbosa da medida provisória 719. Esta medida provisória poderá possibilitar ao trabalhador usar 10% do saldo do FGTS. Também poderá ser usado o valor integral da multa decisória para quitar o empréstimo consignado em caso de demissão.

O Empréstimo Consignado para os trabalhadores de carteira assinada, os chamados “CLT”, já existe há muitos anos. A maioria dos Bancos atualmente fazem, mas as exigências são tantas que é para poucos.

FGTS

Participei de inúmeras reuniões e já recebi centenas de roteiros operacionais de cadastro de empresas para empréstimo consignado. Na grande maioria das vezes, bateu na trave. No entanto, as exigências eram e ainda são muito grandes. Atualmente, os bancos não cadastram empresas que tenham menos de 300 funcionários.

Hoje em dia, com a queda da atividade industrial e o mercado Brasileiro ser altamente voltado para o comercio e prestação de serviço, é complicado atender uma empresa com um porte deste. São poucas no Brasil, afinal de contas, o brasileiro é um povo empreendedor. Os mais comuns são micro e pequenas empresas.

FGTS x Empréstimo Consignado – O que muda?

Muita coisa muda com a possibilidade de oferecer uma garantia como o FGTS. Contudo, um dos principais problemas do consignado para CLT é o calote.

Quando o cliente se desliga da empresa, vira uma verdadeira bagunça. Nem o cliente e nem o Banco sabiam como cobrar as parcelas.

Recebi diversos emails de clientes CLT que se desligaram da empresa e queriam pagar, mas o banco não sabia nem como receber.

Pode até parecer estranho, mas quem já viveu isso pode garantir que era e ainda é um problema. É muito pior na maioria das vezes, pois o ex-funcionário só se dava conta quando via seu nome negativado.

Problemas a serem superados

Debitar da folha de pagamento ainda é um dos maiores problemas encontrados.

Na hora de fechar um contrato de desconto com uma empresa, muitas empresas simplesmente não querem fazer a gestão da folha ou até mesmo terceirizam o RH. Muitas vezes, submetem o funcionário a terrível exposição no seu ambiente de trabalho.

Outro problema que enxergo é a falta de interesse da parte dos Bancos. Esta bola foi cantada há muitos meses atrás e, até agora, nenhum banco falou nada a respeito.

Há somente reuniões desencontradas com inúmeros pontos de interrogação. Para quem conhece bem o sistema financeiro sabe que banco no Brasil faz só o que quer e só põe a mão para ganha muito.

No meu entendimento, o modelo de empréstimo consignado adotado hoje para servidores e aposentados não funciona para CLT. O desconto para dar certo, deve ser feito em conta e não em folha.

Somente desta forma o cliente poderá negociar com o Banco sem sofrer constrangimento ou depender da administração da folha de pagamento de sua empresa.

Hoje no Brasil, emprego é igual família; você não escolhe é escolhido. Nem sempre a empresa que te contratou terá condições em administrar um desconto em folha.

Juros Maiores em Produtos de Mercado

O que me entristece muito é que hoje quem faz o chamado débito em conta, deita e rola em cima de seus clientes. Não existe regra e nem limites.

Existem financeiras cobrando até 22% ao mês e ninguém fala nada. O Banco Central, por exemplo, fecha os olhos e deixa o coro correr solto. Se fosse possível o empréstimo consignado com desconto em conta e com a garantia do FGTS, acredito que mudaria muita coisa.

Outra recomendação é que se faça a reserva do fundo garantidor sobre o FGTS, assim como é feito hoje uma alienação fiduciária ou hipoteca. Como a gestão do FGTS é da Caixa, seria interessante criar um mecanismo que vincule o PIS á dívida.

Tal medida daria mais segurança às instituições financeiras e possibilitaria abrir novos horizontes.

Nem tudo são Flores

Um dos maiores problemas enfrentados hoje é o auto grau de endividamento da família brasileira. Tem que ser muito bem discutido sobre qual será o juros cobrado.

O Banco Central tem que olhar para esta modalidade de crédito com muito carinho e atenção. Contudo, será necessário criar regras rígidas para evitar que seja a nova “Bolha” dos próximos anos.

A iniciativa é boa, mas necessita de grandes mudanças e muita cautela no meu entendimento.

Vejo hoje a necessidade de uma grande transformação na cultura de cobrança neste país. Dar a possibilidade do cliente poder negociar suas dívidas de forma coletiva.

É uma dificuldade enorme pagar as dívidas. Muitas vezes o cliente até tem o dinheiro, mas a burocracia é tão grande que fica praticamente impossível pagar.

Ter crédito é muito bom mas poder quitar ou trocar juros maiores por juros menores. No entanto, é algo que deve ser amadurecido no mercado.

Faça a Escolha Certa

Sou um dos pioneiros no empréstimo consignado aqui no Brasil e vejo a proposta com bons olhos, apesar de muitas dúvidas e ressalvas!

Mas é um começo, por isso, ao ter acesso ao empréstimo consignado faça a escolha certa. No entanto, só faça um empréstimo se houver real necessidade. Crédito é bom, mas só se souber usar.

Você sabia que o Portal Consignados é especialista em empréstimo consignado?

Com mais de 17 anos no Mercado de Empréstimo Consignado e com uma equipe treinada para lhe auxiliar na melhor decisão, no entanto o Portal Consignados trabalha em parceria com diversos bancos para lhe oferecer sempre o melhor negócio.

Empréstimo Consignado Safra – Saiba Como Funciona

O Empréstimo Consignado Safra se dá da mesma forma que em outros Bancos. Ademais, o Safra vem se destacado nos últimos anos devido a sua abordagem agressiva

Comum e crescente o número de clientes abordados pelo banco Safra oferecendo seus produtos na linha de empréstimo consignado.

Muitos bancos, apesar de existir um legislação bem específica a respeito, não fazem portabilidade entre eles. Contudo, um caso explicito disso é o Itaú com o Bradesco. No entanto, se conseguir portar um contrato do Bradesco para o Itaú será praticamente um milagre.

” Nós que estamos na ponta sabemos. muito bem disso. No entanto, infelizmente não vai rolar.”

Apesar de novo no setor o Banco Safra tem se mostrado muito eficaz no tocante das operações de crédito, seu aumento nas operação vem devido a ser o banco que remunera melhor seus parceiros correspondentes, até mesmo contrariando uma recomendação junto ao Banco Central.

Safra tem como principal objetivo de atender ao seu cliente.Contudo, é claro que nem tudo são flores, por isso antes de ficar todo animadinho(a), é bom dar uma olhada na política de crédito do empréstimo consignado Safra.

Política de crédito do Empréstimo Consignado Safra

Como todo Banco que começa a se destacar no setor sempre existe a questão “Caixa”, ou seja, cada banco trabalha com um volume financeiro aonde só pode gastar este volume. No entanto, uns bancos tem muito outros tem pouco.

O Safra está chegando lá, mas só poderá brigar com Volumes de dinheiro de um Bradesco ou Itaú caso seu volume de vendas aumente ao longo do tempo. Por isso, caro leitor, aí vai a dica. Brigando com gigantes do Setor como o Bradesco e Itaú o Banco Safra dia a dia vem aumentando suas operações

Contudo, se deseja manter a taxa de juros aonde está a palavra e diversifique seus contratos. Até porque sabemos muito bem o que o monopólio em um setor pode causar e conhecemos bem o Bradesco e Itaú para afirmar com 100% de certeza que eles não vão aliviar para ninguém. Por isso, caro leitor, seja você cliente ou correspondente, pense nisso!

A contra partida é que se você é um correspondente ou agente de crédito indique uma instituição financeira a seu cliente que tenha suporte e que valorize o setor. Nunca faça suas operações de crédito por opção sua! Sempre questione o cliente qual a Instituição financeira a qual ele tem o melhor relacionamento.

Público Atendido

  • Aposentados e Pensionistas do INSS
  • Empréstimos para servidores públicos
  • Empréstimos para militares das Forças Armadas
  • Empréstimos para Funcionários de Empresas Privadas (Consulte se RH)

Políticas de crédito do Banco Safra:

  • Limite de idade mínimo – 26 anos
  • Limite de idade máximo – 75 anos, 11 meses e 29 dias (termino do contrato).
  • Prazo mínimo: 24 x
  • Prazo máximo: 72 x
  • Renda Superior a R$ 600,00

O Banco Safra definir um valor mínimo de Liberação para cada modalidade de empréstimo consignado, ou seja, para Refinanciamento, compra de dívida, portabilidade ou contrato novo, veja abaixo quais são estes limites:

  • Empréstimo Novo: R$ 650,00
  • Compra de Dívida: R$ 650,00
  • Portabilidade: R$ 400,00
  • Refinanciamento: R$ 600,00

Uma restrição importante a ser considerada é que o Banco Safra NÃO faz Ordem de Pagamento, então se você não tem um conta corrente ou poupança para receber o crédito de seu empréstimo consignado, infelizmente não terá opção de contratar pelo Safra.

Outra informação muito importante é que o Safra não opera com pessoas portadoras de deficiência visual e analfabetos, devido ao grande número de reclamações e ações de clientes que tem este tipo de perfil o Safra simplesmente optou por não emprestar para pessoas que se encontram nesta condição.

Existem restrições também para clientes que recebam pode determinados benefícios do INSS, aos quais irei classificar abaixo:

Para Empréstimo Novo:

  • Espécie 01 – Pensão por morte do trabalhador rural (Lei Complementar no 11/71)
  • Espécie 04 – Aposentadoria por invalidez do trabalhador rural (Lei Complementar no 11/71)
  • Espécie 32 Aposentadoria por invalidez previdenciária (Lei no 8.213/91)
  • Espécie 33 – Aposentadoria por invalidez de aeronauta
  • Espécie 92 – Aposentadoria por invalidez por acidente do trabalho (Lei no 8.213/91)

Para Refinanciamento:

  • Espécie 32 Aposentadoria por invalidez previdenciária (Lei no 8.213/91)
  • Espécie 92 – Aposentadoria por invalidez por acidente do trabalho (Lei no 8.213/91)

Vale a Pena o Empréstimo Consignado Safra

Contudo, apesar de muitas regras o Banco Safra está melhorando a cada dia, acredito que dentro de alguns anos não teremos mais estas restrições. No entanto, a operação pelo Safra é segura tanto para o parceiro quanto para o cliente. A escolha é sempre do cliente e nunca do agente de crédito, nossa função aqui é colocar a disposição do cliente diversas opções em bancos, ajustando a necessidade do cliente a politica de crédito da instituição Financeira.

O Portal consignados analisou todos os aspectos relacionados a contratação junto ao Banco Safra e atualmente paramos de atuar junto ao banco devido a crescente número de reclamações por parte de clientes. falta de respeito e comprometimento junto ao parceiro entre outras condições, portanto, não recomendamos a operação pelo banco Safra, mas te respeitamos caso deseje operar pelo Banco. Apesar de oferecer uma das maiores comissões do mercado preferimos indicar outras instituições financeiras aos nossos clientes.

Você sabia?

Com mais de 17 anos no Mercado de Empréstimo Consignado e com uma equipe treinada para lhe auxiliar na melhor decisão, no entanto o Portal Consignados trabalha em parceria com diversos bancos para lhe oferecer sempre o melhor negócio.

Agiliza Cartão SIAPE – Acesse e Vote para Agilizar

Agiliza SIAPE é uma campanha que estamos promovendo para tentar chamar  a atenção para um problema que tem assolado a milhares de servidores federais. Sua participação será muito importante.

agiliza siape

Entenda o Porquê de tanta aflição

A dúvida que muitos servidores federais tem se feito é “Quando será liberado o Cartão de Crédito Consignado?”.

Contudo, o problema é que atualmente é uma pergunta sem resposta. Apesar de muitas informações otimistas a respeito, nós do Portal Consignados, consultamos os principais Bancos interessados na liberação do cartão de crédito consignado e simplesmente ninguém sabe informar.

SIAPE , SIGEPE e SERPRO até agora não informaram também a que pé anda essa bendita liberação. No entanto, muitos servidores têm se sentido abandonados e com razão.

Após a MP 681, muito se especulou a respeito, e a espera foi longa até o decreto presidencial 8.690. Após longa espera, o que parecia uma grande conquista, tem se mostrado mais um capítulo da novela “Agiliza SIAPE”.

Siape x Cartão SIAPE

Apesar de milhares de pedidos de informações por parte dos servidores em cobrar explicações, o SIAPE tem simplesmente respondido com textos prontos e sempre escapando pelas beiradas.

Essa atitude tem enfurecido muitos servidores. A insistência na agilização da liberação, por parte do SIAPE, tem um fundamento muito importante. A crise com reflexo negativo, tem elevado o custo de vida e os juros do cartão de crédito convencional.

A diferença entre o cartão de crédito consignado e o convencional, passa dos 400% no quesito juros. Por isso, é grande a expectativa que ronda o cartão. Ademais, outro fator é que, além dos juros serem infinitamente menores, há possibilidade de sacar 98% do seu limite para quitar dívidas.

Agiliza Siape

Há meses que estamos batalhando junto aos servidores para cobrar agilidade na liberação do Cartão SIAPE. Contudo, criamos este artigo e lhe convidamos a divulga-lo em sua repartição.

No entanto, participe desse processo de manifestação e, se possível, o faça compartilhando o link do artigo em sua rede social. Para isso, estabelecemos as seguintes regras para que possamos fazer a diferença na ação Agiliza SIAPE:

1º Não faça perguntas. Apenas expresse seu sincero pensamento sobre a demora na liberação do cartão SIAPE.

2º Não faça referencias de forma que agrida pessoas, entidades ou instituições.

3º Escreva detalhadamente o porquê este cartão é importante para você. Se possível, conte sua história.

4º Divulgue pela sua rede social e WhatsApp e convide seus amigos para compartilhar.

Contudo, lembre-se que temos de nos unir e fazer a diferença desta vez. Ficar sem ao menos uma justificativa é errado.

No entanto, estamos em um país democrático onde colocar nosso ponto de vista não é um crime e sim, um ato de cidadania. Por este motivo, sinta-se a vontade em participar de nosso ato “Agiliza SIAPE”.

Você sabia?

Com mais de 17 anos no Mercado de Empréstimo Consignado e com uma equipe treinada para lhe auxiliar na melhor decisão, no entanto o Portal Consignados trabalha em parceria com diversos bancos para lhe oferecer sempre o melhor negócio.

Contrate seu empréstimo consignado clicando aqui

Decreto 8690 regulamenta o Cartão SIAPE – Só que não!!!

O Decreto 8690, de 11 de Março de 2016, altera o decreto 6.386. Ademais, agora temos as regras já bem definidas para a liberação do cartão de crédito SIAPE. O que era uma grande expectativa de milhares de servidores públicos Federais para poder obter o tão esperado cartão de crédito consignado. Só que Não!!!!

O lado positivo é que algumas dúvidas como, por exemplo: Será que sai mesmo? Vou poder sacar? foram respondidas. Contudo, agora nos resta aguardar os próximos capítulos desta novela e rezar para não haver mais nenhum contratempo na liberação do cartão.

Este decreto deixa claro que haverá a oportunidade de saque. Contudo, isso é bem interessante se for seguir o mesmo modelo do INSS. Confesso que ,ao ler na íntegra, fui do céu ao inferno. Contudo, no final, quase nas últimas linhas, a nossa presidente Dilma, deu mais 6 meses para o SIAPE colocar para rodar.

Isto significa que o SIAPE agora tem um prazo fixo para ajustar seu sistema dentro dos 35%.

Decreto 8690 – A espera acabou

Durante meses a fio, tivemos um grande embate em nosso blog. O SIAPE, por sua vez, deu as caras poucas vezes. Quando informou algo, sempre passou prazos errados ou previsões que apenas postergasse o sofrimento de milhares de servidores.

Essa atitude, no meu ponto de vista, foi um desrespeito à todos os que estavam aguardando um posição concreta a respeito.

Há poucos meses, foi passada a informação que haveria uma necessidade em alterar o decreto 6.386 para que as condições que permitem a liberação do cartão consignado mediante a margem dos 5% fossem possíveis.

Outro fator que o SIAPE alegava, é a falta de recursos. Contudo, o seu argumento  foi facilmente derrubado quando comparou com a  liberação do INSS. Por incrível que pareça, saiu bem antes.

A luta continua

Quem me acompanha pelo blog, sabe o quanto nos últimos meses temos dado destaque as causas impossíveis de um governo que faz o que quer sem ter ética ou nenhum medo da opinião alheia. Todavia, é muito importante que não esqueçamos com os próximos governos e próximas eleições.

As multidões que saíram às ruas neste último final de semana, foram a prova clara que não somente os servidores federais têm sofrido os desmandos.

Contudo, a grande população brasileira tem sofrido nas mãos dos que afirmavam que a esperança iria vencer o medo. Agora eu me pergunto:

Qual é a nossa esperança?

A esperança agora é que o SIAPE faça os ajustes necessários rapidamente. Com o decreto 8690, o SIAPE ganhou mais seis meses para se justificar.

Mas nem tudo é ruim. A pressão, por parte dos bancos e servidores é muito grande. Agora meus amigos, a luta continua. Pelo menos já temos uma data certa. Pessoalmente eu acredito que saia antes.

Contudo, fazer nosso papel de cobrar e apressar o SIAPE será fundamental para que seja de uma vez por todas liberado o Cartão de Crédito Consignado para os Servidores Federais.

Você sabia?

Com mais de 17 anos no Mercado de Empréstimo Consignado e com uma equipe treinada para lhe auxiliar na melhor decisão, no entanto o Portal Consignados trabalha em parceria com diversos bancos para lhe oferecer sempre o melhor negócio.

Lei 13172 valida MP 681 – O que irá mudar com a nova Lei?

Lei 13172 valida a MP 681 e, desde a sua publicação, tem dado o que falar. E não é pra menos. Com a crise batendo a porta, ter a possibilidade de utilizar 5% da margem consignável para um cartão de crédito com desconto em folha, onde seus juros não passam dos 3,06% a.m.

Contudo, isso fez com que uma multidão de servidores públicos, aposentados e pensionistas do INSS se mobilizarem para obter o direito de ter o tão sonhado Cartão de Crédito com desconto em folha.

Lei 13172 de 21 de Outubro de 2015

A lei 13172 foi votada e aprovada pelo congresso nacional. Ademais, isso deixou os pessimistas de plantão em relação a MP 681 frustrados.

Contudo, a Lei 13172 só reforça a MP 681 em relação ao limite de crédito máximo que passa de 30% para 35%. Contudo, iremos com calma, caro leitor. Os 35% são divididos da seguinte forma:

  • 30% exclusivos para empréstimos consignados
  • 5% exclusivos para Cartão de Crédito com desconto em folha

Deixando assim a cargo da instituição mudar sua normativa interna para poder começar a valer a nova regra.

O que muda a partir de agora?

Na verdade, desde a MP 681 de 10 de Julho de 2015 já começaram as movimentações para por em prática a nova regra. O que no geral ainda está digamos que “embrionário” dentro de repartições públicas, prefeituras e estados.

Para muita gente, até agora não mudou nada. Verdade seja dita, não por falta de reclamação e manifestação por parte dos milhares de servidores. O que era pra ser uma vitória acabou sendo um enorme sofrimento.

No entanto, posso afirmar com propriedade pois o blog prova isso. É quase que diário a procura do servidor público em busca por novidades á respeito do tão sonhado cartão de crédito com desconto em folha. As informações sempre são confusas e escassas. Ninguém fala nada.

Só temos prazos e mais prazos a serem dados e que, infelizmente acabam sendo postergados.

Há algumas semanas, muitos servidores federais se irritaram e começaram a mandar email para o planalto. O que foi mais estranho é que o próprio planalto respondia que estava aguardando aprovação no congresso.

Contudo, o interessante é que ninguém havia informado que a lei 13172 já tinha sido votada e estava vigorando. Fora que a própria MP 681 já daria condições para o SIAPE ou SIGEPE dar condições de liberar o cartão de crédito.

Se eu pessoalmente fosse responder ao caro leitor “O que muda a partir de agora?”, diria que acabaram as desculpas, porque a meses o que temos escutado por parte do SIAPE ou SIGEPE, prefeituras e estados foram desculpas e mais desculpas.

ACABARAM-SE AS DESCULPAS….

Faça Valer seu Direito

Se você é servidor público e ainda não tem acesso ao Cartão de crédito com desconto em folha, faça valer seu direito democrático. Se organize com seus colegas de trabalho e cobrem o seu direito.

Há anos temos visto uma desvalorização do setor público por falta de condições de trabalho e até mesmos reajustes salariais abaixo do índice de inflação, como por exemplo: a terceirização de diversos setores que, ao invés de melhorar, acabaram piorando ainda mais o setor público.

No entanto, em muitas culturas, o ser humano é o bem mais valioso de uma empresa ou corporação. Ademais, tal filosofia fizeram do Japão nos anos 90 uma das maiores potencias mundiais. Infelizmente, o que temos visto é totalmente ao contrário.

O Cartão de Crédito com desconto em folha é um benefício seu. Comparado aos cartões de crédito convencionais, dá de 10 a 0. As taxas de juros são menores e a flexibilidade no pagamento é um dos pontos altos do produto.

Contudo, além de poder sacar até 98% do seu limite, que ajuda muito para aqueles que tiveram que cair na mão de uma Crefisa da vida, onde as taxas de juros passam dos 18%.

Contudo, se cada um fizer a sua parte em tornar pública sua indignação, talvez possamos forçar os poderosos à olhar um pouco para aqueles que ajudam a construir um país melhor.

Este Blog está fazendo a parte dele. Portanto, faça também a sua!

Você sabia?

Com mais de 17 anos no Mercado de Empréstimo Consignado e com uma equipe treinada para lhe auxiliar na melhor decisão, no entanto o Portal Consignados trabalha em parceria com diversos bancos para lhe oferecer sempre o melhor negócio.

Aumento do Limite – Cartão de Crédito Consignado foi liberado

O aumento do limite do cartão de crédito consignado foi uma das perguntas mais realizadas em nosso blog. Com o aumento do salário dos aposentados do INSS, muitas questões ficaram para serem respondidas.

Essa semana, o Banco BMG anunciou que já poderá aumentar o limite do cartão de crédito. No entanto, o motivo da demora foi ajustar seu sistema com o INSS para poder realizar esta operação.

Toda sua rede recebeu um roteiro operacional, onde explica passo a passo o processo de aumento do limite do cartão de crédito.

Novidades

A novidade é que além de aumentar o limite, se pode reduzir. Pode até parecer estranho, mas muitas pessoas preferem ter seu limite reduzido afim de ajustar as contas de casa.

bmgCard

Esta medida é muito importante para dar a devida manutenção ao seu Cartão BMG Card. Isso pode lhe proporcionar uma evolução em seu limite de crédito.

Como Funciona o Aumento do Limite do meu BMG Card

Você, que deseja aumentar seu limite, deverá procurar um correspondente autorizado do Banco BMG. O banco irá gerar uma proposta de aumento do limite do cartão de crédito consignado. Ademais, será gerado um contrato e deverá apresentar os seguintes documentos:

>>RG ou qualquer documento com foto válido em todo território nacional
>>CPF
>>Comprovante de Residência atual em seu nome

O processo funciona como o da primeira vez, ou seja, tanto o banco quanto o INSS irão analisar sua proposta de aumento. Por isso, fique preparado para aguardar de 2 á 5 dias para atualização de seu limite.

Meu Cartão ainda nem chegou. O que pode estar acontecendo?

Diversos cartões foram emitidos. Contudo, muitos clientes reclamavam que não receberam o cartão. O fato é que, com os mais de Seis milhões de cartões emitidos, o Banco demorou para processar todos os pedidos e fazer a conferencia de contratos e documentações.

Outro fator foi a mudança do contrato. Muitos clientes foram chamados para fazer a substituição dos contratos e regularizar pendências de documentação. No entanto, poucos compareceram.

O fato é que, devido a tais pendências, muitos cartões ficaram retidos e só serão enviados após a devida regularização.

As pendências mais comuns são:

  • Comprovante de residência em nome de terceiro.
  • CNH Vencida
  • Contrato Antigo

O Comprovante de residência é um dos maiores problemas. Muitos clientes enviaram conta de consumo em nome de familiares. No caso do cartão, isso não pode.

Caso não possua uma conta de consumo em seu nome, solicite ao seu correspondente uma declaração de residência. Contudo, ela é aceita pelo Banco e resolve o problema.

No entanto, como o Cartão de crédito consignado demorou para sair, quem tinha sua CNH a vencer, acabou ficando com pendência no Banco. Por isso, procure seu correspondente e atualize sua documentação.

Muitas questões quando se começou a fazer a pré digitação eram uma incógnita.

Por exemplo: o saque, iria haver, ou não iria haver. Contudo, essa indefinição acabou gerando um certo problema na formalização, ou seja, falta assinar um termo do seu contrato.

Lembrando que o contrato celebrado tem valor e não invalida a operação, no entanto, somente invalida a emissão do cartão.

Você sabia que o Portal Consignados é especialista em empréstimo consignado?

Com mais de 17 anos no Mercado de Empréstimo Consignado e com uma equipe treinada para lhe auxiliar na melhor decisão, no entanto o Portal Consignados trabalha em parceria com diversos bancos para lhe oferecer sempre o melhor negócio.

Fator Previdenciário – Fique por dentro das Mudanças

Contudo, recentemente foi aprovada a lei que dispõe sobre a possibilidade de que o trabalhador se aposente por tempo de contribuição, sem a aplicação do fator previdenciário.

Contudo, o trabalhador deve implementar a fórmula 85/95 (com regra de transição para os próximos anos).

No entanto, com esta nova forma de cálculo da aposentadoria, o homem poderá se aposentar com 60 anos de idade e 35 anos de contribuição. (60+35=95), por exemplo.

Ademais, com a nova lei, foi criada uma regra de transição observando os seguintes cálculos:

Período

Mulher

Homem

Até 30 de dezembro de 2018

85

95

De 31 de dez/18 a 30 de dez/20

86

96

De 31 de dez/20 a 30 de dez/22

87

97

De 31 de dez/22 a 30 de dez/24

88

98

De 31 de dez/24 a 30 de dez/26

89

99

De 31 de dez/2026 em diante

90

100

Ademais, quem não optar em aguardar a nova fórmula 85/95 poderá se aposentar por tempo de contribuição com a aplicação do fator previdenciário. Portanto, será necessário implementar 35 anos de contribuição – homem – e 30 anos de contribuição mulher.

Ademais, o fator previdenciário foi criado em 1999 pela Lei n° 9.876. Contudo, na época, o fator veio como uma alternativa de controle de gastos da Previdência Social com a finalidade de reduzir o valor dos benefícios previdenciários.

Calculando o Fator Previdenciário

Contudo, para o cálculo do fator previdenciário, é utilizada a idade do trabalhador. No entanto, a expectativa de vida e o tempo de contribuição do mesmo no momento da concessão da Aposentadoria por Tempo de Contribuição. Contudo, mediante a fórmula abaixo:

fator previdenciário

Sendo, por exemplo:

  • f = fator previdenciário
  • Es = expectativa de sobrevida no momento da aposentadoria
  • Tc = tempo de contribuição até o momento da aposentadoria
  • Id = idade no momento da aposentadoria
  • a = alíquota de contribuição correspondente a 0,31

No entanto, a aplicação do fator previdenciário será somada ao tempo de contribuição do segurado:

  • Cinco anos para as mulheres;
  • Cinco anos para os professores que comprovarem efetivo
  • Exercício do magistério no ensino básico, fundamental ou médio;
  • Dez anos para as professoras que comprovarem efetivo
  • Exercício do magistério no ensino básico, fundamental ou médio.

Ademais, nessa linha, o fator previdenciário irá reduzir o benefício de Aposentadoria por tempo de Contribuição. Contudo, o certo é de que quem aguardar a nova fórmula fará com o valor recebido, não tendo qualquer redutor.

Contudo, no caso da Aposentadoria por Idade, o fator previdenciário poderá ser utilizado no momento da concessão do benefício se o seu resultado for positivo. No entanto, isso aumentará o valor que será recebido.

Você sabia que o Portal Consignados é especialista em empréstimo consignado?

Com mais de 17 anos no Mercado de Empréstimo Consignado e com uma equipe treinada para lhe auxiliar na melhor decisão, no entanto o Portal Consignados trabalha em parceria com diversos bancos para lhe oferecer sempre o melhor negócio.

Cartão SIAPE está demorando? Entenda o porquê

Cartão Siape está demorando e a expectativa das pessoas é que libere logo. Durante as últimas semanas, cresceram a expectativa por parte dos servidores federais a respeito da liberação do cartão SIAPE de crédito consignado.

As informações contraditórias do SIAPE sobre quando e como será liberado, tem tirado o sono de muita gente. Em nosso blog, temos recebido milhares de perguntas à respeito do tão esperado Cartão de Crédito Consignado.

Desde a MP 681, ter sido anunciada a expectativa de poder ter um Cartão de Crédito com juros mais baixos. Criou uma luz no final do túnel para todas as pessoas que utilizam o crédito consignado como um mecanismo para pagar suas contas.

A proposta do cartão Siape ajuda muitos a criar todo frisson que envolve a liberação. Mas o sofrimento da expectativa na espera é como uma novela que não acaba nunca.

Nem mesmo os escritores de novela teriam tanta imaginação para criar tantos capítulos que envolvem toda a polêmica que vem acompanhando o Cartão de Crédito Consignado.

A cada convênio que sinaliza adesão o cartão, é uma luta de categorias. Foi assim com o INSS, agora SIAPE e logo mais Estado e Prefeituras. Por isso, gostaríamos de esclarecer alguns pontos que tem surgido ao longo do tempo.

Estamos afim de ajudar a sua compreensão em entender o porquê seu cartão de crédito SIAPE está demorando para sair.

A resposta pela demora do Cartão SIAPE pelo Governo

Em cartas ao governo, alguns servidores têm recebido a resposta que o SIAPE está aguardando a aprovação da MP no congresso. Isso é bem estranho, se for considerar que uma Medida provisória (MP 681) só existe para justamente evitar a demora burocrática deste país.

Não faz nenhum sentido o SIAPE aguardar a aprovação no Congresso até porque já foi aprovada.

Fazendo contas

O grande desespero de quem aguarda este cartão é muito justificável. Isso considerando que a finalidade da medida provisória é dar a opção de você quitar seu cartão de crédito convencional para pagar menos juros.

Veja o exemplo abaixo, onde simulamos o impacto destes sete meses de espera em uma dívida de R$ 2.000,00.

Exemplo prático:

Uma dívida de R$ 2.000,00, onde você só estaria pagando o mínimo da fatura. Contudo, ao longo de sete meses seu saldo devedor seria de R$ 4.421,36.

Se você tivesse uma dívida de R$ 2.000,00 no seu cartão de Crédito Consignado, onde tivesse pagando apenas o mínimo. Ademais, seu saldo devedor ao longo dos mesmos sete meses seria de R$ 1.867,58.

Uma diferença de 136% a mais. Contudo, você pode estar se perguntando:

Porque enquanto no meu cartão de crédito convencional, o mínimo só aumenta a minha dívida enquanto no cartão de crédito consignado, minha dívida só vai abaixando?

A resposta é que no cartão consignado, o pagamento do mínimo amortiza seu saldo devedor enquanto em um cartão de crédito convencional, só aumenta.

Dá para entender o desespero? Caro leitor, posso afirmar que: Se existe algum produto que é muito interessante para o consumidor hoje em dia, este produto é o cartão de crédito consignado.

As instituições Financeiras x Liberação do Cartão SIAPE

Outra questão apresentada foi que o Banco não teria interesse na liberação do Cartão de Crédito SIAPE. Isso não é verdade. Se considerar que o produto do banco é emprestar, porque ele não teria interesse?

Posso garantir que o produto é de interesse sim do Banco. Com a atual crise em nosso país e a restrição ao crédito pelo risco de inadimplência, as instituições financeiras acabam optando por modalidades de crédito mais conservadoras como, por exemplo: o empréstimo consignado e o cartão de crédito consignado.

Uma operação de empréstimo consignado não é algo que o consumidor faça todos os dias. Até porque existe limite para isso. Contudo, se consome produtos e serviços todos os dias. É aí entra o cartão de crédito.

O cartão de crédito consignado irá fazer parte do seu dia a dia, e o banco quer exatamente isso. Portanto, afirmar que as instituições financeiras não têm interesse no cartão de crédito consignado no mínimo, é um absurdo.

Sistema para rodar o Cartão SIAPE está pronto

Outra questão levantada é que o SIAPE não teria como parametrizar seu sistema para rodar o produto. Até certo ponto ,concordo que seria necessário fazer ajustes no sistema, mas sete meses para isso? Francamente, o próprio pessoal do SERPRO afirma que está tudo pronto. Já não está colando mais esta desculpa.

Uma desculpa usada também foi a falta de recurso financeiro. Contudo, ao julgar pelo INSS que, digamos e venhamos, se existe alguma instituição neste país que tenha problemas financeiros é o INSS há anos se arrecada menos do que se paga, ou seja, se eles normatizaram e parametrizaram o porquê o SIAPE ainda não?

Está na hora de Lutar

Poderíamos ficar aqui derrubando todas as desculpas utilizadas para justificar o atraso na liberação, mas o fato é que nada justifica tanta demora para liberar um direito seu. Contudo, se você é sindicalizado, procure seu sindicato. Cobre a representação que eles devem fazer a você.

Se mobilizem em divulgar nosso artigo e vídeo. Não se unam a uma pequena parcela pessimista que prefere só reclamar e reclamar só que de braços cruzados, como o próprio hino nacional diz “Os filhos teus não fogem a luta”.

Você sabia que o Portal Consignados é especialista em empréstimo consignado?

Com mais de 17 anos no Mercado de Empréstimo Consignado e com uma equipe treinada para lhe auxiliar na melhor decisão, no entanto o Portal Consignados trabalha em parceria com diversos bancos para lhe oferecer sempre o melhor negócio.

Aumento Salarial INSS 2016 afeta milhões de Aposentados

O Aumento Salarial INSS 2016 afeta milhões de Aposentados e Pensionistas do INSS. No entanto, para quem estava esperando o aumento salarial INSS para 2016, está totalmente perdido.

O governo até agora só divulgou o índice de reajuste para quem recebe até um salário mínimo foi de 10,6% contra os 9,56% do índice do IPCA, elevando o salário mínimo para R$ 869,16.

Deve estar perguntando o que é IPCA?

IPCA significa Índice de Preços ao Consumidor Amplo. Desde 1980, o IBGE vem anunciando os índices mês a mês como fonte de referência, mais conhecido como “Inflação”.

Apesar de muito discutido, seus métodos de pesquisa por aqueles que acreditam. Com razão que o índice deveria compor outros itens que, atualmente a população brasileira acabou instituindo no seu dia a dia como internet ou telefonia móvel.

Política de Valorização do Salário Mínimo

Nos últimos anos, a política de reajuste do governo para quem recebe até um salário mínimo tem sido sempre acima do IPCA.

Isso tem elevado o valor ano a ano do salário mínimo. Mas nem tudo são flores. Apesar de um empate técnico entre o índice de reajuste do salário mínimo e o IPCA.

Contudo, não é o que tenho notado no comportamento de consumo dos aposentados e pensionistas do INSS. Eles, cada vez mais se queixam com a inflação alta e sua desvalorização salarial.

A política adotada pelo atual governo tem demonstrado que o ritmo de reajustes acima do IPCA podem estar acabando.

As medidas do fator previdenciário e a indecisão em relação a inúmeras medidas para conter o déficit previdenciário me levam a crer cada vez mais nisso.

Aumento Salarial INSS 2016 para quem recebe acima de um salário

A pergunta que não quer mais calar é “E pra quem recebe mais de um salário mínimo? Pra quanto será o aumento salarial INSS para 2016?”.

Ultimamente, tenho recebido muitas dúvidas a respeito e tenho me esforçado para responder a esta pergunta.

Mas o fato é que ainda não tem um índice aprovado para quem recebe mais de um salário mínimo.

No entanto, a Presidenta Dilma está tentando aprovar um aumento salarial INSS de 6,3%. Isso, no meu humilde entendimento, seria mais um golpe duro para os aposentados e pensionistas do INSS.

O que mais me entristece é que, até o momento e através de inúmeros e-mails e cartas enviados a sindicatos, nenhum me respondeu. Ademais, nem se pronunciaram a respeito.

A impressão que tenho é que a cortina de fumaça da crise política deste país tenha cegado a grande maioria dos sindicatos que “defendem os direitos dos aposentados”.

Contudo, o fato é que o aumento salarial INSS para 2016 ainda é um grande mistério a ser desvendado. No entanto, somos reféns ao grande espetáculo da crise política deste país.

Ademais “Respeitável público”, vamos ter que esperar os próximos capítulos desta novela interminável de lágrimas e sangue.

Contudo, alguém se habilita à dar pelo menos um nome pra essa novela?

Eu sugiro “Circo dos horrores”.

Você sabia?

Com mais de 17 anos no Mercado de Empréstimo Consignado e com uma equipe treinada para lhe auxiliar na melhor decisão. No entanto, o Portal Consignados trabalha em parceria com diversos bancos para lhe oferecer sempre o melhor negócio.

Limite do Cartão SIAPE – Saiba como Calcular

No entanto, devido a inúmeras dúvidas de como se calcula o limite do cartão SIAPE, decidimos criar um artigo para explicar melhor.

A quem se aplica

Ademais, se aplica à todos os servidores públicos civis federais ativos, inativos, aposentados e pensionistas vitalícios. Contudo, antes de calcular o limite do Cartão SIAPE, é importante entender se você poderá contratar o cartão de crédito consignado. Por exemplo, segue abaixo as categorias permitidas e não permitidas:

Categorias e Cargos Permitidos

  • Cedido
  • Redistribuído
  • Ativo permanente lei 8878/94
  • Reforma CBM / PM
  • Reserva CBM / PM
  • Cedido SUS lei 8270.

Categoria e Cargos NÃO Permitidos

  • CLT
  • Comissionados
  • Contratado Temporário
  • Titular de Cargo em Comissão
  • Estagiário
  • Recrutamento amplo
  • Gratificados
  • Tutelado
  • Curatelado
  • Designados sem e com quinquênios
  • Prestador de Serviço

Parâmetros/Taxas/Tarifas/Multas e Regras

Primeiramente, antes de calcular o limite do Cartão SIAPE, é importante entender todas as condições. Contudo, para isso, abaixo estaremos detalhando suas principais características. Por exemplo:

  • Margem para Cartão: 5% do valor do salário líquido do servidor informado no Contracheque.
  • Taxa de Juros (Saque Todas as Modalidades e Rotativo): aguardando regulamentação
  • Tarifa de Saque: R$ 9,00
  • Anuidade Cartão Titular: Não cobra
  • Seguro Perda e Roubo: Não possui
  • Multa: Não cobra
  • Tarifa de emissão de Cartão: Não cobra
  • Tarifa de remissão de cartão: R$ 15,00 – Casos de Perda e má Conservação
  • Tarifa de Extrato: Não cobra
  • TAC – Tarifa de Abertura de Crédito: Não cobra
  • Aquisição do Cartão: É permitido apenas 1 (um) cartão por Benefício.
  • Regras de Concessão de Limite e Saque
  • 90% de Saque
  • Taxa: aguardando regulamentação
  • Múltiplo: 22 X
  • Margem Consignada Mínima: R$ 25,00
  • Margem Consignada máxima: R$ 1.590,00
  • Limite de Crédito Mínimo: R$ 550,00
  • Tarifa de saque: R$ 9,00

Limite por Idade. Por exemplo:

  • 18 a 65 anos : R$ 35.000,00
  • 66 a 70 anos : R$ 25.000,00
  • 71 a 75 anos : R$ 10.000,00

Calculando o limite do Cartão SIAPE

No entanto, para ajudar nessa missão árdua, estamos nos baseando no roteiro operacional do Banco BMG que gentilmente, nos forneceu uma calculadora em Excel que poderá ajudar em muito a você calcular o limite do Cartão SIAPE. Contudo, é importante salientar que existem lançamentos em seu contracheque. Ademais, por isso, não deixe de chegar no final deste artigo, nas verbas variáveis.

Contudo, para que possa acompanhar o exemplo utilizado, recomendo que baixe a planilha do Excel Calculadora SIAPE_v2.

Mãos a Obra

Ademais, deverá preencher a calculadora conforme indicações na imagem do contracheque. Contudo, observe que no passo 2, colocamos os principais descontos compulsórios que são apresentados no contracheque. Ademais, no exemplo abaixo, o contracheque possui apenas dois descontos.

contracheque servidor federal

Contudo, deve-se preencher na Calculadora:

limite do Cartão SIAPE

Por exemplo: Supondo que exista mais um desconto compulsório no valor de R$ 930,00. Contudo, observe como será o comportamento da calculadora no passo 2.

calculadora passo 2

Por exemplo: Supondo agora que existam verbas variáveis no valor de R$ 4.700,00. Contudo, observe como será o comportamento da calculadora no passo 3.

Calculadora passo 3

Você sabia que o Portal Consignados é especialista em empréstimo consignado?

Com mais de 17 anos no Mercado de Empréstimo Consignado e com uma equipe treinada para lhe auxiliar na melhor decisão, no entanto o Portal Consignados trabalha em parceria com diversos bancos para lhe oferecer sempre o melhor negócio.

Cartão SIAPE foi Prorrogado para 2016

Cartão SIAPE foi prorrogado e agitou os servidores federais em todo o Brasil, e com razão! Apesar de inúmeros pedidos, reclamações na ouvidoria do portal do SIAPE, inclusive a ministérios, a própria mídia tem se calado ou não dado importância para essa categoria tão esquecida.

A julgar pela quantidade de ministérios e institutos que esta categoria representa, é para se dar muito mais atenção ao problema.

do que operacional. A categoria que acaba ficando no meio do fogo cruzado entre oposição e situação, sendo um lado com o discurso de “Quanto pior, melhor” e do outro lado “Está tudo sob controle”.

Atendo aos servidores federais há mais de 17 anos. Há anos que acompanho diariamente seus problemas e desafios. Posso afirmar que, sem essa categoria atuando de forma tão efetiva e responsável, a situação do país poderia estar ainda pior.

Por isso, recomendo à todos os leitores sendo ou não servidores federais, que tomem uma posição a respeito. Afinal de contas, a única coisa que funciona neste país são os órgãos Federais.

Cartão SIAPE foi Prorrogado, mas qual a Justificativa?

O SIAPE afirma que falta recursos para parametrizar o seu sistema e implantar a margem dos 5%. As perguntas que faço são as seguintes:

  • O SIAPE não deveria trabalhar para servir o interesse dos seus segurados?
  • A contribuição mensal que lhes é descontada em seu contracheque não deveria ser para gerir além da folha de pagamento a manutenção e atualização do seu sistema?
  • A nova reprocessadora que recebe milhões para gerir o sistema não deveria dar essa contra partida?

Peço desculpas aos leitores, mas alguém pode me explicar qual é a dificuldade? Porque até agora nem eu e nem a torcida do Corinthians aceita as justificativas informadas.

Por isso, se alguém do SIAPE puder responder com argumentos aceitáveis, seria bem bacana.

MP 681 pra quem?

A MP 681 foi publicada em 10 de julho de 2015. Contudo, desde a sua publicação, foi estendido o direito a 5% adicionais para utilizar o cartão de crédito consignado.

Para quem está de fora ou não conhece bem o sistema financeiro, pode estar se perguntando:

“Tá, mas o que muda isso pra mim?”

Muda muita coisa. Para mim que acompanhei o inicio do empréstimo consignado, onde se cobrava até 18% a.m para a modalidade de empréstimo pessoal.

Com a chegada do consignado até quem utiliza empréstimo pessoal acabou pagando mais barato.

Isto acontece porque o sistema financeiro ,para cobrar juros, precisa justificar o risco da carteira. Quando diluída entre empréstimo consignado e outras modalidades o consignado, ajuda a diminuir no geral a inadimplência.

O cartão de crédito no Brasil pode chegar em até 400% a.a. O risco é muito grande. Agora, colocar o cartão de crédito consignado do outro lado da Balança pode ajudar a equilibrar essa conta.  Por isso, pode acreditar.

Outro aspecto bem interessante e que não cabe na minha cabeça é uma regra básica “Crédito gera consumo, consumo gera emprego, emprego gera mais consumo e renda.

Agora, afinal de contas, porque mesmo se sabendo que a crise atual é a pior desde a década de 40. O governo não para de dar palpites desastrosos sobre terrorismo e não olha para os seus problemas?

Afinal de contas, eles não querem tirar o Brasil desta crise!

Cartão SIAPE

Sendo você caro leitor, servidor ou não, muda muita coisa pra você também.

Por essas e outras, pode estar se perguntando “Porque o cartão SIAPE foi prorrogado?”

Provavelmente cartão SIAPE foi prorrogado para confundir a cabeça dos servidores que dele dependem, mas é necessário que tenha suporte por parte do SIAPE.

O SIAPE não pode largar o produto assim. Aguardamos a manifestação por parte do SIAPE para prestar esclarecimentos aos seus servidores.

Você tem a Força

É hora caros leitores, de fazer a diferença. Cada um naquilo que possam somar. No meu caso, apesar de ter algumas restrições por até poder sofrer alguma retaliação por tocar na ferida.

Decidi abrir a boca, e fazer aquilo que está dentro do meu alcance que é dar visibilidade pública ao meu ponto de vista em relação ao assunto e a promover a união em ações de compartilhamentos em nossa rede social.

Recomendo a todos os servidores federais, pessoas físicas e até mesmo aos aposentados do INSS a se juntarem a nós, para quem é do INSS e já está utilizando o cartão de crédito, para que esta informação que o cartão SIAPE foi prorrogado para 2016 seja revisto.

Posso afirmar isso só foi possível antes do prazo divulgado, graças a ajuda de até mesmo servidores federais que estavam aguardando o seu cartão, e de bom coração se uniram a causa, por isso se puderem se unam aos servidores federais também.

Posso afirmar porque eu vi isso acontecer, o servidores compraram a briga dos aposentados SIM.

O Poder da Internet

Na internet funciona assim. Quanto mais pessoas falando sobre um determinado assunto, mais visibilidade ele terá, ou seja, se você concorda com este artigo ou se está a favor de comprar essa briga, comentem e coloquem seu ponto de vista.

Avisem seus colegas de repartição, amigos e familiares e no final do comentário coloquem a seguinte frase :

“Globo os Servidores Federais precisam de ajuda”.

Quanto mais pessoas escreverem essa frase no final de seus comentários mais visibilidade teremos. Por exemplo: basta digitar na Google MP 681 e veja quem está nas primeiras posições?

Vamos fazer o mesmo com este artigo ao ponto de digitarem na google “Globo os Servidores Federais precisam de ajuda” e aparecermos nas primeiras posições também.

Estaremos chamando a atenção do maior veículo de comunicação de nosso país.

Você sabia?

Com mais de 17 anos no Mercado de Empréstimo Consignado e com uma equipe treinada para lhe auxiliar na melhor decisão, no entanto o Portal Consignados trabalha em parceria com diversos bancos para lhe oferecer sempre o melhor negócio.

Contrate seu empréstimo consignado clicando aqui

Como é feito o Pagamento do Cartão de Crédito Consignado?

Pagamento do cartão de crédito de um empréstimo consignado. Devido ao grande número de pessoas que estão com dúvidas a respeito de como fazer o Pagamento do cartão de crédito consignado, decidimos criar este artigo para ajudar a você entender o porque o Cartão de Crédito Consignado é tão interessante.

1º Passo – Entenda a Fatura para o pagamento do Cartão de Crédito Consignado

A fatura do seu cartão de crédito consignado é igual a uma fatura de cartão de crédito normal. Existe um demonstrativo de débitos e pagamentos, bem como a informação do estabelecimento aonde fez suas compras. Você deverá estar recebendo em sua casa uma fatura na qual possui informações importantes como, por exemplo:

As informações do “Pagamento mínimo previsto em folha R$” representarão a sua margem dos 5%. Logo abaixo, você entenderá porque essa informação é importante.

Boleto do Cartão BMG Card

Note que as informações do pagamento mínimo que são exatamente a sua margem dos 5% já estão abatendo seu saldo devedor. Outra informação importante é “PAGAMENTO COMPLEMENTAR NECESSÁRIO”. Caso haja algum valor lançado neste item, o mesmo deverá ser pago para evitar que seu cartão seja bloqueado. Contudo, isso ocorre devido ao desconto do pagamento mínimo descontando em folha ser inferior ao valor mínimo de sua fatura.

Pagamento do cartão de Crédito BMGNote que existe um campo de valores em dólar. Isso acontece pois se trata de um Mastercard Internacional.

Parcelamento nas Compras

O Parcelamento nas compras com seu cartão de crédito consignado funciona igualmente a um cartão de crédito convencional. Contudo, antes de parcelar uma compra, sempre questione o estabelecimento quem irá arcar com os encargos, se é o lojista ou se é você.

Existe uma grande diferença e as taxas de juros nestes casos podem variar de acordo com a tabela de juros vigente para aquele estabelecimento em questão. Por isso, recomendamos sempre se atentar nas compras parceladas de quem ficará com os encargos para Pagamento do Cartão de Crédito. Vamos explicar melhor abaixo as diferenças:

Parcelamento pelo Estabelecimento

O Parcelamento pelo estabelecimento é quando o lojista assume os encargos de juros pela administradora da maquina utilizada (Cielo, PagSeguro e etc), não gerando ao cliente nenhum ônus de juros pelo parcelamento. Neste caso, o parcelamento será sem juros para você, diminuindo assim o Pagamento do Cartão de Crédito.

Parcelamento pelo Cliente

Neste caso os encargos de juros pela administradora é totalmente repassado a você, ou seja, pagará os juros pela compra parcelada. Verifique com o estabelecimento qual a taxa de juros cobrada e, em casos de juros superiores a 3,06% a.m, opte por pagar a vista utilizando a função “saque” do seu cartão. Não se esqueça de pedir desconto, é claro.

Pagamento do Cartão de Crédito Consignado BMG

O pagamento do cartão de crédito consignado BMG é muito flexível e prevê várias possibilidades. Pensando exclusivamente em você, com o BMGCard, você pode pagar sua fatura:

  • A vista
  • Parcelado
  • Parcial
  • Pagamento Mínimo

Abaixo, estaremos explicando caso a caso para que você possa escolher a forma melhor ao fazer o pagamento do cartão de crédito.

Pagamento a vista

Na sua fatura de pagamento, sempre virá o valor de desconto em folha que nunca será superior a seus 5% de sua margem. O restante virá através de boleto bancário. Por exemplo: se os seus gastos foram no valor de R$ 1.000,00 e sua margem dos 5% for R$ 100,00, você receberá uma fatura no valor de R$ 900,00, pois os R$ 100,00 restantes para quitar seu cartão já serão descontados em folha.

Pagamento Parcelado

Não existe pagamento parcelado de seu saldo devedor. No começo até foi divulgado que seria parcelado em até 72 x mas agora mudou. Contudo, não se preocupe. Se você recebeu sua fatura em um valor ao qual não pode pagar, basta pagar o mínimo, ou seja, basta deixar o desconto em folha que seu saldo devedor irá sendo amortizado até que seja quitada toda a sua dívida.

[su_service title=”Atenção” icon=”icon: bullhorn” icon_color=”#e89320″]Os prazos de 72 meses para quitar seu saldo devedor havendo apenas o desconto em folha dos 5% considera uma condição aonde você sacou ou utilizou 98% do limite do seu cartão. Caso seu saldo devedor seja inferior a conta muda totalmente e para menos.[/su_service]

Pagamento Parcial

O pagamento Parcial é a melhor forma de você ir saldando sua dívida no cartão de crédito. Note que no seu boleto bancário, não existe um valor definido. Isso significa que você poderá fazer um pagamento avulso se desejar. Lembre-se que os juros de 3,06% a.m +  IOF de 0,38% a.m, incidem sobre o valor de seu saldo devedor. Portanto, quanto maior o Pagamento do Cartão de Crédito, menor o valor da próxima fatura. Consequentemente, menor será os juros a ser pago.

[su_service title=”Dica Importante” icon=”icon: lightbulb-o” icon_color=”#e89320″]Mesmo que tenha optado por pagar apenas o valor mínimo de sua fatura, fazer pagamentos avulsos lhe ajudarão a amortizar sua dívida mais rápido.[/su_service]

Material de Apoio

Estamos desenvolvendo uma calculadora para lhe auxiliar no seu cálculo de amortização de seu saldo devedor em nossa nova área de membros do site. Neste novo projeto do Portal Consignados, estaremos disponibilizando diversas ferramentas. Por isso, aproveite para se tornar um membro do Portal Consignado e utilizar as nossas ferramentas de gestão de crédito. Isso além de diversas funcionalidades que estamos preparando exclusivamente para você. Mas por enquanto e, para sanar algumas dúvidas emergenciais, estaremos disponibilizando uma planilha do Excel para baixar. É bastante simples. Basta clicar no link a seguir simulador-cartao-pgto-minimo-amortiza.

Contudo, veja com utilizar a planilha no vídeo abaixo:

No entanto, qualquer dúvida em relação ao Pagamento do Cartão de Crédito, estaremos aqui para lhe ajudar.

Você sabia que o Portal Consignados é especialista em empréstimo consignado?

Com mais de 17 anos no Mercado de Empréstimo Consignado e com uma equipe treinada para lhe auxiliar na melhor decisão, no entanto o Portal Consignados trabalha em parceria com diversos bancos para lhe oferecer sempre o melhor negócio.

Quitar antecipado Consórcio – Entenda como funciona?

Quitar antecipado Consórcio tem sido uma dúvida bastante comum entre nossos clientes e visitantes de nosso portal, contudo neste artigo iremos explicar quais as vantagens e desvantagens em quitar sua carta de consórcio.

Dúvidas como: “Se eu quitar antes ja posso receber minha carta de crédito para aquisição do bem?”. São bastante comuns, mas calma, vamos por partes.

Antes de responder as suas perguntas é importante enteder quais formas você tem dentro desta modalidade de crédito para quitar antecipadamente sua cota de consórcio e iremos explicar se vale a pena ou não fazer isso. Continue lendo.

Formas de se Quitar Antecipado Consórcio

Dentre as formas que sem para quitar um consórcio antecipadamente iremos ilustrar as principais, caso não se indentifique com os exemplos abaixo ou tenha dúvidas deixe seu comentário que teremos um imenso prazer em lhe ajudar.

Forma Direta

Quitar antecipado consórcio de forma direta é quando você faz um único pagamento das parcelas restantes a contar da parcela a vencer até a última.

Lembrando que se houver saldo positivo, no final do grupo você ainda poderá ser ressarcido. Mas, somente no final do grupo de consórcio.

Forma Inversa

Contudo, em alguns casos, os prazos podem parecer longos demais. No entanto, algumas pessoas quando podem, quitam antecipado consórcio de forma inversa, ou seja, pagam a parcela vigente e a última, antecipando assim, o fim do consórcio.

O que levaria talvez 48 meses ao fazer o pagamento de duas parcelas por mês, o prazo diminui para 24 meses. A vantagem neste caso é que não existe uma obrigatoriedade de fazer esse pagamento todos os meses.

Se em um mês não puder fazer o pagamento de duas parcelas de consórcio, pode optar por pagar somente a parcela vigente do mês.

Outras Formas de Abater o Saldo devedor em um consórcio

No caso de Consórcio de Imóvel Residencial, o Consorciado poderá utilizar o saldo da sua conta vinculada ao FGTS para amortizar parte das prestações mensais. Essas regras constam no manual da Caixa Econômica Federal, órgão gestor do FGTS.

Existe uma regra para utilização do seu FGTS. Isto só será possível se você não utilizou seu FGTS para esta finalidade, no período de 3 anos. Consulte a Caixa Economica Federal sobre o saldo de seu FGTS antes de fazer uma proposta para quitar antecipado consórcio.

Vantagens e desvantagens na quitação de um consórcio

A grande vantagem em quitar seu consórcio antecipadamente é que você ficará livre do pagamento das parcelas mensais. Outra vantagem é que você poderá ter seu bem livre de alienação fiduciária no caso de carros e motos ou de hipoteca no caso de Imóveis.

Para Imóveis, lembre-se que o custo com a transferência para seu nome envolve despesas cartorárias. Contudo, é importante antes de tudo, consultar o cartório de registro imóveis sobre as taxas que terá que pagar.

Outra vantagem na quitação antecipada é que uma vez quitado, não terá incidência de correções no valor da parcela.

Lembre-se que as parcelas do Consórcio não são fixas. Elas são corrigidas conforme índice vigente do bem. Contudo, ao quitar, você paga a correção da parcela atual x parcelas restantes.

Na quitação antecipada do consórcio, não existe amortização de juros, pois não tem juros. Contudo, nesse caso, o ganho são as atualizações mensais de acordo com o índice de correção do bem. Contudo, isso já é muita coisa dependendo do prazo de sua cota de consórcio.

Você sabia?

Com mais de 17 anos no Mercado de Empréstimo Consignado e com uma equipe treinada para lhe auxiliar na melhor decisão, no entanto o Portal Consignados trabalha em parceria com diversos bancos para lhe oferecer sempre o melhor negócio.

Contrate seu empréstimo consignado clicando aqui

Fundo Comum, taxa de Administração e Fundo de Reserva? Como Calcular

Fundo comum, o que é? E o que é taxa de administração? Provavelmente você já tenha ouvido falar de fundo de reserva. Mas você sabe o que é? Neste artigo, aprenderemos sobre os itens que compõem o boleto de um consórcio.

Por exemplo:

Primeiramente, veremos como calcular prestação no sistema de consórcio, tomando-se como exemplo um grupo de 60 meses cujo bem ou serviço é de R$ 30.000,00.

  • Prazo de Duração do Plano: 60 Meses
  • Valor do Bem ou serviço: R$ 30.000,00
  • Percentual de Fundo Comum Contratado: 100% (cobrança linear)
  • Fundo de reserva total: 2%[/su_box]

a) Fundo Comum (FC): Em síntese, é o valor que todo consorciado paga para formar a poupança que será destinada á aquisição do bem ou serviço.

No entanto, como a referência do consórcio é o valor do bem ou serviço indicado no contrato, á contribuição ao fundo comum é a calculada tomando-se por base o respectivo preço vigente no dia da assembleia geral ordinária.

Normalmente, a contribuição para o fundo comum é obtida mediante a divisão percentual do preço do bem ou serviço contratado peio numero de meses de duração do grupo (contribuição linear). No entanto. poderá a administradora fixar percentual variável de contribuição ao fundo comum (contribuição não linear) desde que o somatório destas contribuições seja igual à totalidade de fundo comum contratado.

Calculando o Fundo Comum (cobrança linear):

O Cálculo do Fundo Comum é bem simples. Contudo, para lhe ajudar criamos uma calculadora abaixo e formula caso deseje fazer os cálculos manualmente.

[su_service title=”Fórmula Matemática” icon=”icon: graduation-cap” icon_color=”#e89320″]Percentual Contratado ÷ Duração do grupo = Percentual Mensal do fundo comum

Valor do Bem ou Serviço x Percentual Mensal do FC = Valor Mensal do FC

b) Taxa de Administração (TA): A taxa de administração. indicada 10 contrato. é a remuneração da administradora pelos serviços prestados na formação, na organização e na administração do grupo. Contudo, a taxa de administração não se confunde com os juros cobrados em outras modalidades de acesso a bens e serviços.

Ademais, no exemplo abaixo, você poderá verificar que a taxa de 15% está diluída nos 60 meses do plano, resultando apenas 0,25% incidente, mensalmente, sobre o valor do bem ou serviço vigente no dia da Assembleia Geral Ordinária.

Calculando a Taxa de Administração (cobrança linear):

Contudo, o cálculo da taxa de administração é importante para conferir o valor de sua parcela, ao aderir a um plano de consórcio as informações de taxa de administração e prazo do grupo são os fatores para calcular a sua parcela. No entanto, para lhe ajudar abaixo criamos um simulador. Portanto, nele você poderá calcular seu plano ou projetar sua parcela. Ademais, igualmente ao exemplo acima, vamos disponibilizar também a fórmula matemática:

Valor do Bem ou Serviço x Percentual Mensal (TA) = Valor mensal da TA

Valor do Bem ou Serviço x Percentual de TA = Valor Mensal da TA

c) Fundo de Reserva (FR): Em suma, trata-se de fundo de proteção destinado a garantir o funcionamento do grupo, determinadas situações previstas no contrato. Contudo, o consorciado estará sujeito ao pagamento deste fundo desde que sua cobrança esteja prevista em contrato. No entanto, o raciocínio é o mesmo adotado para a taxa de administração. Contudo, no exemplo abaixo, o fundo de reserva, também incidente sobre o valor do bem ou serviço contratado, está diluído nos 60 meses. No entanto, é importante observar que, se houver recursos nesse fundo quando do encerramento do grupo, estes serão devolvidos proporcionalmente aos consorciados

Calculando o Fundo de Reserva

Em suma, abaixo estaremos explicando como é realizado o fundo de reserva. Contudo, para isso, criamos um simulador e apresentação da fórmula matemática. Por exemplo:

Percentual Contratado ÷ duração do grupo = Percentual Mensal

Valor do Bem ou Serviço x Percentual Mensal = Valor Mensal do Fundo de Reserva

d) Seguro: Conforme previsto no contrato, o consorciado estará sujeito, ainda, ao pagamento de prêmios de seguro, nos termos do contrato. Ademais, como exemplo, podemos citar o seguro de quebra de garantia, seguro de vida e seguro desemprego o seguro de quebra de garantia é contratado em favor do grupo e se destina a cobrir o inadimplemento no pagamento das prestações vincendas dos consorciados contemplados.

Contudo, sem dúvida, o seguro de vida em grupo se destina a pagar as prestações vincendas em caso de falecimento do consorciado. No entanto, embora o seguro desemprego visa garantir o pagamento de algumas prestações, caso o cotista venha a perder o emprego.

Calculando a Parcela do Consórcio

Contudo, agora que já sabemos calcular o Fundo Comum, Taxa administrativa e Fundo de Reserva, já podemos calcular a parcela de nosso consórcio, como no exemplo acima mencionado.

No entanto, caso deseje simular conforme sua necessidade basta informar os parâmetros nos simuladores acima que terá o valor de sua parcela calculada. Contudo, antes de contratar uma cota de consórcio, faça uma pesquisa. No entanto, o Banco central disponibiliza um ranking de operadoras de consórcio que poderá lhe ajudar a encontrar a melhor alternativa em consórcio para você.

Você sabia que o Portal Consignados é especialista em empréstimo consignado?

Com mais de 17 anos no Mercado de Empréstimo Consignado e com uma equipe treinada para lhe auxiliar na melhor decisão, no entanto o Portal Consignados trabalha em parceria com diversos bancos para lhe oferecer sempre o melhor negócio.

Aumento da Aposentadoria é Possível?

Aumento da Aposentadoria é possível? Poucas pessoas sabem, mas o cidadão que é aposentado pode ter direito a um aumento da aposentadoria em 25%. Para ter direito a este aumento, o aposentado precisa comprovar através de perícia médica, que necessita de assistência permanente de outra pessoa para sobreviver.

O referido benefício foi previsto, a princípio, apenas para o Aposentado por Invalidez de acordo com o artigo 45 da lei 8.213/91.

A intenção do legislador neste caso, foi ajudar o aposentado por invalidez que precisaria arcar com as despesas e com a contratação de outra pessoa que irá lhe auxiliar de forma permanente para todas as necessidades da vida.

Condições Específicas para Aumento da Aposentadoria

Ao regulamentar o artigo 45 da Lei 8.213/01, o Decreto n° 3.048/99 em seu Anexo I, dispõe as doenças que o aposentado por invalidez terá direito ao aumento da aposentadoria em 25%.

Doenças

Ademais, abaixo, destacamos as Doenças as quais o artigo se refere:

  • Cegueira total.
  • Perda de nove dedos das mãos ou superior a esta.
  • Paralisia dos dois membros superiores ou inferiores.
  • Perda dos membros inferiores, acima dos pés, quando a prótese for impossível.
  • Perda de uma das mãos e de dois pés, ainda que a prótese seja possível.
  • Perda de um membro superior e outro inferior, quando a prótese for impossível.
  • Alteração das faculdades mentais com grave perturbação da vida orgânica e social.
  • Doença que exija permanência contínua no leito.
  • Incapacidade permanente para as atividades da vida diária.

Contudo, as doenças acima descritas não são taxativas. Isto significa que o aposentado por invalidez pode ter direito ao aumento da aposentadoria em 25%.

Para ter direito, precisa comprovar que está incapaz e que depende de outra pessoa para viver. O aposentado terá direito mesmo que sua doença não esteja relacionada no anexo I do Decreto n° 3.148/99.

Direito Estendido

Recentemente, o direito de receber o adicional de 25% foi estendido aos Aposentados por Idade.Diante da nova orientação, as agências do INSS cederam. Contudo, atualmente vem concedendo este adicional de 25% ao Aposentado por Idade, contanto que comprove que ficou inválido.

Ademais, judicialmente, é possível de acordo com a jurisprudência atual. O reconhecimento do direito do acréscimo de 25% para as demais aposentadorias, isto é, Aposentadoria por Tempo de Contribuição e Aposentadoria Especial. Isso desde que fique comprovado a dependência de assistência permanente.

Nessa linha, é possível que o aposentado que for acometido de uma doença grave que lhe faça depender exclusivamente de terceiros, tenha igualdade de direitos aos aposentados por invalidez, recebendo este adicional.

Resumindo

Isso quer dizer que o aposentado que se encontra incapacitado e que dependa de um terceiro, deverá requerer o adicional de 25% perante uma agência INSS que irá submetê-lo a uma perícia médica.[/su_service]

Ademais, em caso de negativa perante o INSS, o aposentado deverá consultar um advogado especialista em direito previdenciário que irá analisar todos os documentos e ingressará com o pedido do adicional judicialmente do aumento da aposentadoria.

Você sabia?

Com mais de 17 anos no Mercado de Empréstimo Consignado e com uma equipe treinada para lhe auxiliar na melhor decisão, no entanto o Portal Consignados trabalha em parceria com diversos bancos para lhe oferecer sempre o melhor negócio.

Cartões Aprovados BMG Confirmado o Primeiro Lote

Cartões BMG Card

Sucesso total na liberação do BMG Card

Os cartões do INSS chegaram. Esse é só o primeiro lote. Contudo, foram mais de 590 Mil averbações do BMG Card concluídas no Dataprev. Quem estava esperando para o dia 05/1o/2015 pode agora ficar mais aliviado.

 Cartões BMG Card o Drama

Entenda o drama dos cartões BMG. Após a publicação da MP 681, foi aberta a chance dos aposentados e pensionistas do INSS terem mais um cartão de crédito. Esse é mais barato e sem muita burocracia. Contudo, foi necessário que o INSS criasse um normativo interno autorizando e implementando regras para adequar aos 5%.

O fato é que o próprio INSS informou que a data prevista para que seu sistema ficasse pronto seria 05/10/2015. No entanto, essa notícia desagradou muita gente, tendo em vista que muitas pessoas começaram a solicitar este cartão desde que a MP 681 foi publicada. Ademais, já se passaram mais de 2 meses.

Mudança na Programação do INSS

Após muito alvoroço e muita pressão, o Dataprev que é a empresa que processa os dados do INSS, começou a se mexer e conseguiu mudar seu sistema. Somente na data de hoje, o Banco BMG conseguiu averbar mais de 590 mil propostas de cartões.

A partir de agora, serão enviados lotes todos os dias até que sejam normalizados todos os pedidos de cartões de crédito consignado.

Recomendações para quem já solicitou

Para quem já solicitou o cartão de crédito BMG Card, é importante ligar para o correspondente ao qual contratou ou na central de relacionamento no telefone 0800 979 9099. Ligue para saber se a sua proposta está neste primeiro lote ou se ainda está para retornar nos próximos lotes de Cartões BMG Card.

Será solicitado em alguns casos que seja assinada a via do Saque. Pois foi autorizado pelo INSS até 98% do limite do seu cartão de crédito BMG Card possa ser utilizado através de saque. Contudo, este procedimento é normal e servirá para lhe ajudar a conseguir sacar em dinheiro.

Limite de Crédito

Dentro destes últimos dois meses de espera, muitas coisas mudaram. Inclusive foi mudado o limite aprovado para o seu cartão. No começo era 2x a renda líquida. Agora o que ficou definido foi 1,4x sua renda liquida, ou 28x a sua margem dos 5%.

Recomendações

Não é porque se trata de um cartão de crédito consignado que se deva utilizar o cartão de qualquer forma. Seja bem consciente a partir de agora em suas escolhas. Faça bom uso de seu cartão de crédito. Faça jus ao objetivo da MP 681, que é para utilizar o cartão de crédito para poder quitar outras dívidas, inclusive com cartões.

Qualquer dúvida em relação a utilização do Cartão de Crédito consignado BMG Card, estaremos aqui para lhe auxiliar. Responderemos a todas as suas dúvidas relacionadas à cartões ou aos produtos comercializados pelo Portal Consignados.

Contudo, aos participantes da campanha no Facebook #AgilizaDataprev, o nosso muito obrigado. No entanto, vamos continuar engajados em causas que possam ajudar a todos. Ademais, referente aos cartões, tivemos uma vitória significativa.

Você sabia que o Portal Consignados é especialista em empréstimo consignado?

Com mais de 17 anos no Mercado de Empréstimo Consignado e com uma equipe treinada para lhe auxiliar na melhor decisão, no entanto o Portal Consignados trabalha em parceria com diversos bancos para lhe oferecer sempre o melhor negócio.

Cartão de Crédito BMG – Dúvidas Frequentes

Banco BMG junto ao INSS esclarece algumas dúvidas em relação ao Cartão de Crédito BMG. Por exemplo: Qual é a forma de utilização? Terá ou não saque? e até mesmo opções para quem já possuí o Cartão BMG no modelo antigo baseado na margem dos 10% e quer utilizar os 5% aprovados pela MP 681.

Abaixo, estaremos apresentando as dúvidas mais comuns. Caso tenha mais dúvidas, basta comentar este artigo que teremos um imenso prazer em responder.

Cliente inadimplente no cartão será negativado no SPC ou SERASA?

O cliente só fica negativado, quando não tem o desconto em folha e não realiza através de fatura de seu cartão de crédito BMG. Contudo, se realizar o pagamento de forma correta ou entrar em contato com a central de cartões, poderá até mesmo parcelar seu saldo devedor.

Se o cliente pagou toda a fatura, o mínimo será descontado na folha?

Quando o cliente não possui mais saldo no cartão de crédito BMG, não existe desconto a ser realizado na folha de pagamento.

Qual é o Cálculo para liberação do valor do salário?

Para a nova regra de margem de 5% do INSS é de 28x. Contudo, se a renda do cliente for R$ 1.000,00, sua margem dos 5% será de R$ 50,00 x 28 = R$ 1.400,00. Este será o limite liberado para a utilização em compras e saques com o cartão de crédito consignado BMG.

Com o Cartão de Crédito BMG CARD, pode-se adicionar dependentes?

Não permite cartão adicional para o INSS. Contudo, os demais convênios deverão ser consultados.

Como ficam os clientes que já possuem o cartão INSS e que tem 6 empréstimos?

Está aberto à digitação da margem complementar de 5% para os clientes que já possuem cartão de crédito. Ademais, eles poderão assim utilizar os 5% para empréstimo consignado.

Contudo, para os clientes que já possuem o cartão no modelo antigo, ou seja, 10% de reserva de margem para cartão de crédito.

O saque poderá ser parcelado?

Contudo, após a liberação, será divulgado o modelo para ser aplicado na modalidade de saque do INSS. No entanto, analisam a melhor forma de realizar este processo interno.

Você sabia?

Com mais de 17 anos no Mercado de Empréstimo Consignado e com uma equipe treinada para lhe auxiliar na melhor decisão, no entanto o Portal Consignados trabalha em parceria com diversos bancos para lhe oferecer sempre o melhor negócio.

Greve no INSS caminha para 90 dias – E Agora?

Muitos clientes tem nos questionado sobre a greve no INSS e, por isso, decidimos esclarecer alguns pontos. A paralisação que já caminha para 90 dias está tirando o sono de muita gente. Inclusive daqueles que necessitam se dirigir a uma agencia do INSS.

Para aqueles que acreditam que a greve no INSS está atrapalhando alguma liberação de empréstimo consignado ou o Cartão de Crédito consignado, podem ficar tranquilos, pois a Greve no INSS não atrapalha o fluxo de averbações. Todo processamento de dados é realizado pela Dataprev e não pelas agências do INSS.

Entendendo a Greve no INSS

A reivindicação é de um reajuste salarial de 27,5% de aumento em seus salários. Atualmente, a categoria tem adesão de 85% da categoria, na qual é composta por mais de 33 mil funcionários.

A paralisação afetou mais de 1100 agências em todo país. Contudo, recentemente até os médicos que estavam realizando as perícias médicas aderiram à greve.

Prejuízos Causados pela Greve

Muitas pessoas que necessitam dar entrada em aposentadorias e pensões ou até mesmo esperam por uma perícia médica, estão aguardando o fim da greve no INSS para colocar sua vida em dia.

Quem está com a perícia agendada neste período, tem sofrido com a suspensão do benefício. No entanto, até que seja terminado o impasse, o que vem trazendo comoção e desespero a milhares de famílias.

É ultrajante como se paralisam serviços de tal importância neste país. É vergonhoso como as negociações vem sendo discutidas a uma velocidade igual ou menor a das “Marginais de São Paulo”.

Pontos de Reflexão

Apesar da reivindicação dos servidores ser justa, é importante lembrar que nosso país herdou a herança de um grande líder sindical. Ele, mais do que ninguém sabe bem trabalhar uma greve. Inclusive a favor do próprio governo.

Não podemos esquecer que o déficit anunciado pelo governo passa dos 30 Bilhões, ou seja, bem providencial uma greve onde se paralisa os pagamentos de milhares de benefícios e cessa outros milhares. Seria essa greve uma medida para o governo ganhar tempo?

Contudo, é muito difícil não acreditar nisso, pelo menos no meu ponto de vista. Da mesma forma que a MP 681 junto ao INSS dá indícios de que só será liberada no terceiro trimestre do ano, ajudando assim a economia embalar. Fica muito difícil acreditar que o objetivo da greve seja realmente aumento salarial.

A reflexão é importante para nós, cidadãos brasileiros,  podermos tirar nossas próprias conclusões a respeito de assuntos de tamanha importância.

Você sabia que o Portal Consignados é especialista em empréstimo consignado?

Com mais de 17 anos no Mercado de Empréstimo Consignado e com uma equipe treinada para lhe auxiliar na melhor decisão, no entanto o Portal Consignados trabalha em parceria com diversos bancos para lhe oferecer sempre o melhor negócio.

Cessação do Auxilio Doença – Estabilidade de Emprego

Quanto a Cessação, o empregado pode ficar afastado de seu trabalho se estiver incapaz. Contudo, isso ocorre mediante um acidente do trabalho ou por uma doença.

No caso de acidente do trabalho:

  • quando o empregado ficar afastado do trabalho por ter sofrido acidente nas dependências da empresa no seu horário de trabalho
  • no trajeto de seu trabalho

Se for vítima de uma doença profissional, receberá da Previdência Social o benefício de Auxilio Doença por Acidente do Trabalho. Sua identificação pelo INSS é espécie 91.

No caso de afastamento do trabalho por qualquer outra doença, que não seja relacionada ao trabalho, o empregado receberá Auxilio Doença. Sua identificação pelo INSS é espécie 31.

Da estabilidade de emprego após Cessação do Auxilio Doença

No momento em que o empregado retorna as suas atividades profissionais após a cessação do Auxilio Doença, o mesmo pode ser surpreendido com a sua substituição no local em que trabalhava. Isso só se estiver curado.

Entretanto, o segurado que sofreu acidente do trabalho tem garantido pelo prazo mínimo de 12 meses, a manutenção do seu contrato de trabalho na empresa. Isso após a cessação do auxílio-doença acidentário. Assim, se o empregado for demitido, o mesmo deverá ser indenizado como se estivesse trabalhando por 12 meses.

Já nos casos de afastamento por Auxilio Doença (espécie 31), o empregado não faz jus a estabilidade de emprego. Exceto se houver previsão da estabilidade na convenção coletiva de sua categoria profissional.

Vale informar, todavia, que a estabilidade de emprego também poderá ser garantida para os segurados que receberam o Auxilio Doença – espécie 31. Contudo, deverão comprovar judicialmente que a doença que lhe causou a incapacidade tenha nexo com a função desempenhada.

Pedido Judicial

Para que o empregado faça jus a estabilidade de emprego, o mesmo deverá contratar um advogado especialista em Direito do Trabalho. Este irá reunir todos os documentos necessários para comprovar que a doença incapacitante está relacionada com o trabalho.

Ademais, com todos os documentos, será apresentado um pedido judicial de indenização pela estabilidade de emprego após a cessação.
Entretanto, a estabilidade somente será reconhecida desde que o perito judicial conclua que a doença tenha nexo com o trabalho.

Sendo positiva a perícia, o empregado terá sua estabilidade indenizada. Contudo, ainda poderá ser indenizado por danos morais. Isso desde que fique comprovado a culpa do empregador pela doença.

Esta matéria foi gentilmente cedida pela Rocha & Mouta Advogados

Você sabia que o Portal Consignados é especialista em empréstimo consignado?

Com mais de 17 anos no Mercado de Empréstimo Consignado e com uma equipe treinada para lhe auxiliar na melhor decisão, no entanto o Portal Consignados trabalha em parceria com diversos bancos para lhe oferecer sempre o melhor negócio.

SIAPE – o retorno já foi Confirmado no BMG

 

O empréstimo consignado SIAPE, pelo banco BMG, voltará a operar no próximo dia 14 de Setembro. Com a troca da processadora, milhares de servidores federais poderão retomar sua negociação com o Banco.

Contudo, poderá além de contratar seus empréstimos, fazer refinanciamento e, em breve, portabilidade também. A paralisação afetou muitos servidores do Brasil. Acreditamos que essa noticia, além de gerar um alívio muito grande, seja bem recebida por todos.

Motivos que desencadearam a paralisação do SIAPE

Com as denúncias do envolvimento da antiga processadora Consist no esquema Lava a jato, muitas instituições financeiras se afastaram e paralisaram qualquer processo com a Consist. Durante esse período, os servidores tiveram dificuldades em solicitar ou até mesmo, obter informações sobre refinanciamento, empréstimo novo e portabilidade.

Há algumas semanas, estávamos acompanhando a movimentação do mercado no sentido do retorno. Algumas instituições financeiras já começaram a operar com o SIAPE de forma parcial. Contudo, devido ao anuncio da troca da processadora, muitos bancos estarão retomando suas operações, dando fim à tanto martírio.

Novos Produtos

Muito se tem falado sobre o cartão de crédito consignado. Contudo, após a MP 681, acreditamos que como no INSS, os servidores federais poderão também se beneficiar do Cartão de Crédito com desconto em folha utilizando os 5%.

Outra boa noticia é o retorno das operações de portabilidade pelo BMG Itaú. Há meses o banco vem preparando seu sistema a fim de poder oferecer aos seus clientes maior agilidade e facilidade na hora de portar seu contrato de outro Banco para o BMG Itaú.

Atualmente, o BMG Itaú é líder no mercado de empréstimo consignado. Mas isso não é a toa não. Por ter o melhor sistema e uma vasta rede de correspondentes Bancários espalhados pelo Brasil, é extremamente acessível e seu atendimento muito ágil.

Data Prevista

Quando mencionamos data prevista, é porque poderão haver mudanças. Contudo, essas não são muito significativas. Por isso, estaremos acompanhando e posicionando todos a respeito da data correta. Hoje podemos afirmar inclusive pelo comunicado que recebemos que está tudo certo para que, a partir do dia 14 de Setembro, retomaremos as operações de empréstimo consignado SIAPE.

Você sabia que o Portal Consignados é especialista em empréstimo consignado?

Com mais de 17 anos no Mercado de Empréstimo Consignado e com uma equipe treinada para lhe auxiliar na melhor decisão, no entanto o Portal Consignados trabalha em parceria com diversos bancos para lhe oferecer sempre o melhor negócio.

É necessário ter Conta bancária para obter um Empréstimo?

Se você deseja realizar um empréstimo consignado, mas não tem conta em nenhum banco! E, ainda por cima, possui apenas um cartão benefício. Não tem problema. O empréstimo consignado é flexível a respeito desta situação.

Ademais, o Banco BMG tem como forma de pagamento a ordem de pagamento  para empréstimos consignados. No entanto, uma ordem de pagamento é um crédito destinado a uma agência próxima de você de um Banco conveniado ao Banco BMG.

Atualmente poderá ser Santander ou Itaú, dependendo de sua região.

Este pagamento é identificado, conforme os dados de seu contrato. Para sacar, basta apresentar RG, CPF originais e contrato de seu empréstimo consignado.

Você pode contratar no BMG sem ter conta

Esta situação de poder fazer uma ordem de pagamento só existe para o convênio “Consignado INSS”. Para os demais convênios, o crédito só pode ser enviado para a conta onde se recebe o salário.

Recomendações

Por se tratar de um saque em agência bancária, recomendamos que nunca vá sozinho sacar sua ordem de pagamento. Solicite ao caixa ser o mais discreto possível em lhe passar os valores. Em caso de utilizar o recurso para pagar contas, leve as contas e já as pague para que possa sair do Banco com menos valor possível.

Contudo, outra recomendação em caso de ter que sacar e levar todo o dinheiro é levar uma conta de luz ou telefone e entregar ao caixa solicitando que coloque o dinheiro dentro da conta. Evite contar o dinheiro na frente de todo mundo. Fique tranquilo em relação a isso. Toda agência tem contador de dinheiro.

Na pior hipótese, um erro será em torno de 1 a 2 notas a mais ou a menos, o que não vale a pena correr o risco. Lembre-se que o Banco não se responsabiliza sobre roubos fora da agência bancária.

Conclusão

Entendemos que muitas vezes o aposentado ou pensionista do INSS por estar numa fase da vida onde deseja simplificar as coisas. Acabe optando por não ter uma conta bancária. No entanto, é muito importante para evitar problemas e transtornos pelo menos manter uma conta poupança.

Contudo, a conta poupança não obriga a você pagar taxas ou fazer depósitos regulares e pode ser uma valiosa ferramenta para que, além de evitar que tenha que sacar seu empréstimo consignado em espécie, você também pode solicitar ao INSS que deposite na conta poupança também.

Você sabia que o Portal Consignados é especialista em empréstimo consignado?

Com mais de 17 anos no Mercado de Empréstimo Consignado e com uma equipe treinada para lhe auxiliar na melhor decisão, no entanto o Portal Consignados trabalha em parceria com diversos bancos para lhe oferecer sempre o melhor negócio.

LER – O que isso significa?

A LER nada mais é do que Lesão por Esforços Repetitivos.Essa doença poderá aparecer por causa de diversas funções. Contudo, o trabalho repetitivo poderá causar vários problemas de saúde.

Diante destes problemas, existem indenizações para o trabalhador portador de doenças causadas por esforços repetitivos.

Quando o trabalhador estiver com LER e, com isso, não puder mais exercer suas atividades laborativas, o mesmo poderá requerer no INSS o benefício por incapacidade (auxilio doença, auxilio acidente e aposentadoria por invalidez).

Além disto, o trabalhador poderá requerer uma indenização no âmbito da Justiça do Trabalho. Ademais, deverá comprovar que o local onde era exercida a função não oferecia condições saudáveis de trabalho, causando-lhe o problema.

Contudo, outros direitos poderão surgir dessas situações, por exemplo:

  • Estabilidade no emprego
  • FGTS
  • Recebimento de seguro privado (individual ou em grupo)
  • Isenções tributárias
  • Quitação de financiamentos.

Para se receber a indenização, o trabalhador precisa provar que a lesão realmente decorre de um acidente do trabalho. Contudo, essas lesões também poderão ser causadas por simples atividades domésticas ou da prática de esportes.

Tenho LER. Como fazer valer o meu direito?

Encontrando-se o trabalhador incapacitado para o trabalho devido a LER, o mesmo poderá requerer perante o INSS o benefício de auxilio doença, auxilio acidente ou aposentadoria por invalidez.

Para tanto, é imprescindível que o trabalhador tenha em mãos laudos médicos e exames que comprovem a doença e a incapacidade para exercer o trabalho.

Caso o INSS entenda que o trabalhador não faz jus ao recebimento do benefício, o mesmo deverá procurar um advogado especialista em previdência que irá ingressar com um processo contra o INSS.

Ademais, no âmbito trabalhista, não sendo comprovado que a LER é decorrente do acidente de trabalho. Contudo, também se faz necessário a consulta de um advogado que irá lhe orientar sobre todos os seu direitos.

Você sabia?

Com mais de 17 anos no Mercado de Empréstimo Consignado e com uma equipe treinada para lhe auxiliar na melhor decisão, no entanto o Portal Consignados trabalha em parceria com diversos bancos para lhe oferecer sempre o melhor negócio.

Adiantamento do 13 INSS Está Confirmado Afinal

Agora está confirmado o adiantamento do 13 salário dos aposentados e pensionistas do INSS. Depois de muita especulação, o Ministério da Fazenda confirmou o adiantamento. Contudo, o que poderia ser motivo de muita comemoração, na verdade foi um balde de água fria nos mais de 26 milhões de beneficiários do INSS.

Como será pago o adiantamento do 13?

Foi confirmado o pagamento da antecipação do 13 da seguinte forma: 25%  em Setembro, 25% em Outubro e 50% em Dezembro. Para quem estava pensando em saudar suas dívidas com a tão esperada parcela do 13, vai ter que se contentar somente com a metade.

Se você recebe até um salário mínimo, começará a receber a primeira parcela de seu 13 em 25 de agosto. Contudo, o calendário de pagamentos do INSS. deverá ser acompanhado.

Motivos para Comemorar ou para Chorar?

Apesar de não ser o ideal, a pressão a respeito do assunto evitou o pior. Isso porque o caixa do governo já não anda mais o mesmo. Ademais, a arrecadação caiu. Depois de muita luta, finalmente saiu pelo menos os 25% de adiantamento do 13. Contudo, não alivia muito, mas pelo menos ajuda.

Seja bem vindo à crise!

Apesar de ser apenas 25%, o adiantamento do 13 representa em números 12 bilhões de reais. É muito dinheiro, mas se for comparar nas seis principais capitais cujo salário médio é de R$ 2.170,70, foram analisados 22,8 milhões de contribuintes. Com isso, teríamos uma arrecadação em torno de um pouco mais de 5 bilhões, o chamado rombo previdenciário.

Já não é de hoje que isso vem acontecendo. Contudo, se as contribuições continuarem a serem mau investidos, logo teremos mais mudanças na previdência oficial.

O curioso desta história é que bancos oficiais como a Caixa Econômica, poderiam utilizar as contribuições dos segurados da ativa do INSS em linhas de crédito potencializando o valor contribuído. Norral para isso a Caixa tem. Contudo, por diversos anos, foi eleito o melhor fundo de investimentos. Pessoalmente falando não gosto da Caixa, mas verdade seja dita, é uma das melhores instituições financeiras do País.

Quem sabe assim, o adiantamento do 13 não seria um problema.

Antecipação do 13

Outra conta bem interessante à ser realizada é que se faltou 12 bilhões para fazer a antecipação do 13. Bem que poderiam vir dos 21 bilhões desviados da Petrobras.

Verdade seja dita, o governo gasta e gasta mau. Infelizmente, os direitos constitucionais e os adquiridos por mérito como no caso dos aposentados e pensionistas do INSS não são respeitados. Quer ver um exemplo atual? Gastaram mais de 12 milhões para construir a ciclovia da Paulista. Não que eu seja contra, muito pelo contrário, mas não seria a mesma coisa que se, ao invés de fazer uma compra de mercado para manter a minha família, eu gasta-se no shopping?

Agora imagine neste Brasil a fora quanto dinheiro é gasto com ações até que bacanas, mas que no final das contas não são a necessidade do cidadão. O que adianta ter uma ciclovia se quando vou ao Hospital não tem médico? Também não tem medicamentos e o atendimento é precário.

A cara de pau é tão grande que, após a população paulistana ter sido consultada em relação ao transporte público, ter demonstrado um crescimento na insatisfação com o transporte público, será inaugurado a ciclovia da Paulista.

A novela continua

Desculpem, mas a impressão que parece é que o problema do transporte público será resolvido com todo mundo se movimentando pela cidade de bicicleta.

Voltando ao assunto principal e, me desculpem pelo desabafo, a verdade é que agora nos resta esperar qual será a desculpa para o reajuste salarial dos aposentados e pensionistas do INSS no inicio do ano de 2016. Contudo, será outra novela igual ao adiantamento do 13. Podem apostar que sim!

Trabalho com aposentados desde 2003. Com o inicio do empréstimo consignado, aprendi a compreendê-los e, no nosso dia a dia, acabamos sofrendo juntos, dividindo frustrações, alegrias e ansiedades, Contudo, o fato é que, pessoalmente fiquei muito triste com o adiantamento do 13 dado pelo governo.

Sabemos que em muitas situações são os aposentados e pensionistas desse Brasil a fora que mantém as vezes 5, 6 pessoas dentro de uma casa. Muitos deles continuam trabalhando e, saber que estão pagando por um erro que não foi deles é muito doloroso.

Levantar a Cabeça e dar a volta por cima

Bom, está decidido que terá o adiantamento do 13 salário e, assim será. Contudo, agora é encarar de frente a realidade e fazer contas, sim! Fazer contas. Recomendamos que, antes de fazer empréstimo ou sair gastando, faça contas. Programe da melhor forma seu 13 salário. Mesmo que seja 25%, se possível guarde ou quite aquelas contas onde os juros são maiores. Faça um estudo com muita serenidade e bola pra frente. Afinal, dos filhos teus não fogem a luta.

Você sabia que o Portal Consignados é especialista em empréstimo consignado?

Com mais de 17 anos no Mercado de Empréstimo Consignado e com uma equipe treinada para lhe auxiliar na melhor decisão, no entanto o Portal Consignados trabalha em parceria com diversos bancos para lhe oferecer sempre o melhor negócio.

Instrução Normativa 80/2015 – Fique por Dentro

Quanto a instrução normativa, muito tem se falado da MP 681. Um alvoroço foi instalado a respeito. Muitas pessoas têm comentado em nosso blog a respeito e, por isso, decidimos explicar melhor.

A MP 681 altera a margem consignável de 30% para 35%. Contudo, sendo divididos da seguinte maneira, 30% somente para utilizar com empréstimo consignado e 5% para utilizar com cartão de crédito consignado.

Mas a MP é na verdade uma alteração das regras da lei 10.820. Essa lei regulamenta de forma genérica toda e qualquer operação de empréstimo consignado. Contudo, isso independe se é Aposentado do INSS, Servidor Federal, Municipal, ou seja, todos os convênios.

Então o que é essa Instrução Normativa 80/2015

A instrução normativa 80/2015 se refere ao INSS. Internamente, todos os órgãos terão de criar regras específicas para seus servidores e beneficiários a fim de se enquadrar a nova regra.

Para exemplificar melhor, funciona igual a uma reunião de condomínio. Contudo, apesar de existir o civil, os moradores deverão definir regras específicas para a boa convivência e harmonia.

Contudo, essas regras não poderão infligir as leis vigente. Ademais, para a elaboração dessas regras alem de muito estudo, é necessário realizar uma assembléia e votar a aprovação do texto original. Talvez ocorram mudanças ou, até mesmo, criar novas possibilidades.

No caso do INSS não foi diferente. Apesar da MP 681 ter sido publicada em 10/07/2015, somente em 14/08/2015 o INSS tinha realizado todos os estudos, pautas e condições legais para poder criar sua instrução normativa interna. Por incrível que pareça, esse processo foi rápido.

Você pode se manter atualizado acessando o portal do Dataprev. Caso deseje acessar, basta clicar aqui.

O que Mudou?

A instrução normativa do INSS valida a margem dos 35%. Ela define que poderá ser utilizado para empréstimo consignado 30% e 5% para cartões.

Quem já possui cartão na regra antiga (10% para Cartões e 20% para empréstimos), poderá utilizar o restante dos 35% para empréstimo consignado. Isso significa que, se você tinha 20% já comprometido para empréstimo e 10% com cartões, poderá utilizar mais 5% para empréstimos.

Pelo texto da Instrução normativa 80/2015, fica entendido desta forma. Contudo, ainda estamos aguardando as primeiras averbações ocorrerem para poder esclarecer melhor.

As operações estão aguardando questões técnicas para começarem a vigorar, como por exemplo: A parametrização da instrução normativa em sistema do Dataprev. Isso deve estar finalizado, uma vez que o INSS terminar de rodar a folha de pagamento.

Outra questão que não ficou bem clara é com relação ao saque desse cartão. Por enquanto, a rede está sendo informada que não haverá saque. Contudo, ainda existem esforços para rever esta regra. Portanto, podemos afirmar que não haverá saque.

Sobre o Banco BMG

O Banco BMG não cobra nem anuidade muito menos mensalidade por esse cartão. Os juros cobrados pelo rotativo é de apenas 3,06% ao mês e, isso faz do BMG o emissor do Cartão mais barato do Brasil.

Quem já solicitou o cartão não precisa se preocupar, pois internamente o Banco BMG e outros bancos estarão reenviando todas as propostas, uma vez que o Dataprev sinalize que as questões técnicas estejam adequadas a instrução normativa.

Outro detalhe é com relação ao limite. Fica estabelecido que será de até duas vezes o valor de seu benefício. Por exemplo: Se seu benefício é de R$ 1.000,00, seu cartão virá com o limite de R$2.000,00 para utilizar em compras.

Ressaltamos que, por enquanto, este cartão é exclusivo para compras.

Outra questão bastante perguntada é em relação ao Cartão adicional. Muitas pessoas têm o hábito de pedir um outro cartão em nome de um filho, marido, esposa, enfim, de um terceiro de confiança. Contudo, infelizmente permanece a autorização apenas para o Titular do Cartão.

Espero que tenha lhe ajudado mas ainda existem dúvidas. Estamos abertos em poder lhe responder com qualquer questionamento à respeito. Também queremos mante-los informados sobre quaisquer mudanças que possam fazer diferença.

Você sabia que o Portal Consignados é especialista em empréstimo consignado?

Com mais de 17 anos no Mercado de Empréstimo Consignado e com uma equipe treinada para lhe auxiliar na melhor decisão, no entanto o Portal Consignados trabalha em parceria com diversos bancos para lhe oferecer sempre o melhor negócio.

13 salário dos aposentados do INSS 2015

Apesar de muita especulação se terá antecipação ou não do 13 salário, este ano o INSS ainda não se pronunciou a respeito. Muito menos as fontes oficiais como o governo federal.

Contudo, devemos tomar muito cuidado com as noticias geradas ultimamente. Muitas delas possuem motivação politica. Isso acaba gerando um caos desnecessário entre aqueles que necessitam receber seu 13 salário antecipado.

Veja bem! Não estamos defendendo o governo, muito pelo contrário. Contudo, acreditamos que agora não é hora de publicar informações sem antes tê-las confirmadas pelo próprio INSS.

13 Salário antecipado x Crise de Confiança

A crise econômica e motivações politicas têm impulsionado o NÃO. No entanto, alguns fatos são reais e devemos nos preparar para entende-los o que justifica o boato.

Não é de hoje que movimentos populares vem minando a confiança do governo. Seja através dos barulhentos “panelaços” ou manifestações públicas, o mais interessante é que esse movimento começou em 2013.

No entanto, mesmo assim, tivemos 51% de votos que re-elegeram o atual governo. Vai entender!!! Contudo, infelizmente o governo está tendo de fazer ajustes no orçamento e a pergunta sempre fica:

“Quando isso vai acabar impactando em mim?” Hoje os aposentados e pensionistas fazem a mesma pergunta e, se não tiverem a antecipação da primeira parcela do 13 salário, terão a resposta.

A falta de recursos com a baixa arrecadação de impostos e os altos custos da máquina do Governo são os principais fatores que podem levar o governo a não liberar a primeira parcela do 13 salário.

No entanto, esse 13º, vem há anos dando um folego no orçamento dos aposentados nessa época.

Outro fator é a politica adotada pela oposição de negativismo absoluto. Não que eles estejam errados nas afirmações e, sinceramente falando, acredito em todas as declarações.

Contudo, não há de se negar que esse tipo de cenário favorece boatos que envolvam questões populares que desfavoreçam a postura do governo e, por falar de 13 salário, as noticias estão bombando.

Ainda existem esperanças

O lado bom da história é que até o momento da publicação este artigo, nada foi divulgado oficialmente. Será que o governo vai querer comprar mais essa briga?

Tudo bem que sabemos que as vezes o inevitável é impossível de mudar. No entanto, fica a pergunta e essa é para mim “Quando vai chegar a minha vez?”

Fazer essa pergunta é se colocar ao lado dos milhares de aposentados e pensionistas do INSS nessa hora de angústia.

Como diz minha mãe: “Não vamos sofrer por antecedência”.

Você sabia que o Portal Consignados é especialista em empréstimo consignado?

Com mais de 17 anos no Mercado de Empréstimo Consignado e com uma equipe treinada para lhe auxiliar na melhor decisão, no entanto o Portal Consignados trabalha em parceria com diversos bancos para lhe oferecer sempre o melhor negócio.

Suspenso Empréstimo Consignado SIAPE

As operações com servidores federais da ativa, aposentados e pensionistas estão suspensas devido ao envolvimento da empresa do grupo Consist (Consist Business e SWR Informática) que fornecia o software para as averbações de empréstimo consignado e cartões de crédito.

Conforme noticiado a nível nacional, a Policia Federal prendeu o presidente da empresa Consist alegando suposto envolvimento em corrupção com o governo federal.

Contudo, a suspensão das operações de crédito afetaram milhares de servidores que tentaram realizar alguma operação de crédito. No entanto, isso gerou um enorme desconforto e muita dor de cabeça.

Como o SIAPE suspenso, posso Refinanciar meus contratos?

Infelizmente, todas as operações de crédito foram afetadas. Tanto quem desejava realizar um empréstimo novo, quanto refinanciamento e até mesmo a portabilidade está suspensa por tempo indeterminado.

Operações em Andamento

Para quem possui um empréstimo em andamento, nada mudará. Será descontado o valor da parcela normalmente, sem prejuízos para o servidor. No entanto, o fato de estar suspenso as operações de empréstimo não paralisaram o débito das parcelas.

Quitação antecipada dos empréstimos

Para ocorrer a quitação, é necessário que seja baixada as parcelas do empréstimo consignado com a Consist. No entanto, alguns bancos não estão conseguindo realizar a baixa do contrato. Por esse motivo, suspenderam a quitação até terem uma solução definitiva para o problema. Contudo, até nisso atrapalha, pois o SIAPE está suspenso.

Cartões de Crédito Consignado SIAPE

Quem já estava preocupado com a demora na liberação do cartão de crédito consignado, que foi recentemente liberado para os servidores do SIAPE, vão ter que esperar mais um pouco. Com a Consist fora e, ainda não tendo uma substituta para ela, todas as operações de crédito foram suspensas inclusive o cartão de crédito consignado.

Luz no Fim do Túnel

Apesar de ser uma situação que preocupa muito, existem muitas empresas atualmente que realizam este tipo de serviço e, com muita competência por sinal. Contudo, temos informações que essa alteração será rápida, o que ajudaria muitos servidores com o convênio suspenso bem após a liberação de cartões de crédito para a categoria.

Toda Mudança geral apreensão

Neste mercado existem muitos sistemas de gerenciamento. Nós, como correspondentes, conhecemos vários e particularmente, a Consist tinha um dos mais rápidos sistemas de averbações do mercado. Contudo, empresas como a  ZetraSoft possui um sistema muito bom e similar. Basta saber quem será o substituto.

No entanto, vamos torcer para ser uma empresa que consiga atender o servidor com a mesma agilidade da Consist. No entanto, o mais importante é que essa transição seja rápida e que não gere mais transtornos para os servidores do SIAPE.

Você sabia que o Portal Consignados é especialista em empréstimo consignado?

Com mais de 17 anos no Mercado de Empréstimo Consignado e com uma equipe treinada para lhe auxiliar na melhor decisão, no entanto o Portal Consignados trabalha em parceria com diversos bancos para lhe oferecer sempre o melhor negócio.

Auxilio Doença – Alta Programada Aprenda aqui

Todos os segurados da Previdência Social – empregados, empresários, donas de casa e desempregados que pagam o carnê do INSS. Estes possuem direito ao recebimento do benefício de Auxilio Doença.

O Auxilio Doença é pago para a pessoa que esteja incapaz para realizar o trabalho de forma total e temporária. Contudo, isto significa que a pessoa não pode exercer sua atividade atualmente por estar doente. Contudo, em breve, poderá estar curada e voltará ao trabalho normalmente.

Alta programada do Auxilio

Sendo constatada a incapacidade para o trabalho através de uma perícia a ser realizada no INSS, o segurado irá receber o Auxilio Doença.

Passados todos os problemas para a concessão do benefício, na maioria das vezes o segurado do INSS tem seu benefício de Auxilio Doença cancelado. Isso ocorre através da chamada “alta programada”.

A alta programada nada mais é do que uma “previsão” que o INSS faz. No entanto, é feita após um determinado período de tempo que o segurado já está curado. Contudo, não necessita mais receber o Auxilio Doença.

Ademais, nestes casos, não é realizada qualquer perícia. Simplesmente o segurado é informado que receberá o benefício até determinada data.

Se eu continuo doente, o que fazer?

Caso o segurado do INSS ainda esteja doente, o mesmo deverá solicitar um pedido de prorrogação do benefício 15 dias antes da alta programada.

Caso já tenha sido cancelado o benefício, o segurado poderá requerer o Pedido de Reconsideração até 30 dias após a cessação.

Pedido Judicial

Contudo, caso seja negado o pedido de prorrogação ou reconsideração do benefício realizado na Agência do INSS, o segurado deve buscar o Poder Judiciário.

Para isto, consulte um advogado especialista em Previdência que irá ingressar com um processo judicial. Contudo, o mesmo terá que comprovar que a incapacidade para o trabalho permanece. No entanto, com isso será restabelecido o pagamento do benefício.

Você sabia que o Portal Consignados é especialista em empréstimo consignado?

Com mais de 17 anos no Mercado de Empréstimo Consignado e com uma equipe treinada para lhe auxiliar na melhor decisão, no entanto o Portal Consignados trabalha em parceria com diversos bancos para lhe oferecer sempre o melhor negócio.

Fies – Financiamento Estudantil

O Fies é uma modalidade de crédito destinada a estudantes matriculados em cursos superiores em faculdades da rede privada. Essa modalidade é subsidiada pelo governo tem ajudado muitos estudantes de baixa renda conseguir concluir um curso superior.

Recentemente o Fies teve uma exposição nacional devido a grandes dificuldades obtidas pelos estudantes em conseguir ter acesso a essa modalidade de financiamento. Contudo, este ano não passou de 314 mil financiamento contra os mais de 9 milhões, de países como os Estados Unidos.

Como Funciona o Fies

Para poder participar do FIES, o estudante deve ter participado do processo seletivo do ENEM e ter renda familiar abaixo de 20 salários mínimos. Aliás, conforme renda familiar poderá ter de 10% a 100% do curso financiado. No entanto, outro atrativo é a taxa de juros que atualmente está em 3,4% ao ano. Isso é muito barato, considerando que se for levar em conta as taxas de juros convencionais que as instituições cobram atualmente. O portal do Fies tem um Faq bem extenso. Esse Faq poderá ajuda-lo a entender melhor todas as regras para poder participar. No entanto, caso deseje, basta acessar o portal, pois será direcionado para a página oficial do Fies.

Dificuldades Enfrentadas x Reflexos Negativos

Muitos estudantes sequer estão conseguindo realizar o cadastro no portal do Fies. No entanto, ele tem se tornado um drama nacional. Ademais, vendo o esforço de nossos valiosos jovens que um dia estarão construindo um país melhor realizando uma jornada diária em tentativas em realizar o cadastro. Contudo, outra dificuldade é a falta de investimento do governo. O mesmo informa um plano de investimento na ordem dos 350 mil vagas. Contudo, apesar dos avanços da renda da família brasileira na última década, ainda está bem aquém da real necessidade.

Aliás, um reflexo negativo é a falta de mão de obra qualificada em setores como medicina, engenharia e etc. No entanto, chegamos ao absurdo em importar médicos de outros países para cobrir a falta de profissionais no Brasil. Contudo, com a economia abalada, a dependência de profissionais para gerir soluções seria fundamental para fomentar uma retomada. Um exemplo disso foram os avanços nacionais na produção do etanol. Contudo, foram graças a grandes cabeças que o projeto saiu do papel e tomou um proporção mundial. Tirar a oportunidade dos estudantes hoje, poderá refletir uma dependência ainda maior de importações atrasando o crescimento de nosso país.

Existem Alternativas

Se você é estudante e está tendo dificuldades em ter acesso ao Fies uma boa alternativa é o CIEE. No entanto, através de um cadastro simples, você fica habilitado a participar de processos seletivos com carga horária de apenas 6 horas por dia.

Muitas empresas tem buscado jovens estudantes para ocupar vagas de Estagio. Contudo, é uma mão de via dupla, pois para o empregador são menos encargos e a oportunidade de moldar profissionais conforme a política da empresa, visando no futuro estratégico da empresa. Já para o estudante, é a oportunidade de já ser inserido no mercado de Trabalho atuando em uma área compatível com seu curso. Para realizar o cadastro é muito simples . Basta clicar aqui que será direcionado para a pagina oficial do CIEE. Lá você poderá realizar o cadastro ou pegar o endereço e comparecer pessoalmente.

Conforme Eduardo de Oliveira, superintendente Educacional do CIEE, o programa de estágio é uma excelente oportunidade para as empresas encontrarem novos talentos. Ademais, Eduardo enfatiza também o trabalho que o CIEE faz preparando os alunos com cursos de EAD e presenciais. Nesses cursos, os temas abordados são desde comportamental, idiomas e até informática. Esses cursos preparam assim o bolsista e enriquecem seu currículo, proporcionando uma chance maior em ser contratado.

Outro cuidado que o CIEE tem é em relação a carga horária que não ultrapassa 30 horas semanais. Isso dará 6 horas diárias de segunda a sexta-feira, e a bolsa geralmente cobre a mensalidade escolar.

O lado positivo, quando se consegue um estágio em relação ao Fies é que ao concluir o curso, não existe saldo devedor e você já estará inserido no mercado de trabalho na área de seu curso.

Você sabia que o Portal Consignados é especialista em empréstimo consignado?

Com mais de 17 anos no Mercado de Empréstimo Consignado e com uma equipe treinada para lhe auxiliar na melhor decisão, no entanto o Portal Consignados trabalha em parceria com diversos bancos para lhe oferecer sempre o melhor negócio.

Economia em tempos de Crise

O Brasil vem vivendo um momento muito difícil em sua economia. Contudo, isso acaba refletindo em muitas famílias. O desemprego, o aumento da inflação e a diminuição da renda são fatores cada vez mais evidentes.

O lado bom da crise são reflexões que acabamos fazendo para ajustar as contas a nossa nova realidade. Afinal de contas, somos um povo criativo.

Pesquise bem

Uma pesquisa recente mostra que o Brasileiro gasta mais com alimentação do que com qualquer outra coisa. Então, se deseja diminuir as contas, um bom começar pelo Supermercado. Contudo, passaremos algumas dicas para você:

O primeiro passo é fazer uma lista de itens que você consome mensalmente com descrição de marca e quantidade.

Com a lista em mão, verifique quais item você conseguiria comprar no atacado. Geralmente no atacado, o custo cai em torno de 25% em alguns casos.

Contudo, pesquise se você consegue utilizar produtos de marcas menos famosas.

Só estoque produtos NÃO perecíveis. Evite desperdício jogando comida fora.

No entanto, uma boa prática para evitar que seu orçamento estoure é sempre manter anotado todas as suas despesas do dia a dia. Ademais, muitas pessoas acabam não fazendo isso devido a dificuldade em criar uma planilha.

Portanto, para quem não tem familiaridade com informática, tenha sempre em mãos o bom e velho caderninho. Certamente vai fazer diferença em sua economia familiar.

Em contato com o Senhor Walter, um cliente nosso que entrevistamos, ele nos disse que utiliza um caderno de anotações e isso o tem ajudado muito.

“Sou das antigas. Hoje em dia é tudo computador, mas pode acreditar o meu caderninho funciona até hoje e não largo dele por nada”.

Walter (Cliente do Portal Consignados)

Contas de Consumo

O aumento das tarifas em água, luz e telefone tem pego muita gente de surpresa e causando severas mudanças de hábitos. Aliás, quando penso nisso, lembro de hábitos que meus avós tinham. Muitas vezes eu desprezava ou achava engraçado como a casa deles era escura e a forma deles aproveitarem tudo. Lembro como se fosse hoje, pois minha avó descascava o abacaxi e com a casca fazia chá, ou quando ela aproveitava a água do tanque para lavar o quintal.

Hoje eu entendo. Na época deles, existiam muitas dificuldades e, mesmo após superarem, o legado ficou. Talvez seja a hora de adotar tais medidas para ajudar na economia familiar.

Nem tudo está perdido na economia Brasileira

Consultamos diversas empresas e questionamos quais medidas elas estavam adotando para ajudar seus clientes em políticas de redução de preços. Contudo, já percebemos uma mudança significativa. Atualmente, existe um esforço muito grande para criar soluções que fujam das tradicionais, mas que tenham como principal objetivo a redução de custo sem perder a qualidade nos serviços prestados.

Dentre estas empresas, destacamos a Brastel. A Brastel é uma empresa de telefonia que transformou a forma como se fala ao telefone.

Com sua equipe de tecnologia, conseguiu criar uma solução tão eficaz e com custo baixo que pode representar mais de 50% de economia comparado com empresas do mesmo setor. Ademais, tomamos a liberdade de entrar em contato com a empresa e falamos com a Senhora Evelyn Ribeiro que nos respondeu que isso só é possível devido ao esforço de gerir novas tecnologias que substituam as tradicionais com custos menores de manutenção e alta produtividade.

Avaliamos as soluções e realmente funcionam. Contudo, caso queiram checar, basta acessar o site da empresa clicando aqui.

Moral da História

Ver o lado bom das coisas é um bom começo. Reaprender como consumir é um exercício que deve ser praticado. Talvez seja a hora de sentar com os mais antigos e começar a escuta-los e temos toda certeza do mundo que com todos os esforços e medidas que estão sendo tomadas a crise será passageira e logo a economia se recupera.

Nós, do Portal Consignados, somos contra a política do pânico que está sendo adotada por alguns canais de comunicação. No entanto, entendemos que o momento é difícil, mas abaixar a cabeça e se abater não ajuda em nada a superar as dificuldades. A hora agora é de união e de muita criatividade. Por isso, estamos trabalhando muito para pode trazer novidades que possam ajudar a você a superar a crise da economia. Fique atento!!!

Você sabia que o Portal Consignados é especialista em empréstimo consignado?

Com mais de 17 anos no Mercado de Empréstimo Consignado e com uma equipe treinada para lhe auxiliar na melhor decisão, no entanto o Portal Consignados trabalha em parceria com diversos bancos para lhe oferecer sempre o melhor negócio.

Como funciona Empréstimo Pessoal com Cheque?

Uma das mais utilizadas modalidades de crédito é o empréstimo pessoal com cheque. Contudo, apesar de há anos estar sendo comercializada, muitas pessoas ainda tem dúvidas. Por este motivo, tomamos a liberdade de explicar de forma bem simples e prática algumas particularidades sobre essa modalidade e te ajudar a evitar a cair em apuros.

O que é Empréstimo Pessoal com Cheque?

Como toda modalidade de crédito, o empréstimo pessoal com cheque é sujeito a uma analise de crédito. No entanto, nela é avaliada a capacidade de pagamento, restrições e tempo de conta.

Estando com o crédito aprovado, serão estabelecidos prazos e datas para pagamento das parcelas. Contudo, esses prazos estão condicionados a juros e obedecendo as regras do Banco central.

Taxas de Juros para empréstimo com cheque

Pelo empréstimo pessoal com cheque ter um índice de inadimplência mais alto, geralmente os bancos compensam com um taxa de juros maior. Atualmente, o índice de devolução de cheques acumulado nos últimos 12 meses é de 6,51%. Além disso, a Região Sudeste é a maior emissora de cheques sem fundo no Brasil. Contudo, se analisarmos os gráficos dos últimos 12 meses, verificamos uma pequena queda. Isso se deve a mudança de hábito no comércio em não aceitar mais parcelamentos em cheques nas compras a prazo.

Pesquisar nessa modalidade é fundamental para evitar fazer um empréstimo pessoal com cheques com taxas muito altas. No entanto, conforme a tabela do banco central, as taxas poderão variar de 1% a 2o% ao mês.

Mas não se entusiasme com as taxas de 1% informadas pelo Banco Central. No mercado quem faz realmente essa modalidade de crédito conforme pesquisa realizada pelo portal consignados, está cobrando acima dos 15% ao mês.

Despesas Adicionais

Essa modalidade de crédito incide algumas taxas. Contudo, em alguns casos até seguros são adicionados a sua parcela, o que encarece ainda mais. No entanto, as principais taxas são:

  • TAC (taxa de abertura de crédito)
  • IOF (imposto sobre operações financeiras)
  • Seguros
  • Títulos de capitalização

Cuidado, pois as despesas com TAC são negociadas e se perceber que o valor da TAC é superior a 5% do valor do seu empréstimo ou maior que R$ 150,00, reclame.

O IOF é um imposto e, nesse caso, não existe negociação. Por isso tem que se conformar. Agora, seguros e títulos de capitalização não fazem parte de seu empréstimo com cheque. Ademais, reclame quando for oferecido a você. Geralmente a utilidade destes produtos quando atrelados ao seu empréstimo, é somente para ajudar o agente de crédito a bater suas metas.

Milagres não existem

Ao longo dos meus 17 anos na área de crédito, já vi inúmeras pessoas caindo no golpe do “depósito”. CUIDADO! Algumas quadrilhas se aproveitam da ingenuidade das pessoas oferecendo facilidades em aprovação, taxas de juros menores e prazos fora do comum, mas em troca solicitam que seja pago a parte as despesas de IOF e TAC. CUIDADO! Isso é um golpe. Não existe tal liberação e você perderá qualquer valor depositado.

Você sabia que o Portal Consignados é especialista em empréstimo consignado?

Com mais de 17 anos no Mercado de Empréstimo Consignado e com uma equipe treinada para lhe auxiliar na melhor decisão, no entanto o Portal Consignados trabalha em parceria com diversos bancos para lhe oferecer sempre o melhor negócio.

Inflação e Empréstimo Consignado – Preciso me Preocupar?

A inflação é um velho conhecido da população e uma grande geradora de preocupação. Os que são mais antigos e viveram a fase mais aguda da inflação, sabem bem o que estou falando. Contudo, eram marcações de preços diário, baixo poder de compra, falta de produtos em supermercados e muitos outros problemas.

Desde 2003, o empréstimo consignado vem sendo um aliado para muitas pessoas que precisam ter acesso a crédito mais barato, com prazos maiores e valores mais expressivos. Contudo, atualmente o fantasma da inflação vem sendo uma preocupação para aqueles que ou pagam uma parcela ou estão em dúvida em contratar. 

No entanto, é preciso ter calma. Ademais, vamos entender qual a relação que um tem com o outro.

Inflação x Empréstimo Consignado

O Empréstimo Consignado tem uma característica interessante que é a parcela fixa. Portanto, ela não altera ao longo do tempo e continua sempre a mesma independente da situação econômica. Contudo, não está atrelada a nenhum índice financeiro ou algo parecido.

Para exemplificar, veja um exemplo prático:

Digamos que você paga hoje uma parcela de R$ 100,00 de um empréstimo consignado. Neste empréstimo, você se comprometeu a pagar durante 72 meses, ou seja, 6 anos.

Hoje R$ 100,00 vale R$ 100,00 dentro de seu orçamento.

A inflação dos últimos 12 meses foi de 8,89%, conforme fonte.

Vamos fazer a seguinte conta: Quanto estará valendo esses mesmos R$ 100,00 considerando uma inflação de 8,89% ao ano num prazo de 4 anos?

Os R$ 100,00 estará valendo o mesmo que vale hoje R$ 68,91 uma diferença de 45,12% a menos.

Mas, e sua renda? Será que ela acompanha esse índice?

Conforme o governo, os aposentados que recebem mais que 1 salário mínimo terão um reajuste conforme o índice da inflação. No entanto, significa que se o acumulado dos últimos 12 meses se mantiver nos 8,89%, esse será o reajuste que o governo terá que adotar. Por exemplo: Se você recebe R$ 1.000,oo hoje, passará a receber R$ 1088,90.

Voltando ao exemplo acima. se o índice da inflação continuar o mesmo ficaria assim:

Para uma renda de R$1.000,00 uma parcela de R$100,00 hoje representa 10% da sua renda em 4 anos ficará assim:

Renda de R$ 1405,89 onde a mesma parcela de R$ 100,00 irá presentar 7,11% da sua renda.

O que muda então? Devo me Preocupar?

A inflação sempre é um motivo de preocupação mesmo, porque os números informados pelo governo nunca corresponde a realidade. Em relação ao empréstimo consignado, onde as parcelas são fixas e sua renda acompanha o índice de inflação, não é motivo de preocupação, muito pelo contrário.

Pelos exemplos acima mostrados, a parcela se mantendo a mesma, cada vez menos ela irá presentar em seu comprometimento mensal, por isso não é hora de se preocupar.

Boas Noticias

Atualmente, foram definidas as regras para a portabilidade de empréstimo consignado que pode ajudar muito você a trocar seu banco para um banco com taxas de juros menores.

Contudo, isso ajuda mais ainda melhorar seu comprometimento de renda mensal. No entanto, força as instituições financeiras a manterem suas taxas de juros baixas sem acompanhar o índice de inflação em novas contratações.

Outra boa noticia é a MP 681 que acaba de liberar uma margem adicional de 5% para cartão de crédito consignado. Nesse cartão, o rotativo é mais de 400% menor que um cartão de crédito convencional.

Isto é importante para você fazer um ajuste no seu orçamento mensal ao optar por pagar menos juros.

Trocar Juros maiores por Juros Menores

Se você atualmente tem dívidas com cheque especial, cartão de crédito, empréstimo pessoal ou similares, faça uma reflexão sobre trocar essas dívidas por um empréstimo consignado.

Além da taxa de juros não ultrapassar a 2%, as parcelas são fixas. Isso a longo prazo pode ser muito importante para sua recuperação financeira.

Você Sabia?

Com mais de 17 anos no Mercado de Empréstimo Consignado e com uma equipe treinada para lhe auxiliar na melhor decisão, no entanto o Portal Consignados trabalha em parceria com diversos bancos para lhe oferecer sempre o melhor negócio.

Empréstimo Crefisa – Como funciona?

Quem já não ouviu o bordão “Não fazemos consignado”? Ademais, este é o empréstimo Crefisa. Contudo, seria muito importante entender que tipo de modalidade de crédito a Crefisa faz antes de sair contratando não é mesmo.

Ademais, o Empréstimo Crefisa é realizado através de débito em conta, ou seja, os valores referente a parcela são debitadas diretamente de sua conta bancária no dia do seu pagamento.

Através de uma programação de datas e bancos credenciados você assina um termo de responsabilidade. Contudo, permitindo assim que seja debitado conforme condições contratuais da Crefisa.”

Análise de Crédito do Empréstimo Crefisa

A analise de crédito da crefisa não considera restrições em órgãos de proteção ao crédito, ou seja, pode ter nome sujo para poder contratar. Contudo, existem algumas exigências:

  • Receber através de Conta Corrente.
  • Possuir Rendimentos Fixos.
  • Não ter parcelas em atraso com a Crefisa.
  • Comprovar Renda acima de um salário mínimo.

Público Atendido

O público atendido são aposentados, pensionistas e servidores públicos. Devido a regularidade e estabilidade dos créditos provenientes a salários ou benefícios a Crefisa adotou este público por apresentar menor risco.

Condições Permitidas na Crefisa

Condições que você pode ter para contratar, como por exemplo:

  • Nome Sujo.
  • Margem consignável comprometida.

“Os valores aprovados são proporcionais a sua renda e geralmente não passam o valor dela. Se precisa de valores mais expressivos não vai encontrar isso na Crefisa, geralmente os valores emprestados são bem baixos.”

Taxa de Juros

As taxas de juros cobrado no empréstimo crefisa são significativamente altos! Devido aos elevados níveis de inadimplência na modalidade de crédito as taxas de juros podem chegar até 20% (vinte porcento).

Conforme tabela de juros informada pelo Banco Central. Seu parcelamento pode chegar até 12 (doze) meses.

Tempo de Liberação

O tempo de liberação de seu empréstimo Crefisa é rápido, no máximo em 24 horas tem seu crédito em conta. Mas pode variar conforme analise de crédito ou pendências documentais da parte do cliente no ato da contratação.

Se deseja realmente contratar vá preparado e munido dos Seguintes documentos:

  • Extrato bancário.*
  • RG.
  • CPF.
  • Comprovante de Residência.
  • Comprovante de Renda.

*O objetivo em analisar sua movimentação bancária é avaliar sua capacidade de obter um débito em conta. No entanto, para isso estar com a conta negativa ou já possuir outros débitos automáticos em sua conta que somados ao débito da parcela do empréstimo Crefisa torne seu saldo negativo.

É realizado uma analise meticulosa em seu extrato bancário! No entanto, geralmente será solicitado a você os últimos 90 dias de movimentação bancária.

 Considerações

Tentamos simular junto a uma loja da Crefisa mas não obtivemos sucesso, durante a tratativa fomos informados que as taxas dependem da ficha do cliente, ou seja, quanto pior a ficha, mais caro vai ficando.

“Para ser sincero eu também teria medo de informar ao cliente uma taxa de 20% (vinte porcento) pelo telefone, é alta, muito alta.”

Para ajudar a você entender o quanto é caro utilizamos a tabela do Banco Central onde a taxa de juros de 20% (vinte porcento) ao mês para um valor de R$ 1.000,00 ficou assim:

R$ 1.000,00 em 12 parcelas de R$ 225,26 (duzentos e vinte e cinco Reais e vinte e seis centavos) e um total a prazo de R$ 2.703,18 (Dois mil setecentos e três Reais e dezoito centavos) ou seja 170,32% em um ano sobre o valor principal. Mas nem tudo são espinhos. Se você quitar antes terá um bom desconto, o duro é conseguir pagar antes com uma parcela dessas.

Lembre-se a Crefisa não faz empréstimo consignado.

 Conclusão

Apesar de ser alto os juros não podemos condenar ou ridicularizar quem opta por realizar um empréstimo crefisa. Ao longo dos meus 17 anos de crédito entendo que para cada situação existe uma remédio, uns mais doce outros mais amargo.

No entanto, entenda que recorrer a esta modalidade de crédito requer uma pesquisa antes! Contudo, só utilize se for seu ultimo recurso e se tiver destino certo para o crédito, caso contrário pesquise outras alternativas antes.

Com mais de 17 anos no Mercado de Empréstimo Consignado e com uma equipe treinada para lhe auxiliar na melhor decisão, no entanto o Portal Consignados trabalha em parceria com diversos bancos para lhe oferecer sempre o melhor negócio.

Empréstimo Consignado Caixa – Como funciona?

O empréstimo consignado caixa é muito procurado por ter uma das menores taxas de juros do mercado. Contudo, tomamos a liberdade em explicar como funciona a contratação junto a Caixa Econômica Federal e expor os prós e contras de se ter um empréstimo na caixa.

A Instituição

A Caixa Econômica Federal é um banco de inclusão social. Isso significa que todos os programas de crédito do governo começam por lá, como por exemplo: minha casa minha vida, empréstimo consignado, poupança e muitos outros.

As taxas de juros da Caixa são baixos devido ao recurso. Na maior parte das vezes, ele é subsidiado pelo governo. No entanto, para você entender melhor, funciona assim:

O governo paga parte dos juros e o cliente o resto. Aí, se a taxa de juros seria 2% (dois porcento) o governo paga 0,5% (meio porcento) e o cliente 1,5% (um e meio porcento).

Mas pode variar de acordo com o recurso destinado pelo governo para determinada carteira de crédito, como por exemplo: momento econômico e etc.

Por isso, compare sempre porque muitas vezes as condições podem mudar e mudam muito.

Vantagens do Empréstimo Consignado Caixa

As vantagens do empréstimo consignado caixa se resumem a taxa de juros. Isso já ajuda muito e a liberação também é diferente. Uma vez solicitado, a Caixa deixa o valor vinculado a sua conta corrente ou poupança caixa. Contudo, não muda muito porque até a autorização do INSS ou outro órgão, você não pode movimentar o valor.

Contudo, é um diferencial, por isso estamos destacando. Outra vantagem é a vasta rede de agências Caixa que você encontra. Essa acessibilidade ajuda muito.

Desvantagens

Como nem tudo são rosas, o empréstimo consignado Caixa também tem alguns fatores que acabam atrapalhando um pouco. No entanto, um deles é que você precisa ser correntista da Caixa para poder contratar e se não for, prepare-se para ter uma conta da caixa, meu amigo. Tome muito cuidado, pois é comum ser oferecido a você seguros e taxas de manutenção de conta. Isso é vitalício ou pelo menos enquanto tiver uma conta caixa.

Contudo, apesar de não ser um banco que cobre caro pelos seus serviços, pelo amor de Deus né, vai contratar um empréstimo e sai correntista do Banco? Complicado!

Outro fator negativo é o foco. Como o empréstimo consignado caixa é um dos milhares de produtos da caixa, não espere muita atenção e conhecimento técnico sobre o produto por parte deles, porque não irá ter.

As famosas filas da caixa também são outro desafio para quem vai contratar por eles, Portanto, vá com tempo, muito tempo mesmo. Leve um joguinho, baralho e etc, pois irá precisar de distração para não se aborrecer.

Se deseja refinanciar seu contrato, esqueça. Vai perceber que nem sistema e nem conhecimento para isso vai encontrar lá. Significa que vai pagar até o final sem poder renegociar sua dívida pelo simples fato de ninguém saber como fazer.

No entanto, como o refinanciamento é uma condição que o banco pode ou não fazer pra você, não poderá nem reclamar. Aliás, reclamar com a Caixa não tem dado muito resultado ultimamente (Já viu o governo condenar ele mesmo). E cuidado ao reclamar do funcionário da Caixa. Ele é um servidor público e desacatar um funcionário público é crime.

Boa Sorte

Apesar de alguns pontos negativos, não é de todo ruim o empréstimo consignado Caixa. Contudo, se você for correntista da caixa melhora bastante. Ademais, consulte e analise bem. As taxas de juros atualmente não variam muito de banco para banco e considere que vai ficar preso o banco durante o período todo do seu contrato.

Por isso, refinanciamento é sempre uma possibilidade importante quando não quer aumentar seu comprometimento de renda com mais um parcela.

Recomendamos fortemente que ao se dirigir a uma agência da Caixa, não comprem outros produtos que lhe serão oferecidos. Ao fazer esse artigo, tomamos o cuidado de procurar 3 agências da Caixa Econômica e, nas três foi oferecido um “produto em reciprocidade”.

Sai fora! Meu colega, você não precisa contratar nada mais que seu empréstimo consignado caixa para ter seu crédito aprovado. Aliás, de ser muito bem tratado negócios são negócios não é verdade? E disso eles são bons, muito atenciosos no atendimento.

Contudo, as criticas citadas a Caixa Econômica são mais em caractere de advertência do que critica em si. Imagine o sistema financeiro sem a Caixa Econômica? Seria uma catástrofe. Ela é uma excelente instituição financeira e como toda instituição, possui problemas. Mas isso não a desqualifica. Por isso, lhe desejamos boa sorte ao seu empréstimo consignado caixa.

Você sabia?

Com mais de 17 anos no Mercado de Empréstimo Consignado e com uma equipe treinada para lhe auxiliar na melhor decisão, no entanto o Portal Consignados trabalha em parceria com diversos bancos para lhe oferecer sempre o melhor negócio.

Leasing – Aprenda como Funciona

Muitas pessoas ficam com a mesma dúvida na hora de fazer um financiamento de veículos, Leasing ou Financiamento? Existe uma grande diferença entre as duas modalidades de financiamento. Entende-las pode ser importante para que você possa fazer a escolha certa.

Entendendo o Leasing

O leasing é uma operação de arrendamento Mercantil, ou seja, o Banco ou Financeira tem direitos sobre o bem adquirido. É uma espécie de sócio. O termo técnico é “arrendador” e “arrendatário”. Contudo, nesta modalidade o dono do bem é a instituição financeira até que seja quitado o bem. Já o financiamento convencional onde o proprietário é o cliente e o banco faz apenas uma alienação fiduciária sendo o arrendatário apenas, ou seja, tá andando no carro do Banco.

Particularidades

Por ser uma operação que oferece menos risco, geralmente possui taxa de juros menores. Contudo, existem regras. Por exemplo: o prazo do financiamento não pode ultrapassar dois anos para bens com vida útil de até cinco anos e de três anos para os demais. Por isso, aquele contrato de 60 (sessenta meses) para pagar, nem pesar! Mas tem o lado bom, pois o total a prazo também fica bem menor.

Outro fator importante é em relação a quitação. Tem que ocorrer dentro do prazo do financiamento. Por isso, se tiver dificuldades em pagar, lembre-se que tem que quitar o bem até o prazo final de seu financiamento. Caso tenha dúvidas ao acesso e a regulamentação, conforme as regras do Banco Central, clicando aqui.

Outro fator interessante em relação ao leasing é a não cobrança do IOF. Isso pode parecer indiferente devido a alíquota ser baixa, mas dependendo do prazo, muda muita coisa em sua parcela.

Mas, como toda boa noticia vem acompanhada de uma má noticia é que, ao invés de pagar o IOF, você paga o ISS (Imposto sobre Serviços). O que pode ser pior dependendo da alíquota cobrada na época da celebração de seu leasing. Outro detalhe são as despesas com documentação e seguro que são geralmente impostas por parte da instituição financeira.

Outro fator que faz muita gente correr do leasing é que em algumas instituições financeiras, existem uma correção monetária atrelada ao financiamento, ou seja, se subir você paga mais e, como não estamos na China onde os juros são negativos, abra bem os olhos na hora de optar pelo leasing.

O bom e velho financiamento ainda é uma boa pedida na hora de financiar um veículo. Pense nisso antes de entrar numa fria.

Você sabia que o Portal Consignados é especialista em empréstimo consignado?

Com mais de 17 anos no Mercado de Empréstimo Consignado e com uma equipe treinada para lhe auxiliar na melhor decisão, no entanto o Portal Consignados trabalha em parceria com diversos bancos para lhe oferecer sempre o melhor negócio.

Financiamento e as suas modalidades

Financiamento é uma modalidade de credito onde a instituição financeira fornece recursos financeiros ao vendedor a favor do cliente. Contudo, poderá ser de 2 tipos: no valor total ou no valor parcial do bem. No entanto, fica a cargo do cliente, o pagamento de parcelas conforme taxa de juros contratada e estabelecida em contrato e ao vendedor fica o compromisso do recebimento do produto a vista por parte da instituição financeira.

Existem várias modalidade de financiamento podendo exigir garantias ou não, atendendo a pessoas jurídicas ou físicas. Aliás, o que difere o financiamento de operações como empréstimo é que o financiamento sempre está atrelado a compra de um bem em específico já o empréstimo o produto é o dinheiro.

Modalidades de Financiamento

Vamos destacar as principais modalidades de financiamento, atualmente comercializadas por instituições financeiras:

Conhecer as modalidades de Financiamento podem ser muito importante na hora de adquirir um bem. Contudo, escolher a mais adequada pode evitar que você pague juros maiores.

Taxas de Juros

As taxas de juros podem variar de acordo com a política de crédito, prazo, garantias ou financiamentos que oferecem a garantia do bem adquirido com por exemplo: veículos ou imóveis tendem a ser mais baratos que operações de crédito que apenas financiam compra de bens como eletrodomésticos ou materiais de construção. No entanto, a regra é sempre a mesma.

Fique atento as despesas do seu financiamento como taxas de abertura de crédito o famoso TAC ou despesas com documentação ou transferência do bem que muitas vezes parece uma vantagem mas podem encarecer a operação de crédito.

Antes de realizar, pesquise bem as taxas de juros cobradas. Se possível se informe antes. No entanto, o Banco Central fornece informações atualizadas. Ademais, caso deseje acessar o Banco Central, clique aqui.

Quanto maior o risco, maior a taxa de juros.

Garantias

As garantias poderão ser o próprio bem adquirido ou simplesmente de cheques pré datados. Contudo, o importante é ler atentamente seu contrato e discutir com o agente financeiro todas as condições.

Você sabia que o Portal Consignados é especialista em empréstimo consignado?

Com mais de 17 anos no Mercado de Empréstimo Consignado e com uma equipe treinada para lhe auxiliar na melhor decisão, no entanto o Portal Consignados trabalha em parceria com diversos bancos para lhe oferecer sempre o melhor negócio.

MP 681 Aprova 35% de Margem Consignável

Foi aprovado a MP 681 que muda a margem consignável de 30% (trinta porcento) para 35% (trinta e cinco porcento).

No entanto, muitas dúvidas a respeito destas mudanças ainda estão dando o que falar. Para isso, decidimos esclarecer algumas questões.

Com a MP 681 o que muda?

A margem consignável para empréstimo consignado continua sendo 30% (trinta porcento). Contudo, antes quem tinha cartão de crédito consignado optava por ter 20% (vinte porcento) de sua margem destinada a empréstimo consignado e 10% (dez porcento) destinado para cartões de crédito consignado.

No entanto, agora quem optar pelo ter o cartão de crédito consignado, vai comprometer 5% (cinco porcento) de sua margem e ficará livre os 30% (trinta porcento).

Pra quem não quer o cartão de crédito, nada mudará. Ademais, vai continuar podendo comprometendo os mesmos 30% (trinta porcento) de sua renda com empréstimos, conforme MP 681.

E os 10% já Averbados?

Quem estiver na regra antiga, permanecerá na regra antiga. Contudo, estuda-se a proposta de uma readequação na margem daqueles que já possuem os 10% (dez porcento) para 5% (cinco porcento).

No entanto, ainda não tem nada definido a este respeito. Em síntese, continua com 20% (vinte porcento) para empréstimos e 10% (dez porcento) para cartões.

Como Vai Funcionar?

Para cada benefício, é permitido apenas 1 (um) cartão de crédito. No entanto, fica definido como limite 5%(cinco porcento) de margem exclusivos para seu limite de cartões.

Ainda não foi definido se será permitido saques com esse cartão, mas por enquanto ainda não pode sacar. Portanto, é um cartão de crédito exclusivo para compras, conforme MP 681.

O valor do limite do cartão pode chegar a 2 x (duas vezes) o valor da sua renda ou até 20 x (vinte vezes) a sua margem consignável dos 5% (cinco porcento).

A taxa de juros máxima cobrada para quem cair no rotativo ainda permanece a mesma, podendo variar de banco para banco. No caso do BMG, a taxa permanece 3,06% (três porcento e seis décimos).

Pode já contratar cartão de crédito consignado?

Para quem deseja contratar um cartão de crédito consignado, já pode faze-lo e, apesar de ainda estar parametrizado, a MP 681 junto 0 INSS e Bancos a digitação das propostas já estão liberadas. No entanto, a preferência na liberação é de quem pedir primeiro.

A documentação exigida e política de crédito continua a mesmo. O beneficiário pode apresentar apenas RG (Registro geral) ou documento oficial com validade em todo território nacional com foto, CPF (Cadastro de Pessoa Física) e Comprovante de residência atual.

Para quem tem um cartão de crédito convencional, recomendamos que o troque pelo cartão de crédito consignado. Contudo, além de muitas vantagens como planos de pontos as taxas do rotativo, são imensamente menores.

Um cartão de crédito convencional pode cobrar até 15% (quinze porcento) de taxa de juros ao mês, caso caia no rotativo. Já o cartão de crédito consignado não passa de 3,06% (três porcento e seis décimos).

Por isso vale muito a pena para quem utiliza o cartão de crédito como forma de pagamento.

Aproveite a MP 681 e peça já o seu cartão de crédito consignado.

Você sabia?

Com mais de 17 anos no Mercado de Empréstimo Consignado e com uma equipe treinada para lhe auxiliar na melhor decisão, no entanto o Portal Consignados trabalha em parceria com diversos bancos para lhe oferecer sempre o melhor negócio.

Empréstimo – Como Funciona? Descubra Agora!

O empréstimo é uma modalidade de crédito destinada a pessoas físicas e jurídicas e é intermediada através de instituições financeiras que estabelecem regras e garantias para sua concessão.

Modalidades de Empréstimo

As modalidades de empréstimo são classificadas com situação funcional, política de crédito, prazo e até mesmo garantias. No entanto, vamos destacar as principais:

  • Empréstimo Pessoal
  • Consignado
  • Débito em conta

Empréstimo Pessoal

O empréstimo pessoal é a modalidade mais comum de empréstimo e mais utilizada também. Contudo, está disponível a todos, ou seja, independente da situação funcional, qualquer pessoa física e jurídica poderá contratar.

As taxas de juros para empréstimo pessoal costumam ser mais elevadas devido ao risco e, como garantia de pagamento, as instituições financeiras costuma solicitar cheques pré datados no valor da parcela.

A analise de crédito para o empréstimo pessoal também costuma ser mais rigorosa. No entanto, pesquisas junto aos órgãos de proteção ao crédito são realizadas além de contato com referencias pessoais e comprovação de renda também são necessários.

Crédito Consignado

O consignado se destaca por sua facilidade, flexibilidade, taxa de juros baixa e prazos maiores. No entanto, infelizmente não é pra todos. Para poder contratar um consignado ou o órgão ou sua empresa, é necessário que seja aprovado em assembleia ou lei. Contudo, também se faz necessário ter se cadastrado em alguma instituição financeira para pode fazer.

Os convênios mais comuns são:

Mas atenção! Os convênios municipais e Estaduais dependem a adesão do seu Estado ou Prefeitura para que possa haver disponível o empréstimo consignado para você.

As taxas de juros também são um grande atrativo para quem pode contratar um consignado. Contudo, elas podem variar de 1,6% a.m a 2,6% a.m, dependendo do convênio que você se enquadra.

O prazo para pagamento é muito flexível e pode chegar até 96 (noventa e seis) meses para pagar. Isso potencializa os valores liberados que podem chegar até 10 (dez) vezes a renda apurada.

A forma de pagamento é com desconto em folha. No entanto, ajuda muito na manutenção do produto evitando inadimplência, principalmente antecipação de parcelas. Por exemplo: pagar duas parcelas de uma vez não é possível devido a ser desconto em folha. No entanto, a quitação total do contrato pode ser realizada a qualquer momento do empréstimo, conforme regra do Banco Central.

A política de crédito é mais branda, ou seja, restrições no nome, cheques sem fundo ou quaisquer apontamentos não são considerados devido a garantia ser o desconto em folha. No entanto, confirmações, referencias pessoais e bancárias são analisadas para evitar fraudes. O mais importante no empréstimo consignado é que o contratante seja ele mesmo e que esteja ciente de todas as condições de seu empréstimo.

Débito em Conta

Esta modalidade de crédito particularmente é que menos me agrada, devido a sua taxa de juros alta que pode variar de 12% a.m até 25% a.m.

Muitas vezes, pode se mascarar em um crédito fácil para quem contrata, mas sair é extremamente difícil. Há anos no mercado, temos visto muitas pessoas contratando este tipo de empréstimo e renegociando para conseguir ficar em dia. Outro fator importante a ser considerado é que os valores emprestados geralmente são baixos e muitas vezes, além de não resolverem, ainda geram mais endividamento para quem contrata.

Infelizmente, não podemos descartar as possibilidade para quem necessita de um crédito, mas evitar o débito em conta é muito importante. Caso não tenha opção, pesquise bastante antes de sair contratando. Dê preferência ao banco aonde você tem conta e fuja das financeiras que prometem facilidades atrás dessa facilidade, pois vem uma taxa de juros brutal.

É muito importante entender bem qual modalidade de crédito mais se adapta a você.

Você sabia ?

Com mais de 17 anos no Mercado de Empréstimo Consignado e com uma equipe treinada para lhe auxiliar na melhor decisão, no entanto o Portal Consignados trabalha em parceria com diversos bancos para lhe oferecer sempre o melhor negócio.

Domésticas agora mudou a Lei – Portal Consignados

Recentemente foi aprovado a Lei complementar 150/2015, que regulamenta os novos direitos das empregadas domésticas em nosso país. Ademais, a Lei Complementar 150/2015 igualou o Contrato de Trabalho dos empregados domésticos aos demais Contratos de Trabalho celetistas.

A Emenda Constitucional 72/2013, mais conhecida como PEC das domésticas, já garantiu aos empregados domésticos diversos direitos. Contudo, ainda haviam algumas restrições.

Com a nova Lei Complementar 150/2015, estabeleceu-se uma série de garantias aos empregados domésticos como por exemplo: o recolhimento do Fundo de Garantia por Tempo de Serviço. No entanto, todos devem ficar atentos. A partir de agora, há igualdade de direitos dos empregados domésticos e os demais empregados. Vejamos:

O que mudou para as Domésticas

Do Salário

As domésticas agora têm direito garantido a receber um salário mínimo ao mês.

Horas Extras

O artigo 2º da lei dispõe que a duração normal do trabalho das domésticas não excederá 8 horas diárias e 44 semanais. Contudo, o trabalhador doméstico tem direito a receber pelas horas extras trabalhadas.

Entretanto, as primeiras 40 horas deverão ser efetivamente pagas. Referente as horas extras, essas podem ser compensadas com folgas ou redução da jornada de trabalho em outros dias.

Em caso de remuneração da hora extraordinária, esta será paga com o valor de no mínimo 50% superior da hora normal.

Adicional Noturno para as domésticas

Conforme disposto no artigo 14 da Lei Complementar, o trabalho noturno é executado no horário compreendido das 22h00 às 05h00.

Dessa forma, quanto as empregadas domésticas desempenhar suas atribuições no horário noturno, fará jus ao recebimento do respectivo adicional no percentual de 20% sobre o valor da hora diurna.

Todavia, caso o empregador admitir a empregada doméstica, exclusivamente para trabalhar no horário das 22h às 05h00, o acréscimo será calculado sobre o salário anotado em sua CTPS.

Descanso Semanal Remunerado

Contudo, é devido as empregadas domésticas descanso semanal remunerado de no mínimo 24 (vinte e quatro) horas consecutivas, preferencialmente aos domingos, além de descanso remunerado em feriados.

Férias

O empregado doméstico terá direito a férias anuais remuneradas de 30 (trinta) dias, com acréscimo de pelo menos, um terço do salário normal. Terá esse direito após cada período de 12 (doze) meses de trabalho.

No período de férias poderá, a critério do empregador, ser fracionado em até 2 (dois) períodos. Contudo, 1 (um) deles de, no mínimo, 14 (quatorze) dias corridos.

FGTS

Conforme disposto no artigo 21 da Lei, é OBRIGATÓRIA a inclusão das empregadas domésticas na conta vinculada de FGTS (8% sobre o salário). No entanto, terá indenização de 40% do saldo do FGTS se for dispensado (a) sem justa causa.

Seguro Desemprego

Em caso de demissão sem justa causa, faz jus ao recebimento do seguro desemprego. No entanto, a lei garante ao trabalhador o direito de receber o benefício por um período máximo de 3 meses de 2 formas: contínua ou alternada. Isso a cada período aquisitivo de 16 meses.

Salário Família

A nova lei criou as empregadas domésticas o direito ao salário-família. Este é um benefício pago pela Previdência Social.

O empregado doméstico deverá comprovar que seus filhos de até sete anos estão com a carteira de vacinação em dia e que os filhos de 7 a 14 anos estejam frequentando a escola.

O trabalhador com renda de até R$ 725,02, receberá o valor de R$ 37,18, por filho de até 14 anos incompletos ou inválido. Ademais, quem ganha acima desse valor R$ 1.089,72, tem direito a R$ 26,20 por filho.

Seguro contra acidentes de Trabalho

As domésticas fazem jus a serem cobertas por seguro contra acidente de trabalho. Isso conforme as regras da previdência.

Contudo, a contribuição é de 0,8%, paga pelo empregador.

Conclusão

Diante da nova regulamentação dos direitos dos empregados domésticos, todo devemos ficar atentos. Com a nova lei, os empregados domésticos possuem os mesmos direitos de um trabalhador celetista que desempenha suas atribuições fora do ambiente familiar.

Você sabia que o Portal Consignados é especialista em empréstimo consignado?

Com mais de 17 anos no Mercado de Empréstimo Consignado e com uma equipe treinada para lhe auxiliar na melhor decisão, no entanto o Portal Consignados trabalha em parceria com diversos bancos para lhe oferecer sempre o melhor negócio.

Detalhamento de empréstimo consignado – Como ter acesso?

O Detalhamento de empréstimo consignado é nada mais que um resumo de seu empréstimo consignado. No entanto, muitas pessoas tem essa dúvida devido ao empréstimo consignado ter suas parcelas pagas através de desconto em folha.

Contudo, apesar desta forma de pagamento simplificar e facilitar sua vida, muitas vezes você pode ficar perdido e se perguntar, “Quantas parcelas já paguei?” ou “Quantas parcelas faltam para pagar?”.

No entanto, não se sinta sozinho nesta dúvida. É comum e rotineiro respondermos estas questões diariamente.

Identificando seu Convênio

O convênio é a instituição a qual você pertence e tem cadastro junto ao banco ou instituição financeira a qual você paga seu empréstimo consignado. Contudo, as principais são:

  • Instituto de Seguridade Social (Aposentados e Pensionistas do INSS)
  • Governo Federal (Servidores Federais)
  • Governo Estadual (Servidores Estaduais)
  • Prefeitura Municipal (Servidores Municipais)


Saber corretamente qual convênio você pertence ajuda muito em localizar a informação correta de seu detalhamento de empréstimo consignado. Cada convênio ter um procedimento especifico.

Detalhamento de empréstimo consignado INSS

Existem apenas duas formas de ter acesso ao seu detalhamento de empréstimo consignado INSS. Infelizmente, nenhuma delas é online ou simplesmente acessando um site ou sistema.

A forma mais fácil é ir diretamente a um posto do INSS e solicitar um documento chamado HISCON. Este documento nada mais é que o histórico de consignações. Nele você encontrará informações como por exemplo:

Número de contrato, banco ao qual fez o empréstimo consignado, data inicial e final de cada empréstimo, bem como todas as operações já encerradas e em andamento dos últimos 5 (cinco) anos.

Outra forma de conseguir o detalhamento de empréstimo consignado é se dirigir até o banco aonde contratou seu(s) empréstimo consignado e solicitar o detalhamento.

Contudo, esta forma só lhe trará as informações referentes a contratos em andamento e somente as informações do Banco onde foi solicitar.

Por isso, caso tenha mais empréstimos em outros bancos, terá de repetir este procedimento em cada um dos bancos que possui empréstimos.


Se seu objetivo for especifico a um contrato e a um banco em especial, até justifica se dirigir ao banco para solicitar o detalhamento de empréstimo consignado. No entanto, mesmo assim, recomendamos que procure o INSS.

Detalhamento de empréstimo consignado Governo Federal

Seria muito importante lembrar que todo servidor federal está ligado a uma secretaria, empresa pública, ou seja, existe um órgão por trás e é este órgão que faz a gestão da folha de pagamento do servidor federal.

Contudo, assim sendo, para obter seu detalhamento de empréstimo consignado federal, deverá procurar seu órgão para ter acesso ao portal siapenet que, utilizando seu usuário e senha, poderá acessar facilmente todas as informações pertinentes aos seus empréstimos em andamento, como por exemplo:

Informações de prazos, taxas e datas de início e fim de seus empréstimos. Caso já possua o acesso, basta acessar a seção “consignações” que se encontra do lado esquerdo da tela no menu Servidor.

Detalhamento de empréstimo consignado Governo Estadual

Nós, do Portal Consignados, operamos apenas com o Governo do Estado de São Paulo. Por isso, os procedimentos abaixo se referem apenas para servidores do Estado de São Paulo.

No entanto, para ter acesso ao detalhamento de empréstimo consignado, os servidores do estado de São Paulo deverão acessar o portal do consignado através de seu login e senha cadastrado junto a sua secretaria.

Lá, eles terão acesso as informações referente a contratos em andamento. Também terão acesso as parcelas pagas e datas de início e fim de empréstimos em andamento.

Detalhamento de empréstimo consignado Prefeitura de São Paulo

Os Servidores da Prefeitura de São Paulo são divididos em dois grupos:

  • Ativos
  • Aposentados e Pensionistas

Por que é importante saber esta divisão? Porque, dependendo da situação funcional do servidor, o acesso é diferente. Por exemplo:

  • Servidores ativos acessam suas informações de consignação através do portal do Servidor
  • Servidores aposentados ou Pensionistas acessam suas informações sobre consignação através do portal do IPREM

O IPREM funciona como um fundo de pensão do servidor municipal. Contudo, ao invés de contribuir apenas para o INSS, o servidor opta por contribuir ou apenas para IPREM ou para os dois. No caso IPREM e INSS, assim garantindo sua aposentadoria com valores equivalentes ao que recebia enquanto trabalhava.

Acesso via portal do Servidor

Para acessar o detalhamento de empréstimo consignado através do Portal do Servidor, basta acessar com seu login e senha. No entanto, caso não possua ainda um login e senha, entre no site Portal do Servidor e cadastre a sua. Uma vez dentro do sistema, é muito simples.

Basta acessar a opção “empréstimos”. No entanto, através desta opção, terá acesso a todas as informações referente aos seus contratos em andamento.

Acesso Iprem

Os servidores aposentados continuam acessando o portal do servidor, conforme acima informado. Contudo, já os pensionistas deverão solicitar seu detalhamento de empréstimo consignado através da secretaria ao qual o originador (Servidor falecido) estava ligado, e entrar em contato para ter acesso.

Contudo, caso esteja com dificuldades em identificar o local correto para criar seu login e senha para acessar o site da prefeitura de São Paulo e ter acesso aos telefones e endereços das URHs que prestam este tipo de informação.

Este material é dinâmico e conta com a colaboração de todos os usuários do Portal Consignados. 

No entanto, caso tenha alguma dificuldade em ter acesso ao seu detalhamento de empréstimo consignado, nos informe que estamos abertos em entender sua dificuldade e adicionar a solução de seu problema.

Poderemos adicionar mais detalhes conforme for surgindo a necessidade de nossos usuários. Por isso, nos ajude comentando esta matéria.

Você sabia que o Portal Consignados é especialista em empréstimo consignado?

Com mais de 17 anos no Mercado de Empréstimo Consignado e com uma equipe treinada para lhe auxiliar na melhor decisão, no entanto o Portal Consignados trabalha em parceria com diversos bancos para lhe oferecer sempre o melhor negócio.

Prefeitura de SP – Roteiro Operacional

Este material da Prefeitura de SP consiste em um roteiro operacional ao qual irá explicar de forma mais detalhada sobre o empréstimo consignado para servidores públicos. Empréstimo consignado Prefeitura SP é uma das modalidades de crédito mais baratas do mercado. Vamos aprender mais?

As despesas com o empréstimo consignado da Prefeitura de SP consistem em taxa de juros vigente e IOF. Ademais, o IOF é calculado conforme o prazo de seu empréstimo consignado e as taxas poderão variar de banco para banco. Contudo, a diferença geralmente é bem pequena entre eles.

Ademais, caso deseje calcular os juros de seu empréstimo consignado da prefeitura de SP, o Banco Central disponibiliza uma calculadora. Caso necessite utilizar, basta clicar aqui ou acessar abaixo:

Prefeitura de SP – Público Atendido

O público atendido são todos os servidores públicos da prefeitura de São Paulo que preencham os pré-requisitos abaixo:

  • Efetivos
  • Ativos
  • Inativos
  • Pensionistas

Atenção: Funcionários denominados ADMITIDOS ou COMISSIONADOS poderão contrair o empréstimo – novas operações, portabilidade e refinanciamento, desde que possuam 2 (dois) ou mais quinquênios.

Prazo de Liberação

O prazo de liberação do Empréstimo consignado da Prefeitura de SP é de 24 á  72 horas. Contudo, esse prazo é devido a necessidade da instituição financeira ter em mãos o contrato assinado e a documentação necessária para a averbação do contrato e, posteriormente a liberação do crédito em conta (a conta deve ser a mesma aonde o servidor recebe seu salário).

Margem Consignável

Ademais, as operações estarão sujeitas ao limite legal estabelecido pela respectiva administração pública, denominada “Margem Consignável”. No entanto, o cálculo de margem deverá observar as seguintes regras básicas:

  • Subtrair do Salário bruto os descontos compulsórios (IRPF, INSS, Pensão Alimentícia, faltas e outros definidos por lei).
  • Do resultado dos descontos compulsórios se aplica a margem consignável dos 30%, obtendo assim a denominada margem bruta.
  • Encontrada a margem bruta se deduz os descontos facultativos (outras consignações registrada em folha  e/ou carimbos), obtendo assim a margem consignável.

Ademais, geralmente as instituições financeiras aplicam como medida de segurança após encontrada a margem consignável o desconto de 1% (um por cento) ou R$ 10,00 de sua margem, o que for menor.

Exemplo 1:

Salário Bruto: R$ 500,00

Total dos Descontos obrigatórios / fixos:  – R$ 50,00

Resultado: R$ 450,00

Margem dos 30%: R$ 135,00

Outras Consignações: R$ 75,00

Saldo de Margem: R$ 60,00

99% da margem apurada: R$ 59,40

Como é Realizada a Consulta de Margem?

Ademais, a consulta de margem atualmente é realizada pela instituição financeira através do sistema E-consig com acesso especifico para a instituição. Contudo, através deste sistema, é necessário para a realização da consulta que o servidor informe os seguintes dados:

O CPF é um dado importante para validar a pesquisa de margem.

O RF é o registro funcional do Servidor Público de SP.

É senha utilizada para acessar seu holerite eletrônico.

Lei Vigente

Por se tratar de empréstimo consignado existe a necessidade de uma regulamentação legal específica que atenda ao servidor da prefeitura de SP. No entanto, abaixo iremos destacar caso tenha interesse de se aprofundar no assunto:

A lei 10.820 de 17 de Dezembro de 2003 é a principal lei que regulamenta o empréstimo consignado. Contudo, para acessar na integra a lei, basta clicar aqui.

A Resolução 722 de 20 de Fevereiro de 2015  tem as condições que possibilitaram o retorno do empréstimo consignado para todos os Bancos, bem como condições e regras para sua concessão.

Contudo, as leis vigentes podem sofrer alterações. Mantenha-se sempre atualizado e quaisquer dúvidas, sugestões ou comentários. Fique a vontade em nos questionar.

Documentação

Para contratar seu empréstimo consignado da prefeitura de SP é necessário apresentar alguns documentos básicos. Contudo, iremos detalhar abaixo:

  • RG
  • CPF
  • Comprovante de Residência
  • Contra-cheque

No entanto, os comprovantes de Residência e Renda (contra-cheque) deverão ser atualizados datados no máximo em até 60 (sessenta) dias.

Você sabia que o Portal Consignados é especialista em empréstimo consignado?

Com mais de 17 anos no Mercado de Empréstimo Consignado e com uma equipe treinada para lhe auxiliar na melhor decisão, no entanto o Portal Consignados trabalha em parceria com diversos bancos para lhe oferecer sempre o melhor negócio.

Governo do Estado de São Paulo – Roteiro Operacional

Este material do Governo do Estado de São Paulo consiste em um roteiro operacional ao qual irá explicar de forma mais detalhada sobre o empréstimo consignado para servidores públicos. Empréstimo consignado Governo SP é uma das modalidades de crédito mais baratas do mercado. Vamos aprender mais?

O convênio com o Governo do Estado de São Paulo para empréstimo consignado está autorizado para apenas servidores que estejam ligados aos seguintes órgãos:

  • SEFAZ e Autarquias
  • Policia Militar do Governo do Estado de São Paulo
  • SPPREV

Contudo, somente os servidores do governo do estado de São Paulo que atenderem os pré-requisitos acima, poderão contratar empréstimo consignado.

Governo do Estado de São Paulo

Ademais, o público apto para contratação de empréstimo consignado são:

  • Servidores Públicos civis ativos
  • Inativos
  • Pensionistas da administração direta e autárquica
  • Servidores públicos militares ativos, inativos e reformados

No entanto, caso tenha dúvidas em relação a seu vinculo junto ao governo do estado de São Paulo, basta clicar aqui e realizar uma pesquisa junto ao portal da transparência do Governo do estado de São Paulo.

Margem Consignável

Contudo, margem consignável fica limitada a 30% (trinta por cento) da renda liquida e não existe limite de quantidade de contratos.
No entanto, a soma das parcelas descontadas do servidor não poderá ultrapassar os 30% (trinta por cento).

Consultando sua Margem

1ºPasso: Em posse de seu login e senha, acesse o endereço https://www.portaldoconsignado.com.br
2ºPasso: Ao acessar o sistema, basta clicar em https://www.portaldoconsignado.com.br eu lado esquerdo no menu na opção “Consignações”
3ºPasso: Clique na opção “Consultar margem”

Não possui acesso

Ademais, caso não possua acesso ao portal, clique no item localizado no canto inferior a esquerda “Primeiro acesso” Ademais, preencha corretamente os dados solicitados. E pronto! Terá sua senha gerada na hora, guarde-a sempre em um lugar seguro.

Esqueceu a senha

Contudo, caso tenha esquecido a senha, poderá clicar no canto inferior esquerdo no item “Esqueci a senha/desbloqueio”.
Ademais, preencha corretamente o formulário. No entanto, as informações que lhe serão solicitadas a seguir serão de e-mail cadastrado.
Contudo, caso não se lembre de seu e-mail que utilizou quando cadastrou seu acesso, deverá entrar em contato com seu órgão.

Contato dos Órgãos:

saopauloconsig@fazenda.sp.gov.br
(11) 3311-1554 Noemi
(11) 3311-1570 Gilda
(11) 3627-7896 Neusa
(11) 3627-7455 Diogo
(11) 3627-7456 Luiz
(11) 3627-7044 Lorenzo

Instituto de Pagamentos Especiais de São Paulo – IPESP

(11) 3100-0235 Neide
(11) 3100-0238 Patricia

HCFMUSP

(11) 2661-7052 Gilson
(11) 2661-7038 Valdirene

JUCESP

(11) 3468-3782 Tarcis

DAEE

(11) 3293-8405 Ricardo
(11) 3293-8548 Edson

HCFMB

(14) 3811-6389 Maria
(14) 3811-6397 Leandro

AGEM

(13) 3202-7011 Monica

HCRP

(16) 3602-2165 – Luis Antonio
gs155@hcrp.usp.br

SUCEN

(11) 3311-1119 Rosana
(11) 3311-1197 Fábia
sucen-pagto@sucen.sp.gov.br

IAMSPE

(11) 4573-8786 Elaine ou Dácio

DAESP

(11) 3312-9611 RH

IMESC

crh@imesc.sp.gov.br

SUTACO

(11) 3241-7326 RH

AGEMCAMP

(19) 3213-6343 Ester

CENTRO PAULA SOUZA

npp@centropaulasouza.sp.gov.br

ARSESP

(11) 3293-5100 RH

ARTESP

(11) 3465-2227 Tânia
(11) 3465-2252 Marisa

PMESP

(11) 3327-7686
(11) 3327-7870
(11) 3327-7698
ciaf@policiamilitar.sp.gov.br

SPPREV

0800 777 7738

Rua Bela Cintra, 657 e regionais
Atendimento de 2ª a 6ª, das 9h às 16h.

Regulamentação Legal

No entanto, esta modalidade de crédito possuí decreto, resolução e portaria que defini as regras sobre a forma de contratação de empréstimo consignado junto ao Governo do Estado de São Paulo.

Documentos Necessários

Ademais, a documentação que deverá ser encaminhada para contratação é muito simples. No entanto, segue a relação abaixo:

  • Documento de Identidade
  • CPF
  • Comprovante de Residência
  • Contra-cheque

Contudo, os documentos exigidos para a contratação de empréstimo consignado para servidor do governo do estado de São Paulo deverão ser apresentados no ato da contratação e não poderão obter rasuras. Ademais, caso esteja apresentando uma CNH ou CREA por exemplo no lugar do RG, tais documentos deverão estar em dia.

Código de Defesa do Consumidor

O código de defesa do consumidor é uma lei de n.8.078 que foi criada em 11 de setembro de 1990. No entanto, essa lei serve para esclarecer as obrigações nas relações de consumo entre o cliente e a empresa bem como regula seus direitos e deveres no trato comercial.

Veremos a seguir todos os artigos que compõem o Código de Defesa do Consumidor. Esse código estabelece os direitos e deveres de compradores e vendedores durante uma negociação. Acompanhe!

Código Defesa do Consumidor na íntegra

Art. 1º O presente código estabelece normas de proteção e defesa do consumidor, de ordem pública e interesse social, nos termos dos arts. 5°, inciso XXXII, 170, inciso V, da Constituição Federal e art. 48 de suas Disposições Transitórias.

Art. 2º Consumidor é toda pessoa física ou jurídica que adquire ou utiliza produto ou serviço como destinatário final.

Parágrafo único. Equipara-se a consumidor a coletividade de pessoas, ainda que indetermináveis, que haja intervindo nas relações de consumo.

Art. 3º Fornecedor é toda pessoa física ou jurídica, pública ou privada, nacional ou estrangeira, bem como os entes despersonalizados, que desenvolvem atividade de produção, montagem, criação, construção, transformação, importação, exportação, distribuição ou comercialização de produtos ou prestação de serviços.

§ 1° Produto é qualquer bem, móvel ou imóvel, material ou imaterial.

§ 2° Serviço é qualquer atividade fornecida no mercado de consumo, mediante remuneração, inclusive as de natureza bancária, financeira, de crédito e securitária, salvo as decorrentes das relações de caráter trabalhista.[/et_pb_accordion_item]

CAPÍTULO II – Da Política Nacional de Relações de Consumo
CAPÍTULO IV – Da Qualidade de Produtos e Serviços, da Prevenção e da Reparação dos Danos
SEÇÃO I
Da Proteção à Saúde e Segurança

Art. 8º Os produtos e serviços colocados no mercado de consumo não acarretarão riscos à saúde ou segurança dos consumidores, exceto os considerados normais e previsíveis em decorrência de sua natureza e fruição, obrigando-se os fornecedores, em qualquer hipótese, a dar as informações necessárias e adequadas a seu respeito.

Parágrafo único. Em se tratando de produto industrial, ao fabricante cabe prestar as informações a que se refere este artigo, através de impressos apropriados que devam acompanhar o produto.

Art. 9º O fornecedor de produtos e serviços potencialmente nocivos ou perigosos à saúde ou segurança deverá informar, de maneira ostensiva e adequada, a respeito da sua nocividade ou periculosidade, sem prejuízo da adoção de outras medidas cabíveis em cada caso concreto.

Art. 10. O fornecedor não poderá colocar no mercado de consumo produto ou serviço que sabe ou deveria saber apresentar alto grau de nocividade ou periculosidade à saúde ou segurança.

§ 1° O fornecedor de produtos e serviços que, posteriormente à sua introdução no mercado de consumo, tiver conhecimento da periculosidade que apresentem, deverá comunicar o fato imediatamente às autoridades competentes e aos consumidores, mediante anúncios publicitários.

§ 2° Os anúncios publicitários a que se refere o parágrafo anterior serão veiculados na imprensa, rádio e televisão, às expensas do fornecedor do produto ou serviço.

§ 3° Sempre que tiverem conhecimento de periculosidade de produtos ou serviços à saúde ou segurança dos consumidores, a União, os Estados, o Distrito Federal e os Municípios deverão informá-los a respeito.

Art. 11. (Vetado).

SEÇÃO II
 Da Responsabilidade pelo Fato do Produto e do Serviço

Art. 12. O fabricante, o produtor, o construtor, nacional ou estrangeiro, e o importador respondem, independentemente da existência de culpa, pela reparação dos danos causados aos consumidores por defeitos decorrentes de projeto, fabricação, construção, montagem, fórmulas, manipulação, apresentação ou acondicionamento de seus produtos, bem como por informações insuficientes ou inadequadas sobre sua utilização e riscos.

§ 1° O produto é defeituoso quando não oferece a segurança que dele legitimamente se espera, levando-se em consideração as circunstâncias relevantes, entre as quais:

I – sua apresentação;

II – o uso e os riscos que razoavelmente dele se esperam;

III – a época em que foi colocado em circulação.

§ 2º O produto não é considerado defeituoso pelo fato de outro de melhor qualidade ter sido colocado no mercado.

§ 3° O fabricante, o construtor, o produtor ou importador só não será responsabilizado quando provar:

I – que não colocou o produto no mercado;

II – que, embora haja colocado o produto no mercado, o defeito inexiste;

III – a culpa exclusiva do consumidor ou de terceiro.

Art. 13. O comerciante é igualmente responsável, nos termos do artigo anterior, quando:

I – o fabricante, o construtor, o produtor ou o importador não puderem ser identificados;

II – o produto for fornecido sem identificação clara do seu fabricante, produtor, construtor ou importador;

III – não conservar adequadamente os produtos perecíveis.

Parágrafo único. Aquele que efetivar o pagamento ao prejudicado poderá exercer o direito de regresso contra os demais responsáveis, segundo sua participação na causação do evento danoso.

Art. 14. O fornecedor de serviços responde, independentemente da existência de culpa, pela reparação dos danos causados aos consumidores por defeitos relativos à prestação dos serviços, bem como por informações insuficientes ou inadequadas sobre sua fruição e riscos.

§ 1° O serviço é defeituoso quando não fornece a segurança que o consumidor dele pode esperar, levando-se em consideração as circunstâncias relevantes, entre as quais:

I – o modo de seu fornecimento;

II – o resultado e os riscos que razoavelmente dele se esperam;

III – a época em que foi fornecido.

§ 2º O serviço não é considerado defeituoso pela adoção de novas técnicas.

§ 3° O fornecedor de serviços só não será responsabilizado quando provar:

I – que, tendo prestado o serviço, o defeito inexiste;

II – a culpa exclusiva do consumidor ou de terceiro.

§ 4° A responsabilidade pessoal dos profissionais liberais será apurada mediante a verificação de culpa.

Art. 15. (Vetado).

Art. 16. (Vetado).

Art. 17. Para os efeitos desta Seção, equiparam-se aos consumidores todas as vítimas do evento.

SEÇÃO III
 Da Responsabilidade por Vício do Produto e do Serviço

Art. 18. Os fornecedores de produtos de consumo duráveis ou não duráveis respondem solidariamente pelos vícios de qualidade ou quantidade que os tornem impróprios ou inadequados ao consumo a que se destinam ou lhes diminuam o valor, assim como por aqueles decorrentes da disparidade, com a indicações constantes do recipiente, da embalagem, rotulagem ou mensagem publicitária, respeitadas as variações decorrentes de sua natureza, podendo o consumidor exigir a substituição das partes viciadas.

§ 1° Não sendo o vício sanado no prazo máximo de trinta dias, pode o consumidor exigir, alternativamente e à sua escolha:

I – a substituição do produto por outro da mesma espécie, em perfeitas condições de uso;

II – a restituição imediata da quantia paga, monetariamente atualizada, sem prejuízo de eventuais perdas e danos;

III – o abatimento proporcional do preço.

§ 2° Poderão as partes convencionar a redução ou ampliação do prazo previsto no parágrafo anterior, não podendo ser inferior a sete nem superior a cento e oitenta dias. Nos contratos de adesão, a cláusula de prazo deverá ser convencionada em separado, por meio de manifestação expressa do consumidor.

§ 3° O consumidor poderá fazer uso imediato das alternativas do § 1° deste artigo sempre que, em razão da extensão do vício, a substituição das partes viciadas puder comprometer a qualidade ou características do produto, diminuir-lhe o valor ou se tratar de produto essencial.

§ 4° Tendo o consumidor optado pela alternativa do inciso I do § 1° deste artigo, e não sendo possível a substituição do bem, poderá haver substituição por outro de espécie, marca ou modelo diversos, mediante complementação ou restituição de eventual diferença de preço, sem prejuízo do disposto nos incisos II e III do § 1° deste artigo.

§ 5° No caso de fornecimento de produtos in natura, será responsável perante o consumidor o fornecedor imediato, exceto quando identificado claramente seu produtor.

§ 6° São impróprios ao uso e consumo:

I – os produtos cujos prazos de validade estejam vencidos;

II – os produtos deteriorados, alterados, adulterados, avariados, falsificados, corrompidos, fraudados, nocivos à vida ou à saúde, perigosos ou, ainda, aqueles em desacordo com as normas regulamentares de fabricação, distribuição ou apresentação;

III – os produtos que, por qualquer motivo, se revelem inadequados ao fim a que se destinam.

Art. 19. Os fornecedores respondem solidariamente pelos vícios de quantidade do produto sempre que, respeitadas as variações decorrentes de sua natureza, seu conteúdo líquido for inferior às indicações constantes do recipiente, da embalagem, rotulagem ou de mensagem publicitária, podendo o consumidor exigir, alternativamente e à sua escolha:

I – o abatimento proporcional do preço;

II – complementação do peso ou medida;

III – a substituição do produto por outro da mesma espécie, marca ou modelo, sem os aludidos vícios;

IV – a restituição imediata da quantia paga, monetariamente atualizada, sem prejuízo de eventuais perdas e danos.

§ 1° Aplica-se a este artigo o disposto no § 4° do artigo anterior.

§ 2° O fornecedor imediato será responsável quando fizer a pesagem ou a medição e o instrumento utilizado não estiver aferido segundo os padrões oficiais.

Art. 20. O fornecedor de serviços responde pelos vícios de qualidade que os tornem impróprios ao consumo ou lhes diminuam o valor, assim como por aqueles decorrentes da disparidade com as indicações constantes da oferta ou mensagem publicitária, podendo o consumidor exigir, alternativamente e à sua escolha:

I – a reexecução dos serviços, sem custo adicional e quando cabível;

II – a restituição imediata da quantia paga, monetariamente atualizada, sem prejuízo de eventuais perdas e danos;

III – o abatimento proporcional do preço.

§ 1° A reexecução dos serviços poderá ser confiada a terceiros devidamente capacitados, por conta e risco do fornecedor.

§ 2° São impróprios os serviços que se mostrem inadequados para os fins que razoavelmente deles se esperam, bem como aqueles que não atendam as normas regulamentares de prestabilidade..

Art. 21. No fornecimento de serviços que tenham por objetivo a reparação de qualquer produto considerar-se-á implícita a obrigação do fornecedor de empregar componentes de reposição originais adequados e novos, ou que mantenham as especificações técnicas do fabricante, salvo, quanto a estes últimos, autorização em contrário do consumidor.

Art. 22. Os órgãos públicos, por si ou suas empresas, concessionárias, permissionárias ou sob qualquer outra forma de empreendimento, são obrigados a fornecer serviços adequados, eficientes, seguros e, quanto aos essenciais, contínuos.

Parágrafo único. Nos casos de descumprimento, total ou parcial, das obrigações referidas neste artigo, serão as pessoas jurídicas compelidas a cumpri-las e a reparar os danos causados, na forma prevista neste código.

Art. 23. A ignorância do fornecedor sobre os vícios de qualidade por inadequação dos produtos e serviços não o exime de responsabilidade.

Art. 24. A garantia legal de adequação do produto ou serviço independe de termo expresso, vedada a exoneração contratual do fornecedor.

Art. 25. É vedada a estipulação contratual de cláusula que impossibilite, exonere ou atenue a obrigação de indenizar prevista nesta e nas seções anteriores.

§ 1° Havendo mais de um responsável pela causação do dano, todos responderão solidariamente pela reparação prevista nesta e nas seções anteriores.

§ 2° Sendo o dano causado por componente ou peça incorporada ao produto ou serviço, são responsáveis solidários seu fabricante, construtor ou importador e o que realizou a incorporação.

SEÇÃO IV
 Da Decadência e da Prescrição

Art. 26. O direito de reclamar pelos vícios aparentes ou de fácil constatação caduca em:

I – trinta dias, tratando-se de fornecimento de serviço e de produtos não duráveis;

II – noventa dias, tratando-se de fornecimento de serviço e de produtos duráveis.

§ 1° Inicia-se a contagem do prazo decadencial a partir da entrega efetiva do produto ou do término da execução dos serviços.

§ 2° Obstam a decadência:

I – a reclamação comprovadamente formulada pelo consumidor perante o fornecedor de produtos e serviços até a resposta negativa correspondente, que deve ser transmitida de forma inequívoca;

II – (Vetado).

III – a instauração de inquérito civil, até seu encerramento.

§ 3° Tratando-se de vício oculto, o prazo decadencial inicia-se no momento em que ficar evidenciado o defeito.

Art. 27. Prescreve em cinco anos a pretensão à reparação pelos danos causados por fato do produto ou do serviço prevista na Seção II deste Capítulo, iniciando-se a contagem do prazo a partir do conhecimento do dano e de sua autoria.

Parágrafo único. (Vetado).

SEÇÃO V

Da Desconsideração da Personalidade Jurídica

Art. 28. O juiz poderá desconsiderar a personalidade jurídica da sociedade quando, em detrimento do consumidor, houver abuso de direito, excesso de poder, infração da lei, fato ou ato ilícito ou violação dos estatutos ou contrato social. A desconsideração também será efetivada quando houver falência, estado de insolvência, encerramento ou inatividade da pessoa jurídica provocados por má administração.

§ 1° (Vetado).

§ 2° As sociedades integrantes dos grupos societários e as sociedades controladas, são subsidiariamente responsáveis pelas obrigações decorrentes deste código.

§ 3° As sociedades consorciadas são solidariamente responsáveis pelas obrigações decorrentes deste código.

§ 4° As sociedades coligadas só responderão por culpa.

§ 5° Também poderá ser desconsiderada a pessoa jurídica sempre que sua personalidade for, de alguma forma, obstáculo ao ressarcimento de prejuízos causados aos consumidores.

CAPÍTULO V – Das Práticas Comerciais
SEÇÃO I
Das Disposições Gerais
Art. 29. Para os fins deste Capítulo e do seguinte, equiparam-se aos consumidores todas as pessoas determináveis ou não, expostas às práticas nele previstas.

SEÇÃO II
Da Oferta

Art. 30. Toda informação ou publicidade, suficientemente precisa, veiculada por qualquer forma ou meio de comunicação com relação a produtos e serviços oferecidos ou apresentados, obriga o fornecedor que a fizer veicular ou dela se utilizar e integra o contrato que vier a ser celebrado.

Art. 31. A oferta e apresentação de produtos ou serviços devem assegurar informações corretas, claras, precisas, ostensivas e em língua portuguesa sobre suas características, qualidades, quantidade, composição, preço, garantia, prazos de validade e origem, entre outros dados, bem como sobre os riscos que apresentam à saúde e segurança dos consumidores.

Parágrafo único. As informações de que trata este artigo, nos produtos refrigerados oferecidos ao consumidor, serão gravadas de forma indelével. (Incluído pela Lei nº 11.989, de 2009)

Art. 32. Os fabricantes e importadores deverão assegurar a oferta de componentes e peças de reposição enquanto não cessar a fabricação ou importação do produto.

Parágrafo único. Cessadas a produção ou importação, a oferta deverá ser mantida por período razoável de tempo, na forma da lei.

Art. 33. Em caso de oferta ou venda por telefone ou reembolso postal, deve constar o nome do fabricante e endereço na embalagem, publicidade e em todos os impressos utilizados na transação comercial.

Parágrafo único. É proibida a publicidade de bens e serviços por telefone, quando a chamada for onerosa ao consumidor que a origina. (Incluído pela Lei nº 11.800, de 2008).

Art. 34. O fornecedor do produto ou serviço é solidariamente responsável pelos atos de seus prepostos ou representantes autônomos.

Art. 35. Se o fornecedor de produtos ou serviços recusar cumprimento à oferta, apresentação ou publicidade, o consumidor poderá, alternativamente e à sua livre escolha:

I – exigir o cumprimento forçado da obrigação, nos termos da oferta, apresentação ou publicidade;

II – aceitar outro produto ou prestação de serviço equivalente;

III – rescindir o contrato, com direito à restituição de quantia eventualmente antecipada, monetariamente atualizada, e a perdas e danos.

SEÇÃO III
Da Publicidade

Art. 36. A publicidade deve ser veiculada de tal forma que o consumidor, fácil e imediatamente, a identifique como tal.

Parágrafo único. O fornecedor, na publicidade de seus produtos ou serviços, manterá, em seu poder, para informação dos legítimos interessados, os dados fáticos, técnicos e científicos que dão sustentação à mensagem.

Art. 37. É proibida toda publicidade enganosa ou abusiva.

§ 1° É enganosa qualquer modalidade de informação ou comunicação de caráter publicitário, inteira ou parcialmente falsa, ou, por qualquer outro modo, mesmo por omissão, capaz de induzir em erro o consumidor a respeito da natureza, características, qualidade, quantidade, propriedades, origem, preço e quaisquer outros dados sobre produtos e serviços.

§ 2° É abusiva, dentre outras a publicidade discriminatória de qualquer natureza, a que incite à violência, explore o medo ou a superstição, se aproveite da deficiência de julgamento e experiência da criança, desrespeita valores ambientais, ou que seja capaz de induzir o consumidor a se comportar de forma prejudicial ou perigosa à sua saúde ou segurança.

§ 3° Para os efeitos deste código, a publicidade é enganosa por omissão quando deixar de informar sobre dado essencial do produto ou serviço.

§ 4° (Vetado).

Art. 38. O ônus da prova da veracidade e correção da informação ou comunicação publicitária cabe a quem as patrocina.

SEÇÃO IV
Das Práticas Abusivas

Art. 39. É vedado ao fornecedor de produtos ou serviços, dentre outras práticas abusivas: (Redação dada pela Lei nº 8.884, de 11.6.1994)

I – condicionar o fornecimento de produto ou de serviço ao fornecimento de outro produto ou serviço, bem como, sem justa causa, a limites quantitativos;

II – recusar atendimento às demandas dos consumidores, na exata medida de suas disponibilidades de estoque, e, ainda, de conformidade com os usos e costumes;

III – enviar ou entregar ao consumidor, sem solicitação prévia, qualquer produto, ou fornecer qualquer serviço;

IV – prevalecer-se da fraqueza ou ignorância do consumidor, tendo em vista sua idade, saúde, conhecimento ou condição social, para impingir-lhe seus produtos ou serviços;

V – exigir do consumidor vantagem manifestamente excessiva;

VI – executar serviços sem a prévia elaboração de orçamento e autorização expressa do consumidor, ressalvadas as decorrentes de práticas anteriores entre as partes;

VII – repassar informação depreciativa, referente a ato praticado pelo consumidor no exercício de seus direitos;

VIII – colocar, no mercado de consumo, qualquer produto ou serviço em desacordo com as normas expedidas pelos órgãos oficiais competentes ou, se normas específicas não existirem, pela Associação Brasileira de Normas Técnicas ou outra entidade credenciada pelo Conselho Nacional de Metrologia, Normalização e Qualidade Industrial (Conmetro);

IX – recusar a venda de bens ou a prestação de serviços, diretamente a quem se disponha a adquiri-los mediante pronto pagamento, ressalvados os casos de intermediação regulados em leis especiais; (Redação dada pela Lei nº 8.884, de 11.6.1994)

X – elevar sem justa causa o preço de produtos ou serviços. (Incluído pela Lei nº 8.884, de 11.6.1994)

XI – Dispositivo incluído pela MPV nº 1.890-67, de 22.10.1999, transformado em inciso XIII, quando da converão na Lei nº 9.870, de 23.11.1999

XII – deixar de estipular prazo para o cumprimento de sua obrigação ou deixar a fixação de seu termo inicial a seu exclusivo critério.(Incluído pela Lei nº 9.008, de 21.3.1995)

XIII – aplicar fórmula ou índice de reajuste diverso do legal ou contratualmente estabelecido. (Incluído pela Lei nº 9.870, de 23.11.1999)

Parágrafo único. Os serviços prestados e os produtos remetidos ou entregues ao consumidor, na hipótese prevista no inciso III, equiparam-se às amostras grátis, inexistindo obrigação de pagamento.

Art. 40. O fornecedor de serviço será obrigado a entregar ao consumidor orçamento prévio discriminando o valor da mão-de-obra, dos materiais e equipamentos a serem empregados, as condições de pagamento, bem como as datas de início e término dos serviços.

§ 1º Salvo estipulação em contrário, o valor orçado terá validade pelo prazo de dez dias, contado de seu recebimento pelo consumidor.

§ 2° Uma vez aprovado pelo consumidor, o orçamento obriga os contraentes e somente pode ser alterado mediante livre negociação das partes.

§ 3° O consumidor não responde por quaisquer ônus ou acréscimos decorrentes da contratação de serviços de terceiros não previstos no orçamento prévio.

Art. 41. No caso de fornecimento de produtos ou de serviços sujeitos ao regime de controle ou de tabelamento de preços, os fornecedores deverão respeitar os limites oficiais sob pena de não o fazendo, responderem pela restituição da quantia recebida em excesso, monetariamente atualizada, podendo o consumidor exigir à sua escolha, o desfazimento do negócio, sem prejuízo de outras sanções cabíveis.

SEÇÃO V
Da Cobrança de Dívidas

Art. 42. Na cobrança de débitos, o consumidor inadimplente não será exposto a ridículo, nem será submetido a qualquer tipo de constrangimento ou ameaça.

Parágrafo único. O consumidor cobrado em quantia indevida tem direito à repetição do indébito, por valor igual ao dobro do que pagou em excesso, acrescido de correção monetária e juros legais, salvo hipótese de engano justificável.

Art. 42-A. Em todos os documentos de cobrança de débitos apresentados ao consumidor, deverão constar o nome, o endereço e o número de inscrição no Cadastro de Pessoas Físicas – CPF ou no Cadastro Nacional de Pessoa Jurídica – CNPJ do fornecedor do produto ou serviço correspondente. (Incluído pela Lei nº 12.039, de 2009).

SEÇÃO VI
Dos Bancos de Dados e Cadastros de Consumidores

Art. 43. O consumidor, sem prejuízo do disposto no art. 86, terá acesso às informações existentes em cadastros, fichas, registros e dados pessoais e de consumo arquivados sobre ele, bem como sobre as suas respectivas fontes.

§ 1° Os cadastros e dados de consumidores devem ser objetivos, claros, verdadeiros e em linguagem de fácil compreensão, não podendo conter informações negativas referentes a período superior a cinco anos.

§ 2° A abertura de cadastro, ficha, registro e dados pessoais e de consumo deverá ser comunicada por escrito ao consumidor, quando não solicitada por ele.

§ 3° O consumidor, sempre que encontrar inexatidão nos seus dados e cadastros, poderá exigir sua imediata correção, devendo o arquivista, no prazo de cinco dias úteis, comunicar a alteração aos eventuais destinatários das informações incorretas.

§ 4° Os bancos de dados e cadastros relativos a consumidores, os serviços de proteção ao crédito e congêneres são considerados entidades de caráter público.

§ 5° Consumada a prescrição relativa à cobrança de débitos do consumidor, não serão fornecidas, pelos respectivos Sistemas de Proteção ao Crédito, quaisquer informações que possam impedir ou dificultar novo acesso ao crédito junto aos fornecedores.

Art. 44. Os órgãos públicos de defesa do consumidor manterão cadastros atualizados de reclamações fundamentadas contra fornecedores de produtos e serviços, devendo divulgá-lo pública e anualmente. A divulgação indicará se a reclamação foi atendida ou não pelo fornecedor.

§ 1° É facultado o acesso às informações lá constantes para orientação e consulta por qualquer interessado.

§ 2° Aplicam-se a este artigo, no que couber, as mesmas regras enunciadas no artigo anterior e as do parágrafo único do art. 22 deste código.

Art. 45. (Vetado).

CAPÍTULO VI – Da Proteção Contratual

SEÇÃO I
Disposições Gerais

Art. 46. Os contratos que regulam as relações de consumo não obrigarão os consumidores, se não lhes for dada a oportunidade de tomar conhecimento prévio de seu conteúdo, ou se os respectivos instrumentos forem redigidos de modo a dificultar a compreensão de seu sentido e alcance.

Art. 47. As cláusulas contratuais serão interpretadas de maneira mais favorável ao consumidor.

Art. 48. As declarações de vontade constantes de escritos particulares, recibos e pré-contratos relativos às relações de consumo vinculam o fornecedor, ensejando inclusive execução específica, nos termos do art. 84 e parágrafos.

Art. 49. O consumidor pode desistir do contrato, no prazo de 7 dias a contar de sua assinatura ou do ato de recebimento do produto ou serviço, sempre que a contratação de fornecimento de produtos e serviços ocorrer fora do estabelecimento comercial, especialmente por telefone ou a domicílio.

Parágrafo único. Se o consumidor exercitar o direito de arrependimento previsto neste artigo, os valores eventualmente pagos, a qualquer título, durante o prazo de reflexão, serão devolvidos, de imediato, monetariamente atualizados.

Art. 50. A garantia contratual é complementar à legal e será conferida mediante termo escrito.

Parágrafo único. O termo de garantia ou equivalente deve ser padronizado e esclarecer, de maneira adequada em que consiste a mesma garantia, bem como a forma, o prazo e o lugar em que pode ser exercitada e os ônus a cargo do consumidor, devendo ser-lhe entregue, devidamente preenchido pelo fornecedor, no ato do fornecimento, acompanhado de manual de instrução, de instalação e uso do produto em linguagem didática, com ilustrações.

SEÇÃO II
Das Cláusulas Abusivas

Art. 51. São nulas de pleno direito, entre outras, as cláusulas contratuais relativas ao fornecimento de produtos e serviços que:

I – impossibilitem, exonerem ou atenuem a responsabilidade do fornecedor por vícios de qualquer natureza dos produtos e serviços ou impliquem renúncia ou disposição de direitos. Nas relações de consumo entre o fornecedor e o consumidor pessoa jurídica, a indenização poderá ser limitada, em situações justificáveis;

II – subtraiam ao consumidor a opção de reembolso da quantia já paga, nos casos previstos neste código;

III – transfiram responsabilidades a terceiros;

IV – estabeleçam obrigações consideradas iníquas, abusivas, que coloquem o consumidor em desvantagem exagerada, ou sejam incompatíveis com a boa-fé ou a eqüidade;

V – (Vetado);

VI – estabeleçam inversão do ônus da prova em prejuízo do consumidor;

VII – determinem a utilização compulsória de arbitragem;

VIII – imponham representante para concluir ou realizar outro negócio jurídico pelo consumidor;

IX – deixem ao fornecedor a opção de concluir ou não o contrato, embora obrigando o consumidor;

X – permitam ao fornecedor, direta ou indiretamente, variação do preço de maneira unilateral;

XI – autorizem o fornecedor a cancelar o contrato unilateralmente, sem que igual direito seja conferido ao consumidor;

XII – obriguem o consumidor a ressarcir os custos de cobrança de sua obrigação, sem que igual direito lhe seja conferido contra o fornecedor;

XIII – autorizem o fornecedor a modificar unilateralmente o conteúdo ou a qualidade do contrato, após sua celebração;

XIV – infrinjam ou possibilitem a violação de normas ambientais;

XV – estejam em desacordo com o sistema de proteção ao consumidor;

XVI – possibilitem a renúncia do direito de indenização por benfeitorias necessárias.

§ 1º Presume-se exagerada, entre outros casos, a vontade que:

I – ofende os princípios fundamentais do sistema jurídico a que pertence;

II – restringe direitos ou obrigações fundamentais inerentes à natureza do contrato, de tal modo a ameaçar seu objeto ou equilíbrio contratual;

III – se mostra excessivamente onerosa para o consumidor, considerando-se a natureza e conteúdo do contrato, o interesse das partes e outras circunstâncias peculiares ao caso.

§ 2° A nulidade de uma cláusula contratual abusiva não invalida o contrato, exceto quando de sua ausência, apesar dos esforços de integração, decorrer ônus excessivo a qualquer das partes.

§ 3° (Vetado).

§ 4° É facultado a qualquer consumidor ou entidade que o represente requerer ao Ministério Público que ajuíze a competente ação para ser declarada a nulidade de cláusula contratual que contrarie o disposto neste código ou de qualquer forma não assegure o justo equilíbrio entre direitos e obrigações das partes.

Art. 52. No fornecimento de produtos ou serviços que envolva outorga de crédito ou concessão de financiamento ao consumidor, o fornecedor deverá, entre outros requisitos, informá-lo prévia e adequadamente sobre:

I – preço do produto ou serviço em moeda corrente nacional;

II – montante dos juros de mora e da taxa efetiva anual de juros;

III – acréscimos legalmente previstos;

IV – número e periodicidade das prestações;

V – soma total a pagar, com e sem financiamento.

§ 1° As multas de mora decorrentes do inadimplemento de obrigações no seu termo não poderão ser superiores a dois por cento do valor da prestação.(Redação dada pela Lei nº 9.298, de 1º.8.1996)

§ 2º É assegurado ao consumidor a liquidação antecipada do débito, total ou parcialmente, mediante redução proporcional dos juros e demais acréscimos.

§ 3º (Vetado).

Art. 53. Nos contratos de compra e venda de móveis ou imóveis mediante pagamento em prestações, bem como nas alienações fiduciárias em garantia, consideram-se nulas de pleno direito as cláusulas que estabeleçam a perda total das prestações pagas em benefício do credor que, em razão do inadimplemento, pleitear a resolução do contrato e a retomada do produto alienado.

§ 1° (Vetado).

§ 2º Nos contratos do sistema de consórcio de produtos duráveis, a compensação ou a restituição das parcelas quitadas, na forma deste artigo, terá descontada, além da vantagem econômica auferida com a fruição, os prejuízos que o desistente ou inadimplente causar ao grupo.

§ 3° Os contratos de que trata o caput deste artigo serão expressos em moeda corrente nacional.
SEÇÃO III
Dos Contratos de Adesão

Art. 54. Contrato de adesão é aquele cujas cláusulas tenham sido aprovadas pela autoridade competente ou estabelecidas unilateralmente pelo fornecedor de produtos ou serviços, sem que o consumidor possa discutir ou modificar substancialmente seu conteúdo.

§ 1° A inserção de cláusula no formulário não desfigura a natureza de adesão do contrato.

§ 2° Nos contratos de adesão admite-se cláusula resolutória, desde que a alternativa, cabendo a escolha ao consumidor, ressalvando-se o disposto no § 2° do artigo anterior.

§ 3° Os contratos de adesão escritos serão redigidos em termos claros e com caracteres ostensivos e legíveis, cujo tamanho da fonte não será inferior ao corpo doze, de modo a facilitar sua compreensão pelo consumidor. (Redação dada pela nº 11.785, de 2008)

§ 4° As cláusulas que implicarem limitação de direito do consumidor deverão ser redigidas com destaque, permitindo sua imediata e fácil compreensão.

§ 5° (Vetado)

CAPÍTULO VII – Das Sanções Administrativas

Art. 55. A União, os Estados e o Distrito Federal, em caráter concorrente e nas suas respectivas áreas de atuação administrativa, baixarão normas relativas à produção, industrialização, distribuição e consumo de produtos e serviços.

§ 1° A União, os Estados, o Distrito Federal e os Municípios fiscalizarão e controlarão a produção, industrialização, distribuição, a publicidade de produtos e serviços e o mercado de consumo, no interesse da preservação da vida, da saúde, da segurança, da informação e do bem-estar do consumidor, baixando as normas que se fizerem necessárias.

§ 2° (Vetado).

§ 3° Os órgãos federais, estaduais, do Distrito Federal e municipais com atribuições para fiscalizar e controlar o mercado de consumo manterão comissões permanentes para elaboração, revisão e atualização das normas referidas no § 1°, sendo obrigatória a participação dos consumidores e fornecedores.

§ 4° Os órgãos oficiais poderão expedir notificações aos fornecedores para que, sob pena de desobediência, prestem informações sobre questões de interesse do consumidor, resguardado o segredo industrial.

Art. 56. As infrações das normas de defesa do consumidor ficam sujeitas, conforme o caso, às seguintes sanções administrativas, sem prejuízo das de natureza civil, penal e das definidas em normas específicas:

I – multa;

II – apreensão do produto;

III – inutilização do produto;

IV – cassação do registro do produto junto ao órgão competente;

V – proibição de fabricação do produto;

VI – suspensão de fornecimento de produtos ou serviço;

VII – suspensão temporária de atividade;

VIII – revogação de concessão ou permissão de uso;

IX – cassação de licença do estabelecimento ou de atividade;

X – interdição, total ou parcial, de estabelecimento, de obra ou de atividade;

XI – intervenção administrativa;

XII – imposição de contrapropaganda.

Parágrafo único. As sanções previstas neste artigo serão aplicadas pela autoridade administrativa, no âmbito de sua atribuição, podendo ser aplicadas cumulativamente, inclusive por medida cautelar, antecedente ou incidente de procedimento administrativo.

Art. 57. A pena de multa, graduada de acordo com a gravidade da infração, a vantagem auferida e a condição econômica do fornecedor, será aplicada mediante procedimento administrativo, revertendo para o Fundo de que trata a Lei nº 7.347, de 24 de julho de 1985, os valores cabíveis à União, ou para os Fundos estaduais ou municipais de proteção ao consumidor nos demais casos. (Redação dada pela Lei nº 8.656, de 21.5.1993)

Parágrafo único. A multa será em montante não inferior a duzentas e não superior a três milhões de vezes o valor da Unidade Fiscal de Referência (Ufir), ou índice equivalente que venha a substituí-lo. (Parágrafo acrescentado pela Lei nº 8.703, de 6.9.1993)

Art. 58. As penas de apreensão, de inutilização de produtos, de proibição de fabricação de produtos, de suspensão do fornecimento de produto ou serviço, de cassação do registro do produto e revogação da concessão ou permissão de uso serão aplicadas pela administração, mediante procedimento administrativo, assegurada ampla defesa, quando forem constatados vícios de quantidade ou de qualidade por inadequação ou insegurança do produto ou serviço.

Art. 59. As penas de cassação de alvará de licença, de interdição e de suspensão temporária da atividade, bem como a de intervenção administrativa, serão aplicadas mediante procedimento administrativo, assegurada ampla defesa, quando o fornecedor reincidir na prática das infrações de maior gravidade previstas neste código e na legislação de consumo.

§ 1° A pena de cassação da concessão será aplicada à concessionária de serviço público, quando violar obrigação legal ou contratual.

§ 2° A pena de intervenção administrativa será aplicada sempre que as circunstâncias de fato desaconselharem a cassação de licença, a interdição ou suspensão da atividade.

§ 3° Pendendo ação judicial na qual se discuta a imposição de penalidade administrativa, não haverá reincidência até o trânsito em julgado da sentença.

Art. 60. A imposição de contrapropaganda será cominada quando o fornecedor incorrer na prática de publicidade enganosa ou abusiva, nos termos do art. 36 e seus parágrafos, sempre às expensas do infrator.

§ 1º A contrapropaganda será divulgada pelo responsável da mesma forma, freqüência e dimensão e, preferencialmente no mesmo veículo, local, espaço e horário, de forma capaz de desfazer o malefício da publicidade enganosa ou abusiva.

§ 2° (Vetado)

§ 3° (Vetado).
TÍTULO II
Das Infrações Penais

Art. 61. Constituem crimes contra as relações de consumo previstas neste código, sem prejuízo do disposto no Código Penal e leis especiais, as condutas tipificadas nos artigos seguintes.

Art. 62. (Vetado).

Art. 63. Omitir dizeres ou sinais ostensivos sobre a nocividade ou periculosidade de produtos, nas embalagens, nos invólucros, recipientes ou publicidade:

Pena – Detenção de seis meses a dois anos e multa.

§ 1° Incorrerá nas mesmas penas quem deixar de alertar, mediante recomendações escritas ostensivas, sobre a periculosidade do serviço a ser prestado.

§ 2° Se o crime é culposo:

Pena Detenção de um a seis meses ou multa.

Art. 64. Deixar de comunicar à autoridade competente e aos consumidores a nocividade ou periculosidade de produtos cujo conhecimento seja posterior à sua colocação no mercado:

Pena – Detenção de seis meses a dois anos e multa.

Parágrafo único. Incorrerá nas mesmas penas quem deixar de retirar do mercado, imediatamente quando determinado pela autoridade competente, os produtos nocivos ou perigosos, na forma deste artigo.

Art. 65. Executar serviço de alto grau de periculosidade, contrariando determinação de autoridade competente:

Pena Detenção de seis meses a dois anos e multa.

Parágrafo único. As penas deste artigo são aplicáveis sem prejuízo das correspondentes à lesão corporal e à morte.

Art. 66. Fazer afirmação falsa ou enganosa, ou omitir informação relevante sobre a natureza, característica, qualidade, quantidade, segurança, desempenho, durabilidade, preço ou garantia de produtos ou serviços:

Pena – Detenção de três meses a um ano e multa.

§ 1º Incorrerá nas mesmas penas quem patrocinar a oferta.

§ 2º Se o crime é culposo;

Pena Detenção de um a seis meses ou multa.

Art. 67. Fazer ou promover publicidade que sabe ou deveria saber ser enganosa ou abusiva:

Pena Detenção de três meses a um ano e multa.

Parágrafo único. (Vetado).

Art. 68. Fazer ou promover publicidade que sabe ou deveria saber ser capaz de induzir o consumidor a se comportar de forma prejudicial ou perigosa a sua saúde ou segurança:

Pena – Detenção de seis meses a dois anos e multa:

Parágrafo único. (Vetado).

Art. 69. Deixar de organizar dados fáticos, técnicos e científicos que dão base à publicidade:

Pena Detenção de um a seis meses ou multa.

Art. 70. Empregar na reparação de produtos, peça ou componentes de reposição usados, sem autorização do consumidor:

Pena Detenção de três meses a um ano e multa.

Art. 71. Utilizar, na cobrança de dívidas, de ameaça, coação, constrangimento físico ou moral, afirmações falsas incorretas ou enganosas ou de qualquer outro procedimento que exponha o consumidor, injustificadamente, a ridículo ou interfira com seu trabalho, descanso ou lazer:

Pena Detenção de três meses a um ano e multa.

Art. 72. Impedir ou dificultar o acesso do consumidor às informações que sobre ele constem em cadastros, banco de dados, fichas e registros:

Pena Detenção de seis meses a um ano ou multa.

Art. 73. Deixar de corrigir imediatamente informação sobre consumidor constante de cadastro, banco de dados, fichas ou registros que sabe ou deveria saber ser inexata:

Pena Detenção de um a seis meses ou multa.

Art. 74. Deixar de entregar ao consumidor o termo de garantia adequadamente preenchido e com especificação clara de seu conteúdo;

Pena Detenção de um a seis meses ou multa.

Art. 75. Quem, de qualquer forma, concorrer para os crimes referidos neste código, incide as penas a esses cominadas na medida de sua culpabilidade, bem como o diretor, administrador ou gerente da pessoa jurídica que promover, permitir ou por qualquer modo aprovar o fornecimento, oferta, exposição à venda ou manutenção em depósito de produtos ou a oferta e prestação de serviços nas condições por ele proibidas.

Art. 76. São circunstâncias agravantes dos crimes tipificados neste código:

I – serem cometidos em época de grave crise econômica ou por ocasião de calamidade;

II – ocasionarem grave dano individual ou coletivo;

III – dissimular-se a natureza ilícita do procedimento;

IV – quando cometidos:

a) por servidor público, ou por pessoa cuja condição econômico-social seja manifestamente superior à da vítima;

b) em detrimento de operário ou rurícola; de menor de dezoito ou maior de sessenta anos ou de pessoas portadoras de deficiência mental interditadas ou não;

V – serem praticados em operações que envolvam alimentos, medicamentos ou quaisquer outros produtos ou serviços essenciais .

Art. 77. A pena pecuniária prevista nesta Seção será fixada em dias-multa, correspondente ao mínimo e ao máximo de dias de duração da pena privativa da liberdade cominada ao crime. Na individualização desta multa, o juiz observará o disposto no art. 60, §1° do Código Penal.

Art. 78. Além das penas privativas de liberdade e de multa, podem ser impostas, cumulativa ou alternadamente, observado odisposto nos arts. 44 a 47, do Código Penal:

I – a interdição temporária de direitos;

II – a publicação em órgãos de comunicação de grande circulação ou audiência, às expensas do condenado, de notícia sobre os fatos e a condenação;

III – a prestação de serviços à comunidade.

Art. 79. O valor da fiança, nas infrações de que trata este código, será fixado pelo juiz, ou pela autoridade que presidir o inquérito, entre cem e duzentas mil vezes o valor do Bônus do Tesouro Nacional (BTN), ou índice equivalente que venha a substituí-lo.

Parágrafo único. Se assim recomendar a situação econômica do indiciado ou réu, a fiança poderá ser:

a) reduzida até a metade do seu valor mínimo;

b) aumentada pelo juiz até vinte vezes.

Art. 80. No processo penal atinente aos crimes previstos neste código, bem como a outros crimes e contravenções que envolvam relações de consumo, poderão intervir, como assistentes do Ministério Público, os legitimados indicados no art. 82, inciso III e IV, aos quais também é facultado propor ação penal subsidiária, se a denúncia não for oferecida no prazo legal.

TÍTULO III
Da Defesa do Consumidor em Juízo

CAPÍTULO I
Disposições Gerais

Art. 81. A defesa dos interesses e direitos dos consumidores e das vítimas poderá ser exercida em juízo individualmente, ou a título coletivo.

Parágrafo único. A defesa coletiva será exercida quando se tratar de:

I – interesses ou direitos difusos, assim entendidos, para efeitos deste código, os transindividuais, de natureza indivisível, de que sejam titulares pessoas indeterminadas e ligadas por circunstâncias de fato;

II – interesses ou direitos coletivos, assim entendidos, para efeitos deste código, os transindividuais, de natureza indivisível de que seja titular grupo, categoria ou classe de pessoas ligadas entre si ou com a parte contrária por uma relação jurídica base;

III – interesses ou direitos individuais homogêneos, assim entendidos os decorrentes de origem comum.

Art. 82. Para os fins do art. 81, parágrafo único, são legitimados concorrentemente: (Redação dada pela Lei nº 9.008, de 21.3.1995)

I – o Ministério Público,

II – a União, os Estados, os Municípios e o Distrito Federal;

III – as entidades e órgãos da Administração Pública, direta ou indireta, ainda que sem personalidade jurídica, especificamente destinados à defesa dos interesses e direitos protegidos por este código;

IV – as associações legalmente constituídas há pelo menos um ano e que incluam entre seus fins institucionais a defesa dos interesses e direitos protegidos por este código, dispensada a autorização assemblear.

§ 1° O requisito da pré-constituição pode ser dispensado pelo juiz, nas ações previstas nos arts. 91 e seguintes, quando haja manifesto interesse social evidenciado pela dimensão ou característica do dano, ou pela relevância do bem jurídico a ser protegido.

§ 2° (Vetado).

§ 3° (Vetado).

Art. 83. Para a defesa dos direitos e interesses protegidos por este código são admissíveis todas as espécies de ações capazes de propiciar sua adequada e efetiva tutela.

Parágrafo único. (Vetado).

Art. 84. Na ação que tenha por objeto o cumprimento da obrigação de fazer ou não fazer, o juiz concederá a tutela específica da obrigação ou determinará providências que assegurem o resultado prático equivalente ao do adimplemento.

§ 1° A conversão da obrigação em perdas e danos somente será admissível se por elas optar o autor ou se impossível a tutela específica ou a obtenção do resultado prático correspondente.

§ 2° A indenização por perdas e danos se fará sem prejuízo da multa (art. 287, do Código de Processo Civil).

§ 3° Sendo relevante o fundamento da demanda e havendo justificado receio de ineficácia do provimento final, é lícito ao juiz conceder a tutela liminarmente ou após justificação prévia, citado o réu.

§ 4° O juiz poderá, na hipótese do § 3° ou na sentença, impor multa diária ao réu, independentemente de pedido do autor, se for suficiente ou compatível com a obrigação, fixando prazo razoável para o cumprimento do preceito.

§ 5° Para a tutela específica ou para a obtenção do resultado prático equivalente, poderá o juiz determinar as medidas necessárias, tais como busca e apreensão, remoção de coisas e pessoas, desfazimento de obra, impedimento de atividade nociva, além de requisição de força policial.

Art. 85. (Vetado).

Art. 86. (Vetado).

Art. 87. Nas ações coletivas de que trata este código não haverá adiantamento de custas, emolumentos, honorários periciais e quaisquer outras despesas, nem condenação da associação autora, salvo comprovada má-fé, em honorários de advogados, custas e despesas processuais.

Parágrafo único. Em caso de litigância de má-fé, a associação autora e os diretores responsáveis pela propositura da ação serão solidariamente condenados em honorários advocatícios e ao décuplo das custas, sem prejuízo da responsabilidade por perdas e danos.

Art. 88. Na hipótese do art. 13, parágrafo único deste código, a ação de regresso poderá ser ajuizada em processo autônomo, facultada a possibilidade de prosseguir-se nos mesmos autos, vedada a denunciação da lide.

Art. 89. (Vetado)

Art. 90. Aplicam-se às ações previstas neste título as normas do Código de Processo Civil e da Lei n° 7.347, de 24 de julho de 1985, inclusive no que respeita ao inquérito civil, naquilo que não contrariar suas disposições.

CAPÍTULO II
Das Ações Coletivas Para a Defesa de Interesses Individuais Homogêneos

Art. 91. Os legitimados de que trata o art. 82 poderão propor, em nome próprio e no interesse das vítimas ou seus sucessores, ação civil coletiva de responsabilidade pelos danos individualmente sofridos, de acordo com o disposto nos artigos seguintes. (Redação dada pela Lei nº 9.008, de 21.3.1995)

Art. 92. O Ministério Público, se não ajuizar a ação, atuará sempre como fiscal da lei.

Parágrafo único. (Vetado).

Art. 93. Ressalvada a competência da Justiça Federal, é competente para a causa a justiça local:

I – no foro do lugar onde ocorreu ou deva ocorrer o dano, quando de âmbito local;

II – no foro da Capital do Estado ou no do Distrito Federal, para os danos de âmbito nacional ou regional, aplicando-se as regras do Código de Processo Civil aos casos de competência concorrente.

Art. 94. Proposta a ação, será publicado edital no órgão oficial, a fim de que os interessados possam intervir no processo como litisconsortes, sem prejuízo de ampla divulgação pelos meios de comunicação social por parte dos órgãos de defesa do consumidor.

Art. 95. Em caso de procedência do pedido, a condenação será genérica, fixando a responsabilidade do réu pelos danos causados.

Art. 96. (Vetado).

Art. 97. A liquidação e a execução de sentença poderão ser promovidas pela vítima e seus sucessores, assim como pelos legitimados de que trata o art. 82.

Parágrafo único. (Vetado).

Art. 98. A execução poderá ser coletiva, sendo promovida pelos legitimados de que trata o art. 82, abrangendo as vítimas cujas indenizações já tiveram sido fixadas em sentença de liquidação, sem prejuízo do ajuizamento de outras execuções. (Redação dada pela Lei nº 9.008, de 21.3.1995)

§ 1° A execução coletiva far-se-á com base em certidão das sentenças de liquidação, da qual deverá constar a ocorrência ou não do trânsito em julgado.

§ 2° É competente para a execução o juízo:

I – da liquidação da sentença ou da ação condenatória, no caso de execução individual;

II – da ação condenatória, quando coletiva a execução.

Art. 99. Em caso de concurso de créditos decorrentes de condenação prevista na Lei n.° 7.347, de 24 de julho de 1985 e de indenizações pelos prejuízos individuais resultantes do mesmo evento danoso, estas terão preferência no pagamento.

Parágrafo único. Para efeito do disposto neste artigo, a destinação da importância recolhida ao fundo criado pela Lei n°7.347 de 24 de julho de 1985, ficará sustada enquanto pendentes de decisão de segundo grau as ações de indenização pelos danos individuais, salvo na hipótese de o patrimônio do devedor ser manifestamente suficiente para responder pela integralidade das dívidas.

Art. 100. Decorrido o prazo de um ano sem habilitação de interessados em número compatível com a gravidade do dano, poderão os legitimados do art. 82 promover a liquidação e execução da indenização devida.

Parágrafo único. O produto da indenização devida reverterá para o fundo criado pela Lei n.° 7.347, de 24 de julho de 1985.
CAPÍTULO III
Das Ações de Responsabilidade do Fornecedor de Produtos e Serviços

Art. 101. Na ação de responsabilidade civil do fornecedor de produtos e serviços, sem prejuízo do disposto nos Capítulos I e II deste título, serão observadas as seguintes normas:

I – a ação pode ser proposta no domicílio do autor;

II – o réu que houver contratado seguro de responsabilidade poderá chamar ao processo o segurador, vedada a integração do contraditório pelo Instituto de Resseguros do Brasil. Nesta hipótese, a sentença que julgar procedente o pedido condenará o réu nos termos do art. 80 do Código de Processo Civil. Se o réu houver sido declarado falido, o síndico será intimado a informar a existência de seguro de responsabilidade, facultando-se, em caso afirmativo, o ajuizamento de ação de indenização diretamente contra o segurador, vedada a denunciação da lide ao Instituto de Resseguros do Brasil e dispensado o litisconsórcio obrigatório com este.

Art. 102. Os legitimados a agir na forma deste código poderão propor ação visando compelir o Poder Público competente a proibir, em todo o território nacional, a produção, divulgação distribuição ou venda, ou a determinar a alteração na composição, estrutura, fórmula ou acondicionamento de produto, cujo uso ou consumo regular se revele nocivo ou perigoso à saúde pública e à incolumidade pessoal.

§ 1° (Vetado).

§ 2° (Vetado).
CAPÍTULO IV
Da Coisa Julgada

Art. 103. Nas ações coletivas de que trata este código, a sentença fará coisa julgada:

I – erga omnes, exceto se o pedido for julgado improcedente por insuficiência de provas, hipótese em que qualquer legitimado poderá intentar outra ação, com idêntico fundamento valendo-se de nova prova, na hipótese do inciso I do parágrafo único do art. 81;

II – ultra partes, mas limitadamente ao grupo, categoria ou classe, salvo improcedência por insuficiência de provas, nos termos do inciso anterior, quando se tratar da hipótese prevista no inciso II do parágrafo único do art. 81;

III – erga omnes, apenas no caso de procedência do pedido, para beneficiar todas as vítimas e seus sucessores, na hipótese do inciso III do parágrafo único do art. 81.

§ 1° Os efeitos da coisa julgada previstos nos incisos I e II não prejudicarão interesses e direitos individuais dos integrantes da coletividade, do grupo, categoria ou classe.

§ 2° Na hipótese prevista no inciso III, em caso de improcedência do pedido, os interessados que não tiverem intervindo no processo como litisconsortes poderão propor ação de indenização a título individual.

§ 3° Os efeitos da coisa julgada de que cuida o art. 16, combinado com o art. 13 da Lei n° 7.347, de 24 de julho de 1985, não prejudicarão as ações de indenização por danos pessoalmente sofridos, propostas individualmente ou na forma prevista neste código, mas, se procedente o pedido, beneficiarão as vítimas e seus sucessores, que poderão proceder à liquidação e à execução, nos termos dos arts. 96 a 99.

§ 4º Aplica-se o disposto no parágrafo anterior à sentença penal condenatória.

Art. 104. As ações coletivas, previstas nos incisos I e II e do parágrafo único do art. 81, não induzem litispendência para as ações individuais, mas os efeitos da coisa julgada erga omnes ou ultra partes a que aludem os incisos II e III do artigo anterior não beneficiarão os autores das ações individuais, se não for requerida sua suspensão no prazo de trinta dias, a contar da ciência nos autos do ajuizamento da ação coletiva.

TÍTULO IV
Do Sistema Nacional de Defesa do Consumidor

Art. 105. Integram o Sistema Nacional de Defesa do Consumidor (SNDC), os órgãos federais, estaduais, do Distrito Federal e municipais e as entidades privadas de defesa do consumidor.

Art. 106. O Departamento Nacional de Defesa do Consumidor, da Secretaria Nacional de Direito Econômico (MJ), ou órgão federal que venha substituí-lo, é organismo de coordenação da política do Sistema Nacional de Defesa do Consumidor, cabendo-lhe:

I – planejar, elaborar, propor, coordenar e executar a política nacional de proteção ao consumidor;

II – receber, analisar, avaliar e encaminhar consultas, denúncias ou sugestões apresentadas por entidades representativas ou pessoas jurídicas de direito público ou privado;

III – prestar aos consumidores orientação permanente sobre seus direitos e garantias;

IV – informar, conscientizar e motivar o consumidor através dos diferentes meios de comunicação;

V – solicitar à polícia judiciária a instauração de inquérito policial para a apreciação de delito contra os consumidores, nos termos da legislação vigente;

VI – representar ao Ministério Público competente para fins de adoção de medidas processuais no âmbito de suas atribuições;

VII – levar ao conhecimento dos órgãos competentes as infrações de ordem administrativa que violarem os interesses difusos, coletivos, ou individuais dos consumidores;

VIII – solicitar o concurso de órgãos e entidades da União, Estados, do Distrito Federal e Municípios, bem como auxiliar a fiscalização de preços, abastecimento, quantidade e segurança de bens e serviços;

IX – incentivar, inclusive com recursos financeiros e outros programas especiais, a formação de entidades de defesa do consumidor pela população e pelos órgãos públicos estaduais e municipais;

X – (Vetado).

XI – (Vetado).

XII – (Vetado)

XIII – desenvolver outras atividades compatíveis com suas finalidades.

Parágrafo único. Para a consecução de seus objetivos, o Departamento Nacional de Defesa do Consumidor poderá solicitar o concurso de órgãos e entidades de notória especialização técnico-científica.

TÍTULO V
Da Convenção Coletiva de Consumo

Art. 107. As entidades civis de consumidores e as associações de fornecedores ou sindicatos de categoria econômica podem regular, por convenção escrita, relações de consumo que tenham por objeto estabelecer condições relativas ao preço, à qualidade, à quantidade, à garantia e características de produtos e serviços, bem como à reclamação e composição do conflito de consumo.

§ 1° A convenção tornar-se-á obrigatória a partir do registro do instrumento no cartório de títulos e documentos.

§ 2° A convenção somente obrigará os filiados às entidades signatárias.

§ 3° Não se exime de cumprir a convenção o fornecedor que se desligar da entidade em data posterior ao registro do instrumento.

Art. 108. (Vetado).

TÍTULO VI
Disposições Finais

Art. 109. (Vetado).

Art. 110. Acrescente-se o seguinte inciso IV ao art. 1° da Lei n° 7.347, de 24 de julho de 1985:

“IV – a qualquer outro interesse difuso ou coletivo”.

Art. 111. O inciso II do art. 5° da Lei n° 7.347, de 24 de julho de 1985, passa a ter a seguinte redação:

“II – inclua, entre suas finalidades institucionais, a proteção ao meio ambiente, ao consumidor, ao patrimônio artístico, estético, histórico, turístico e paisagístico, ou a qualquer outro interesse difuso ou coletivo”.

Art. 112. O § 3° do art. 5° da Lei n° 7.347, de 24 de julho de 1985, passa a ter a seguinte redação:

“§ 3° Em caso de desistência infundada ou abandono da ação por associação legitimada, o Ministério Público ou outro legitimado assumirá a titularidade ativa”.

Art. 113. Acrescente-se os seguintes §§ 4°, 5° e 6° ao art. 5º. da Lei n.° 7.347, de 24 de julho de 1985:

“§ 4.° O requisito da pré-constituição poderá ser dispensado pelo juiz, quando haja manifesto interesse social evidenciado pela dimensão ou característica do dano, ou pela relevância do bem jurídico a ser protegido.

§ 5.° Admitir-se-á o litisconsórcio facultativo entre os Ministérios Públicos da União, do Distrito Federal e dos Estados na defesa dos interesses e direitos de que cuida esta lei. (Vide Mensagem de veto) (Vide REsp 222582 /MG – STJ)

§ 6° Os órgãos públicos legitimados poderão tomar dos interessados compromisso de ajustamento de sua conduta às exigências legais, mediante combinações, que terá eficácia de título executivo extrajudicial”. (Vide Mensagem de veto) (Vide REsp 222582 /MG – STJ)

Art. 114. O art. 15 da Lei n° 7.347, de 24 de julho de 1985, passa a ter a seguinte redação:

“Art. 15. Decorridos sessenta dias do trânsito em julgado da sentença condenatória, sem que a associação autora lhe promova a execução, deverá fazê-lo o Ministério Público, facultada igual iniciativa aos demais legitimados”.

Art. 115. Suprima-se o caput do art. 17 da Lei n° 7.347, de 24 de julho de 1985, passando o parágrafo único a constituir o caput, com a seguinte redação:

“Art. 17. “Art. 17. Em caso de litigância de má-fé, a associação autora e os diretores responsáveis pela propositura da ação serão solidariamente condenados em honorários advocatícios e ao décuplo das custas, sem prejuízo da responsabilidade por perdas e danos”.

Art. 116. Dê-se a seguinte redação ao art. 18 da Lei n° 7.347, de 24 de julho de 1985:

“Art. 18. Nas ações de que trata esta lei, não haverá adiantamento de custas, emolumentos, honorários periciais e quaisquer outras despesas, nem condenação da associação autora, salvo comprovada má-fé, em honorários de advogado, custas e despesas processuais”.

Art. 117. Acrescente-se à Lei n° 7.347, de 24 de julho de 1985, o seguinte dispositivo, renumerando-se os seguintes:

“Art. 21. Aplicam-se à defesa dos direitos e interesses difusos, coletivos e individuais, no que for cabível, os dispositivos do Título III da lei que instituiu o Código de Defesa do Consumidor”.

Art. 118. Este código entrará em vigor dentro de cento e oitenta dias a contar de sua publicação.

Art. 119. Revogam-se as disposições em contrário.

Brasília, 11 de setembro de 1990; 169° da Independência e 102° da República.

FERNANDO COLLOR
Bernardo Cabral
Zélia M. Cardoso de Mello
Ozires Silva

O código de defesa do consumidor é um excelente aliado do consumidor e foi uma revolução desde a data de sua criação melhorando a relação de consumo, estabelecendo limites e obrigando as partes a se respeitarem.

Você sabia que o Portal Consignados é especialista em empréstimo consignado?
Com mais de 17 anos no Mercado de Empréstimo Consignado e com uma equipe treinada para lhe auxiliar na melhor decisão, no entanto o Portal Consignados trabalha em parceria com diversos bancos para lhe oferecer sempre o melhor negócio.

Simulação de Empréstimo Consignado BMG

Se você fez apenas uma simulação de empréstimo, o tempo médio de resposta é de 5 a 15 minutos aqui pelo site www.consignados.com.br, Portanto, como correspondentes autorizados do Banco BMG, possuímos uma equipe de analistas que estão de prontidão para analisar sua capacidade de crédito.

Ademais, no setor de crédito consignado, chamamos esta pesquisa de consulta de margem. Cada convenio tem uma forma de consulta. Alguns são manuais, outros via sistema.

Contudo, independentemente se é consulta manual ou via sistema, dependemos de fatores externos para realizar sua consulta de margem. No entanto, pedimos sua compreensão em aguardar de 5 a 15 minutos.

Podemos Simular em vários Bancos

O portal consignados tem como objetivo principal ajudar seus clientes e usuários do site a buscar linhas de crédito mais baratas, com agilidade e segurança, por este motivo recomendamos o banco BMG contudo temos diversas opções para você.

Se você já fez uma simulação em outro local e teve algum problema, talves seria bacana continuar lendo nosso artigo, nele temos algumas dúvidas que estaremos respondendo logo aqui, caso tenha outras dúvidas, basta comentar este artigo que nosso time de consultores estarão a postos para lhe ajudar.

O que pode reprovar minha consulta?

Contudo, alguns casos onde o regime de contratação seja temporário, engajado, CLT ou benefícios de caráter especial como amparos e auxílios não são permitidos. Outro fator que possa reprovar sua solicitação é o fator idade.

Ademais, se o solicitante estiver acima dos 81 anos e 11 meses, não conseguimos atender a sua simulação. Contudo, um fator muito comum que acaba inviabilizando sua solicitação é quando existe uma representação legal, guarda ou incapacidade intelectual.

Ademais, nesses casos onde não existe a possibilidade de compreensão das cláusulas de um contrato de empréstimo consignado, ou a desqualificação civil também pode ser negado seu empréstimo.

Se não haver margem acabou minhas possibilidades?

Existem possibilidades sim! Como correspondentes autorizados do Banco BMG, podemos fazer uma simulação de refinanciamento de seus contratos de empréstimo consignado.

Fale Agora mesmo conosco

Para maiores informações sobre o assunto, entre em contato em nossa central de atendimento (11) 2626-6000. Contudo, poderá acessar o site do Banco BMG.

Nossa equipe está preparada para fazer sua simulação de empréstimo consignado com você na linha, lhe prestando todo o suporte, orientação e tirando suas dúvidas sobre seus contratos de empréstimo consignado.

Todos os nossos consultores são certificados pela ANEPS e estão aptos para fazer uma simulação para você.

Simulação com o Portal Consignados?

Com mais de 17 anos no Mercado de Empréstimo Consignado e com uma equipe treinada para lhe auxiliar na melhor decisão, no entanto o Portal Consignados trabalha em parceria com diversos bancos para lhe oferecer sempre o melhor negócio.

Recebo Salário Mínimo – Consigo empréstimo consignado?

Se você recebe um salário mínimo e está preocupado se pode ou não fazer um empréstimo consignado, fique tranquilo porque você pode sim fazer seu empréstimo consignado.

O fato de você receber um salário mínimo ou mais não influencia no seu empréstimo. Contudo, existem outras questões as quais iremos tratar que são determinantes para você contratar seu empréstimo. No entanto, poderemos destacar as principais:

  • Margem Consignável
  • Convênio
  • Regime de Contratação ou tipo de benefício
  • Idade

Lembrando que na lei 10.820 que regulamenta o empréstimo consignado, não existe nenhuma restrição para você que recebe um salário mínimo.

Margem Consignável

A margem consignável é o limite máximo da sua renda que você pode comprometer. Geralmente não pode ultrapassar a 30% da sua renda. Contudo, em alguns casos estar dividida em 20% para empréstimos e 10% para cartões de crédito.

Convênio

O Convênio é firmado entre a sua empresa, órgão ou entidade ao qual você está ligado e possui legislação vigente e aprovada para empréstimo consignado. Contudo, atualmente atendemos:

  • Aposentados e Pensionistas do INSS
  • Servidores Federais
  • Servidores Municipais da Prefeitura de São Paulo
  • Servidores Estaduais do Estado de São Paulo

Ademais, nos casos acima, podem realizar empréstimo consignado através do Portal Consignados independentemente se recebem ou não um salário mínimo.

Regime de Contratação ou tipo de benefício

Infelizmente, os servidores federais e Estaduais em regime de contratação CLT e Temporário não podem contratar empréstimo consignado. Ademais, os servidores municipais em regime de CLT, Temporário ou cargo de confiança também não podem!.

Já os beneficiários do INSS que recebem através de auxilio doença, amparo social também estão fora. No entanto, caso deseje maiores informações do seu convenio, clique nas páginas do produto conforme sua situação:

Idade

A idade é outro fator que pode atrapalhar sua liberação de empréstimo consignado. No entanto, fica como regra geral independente do convênio.

No entanto, devido a ser uma política de crédito adotada por 99% das instituições financeiras, a idade mínima de 21 anos e máxima de até 80 anos e 11 meses. Contudo, independe se você recebe um salário mínimo ou mais.

Salário Mínimo X Empréstimo Consignado

Apesar de não existir relação entre salário mínimo e empréstimo consignado, ou seja, basta atender aos requisitos acima citados e já se pode contratar.

É importante salientar que empréstimo consignado apesar de muito mais barato que qualquer operação de crédito ainda sim incide juros, e tomar cuidados antes de contratar é vital para evitar o super endividamento pessoal.

Os limites de margem são definidos pelo convênio como referência e evitar abusos e para ressalvar o próprio cliente.

Contudo, fazer uma reflexão sobre qual é a margem consignável ideal para você é uma boa saída para quem deseja fazer um empréstimo consignado.

Você sabia?

Com mais de 17 anos no Mercado de Empréstimo Consignado e com uma equipe treinada para lhe auxiliar na melhor decisão, no entanto o Portal Consignados trabalha em parceria com diversos bancos para lhe oferecer sempre o melhor negócio.

Juros de Empréstimo Consignado – Qual o Menor?

O juros de empréstimo consignado pode variar mais pouco. No entanto, atualmente a maioria das instituições financeiras tem aplicado taxas de juros bem parecidas. Ademais, a recomendação é procurar o melhor custo benefício.

Muitas vezes você pode ficar seduzido por juros de empréstimo consignado com diferenças de 0,02%, mas muito cuidado! O barato as vezes sai caro.

No entanto, alguns aspectos na hora de contratar deverão ser analisados antes do juros de empréstimo consignado. Ademais, vamos destacar os principais:

  • Acessibilidade
  • Instituição Financeira
  • Relacionamento
  • Juros de Empréstimo Consignado

Juros de empréstimo consignado

Quanto for menor os juros melhor, é uma regra super correta e uma boa prática, por isso recomendamos que sempre faça várias cotações e comparações entre diversas instituições Financeiras.

Contudo além da taxa de juros estaremos destacando alguns pontos importântes a serem levados em conta, o que poderá facilitar sua tomada de decisões.

Acessibilidade

Sempre procure um instituição financeira que você tenha acesso fácil. Contudo, lembre-se que terá um relacionamento a médio prazo. Muitas vezes necessitará de informações como saldo devedor, parcelas pagas e etc.

Ademais, lembre-se que o juros de empréstimo consignado poderão ser amortizados em uma quitação antecipada. Por isso, diferenças pequenas como atualmente existem, poderão ser muito significantes neste caso.

Instituição Financeira

Existe uma diferença muito grande entre Bancos, Financeiras, Seguradoras e grupos financeiros. Os bancos respondem para o CMN (Conselho Monetário Nacional), Banco Central entre outros.

Já, as Financeiras e seguradoras respondem apenas para o Banco Central, e Seguradoras e grupos financeiros nem isso, mas pode estar se perguntando o que muda então?

No entanto, quanto mais fiscalizada é a instituição, melhor será a prestação de serviço ao consumidor. Isso ocorre devido a uma série de exigência que devem ser atendidas para que o cliente tenha todos os seus direitos defendidos.

Um exemplo clássico disso é que só existe portabilidade entre bancos. Já em seguradoras e financeiras ou grupos financeiros, para transferir sua dívida, primeiramente deverá passar por uma maratona para conseguir um boleto de quitação.

Relacionamento

Relacionamento é outro aspecto muito importante na hora de fazer a escolha do seu banco para fazer um empréstimo consignado, Contudo, a proximidade com seu banco facilita bastante as coisas.

O relacionamento faz com que as escolhas sejam baseadas em confiança mútua e liberdade em expor suas opiniões de forma mais transparente, No entanto, muitos clientes do Portal Consignados têm essa liberdade de questionar se é viável ou não um empréstimo consignado.

Muitas vezes, os juros do empréstimo é levado em conta, mas operações como refinanciamento ou portabilidade devem ser cuidadosamente estudadas e ter confiança em quem lhe passa a informação é fundamental.

Variação de Juros podem ocorrer

Os juros de empréstimo consignado poderão variar de 1,9% a.m a 2,4% a.m, dependendo do prazo e instituição financeira. Contudo, calcular juros não é uma obrigação sua, mas explicar como o cálculo foi feito é uma obrigação da instituição financeira que lhe atendeu.

Atualmente, o Banco Central obriga as instituições financeiras ao celebrar o contrato apresentar o chamado “CET” Custo Efetivo Total. Neste campo, terá todas as informações de tarifas, total a prazo e juros de empréstimo consignado.

Caso você receba um contrato de empréstimo consignado sem estas informações, não assine.

Você sabia?

Com mais de 17 anos no Mercado de Empréstimo Consignado e com uma equipe treinada para lhe auxiliar na melhor decisão, no entanto o Portal Consignados trabalha em parceria com diversos bancos para lhe oferecer sempre o melhor negócio.

Como funciona um Refinanciamento de empréstimo?

O refinanciamento de empréstimo consignado é uma forma de você conseguir crédito sem a necessidade de adquirir mais uma parcela. Por exemplo:

Atualmente você tem um contrato junto ao banco BMG no valor de R$ 1.000,00 ao qual já pagou 10 (dez) parcelas. Contudo, a medida que você vai pagando seu empréstimo, o saldo devedor vai diminuindo.

Automaticamente, seu limite para empréstimo vai aumentando. Contudo, ao refazer seu empréstimo, ou seja, ao fazer um refinanciamento, você quita seu saldo devedor atual e fica com a diferença, conforme abaixo:

  1. Valor do Empréstimo: R$ 1.000,00
  2. Saldo devedor Atual: R$ 800,00
  3. ao Refazer o empréstimo no valor de R$ 1.000,00
  4. você fica com a diferença no valor de R$ 200,00

Parece pouco né? Mas imagine um contrato que você já pagou 24 parcelas ou 36 parcelas. Certamente, o valor será bem superior!

Nossa experiência de 17 anos neste mercado demonstra que muitas vezes se contrata um valor maior do que se precisa.

Vantagens do Refinanciamento de Empréstimo

O refinanciamento é a melhor forma de você não aumentar seu comprometimento mensal. No entanto, muitos clientes quando se deparam com uma situação de necessitar de um empréstimo, muitas vezes acabam assumindo mais uma parcela.

Já no refinanciamento isso não acontece, pois você utiliza a mesma parcela que já está pagando.

Um dos maiores problemas que acabam acarretando o super endividamento é justamente a soma de todas as parcelas e dívidas pagas. Contudo, é comum você achar que uma parcela a mais no valor de R$ 100,00.

Por exemplo: Não vai te atrapalhar com seus demais compromissos, mas esses R$ 100,00 + todas as outras dívidas poderá acabar ficando pesado e gerando a chamada “bola de neve”.  Por isso, o refinanciamento é tão interessante.

Pode estar se perguntando, mas vou aumentar o prazo do meu empréstimo? Vai sim. Ao refinanciar, você volta seu contrato para o início.

No entanto,  lembre-se que o prazo muitas vezes não é o problema, uma vez que você pode quitar seu empréstimo a qualquer momento. No entanto, na quitação, você ainda tem desconto dos juros futuros.

O Refinanciamento de Empréstimo consignado atende as mesmas regras do empréstimo consignado convencional. Para ter acesso a regra na integra, basta ler a lei 10.820 que regulamenta o empréstimo consignado.

Você sabia que o Portal Consignados é especialista em empréstimo consignado?

Com mais de 17 anos no Mercado de Empréstimo Consignado e com uma equipe treinada para lhe auxiliar na melhor decisão, no entanto o Portal Consignados trabalha em parceria com diversos bancos para lhe oferecer sempre o melhor negócio.

Como consultar empréstimo consignado BMG?

O empréstimo consignado BMG é muito fácil de ser consultado. No entanto, existem duas formas que você poderá ter acesso ao(s) seu(s) contrato(s), como por exemplo:

  • Central de Relacionamento
  • Correspondente Bancário

Central de Relacionamento

A central de relacionamento do Banco BMG é o principal canal aonde você deve se dirigir. No entanto, na central terá as informações sobre todos os seus empréstimos, bem como data inicial e final.

Contudo, você pode acessar a central de relacionamento através do telefone do SAC 0800 979 7050. Se desejar, acesse o site do banco BMG clicando aqui.

Correspondente Bancário

O correspondente bancário é o elo entre você e o banco. Contudo, muitas vezes a demanda de atendimento é tão grande que ficaria difícil atender a todos na mesma velocidade que talvez deseje.

No entanto, o correspondente aonde você contratou seu empréstimo consignado poderá ajudar nestes casos, mas muita atenção! O correspondente bancário BMG só tem acesso aos contratos que foram originados por ele.

Por isso, não adianta ligar ou cobrar a informação de qualquer correspondente, só poderá te ajudar o correspondente ao qual fez seu empréstimo consignado BMG.

No entanto, os demais por questões de sigilo da informação, não conseguirão lhe ajudar em seu empréstimo consignado BMG.

Informações sobre meu Empréstimo Consignado BMG

As informações que você poderá obter via telefone são data inicial e data final de seus contratos. Contudo, informações como saldo devedor e número de contrato para sua própria segurança somente pessoalmente em uma das unidades do Banco BMG.

Contudo, caso deseje saber aonde encontrar a unidade do Banco BMG mais próxima de você, basta acessar o site do Banco BMG.

Informações sobre andamento de propostas

No entanto, se quiser saber o andamento de sua proposta, tenha como o principal contato o lugar aonde você solicitou seu empréstimo. Lá você poderá obter detalhes sobre a situação do seu empréstimo consignado.

Ademais, na central de relacionamento no telefone 0800 979 7050. Também poderá obter está informação mas de forma eletrônica, ao digitar a opção desejada e seu CPF terá a informação pela URA do banco BMG.

Você sabia que o Portal Consignados é especialista em empréstimo consignado?

Com mais de 17 anos no Mercado de Empréstimo Consignado e com uma equipe treinada para lhe auxiliar na melhor decisão, no entanto o Portal Consignados trabalha em parceria com diversos bancos para lhe oferecer sempre o melhor negócio.

Calcular meus débitos no Banco BMG

Calcular é simples. No entanto, antes destacaremos que o Banco BMG tem com os seus clientes uma grande preocupação.

Contudo, ele se dedica ao máximo para fornecer noções que lhe auxiliem em suas questões. Pensando nisso, foi criada uma Central de Atendimento ao Cliente.

Lá você poderá solicitar todas as informações que necessite! Ademais, com seu CPF e RG em mãos, entre em contato no telefone fácil: 0800 979 7050.

calcular débitos BMG

Calcular débitos BMG

Você provavelmente deve ter um empréstimo consignado e, por padrão, os débitos são lançados em seu contra cheque ou detalhamento de crédito.

É por lá que você deverá consultar seus débitos. No entanto, caso tenha dúvidas, pode entrar em contato com a central de relacionamento.

Como Calcular meu Total a Prazo

Para calcular o total a prazo, é necessário entender que o valor total a prazo de seus empréstimos é a soma das parcelas contratadas ou restantes. Contudo, o calculo é muito simples. Basta pegar o valor da parcela e multiplicar pelo prazo de seu empréstimo consignado, por exemplo:

Valor da parcela: R$ 100,00

Prazo do Empréstimo: 36 X

Total a prazo = R$ 100,00 x 36 = R$ 3.600,00

Como identificar se é débito do BMG?

Existem duas formas de você saber de qual banco é o débito da parcela descontada. No entanto, a maneira mais prática é entrando em contato com seu RH. Vale lembrar que em alguns convênios, o nome da instituição está discriminada no seu contra cheque. Contudo, no caso do INSS, é necessário procurar uma unidade do INSS para buscar a informação. Para lhe ajudar, caso seja aposentado ou pensionista do INSS, basta clicar aqui para localizar a unidade mais próxima de você.

Quitação Antecipada

A quitação antecipada é permitida no caso do empréstimo consignado. No entanto, o que não é permitido são pagamentos parciais, como por exemplo pagar duas parcelas de uma só vez. Por isso, é importante saber como calcular seus débitos para saber qual o melhor momento para fazer isso.

Amortização do saldo devedor

Cada parcela paga de seu empréstimo consignado amortiza de seu saldo devedor. Portanto, mês a mês, sua dívida vai diminuindo. Uma forma bem imparcial de você obter a informação sobre seu saldo devedor é utilizar a calculadora do Banco Central. Para isso, basta clicar aqui.

Você sabia que o Portal Consignados é especialista em empréstimo consignado?

Com mais de 17 anos no Mercado de Empréstimo Consignado e com uma equipe treinada para lhe auxiliar na melhor decisão, no entanto o Portal Consignados trabalha em parceria com diversos bancos para lhe oferecer sempre o melhor negócio.

BGN ou BMG qual a Diferença?

Muitas pessoas se confundem entre BGN e BMG devido as siglas serem parecidas. No entanto, são dois bancos distintos que não tem nenhuma relação entre si.

Ademais, apesar dos dois bancos trabalharem com empréstimo consignado, são instituições financeiras totalmente diferentes uma da outra.

Banco BGN

O banco BGN é o Banco que tem como seu principal produto o empréstimo consignado. Contudo, atualmente passou a ser comandado pela Cetelem.

Ademais, se deseja falar com o BGN, basta ligar no SAC 0800 724 5904. Para maiores informações sobre o BGN, basta acessar o site clicando aqui.

Banco BMG

O banco BMG foi fundado há mais de 80 anos pela família Guimarães. Contudo, atualmente todas as operações de empréstimo consignado são realizadas pelo Itaú, que em 2013 comprou 70% do BMG.

Isso deu ainda mais força para o líder de empréstimo consignado no Brasil ao lado do Banco Itaú que já era o maior banco da América latina e um dos maiores do mundo.

Contudo, o produto ganhou mais força e sua equipe de vendas mais profissionalismo.

Não Confunda

O banco BGN não tem nada haver com o Banco BMG. São bancos diferentes com operações de crédito voltadas ao empréstimo consignado, mas de forma distintas.

Ademais, o BGN tem como foco o funcionalismo público entre servidores federais, municipais e estaduais.

Já o BMG, com a fusão com o Itaú, é um banco mais completo com carteiras de crédito e serviços diversificadas, dando maior segurança aos seus clientes por ser uma instituição mais completa.

BMG ou BGN, ambas são boas instituição para você realizar seu empréstimo consignado. Contudo, nosso objetivo não é exaltar uma e desprezar a outra, muito pelo contrário A decisão cabe ao cliente e não a nós.

Ambas estão aptas para lhe oferecer boas linhas de crédito, mas é importante destacar que não são a mesma instituição. Ademais, as vantagens e desvantagens vão de acordo com a sua necessidade.

Por serem bancos distintos e apesar de trabalharem com o mesmo produto que é empréstimo consignado, cada um tem um nicho de mercado diferenciado.

Você sabia?

Com mais de 17 anos no Mercado de Empréstimo Consignado e com uma equipe treinada para lhe auxiliar na melhor decisão, no entanto o Portal Consignados trabalha em parceria com diversos bancos para lhe oferecer sempre o melhor negócio.

Saiba como Calcular juros de empréstimo consignado

Muitas pessoas, ao realizar seu empréstimo consignado, se perguntam como calcular juros de empréstimo consignado. Está dúvida é bastante comum e muito importante.

Contudo, algumas operações de crédito incidem taxas adicionais que carregam o total a prazo de seu empréstimo consignado ou empréstimo pessoal.

Taxas adicionais cobradas

Conforme a modalidade de empréstimo ou financiamento, existem taxas adicionais embutidas. No entanto, é muito importante entender quais taxas são essas.

Ademais, para lhe auxiliar, vamos destacar algumas modalidades de empréstimo, como por exemplo:

Empréstimo Consignado

No empréstimo consignado, a única taxa embutida em seu empréstimo é o IOF.

  • Taxa de Juros
  • IOF (Imposto sobre operações financeiras)

Empréstimo Pessoal

A modalidade de empréstimo pessoal tem adicionada a TAC e IOF.

  • Taxa de Juros
  • TAC (Taxa de Abertura de Crédito)
  • IOF (Imposto sobre operações financeiras)

Contudo, em algumas financeiras, é oferecido o seguro presta-mista que é opcional e não pode ser condicionado ou obrigado o cliente a contratar.

Ademais, este tipo de produto quando embutido no seu empréstimo, acaba interferindo no total a prazo e, consequentemente, subindo o valor da taxa de juros.

Aprendendo a Calcular juros de Empréstimo

Existem várias formas de calcular o juros de empréstimo. Ademais, neste artigo vamos apresentar 2 (duas) formas de você calcular.

  • HP12C
  • Excell

Por exemplo: Vamos simular um empréstimo consignado no valor de R$ 1.000,00, onde seu plano de financiamento ficou em 60 parcelas de R$ 31,17.

Calcular juros de Empréstimo pela HP12C

Primeiro passo: Digite o valor Financiado e aperte a tecla “CHS”+”PV”

Segundo Passo: Digite o prazo e aperte a tecla “n”

Terceiro Passo: Digite o valor da parcela e aperte a tecla “PMT”

Quarto Passo: Digite a tecla “i”

Ademais, a calculadora irá calcular o resultado e lhe trará a taxa de juros.

Entendendo as teclas digitadas

  • CHS (inverter operação, por exemplo, de positivo para negativo)
  • PV (Valor Presente)
  • n (Prazo)
  • PMT (Parcela)
  • i (juros)

Calcular juros de Empréstimo pelo Excel

Com o Excel, é muito simples calcular juros de empréstimo. Ademais, no passo a passo abaixo, iremos lhe ajudar a criar a sua.

Contudo, crie os seguintes dados:

  • Valor do Empréstimo
  • Prazo
  • Parcela
  • Juros

Sua planilha deve estar parecida conforme imagem abaixo:

No entanto, para exemplificar, vamos simular um empréstimo consignado no valor de R$ 1.000,00, onde o prazo para pagar é de 60 meses e a parcela ficou R$ 31,17.

Contudo, utilizando os campos já criados, vamos começar a criar nossa planilha inserindo os dados conforme exemplo acima

Com os dados inseridos vamos colocar a nossa formula  na linha G5:

=TAXA(F6;-G6;E6;0;0)

Pronto! Já conseguimos calcular juros de empréstimo. Contudo, caso deseje baixar nosso simulador de exemplo, clique aqui .

Ademais, ter uma planilha para calcular juros de empréstimo, seja ele consignado ou seja qualquer outro tipo de financiamento, é muito importante para que você possa fazer a melhor escolha e tenha a real noção do que está pagando de juros.

No entanto, o Banco Central do Brasil disponibiliza uma calculadora on-line para que o cidadão possa calcular o juros de seu financiamento sem a necessidade de fazer contas complicadas ou criar planilhas. Basta clicar aqui, caso deseje acessar agora.

Você sabia?

Com mais de 17 anos no Mercado de Empréstimo Consignado e com uma equipe treinada para lhe auxiliar na melhor decisão, no entanto o Portal Consignados trabalha em parceria com diversos bancos para lhe oferecer sempre o melhor negócio.

Calcular IOF – Saiba Como!

Calcular IOF é uma tarefa bastante complicada, mas aqui no portal consignados você vai aprender de forma prática e objetiva como calcular o IOF. Mas antes vamos entender o que é o IOF e o porque da importância de se saber calcular este imposto.

O IOF é um imposto sobre operações financeiras. Contudo, além da cobrança do IOF sobre empréstimos, o imposto também é aplicado em operações de Cambio, seguros, cartões de crédito, títulos e valores mobiliários.

Entender como calcular IOF pode não interferir em seus empréstimos, mas pode ser muito importante na hora de tomar decisões. Portanto, saber calcular IOF pode ser muito útil.

O IOF é cobrado sobre o saldo devedor diário. Contudo, atualmente a alíquota está em 0,00137% ao dia, conforme divulgado no Banco Central do Brasil.

Ademais, para calcular IOF, é necessário criar uma tabela considerando a amortização de juros ocorrida a cada pagamento de parcela de seu empréstimo.

No entanto, para exemplificar, iremos utilizar um empréstimo consignado com as seguintes características:

  • Valor do empréstimo: R$ 1.000,00
  • Prazo do empréstimo: 72 meses
  • taxa de juros: 2,22% a.m

Conforme exemplo abaixo, irá verificar que o IOF cobrado foi de R$ 19,25.

Caso deseje baixar a planilha utilizada neste artigo, basta clicar aqui.

Analisando o exemplo utilizado para Calcular IOF

Ademais, o IOF, apesar de representar pouco em no custo efetivo total (CET), deve ser analisado com cuidado. Contudo, o intuito de nosso artigo é lhe ajudar a entender uma das taxas embutidas em seu empréstimo.

No entanto, atualmente o Banco Central determinou que fica obrigado as instituições financeiras a informarem ao cliente sobre todas as taxas bem como valores e condições em contrato.

Ademais, caso tenha recentemente contratado um empréstimo ou feito um financiamento, confira em seu contrato o campo (CET). Lá você terá a descrição de todas as despesas de seu empréstimo ou financiamento.

Calcular IOF de seu financiamento pode parecer um pouco complicado devido a forma de cálculo, mas antes de calcular, confira a taxa atual. Contudo, por se tratar de um imposto, pode sofrer alterações.

Nós, do Portal Consignados, recomendamos que compare, consulte e avalie bem antes de contratar um empréstimo ou financiamento.

E sempre que não compreender alguma taxa embutida em seu financiamento ou empréstimo, questione e solicite informações a respeito.

O consumidor deve ter todas as suas dúvidas esclarecidas pela instituição financeira ou Banco. Nossa equipe esta preparada para receber suas dúvidas e esclarecer de forma prática e rápida, portanto fique a vontade em questionar.

Você sabia?

Com mais de 17 anos no Mercado de Empréstimo Consignado e com uma equipe treinada para lhe auxiliar na melhor decisão, no entanto o Portal Consignados trabalha em parceria com diversos bancos para lhe oferecer sempre o melhor negócio.

Como contratar empréstimo consignado INSS?

Para contratar empréstimo consignado INSS é muito simples. Contudo, devemos analisar algumas informações muito importantes, como por exemplo: margem consignável, modalidade de empréstimo consignado, tipo de benefícios consignáveis e fundamentos legais que poderão impedir uma contratação.

Margem consignável

Ademais, margem consignável é o limite máximo que se pode comprometer da sua renda em empréstimos. Contudo, no caso do INSS é 30% para empréstimos e 10% para cartões de crédito. Por exemplo: Se você recebe R$ 1.000,00, pode comprometer sua renda com parcelas de até R$ 300,00 e comprometer mais R$ 100,00 com parcelamentos no cartão de crédito.

Ademais, o importante é entender dentro do seu orçamento familiar, qual a sua margem consignável. No entanto, para muitas pessoas 30% é muito, talvez 20% é o ideal. Portanto, antes de contratar um empréstimo consignável, é importante analisar qual parcela cabe melhor no seu bolso.

Aonde Contratar empréstimo consignado INSS

No entanto, existem muitas instituições financeiras, seguradoras e até lojas credenciadas a lhe oferecer empréstimo consignado. Contudo, cada setor tem regras especificas, o que pode confundir o cliente, por exemplo: algumas seguradoras vendem empréstimo consignado, mas devido a serem apenas seguradoras, as regras para quitação antecipada e portabilidade são bem diferentes. No entanto, recomendamos que contrate seu empréstimo consignado em Instituições Financeiras. Ademais, devido ao grau de exigência em tais instituições, o cliente sai ganhando.

Aliás, as instituições financeiras e Bancos não se limitam a responder apenas o código de defesa do consumidor. Contudo, existem regras do Conselho monetário nacional, Banco Central e o próprio INSS que acabam blindando o cliente para que a gestão e manutenção do seu empréstimo possa ser seguro. Contudo, não que uma seguradora irá agir contra o cliente. Ademais, está longe disto, mas algumas particularidades como Refinanciamento, Portabilidade e até mesmo quitação antecipada ficam mais amarradas e dificultadas devido as regras serem diferentes para elas. Contudo, recomendamos que sempre pesquise além de taxas, o tipo de instituição que você vai contratar empréstimo consignado.

Benefícios consignáveis

Ademais, os chamados benefícios consignáveis são aqueles que permitem contratar empréstimo consignado. Contudo, para exemplificar melhor, vamos abaixo detalhar todos os benefícios que podem fazer empréstimo consignado, como por exemplo:

  • 1 Pensão por morte trabalhador rural
  • 2 Pensão por morte acidente do trabalho do trabalhador rural
  • 3 Pensão por morte do empregador rural
  • 4 Aposentadoria por invalidez do trabalhador rural
  • 5 Aposentadoria por invalidez por acidente do trabalho do trabalhador rural
  • 6 Aposentadoria por invalidez do empregador rural
  • 7 Aposentadoria por idade do trabalhador rural
  • 8 Aposentadoria por idade do empregador rural
  • 19 Pensão de Estudante (Lei 7.004/82)
  • 20 Pensão por morte de ex-diplomata
  • 21 Pensão por morte previdenciária (LOPS)
  • 22 Pensão por morte estatutária
  • 23 Pensão por morte de ex-combatente
  • 24 Pensão Especial (Ato Institucional)
  • 26 Pensão Especial (Lei nº 593/48)

Continuando com os benefícios consignáveis, como por exemplo:

  • 27 Pensão por morte do servidor público federal com dupla aposentadoria
  • 28 Pensão por morte do Regime Geral (Decreto nº 20.465/31)
  • 29 Pensão por morte de ex-combatente marítimo (Lei nº 1.756/52)
  • 32 Aposentadoria por invalidez previdenciária (LOPS)
  • 33 Aposentadoria por invalidez de aeronauta
  • 34 Aposentadoria por invalidez de ex-combatente marítimo (Lei nº 1756/52)
  • 37 Aposentadoria de extranumerário da União
  • 38 Aposentadoria da extinta CAPIN
  • 41 Aposentadoria por idade (LOPS)
  • 42 Aposentadoria por tempo de contribuição
  • 43 Aposentadoria por tempo de serviço de ex-combatente
  • 44 Aposentadoria por tempo de serviço de aeronauta
  • 45 Aposentadoria por tempo de serviço de jornalista profissional
  • 46 Aposentadoria especial
  • 49 Aposentadoria por tempo de serviço ordinária
  • 51 Aposentadoria por invalidez (Extinto Plano Básico)
  • 52 Aposentadoria por idade (Extinto Plano Básico)
  • 54 Pensão Especial Vitalícia (Lei nº 9.793/99)
  • 55 Pensão por morte (Extinto Plano Básico)
  • 56 Pensão mensal vitalícia por síndrome de talidomida (Lei nº 7.070/82)
  • 57 Aposentadoria por tempo de serviço de professor (Emenda Constitucional nº 18/81)
  • 58 Aposentadoria excepcional do anistiado (Lei nº 6.683/79, EC nº 26/85 e art. 8º do ADCT)
  • 59 Pensão por morte excepcional do anistiado (Lei nº 6.683/79, EC nº 26/85 e art. 8º do ADCT)
  • 60 Pensão especial mensal vitalícia (Lei nº 10.923/04)
  • 72 Aposentadoria por tempo de serviço de ex-combatente marítimo (Lei nº 1.756/52)
  • 78 Aposentadoria por idade de ex-combatente marítimo (Lei nº 1.756/52)
  • 81 Aposentadoria por idade compulsória (Ex-SASSE)
  • 82 Aposentadoria por tempo de serviço (Ex-SASSE)
  • 83 Aposentadoria por invalidez (Ex-SASSE)
  • 84 Pensão por morte (Ex-SASSE)
  • 89 Pensão especial aos dependentes de vítimas fatais por contaminação na hemodiálise ± Caruaru ±PE
  • 92 Aposentadoria por invalidez por acidente de trabalho93 Pensão por morte por acidente do trabalho

Benefícios não consignáveis

Ademais, os benefícios não consignáveis são aqueles que não é permitido contratar empréstimo consignado. Abaixo iremos detalhar os chamados não consignáveis, como por exemplo:

  • 03 – Pensão por morte do empregador rural
  • 10 – Auxílio-doença por acidente do trabalho do trabalhador rural
  • 11 – Renda mensal vitalícia por invalidez do trabalhador rural (Lei 6179/74)
  • 12 – Renda mensal vitalícia por idade do trabalhador rural (Lei 6179/74)
  • 13 – Auxílio-doença do trabalhador rural
  • 15 – Auxílio-reclusão do trabalhador rural
  • 25 – Auxílio-reclusão (LOPS)
  • 30 – Renda mensal vitalícia por invalidez (Lei 6179/74)
  • 31 – Auxílio-doença previdenciário (LOPS)
  • 36 – Auxílio-acidente
  • 40 – Renda mensal vitalícia por idade (Lei 6179/74)
  • 47 – Abono de permanência em serviço 25%
  • 48 – Abono de permanência em serviço 20%
  • 50 – Auxílio-doença (extinto plano básico)
  • 54 – Pensão especial vitalícia (Lei 9793/99) (EPU)
  • 56 – Pensão mensal vitalícia por síndrome de talidomida (Lei 7070/82)
  • 76 – Salário-família estatutário da RFFSA (Lei 956/69) (EPU)
  • 79 – Abono de servidor aposentado pela autarquia empregadora (Lei 1756/52)
  • 80 – Salário maternidade
  • 87 – Amparo Assistencial ao portador de deficiência (LOAS)
  • 88 – Amparo Assistencial ao idoso (LOAS)
  • 89 – Pensão especial aos dependentes de vítimas fatais por contaminação na hemodiálise (EPU)
  • 91 – Auxílio-doença por acidente do trabalho
  • 94 – Auxílio-doença por acidente do trabalho
  • 95 – Auxílio-suplementar por acidente do trabalho

Fundamento legal

Ademais, antes de contratar empréstimo consignado é, muito importante entender que se trata de uma modalidade de empréstimo regulamentado através da lei 10.820 de 17 de Dezembro de 2003, que estabelece a relação entre consumidor, banco e consignatário. Contudo, recomendamos que, antes de contratar empréstimo consignado, faça a leitura da lei 10.820 e tire suas dúvidas através de nosso canal fale conosco. Portanto, nossa equipe de especialista estará preparada a lhe ajudar.

Você sabia que o Portal Consignados é especialista em empréstimo consignado?

Com mais de 17 anos no Mercado de Empréstimo Consignado e com uma equipe treinada para lhe auxiliar na melhor decisão, no entanto o Portal Consignados trabalha em parceria com diversos bancos para lhe oferecer sempre o melhor negócio.

Portabilidade de Empréstimo Consignado – Saiba como fazer

Descubra como fazer Portabilidade de empréstimo consignado de forma simples, prática e objetiva, neste artigo iremos detalhar o passo a passo de se ter um pedido de portabilidade realizado com segurança. Confira!

Fazer portabilidade de empréstimo consignado é bastante simples. No entanto, basta informar o número do contrato e solicitar um cálculo de viabilidade junto ao banco que deseja portar.

A portabilidade só é recomendada em casos onde você estará trocando juros maiores por juros menores.

Portabilidade de empréstimo consignado. Como funciona isso?

Apesar de simples, a portabilidade de empréstimo consignado deverá seguir alguns cuidados aos quais é importante detalhar:

  • Calcule a viabilidade Financeira, ou seja, compare os juros
  • Estude bem pra quem irá portar sua dívida
  • Compreenda os Prazos

Calculando a Portabilidade de empréstimo consignado

Ademais, uma forma bem simples de calcular se você está fazendo a troca certa, é calcular o total a prazo.

Para entender melhor, vamos exemplificar que você paga uma parcela de R$ 100,00 por mês atualmente e fez seu financiamento em 60 vezes.

A conta fica assim:

R$ 100,00 x 60 = R$ 6.000,00

Você já pagou 10 parcelas e recebeu um proposta de portabilidade aonde o Banco ao qual deseja transferir sua dívida lhe oferece mais R$500,00 e seu contrato voltaria para 60 meses.

A conta fica assim:

R$ 100,00 x 60 = R$ 6.000,00

R$ 100,00 x 10 = R$ 1.000,00 (As parcelas que você já pagou)

R$ 500,00 é a diferença que o Banco está te dando

Contudo, o total a prazo com a portabilidade de empréstimo consignado seria de R$ 7.000,00 – R$ 500,00 que está recebendo pela portabilidade, totalizando o valor de R$ 6.500,00

Neste exemplo, a portabilidade não é viável, pois mesmo recebendo o valor de R$ 500,00 o total a prazo sobe de R$ 6.000,00 para R$ 6.500,00.

Como o exemplo acima mostrou, é muito importante tomar cuidado e fazer bem as contas antes de realizar sua portabilidade de empréstimo consignado para que sua dívida não vire uma bola de neve e seu financiamento nunca acabe.

Prazos de Liberação

O prazo máximo para realizar a portabilidade é de até 15 dias. Contudo, devido a algumas etapas que deverão ser percorridas ao solicitar a portabilidade de empréstimo consignado, o Conselho Monetário Nacional que regulamentou a portabilidade estabelece:

  • O Banco tem até 5 (Cinco) dias para tentar fazer uma contraproposta
  • O Banco tem até 15 (Quinze) dias para liberar a portabilidade
  • O Banco não pode cobrar taxas do cliente na portabilidade

Você pode ler a resolução do Conselho Monetário Nacional na integra clicando aqui, e ter acesso a todos os detalhes. Contudo, caso tenha mais dúvidas, poderá escrever para nós. Teremos um imenso prazer em lhe ajudar.

Vantagens x Desvantagens

A portabilidade de empréstimo consignado tem muitas vantagens. No entanto, se feito de forma errada ou no momento errado, pode ser uma péssima ideia.

Por isso, antes de iniciar um processo de portabilidade, é importante considerar se é o momento certo e se está realmente trocando juros maiores por juros menores.

 Vantagens na Portabilidade de empréstimo consignado

  • Pode trocar de Banco (Em casos onde o relacionamento não vai bem)
  • Na portabilidade você troca juros maiores por juros menores
  • Pode utilizar sua amortização para pegar mais dinheiro
  • Força uma renegociação com seu Banco por condições melhores na retenção

Muitas vezes, apesar do total a prazo aumentar, mas devido a necessidade da ocasião, ainda sim é melhor realizar a portabilidade do que realizar um empréstimo novo. Mesmo porque tenha a consciência que tanto na portabilidade quando no refinanciamento este tipo de operação financeira não lhe gera mais uma parcela para pagar e sim continua pagando a mesma parcela só que pra outro banco.

Desvantagens da Portabilidade de empréstimo consignado

  • Aumenta seu total a prazo
  • Perde relacionamento com seu banco atual
  • Pode acabar pagando juros maiores se não prestar atenção
  • Volta seu empréstimo consignado para o início

Antes de concretizar sua portabilidade de empréstimo consignado, analise os prós e contra desta operação. Ademais, tente antes optar por um refinanciamento, a não ser que a taxa de juros do banco pra qual irá transferir sua dívida seja expressivamente melhor, mas infelizmente neste mercado não existe milagres, a maioria das instituições financeiras operam com taxas similares.

Nós, do Portal Consignados, sempre recomendamos o uso consciente do crédito. Por isso, caso tenha dúvidas ou necessite de cálculos mais complexos, pode nos contactar e solicitar ajuda. Estamos aqui para lhe ajudar.

Você sabia?

Com mais de 17 anos no Mercado de Empréstimo Consignado e com uma equipe treinada para lhe auxiliar na melhor decisão, no entanto o Portal Consignados trabalha em parceria com diversos bancos para lhe oferecer sempre o melhor negócio.

Detalhamento de crédito INSS como acessar

O detalhamento de crédito INSS pode ser facilmente acessado através do site do Dataprev. Contudo, para ter acesso a suas informações, é necessário informar alguns dados básicos como:

  • Número de Benefício
  • Data de Nascimento
  • CPF

No entanto, após informar os dados acima, terá acesso ao seu detalhamento INSS. No entanto, seria muito importante entender o conteúdo das informações que terá acesso.

Ademais, justamente por isso que resolvemos explicar melhor. Portanto, lhe convido a continuar lendo nosso artigo.

Entendendo seu Detalhamento de Crédito INSS

No entanto, vamos explicar linha a linha de seu detalhamento de crédito INSS. Ademais, isso poderá lhe ajudar como identificar de forma fácil e rápida suas informações.

Dados Pessoais

Na primeira linha temos as seguintes informações:

  • Número de benefício
  • Nome do Segurado

Contudo, o número do benefício é composto por 10 dígitos, podendo ser iniciado por “0”. Já o nome do segurado pode estar abreviado, mas atenção! No entanto, em muitos casos, há erros de grafia.

Portanto, se for seu caso, se dirija a uma unidade do INSS portando seus documentos pessoais e corrija o quanto antes. Contudo, erros de grafia podem lhe causar sérios problemas futuramente.

Competência do Pagamento

Na segunda linha temos as seguintes informações:

Competência

A competência se refere ao mês de apuração de seu detalhamento de crédito INSS.

Período a que se refere o crédito

Contudo, existem alguns casos que o período de apuração pode ser parcial. No entanto, isto ocorre geralmente em benefícios recentes.

Ademais, tendo como data padrão o inicio da concessão até o final do mesmo mês, mas geralmente é o período ao qual foi contabilizado todos os débitos e créditos que ocorreram entre estas datas.

Pagamento através de:

  • Cartão Magnético
  • Conta Corrente

No entanto, ao receber sua carta de concessão do INSS é perguntado ao segurado qual a forma que ele deseja receber seu pagamento.

Então, o segurado ou informa uma conta bancária de sua titularidade ou simplesmente opta por receber através de um banco credenciado junto ao INSS ao qual irá receber um cartão de saques, mas que porém, a única funcionalidade deste cartão é sacar o valor integral do seu benefício uma vez por mês.

Desvantagens do Cartão Magnético

  • As grandes desvantagens de quem receber através do chamado “Cartão Magnético” são muitas, mas vamos destacar as principais:
  • O cartão magnético oferece a mínima segurança possível ficando passível a clonagem facilmente
  • O cartão magnético obriga o segurado a sacar o valor de sua aposentadoria na boca do caixa ou através de terminais de caixa eletrônico, o que facilita a chamada “saidinha de banco”, expondo ao segurado a assaltos.
  • Praticamente 99,99% dos casos de fraude são realizados em segurados que recebem por cartão magnético uma vez que ao realizar um empréstimo consignado ou solicitar um cartão de crédito, não fica vinculado uma conta oficial e os estelionatários sabem disso e se aproveitam desta situação.

Um dos crivos de analise do INSS é confrontar os dados do segurado inclusive a conta bancária, informando a conta errada o crédito é negado pelo próprio INSS.

Espécie de seu beneficio do INSS

O tipo de benefício é o motivo pelo qual você foi aposentado, recebe sua pensão ou condição especial que o levou a receber seu pagamento.

No entanto, em seu detalhamento de crédito INSS vai observar que antes da descrição existe um código, por exemplo 32, 42 e etc, este código é um contro interno do INSS para determinar alguns fatores importantes como concessão de direitos como “Complemento acompanhante”, que é um valor adicional ao seu pagamento de até 30% para custeio de um cuidador em casos onde o segurado necessite de alguém para cuidar dele.

Ademais, geralmente quem recebe através da espécie 32 (Aposentadoria Invalidez Previdenciária) tem maiores chances de conseguir tal benefício adicional devido a natureza de sua aposentadoria já por si só apontar alguma doença que impossibilitou de trabalhar consequentemente foi aposentado.

Dados Bancários do Segurado INSS

Contudo, os dados bancários informados em seu detalhamento de crédito INSS, podem parecer dados sem muita importância, mas é muito importante conferir estes dados.

No entanto, existem casos onde pessoas se passando pelo segurado conseguem alterar estes dados e sacar o valor de sua aposentadoria ou pensão, o que gera muita dor de cabeça ao segurado.

Ademais, o recomendável é pelo menos uma vez por mês acessar seu detalhamento e conferir seus dados um a um.

Detalhamento de Débitos e Créditos

Ademais, no quadro de créditos e débitos de seu detalhamento de crédito INSS, você terá todas as informações sobre o que foi pago e descontado de seu benefício.

Ademais, este item é um dos mais importantes a ser observado. Contudo, por ali poderá rapidamente constatar que teve um desconto indevido, ou recebeu o tão esperado reajuste salarial.

No entanto, as descrições utilizadas pelo INSS são divididas em dois grupos, como por exemplo: As rubricas de Crédito e as rubricas de Débito. Contudo, abaixo estaremos listando algumas delas:

Rubricas de Crédito

  • Mens. Reajustada
  • Compl. da M.R.
  • Salario familia
  • Grat. ex-Comb.
  • RFFSA nao trib.
  • Compl. acompan.
  • Outras Vantagens
  • Plansfer RFFSA
  • Dupla Atividade
  • Grat.Produt. ECT
  • Adic. Talidomida

Rubricas de Débito

  • IR Retido na Fonte
  • Débito pensão alimentícia
  • Decisão Judicial
  • Consignação (Diferente de Empréstimo)
  • IR no exterior
  • Debito diferença. IR
  • Desconto INSS
  • Contrib. COBAP
  • Contrib. CONTAG
  • Contrib. STFERJ
  • Contrib. ASTRE
  • Contrib. FORCA SIND
  • Contrib. CUT
  • Contrib. UNIDAS
  • Contrib. CGT
  • Contrib. SINDAPB
  • Contrib. ASBAPI
  • Pagamento de Benefício além do Devido
  • Outros débitos

Ademais, o acesso ao detalhamento de crédito INSS deve ser realizado somente por você ou pessoas autorizadas a realizar tal pesquisa como bancos, financeiras e correspondentes bancários.

No entanto, apesar do acesso ser público, orientamos que somente informe seu número de benefício para empresas que realmente confie.

Atualmente, os profissionais de crédito são certificados. Contudo, exija que lhe informe o seu registro junto ao Banco Central antes de passar informações.

Você sabia?

Com mais de 17 anos no Mercado de Empréstimo Consignado e com uma equipe treinada para lhe auxiliar na melhor decisão, no entanto o Portal Consignados trabalha em parceria com diversos bancos para lhe oferecer sempre o melhor negócio.

Empréstimo consignado INSS como funciona?

Empréstimo consignado INSS é uma modalidade de crédito que se destina a beneficiários do INSS. Contudo, para ter direito a este tipo de empréstimo consignado, é necessário ter um benefício junto ao INSS de carácter definitivo.

Ademais, é necessário ser maior de 21 anos e não ter mais de 81 anos para contratar um empréstimo consignado.

No entanto, existem regras que definem esta modalidade de empréstimo consignado bem como os tipos de benefícios junto ao INSS que permitem o empréstimo consignado.

Modalidades de Empréstimo Consignado INSS

O empréstimo consignado INSS tem algumas modalidades. No entanto, cada uma tem sua particularidade e finalidade específica, como por exemplo:

  • Empréstimo Novo
  • Refinanciamento
  • Portabilidade
  • Compra de Dívida

Empréstimo Consignado INSS Novo

Classificamos como empréstimo consignado INSS novo quando se trata de um novo empréstimo, seja ele contratado pela primeira vez ou contratado mesmo já possuindo outros.

Refinanciamento de Empréstimo Consignado INSS

O Refinanciamento é quando utilizado um contrato em andamento ao qual fá foram pagas algumas parcelas e retornando este contrato ao início o cliente fica com a diferença.

O empréstimo consignado INSS utiliza a tabela PRICE de amortização, ou seja, a cada parcela paga o saldo devedor vai sendo amortizado, por exemplo:

  1. Valor do Empréstimo: R$ 1.000,00
  2. Prazo do Empréstimo: 60 Meses
  3. Parcelas Pagas: 10
  4. Valor de Parcela: R$ 31,27

Considerando as parcelas pagas que no exemplo acima são 10 (dez), o saldo devedor deste contrato atual é de R$ 750,00. Todavia, ao refinanciar o contrato, é refeito o empréstimo no valor de R$ 1.000,00.

Ademais, considerando a mesma parcela de R$ 31,27, liberando uma diferença R$ 250,00 para o cliente.

A grande vantagem no caso do Refinanciamento é que ao refinanciar seu empréstimo consignado INSS, não se contrai uma nova parcela. O empréstimo manterá seu comprometimento de renda como estava antes.

Muitas pessoas já comprometeram seu limite de empréstimo e por isso, optam pelo refinanciamento. Contudo, esta é outra vantagem do Refinanciamento.

Portabilidade de Empréstimo Consignado INSS

A portabilidade de empréstimo consignado INSS é quando se transfere sua dívida para outra instituição financeira. Contudo, este contrato só pode ser transferido com as mesmas condições originais, ou seja, valor de parcela e saldo devedor permanecerão o mesmo.

Compra de Dívida

Atualmente, a compra de dívida de empréstimo consignado INSS só ocorre quando seu contrato ser de origem de Financeiras, seguradoras e etc, pois tais instituições não participam do CMN (Conselho Monetário Nacional).

Neste caso a portabilidade não pode ser realizada pois precisa haver comunicação entre as instituições.

Margem Consignável

A margem consignável é o limite que se pode utilizar da renda para empréstimo consignado INSS. Contudo, atualmente a margem consignável está limitada:

  • 30% para Empréstimos
  • 10% para Cartões de Crédito

Politica de Crédito

As instituições financeiras geralmente operam com clientes entre 21 a 81 anos de idade. É necessário que estejam aptos economicamente a contratar empréstimos.

No entanto, pessoas com deficiência intelectual ou incapazes de tomar decisões por si próprias ou as chamadas “Especiais” que são aquelas que atentam contra seu próprio patrimônio, não poderão contratar.

Você sabia?

Com mais de 17 anos no Mercado de Empréstimo Consignado e com uma equipe treinada para lhe auxiliar na melhor decisão, no entanto o Portal Consignados trabalha em parceria com diversos bancos para lhe oferecer sempre o melhor negócio.

O que é ordem de pagamento?

Ordem de pagamento é uma forma de crédito que permite ao cliente ao invés de receber através de uma conta bancária ou cheque, receber seu crédito na boca do caixa em espécie.

Motivos

A ordem de pagamento é o ultimo recurso utilizado pelo banco ou instituição financeira para efetuar o crédito referente a empréstimo consignado.

Contudo, receber o pagamento na agência é muito perigoso. No entanto, atualmente só é feito a ordem de pagamento em casos onde o cliente não possua uma conta bancária.

Funcionamento da Ordem de Pagamento

O banco informa ao cliente algumas opções de Bancos para saque conforme sua disponibilidade. Contudo, ao acordar, o banco é verifica a agência mais próxima da residência do cliente.

Ademais, o banco faz o crédito na conta da agência escolhida, informando a origem que no caso, são os dados pessoais do cliente como:

  • Nome Completo
  • RG
  • CPF
  • Filiação
  • Número de Contrato

A agência que recebe o crédito faz a conciliação bancária e deixa disponível por até 7 (sete) dias o valor a favor do cliente.

Prazo para saque da Ordem de Pagamento

O prazo para saque da ordem de pagamento é após 48 horas. No entanto, geralmente isso ocorre devido ao prazo de compensação bancária.

Existem rotinas e atualizações junto ao banco de dados do banco e agência que recebe o crédito, bem como o prazo de conciliação. Contudo, estes prazos são muito importantes para que todo o sistema esteja alimentado com as informações corretas do cliente.

Também serve para que possa sacar a ordem de pagamento tranquilamente.

Documentos necessários para Saque

Os documentos necessários para sacar a ordem de pagamento podem variar de banco pra banco e agência para agência. Contudo, aconselhamos que leve todos os documentos listados abaixo para evitar perder viagem.

Ademais, segue os documentos:

  • RG (Original)
  • CPF (Original)
  • Contrato Assinado

Recomendações Importantes

Em se tratar de ordem de pagamento onde o valor é sacado na boca do caixa, nunca é demais recomendar cuidados. No entanto, vale lembrar que geralmente os valores sacados são provenientes a empréstimos consignados, ou seja, os valores geralmente são superiores a R$ 1.000,00.

Na grande maioria das vezes, o cliente tem perfil de mais idade, pois tal tipo de pagamento está associado ao convenio de empréstimo consignado INSS.

Contudo, recomendamos que:

  • Nunca vá sozinho
  • Escolha sempre a agência onde você recebe
  • Evite falar o motivo que o leva a agência bancária
  • Leve algumas contas e as pague na agência
  • Peça para o caixa entregar discretamente o dinheiro
  • Haja normalmente dentro da agência
  • Vá direto para casa

O INSS, através de uma instrução normativa de nº 28 de 16 de Maio de 2008 do artigo 23, regulamentou para seus segurados a ordem de pagamento como forma válida para receber seus créditos provenientes a empréstimos.

Cuidados nunca são demais, mas se tiver uma conta mesmo que poupança, opte por receber seus crédito através dela.

A ordem de pagamento deverá ser a última alternativa para você receber seus créditos.

Você sabia?

Com mais de 17 anos no Mercado de Empréstimo Consignado e com uma equipe treinada para lhe auxiliar na melhor decisão, no entanto o Portal Consignados trabalha em parceria com diversos bancos para lhe oferecer sempre o melhor negócio.

Sem Margem para Empréstimo Consignado?

Se você está sem margem para empréstimo consignado e mesmo assim necessita contratar, não entre em pânico. Contudo, mesmo sem margem, você pode contratar seu empréstimo consignado sem problemas.

No entanto, as opções são:

  • Refinanciamento de Empréstimo Consignado
  • Portabilidade de Empréstimo Consignado
  • Compra de dívida de Empréstimo consignado

Ter ou não margem não são fatores indispensáveis para que você possa conseguir um empréstimo.

Basta ter um contrato em andamento com mais de 10% pago que poderá negociar seu saldo em um refinanciamento, portabilidade ou até mesmo compra de dívida.

Entendendo sua Margem Consignável

A Margem Consignável é o limite que lhe atribuído para contratar empréstimos. Geralmente, estes limites não ultrapassam 30% da sua renda, ou seja, se você recebe R$ 1.000,00, pode contratar um empréstimo que sua parcela não ultrapasse R$ 300,00.

Alguns convênios estabelecem alguns critérios diferenciados além da margem consignável, aos quais iremos destacar:

  • Empréstimo Consignado INSS

Pode ter até 6 contratos ou 30% de comprometimento de renda para empréstimos e 5% de comprometimento de renda para cartões.

  • Empréstimo Consignado Federal

Pode ter até 6 empréstimos por Banco e 30% de comprometimento de renda.

  • Empréstimo Consignado Municipal

Pode ter até 3 empréstimos e 30% de comprometimento de renda.

  • Empréstimo Consignado Estadual

Pode ter até 6 empréstimo e 30% de comprometimento de renda.

Como pode constatar, além da margem é necessário atender os critérios de acordo com seu convênio.

Sem Margem x Refinanciamento

No caso de refinanciamento, não existe a necessidade de margem uma vez que será utilizado a parcela que você já paga. Contudo, basta ter pago no mínimo 10% de seu contrato, ou seja, se fez seu empréstimo em 60 vezes basta pagar 6 parcelas que já pode refinanciar.

Sem Margem x Portabilidade

Na Portabilidade também, mesmo sem margem, você pode contratar. Contudo, é necessário ter pago no mínimo 30% de seu contrato para poder realizar a portabilidade.

No entanto, devido a portabilidade ter características diferentes quando portado com menos de 30% de parcelas pagas, o saldo a receber por parte do cliente é muito baixa.

Crédito Consciente

É muito importante entender que não é porque você pode fazer um empréstimo consignado mesmo sem margem através de um refinanciamento ou portabilidade que você deva fazer.

Só faça um empréstimo caso realmente necessite. Use seu crédito de forma consciente. A Febraban tem procurado orientar os consumidores a ter um comportamento mais consciente.

Um exemplo disso é o portal meubolsoemdia.com.br. É um site muito interessante e vale a pena dar uma olhada.

Você sabia?

Com mais de 17 anos no Mercado de Empréstimo Consignado e com uma equipe treinada para lhe auxiliar na melhor decisão, no entanto o Portal Consignados trabalha em parceria com diversos bancos para lhe oferecer sempre o melhor negócio.

Empréstimo Consignado com Restrição

O Empréstimo consignado com restrição no nome é possível sim. Contudo, apesar de ser uma dúvida bem comum, o empréstimo consignado tem como um grande diferencial a possibilidade do cliente conseguir realizar um empréstimo.

Mesmo possuindo restrições junto ao SPC e Serasa, não influenciar em nada na contratação de um empréstimo consignado.

Pago mais caro quando faço um empréstimo consignado com restrição?

No empréstimo consignado não existe este tipo de separação, mesmo porque as instituições financeiras não consultam restrições. A não ser que seja uma restrição justamente no Banco aonde você está contratando seu empréstimo consignado.

Portanto, você não paga mais caro quando faz um empréstimo consignado com restrição no nome.

Que tipo de análise é feita?

Mesmo não fazendo consulta junto aos órgãos de proteção ou permitindo que você faça empréstimo consignado com restrição no nome, não significa que o banco não analisa nada.

No entanto, é um erro pensar assim. A segurança neste setor é um fator primordial, por isso o banco geralmente analisa os seguintes critérios:

  • Confirmação de dados com o cliente
  • Margem consignável
  • Telefone procedente
  • Dados cadastrais atualizados
  • Assinatura em Contrato
  • Documentação Legível e sem rasuras
  • Dados Bancários
  • Endereço
  • Telefones de referência

As confirmações e analises feitas em seu empréstimo consignado são realizadas para garantir à você maior segurança na contratação.

Posso utilizar meu empréstimo consignado para regularizar meu nome?

A utilização do crédito é livre, ou seja, você pode fazer o que desejar com o valor recebido através de seu empréstimo. Contudo, poderá fazer inclusive para regularizar seu nome.

Apesar que contratar um empréstimo consignado com restrição no nome, não lhe obrigará a pagar suas dívidas. O recomendado é que o faça, mas se não for essencial para você neste momento, ou caso você tenha outras prioridades, faça conforme suas prioridades.

Regulamentação

Caso tenha alguma dúvida relacionada a este assunto, pode se expressar em nosso site ou comentando este artigo. Teremos um imenso prazer em lhe responder todas as suas dúvidas.

Contudo, se desejar ler na integra a lei que regulamenta o empréstimo consignado, por favor acesse a lei 10.820 clicando aqui.

Você sabia?

Com mais de 17 anos no Mercado de Empréstimo Consignado e com uma equipe treinada para lhe auxiliar na melhor decisão, no entanto o Portal Consignados trabalha em parceria com diversos bancos para lhe oferecer sempre o melhor negócio.

Procurador pode fazer Consignado?

Infelizmente quem é procurador não pode fazer empréstimo consignado! Mas calma. Aliás, vamos explicar melhor este assunto, mesmo porque “não”, não é resposta. O Portal consignados tem como objetivo esclarecer as dúvidas de seus clientes e usuários do portal visando assim a melhoria do setor de crédito consignado.

Neste artigo iremos detalhar o porque não é possível liberar empréstimo consignado sendo procurador.

Entendendo porque existe um procurador

Procurador é aquele que representa alguém, ou seja, toma decisões, movimenta contas bancárias, decide assuntos pessoas.

Através de uma procuração lavrada em cartório, as condições desta representação são definidas de forma bastante clara e objetiva conforme o código civil brasileiro no artigo 654.

Só existe procurador em situações especiais, as quais vamos destacar algumas:

  • Incapacidade Intelectual
  • Incapacidade Motora
  • Idade Avançada
  • Comodidade

Portanto só existe um procurador para que terceiros possam tomar decisões por motivos de força maior.

Por exemplo: Imagine uma pessoa que tenha sofrido um acidente ao qual o impossibilitou de se locomover.

Neste caso, um procurador poderá auxilia-lo, sendo o seu representante em bancos, órgãos públicos e etc, possibilitando que mesmo impossibilitado, tem alguém cuidando de seus direitos e deveres.

Se minha procuração é válida, porque não posso contratar empréstimo consignado?

O empréstimo consignado tem regras específicas por parte do convênio e por parte do Banco. Contudo, a politica de crédito é determinado pelo banco e, apesar da procuração lhe dar poder para contratar, muitas instituições financeiras optam por não aceitar procuradores. Alguns motivos são:

  • Incapacidade do cliente
  • Dolo Familiar
  • Contratação não consensual
  • Brecha Legal
  • Risco da Operação

Incapacidade do cliente

Muitas vezes o que leva o cliente a ter um procurador é a incapacidade por motivos motores ou intelectuais aos quais o levaram a ter uma pessoa que a represente.

Ademais, nestes casos o segurado não possui condições de decidir sobre o certo e errado, se é necessário ou não fazer um empréstimo consignado. Por mais que seja necessário, o cliente não pode decidir.

Dolo Familiar

Quando existe a figura de um procurador existe uma questão familiar, ou seja, o procurador geralmente é alguém de grau de parentesco mais próximo.

Isto não significa que em um futuro próximo essa procuração que tem prazo de validade não mude, e seu novo procurador conteste as condições do empréstimo alegando que o cliente foi enganado ou até mesmo roubado. No entanto, por esse motivo o risco aumenta em muito.

Contratação não consensual

Mesmo o procurador tomando a frente da negociação o cliente deve estar plenamente ciente do que se passa, e muitas vezes não é o que acontece, abrindo a chance de contestação referente ao empréstimo.

Brecha Legal

Legalmente só pode contratar um empréstimo quando o cliente possui ciência dos fatos. O mesmo precisa estar apto intelectualmente para entender as condições de um empréstimo sendo ou não representado por alguém.

Risco da Operação

Todos os fatores acima citados elevam em muito o risco para o banco em liberar crédito através de procuração, o que leva a muitas instituições financeiras a optarem a não liberar para procurador.

Você sabia?

Com mais de 17 anos no Mercado de Empréstimo Consignado e com uma equipe treinada para lhe auxiliar na melhor decisão, no entanto o Portal Consignados trabalha em parceria com diversos bancos para lhe oferecer sempre o melhor negócio.

Empréstimo Consignado Negado? Saiba o Porquê

Teve seu Empréstimo Consignado Negado? E não sabe o que pode ter acontecido? Neste artigo vamos explicar alguns dos motivos pelos quais pode ter acontecido a recusa.

O empréstimo consignado pela facilidade e por não haver a necessidade de ter nome limpo, mas nem por isso está isento de alguns critérios de analise interna por parte das instituições financeiras.

Muitas vezes, passa a impressão que não é realizada nenhuma consulta ou analise, seja ela feita pelo banco ou até mesmo pela instituição ou empresa a qual o convênio de empréstimo consignado foi estabelecido.

Uma liberação de crédito está condicionada a prévia avaliação das instituições financeiras visando a segurança na operação de crédito.

Contudo, infelizmente muitas vezes ao se deparar com seu empréstimo consignado negado, o cliente questiona o banco ou instituição financeira o motivo, e recebe como informação:

“Infelizmente seu empréstimo não passou pelo critérios do Banco ou convênio.”

Convido a você caro leitor a continuar comigo neste artigo para que possamos explicar alguns dos motivos por quais pode ter tido seu empréstimo consignado negado.

Entenda porque teve seu Empréstimo Consignado Negado

Alguns fatores poderão negar o seu empréstimo consignado, mas como cada convenio tem uma politica de crédito diferente e muitas vezes condições especiais.

Contudo, iremos detalhar os fatores  que possam levar a uma recusa conforme os convênios abaixo:

  • Instituto de Seguridade Social
  • Governo Federal
  • Governo do Estado de São Paulo
  • Prefeitura Municipal de São Paulo

Instituto de Seguridade Social – INSS

Iremos destacar os principais motivos que levam o empréstimo consignado negado no INSS ou na Instituição Financeira:

  • Dados Cadastrais
  • Margem consignada
  • Bloqueio para empréstimo
  • Dados Bancários
  • Tipo de Benefício
  • Inconsistência
  • Documentação Irregular

Dados Cadastrais

Alguns dados cadastrais poderão atrapalhar sua concessão de empréstimo. Contudo, é muito comum nomes com grafia errada, CPF do conjugê falecido, entre outros.

Ademais, para não ter seu empréstimo consignado negado, recomendamos que sempre que possível, atualize seus dados junto ao INSS, inclusive números de telefone.

Margem consignada

A margem consignável está estabelecida da seguinte forma: 30% para empréstimos e 10% para cartões de crédito No entanto, para conferir se sua margem está dentro da regra, basta calcular da seguinte forma:

Mensalidade Reajustada – Débitos Fixos (IRPF, Contribuição Sindical, Pensão) x 30% – empréstimos consignados

A prioridade do INSS é Saúde e Família. Por este motivo, se ocorrerem débitos desta natureza sua margem poderá ser comprometida. Um exemplo comum é a pensão alimentícia.

No entanto, se teve seu empréstimo consignado negado e foi por margem, mas tem dificuldade de calcular, solicite que seu agente de crédito lhe explique detalhadamente.

Contudo, poderá acessar o nosso fale conosco que teremos um imenso prazer em lhe ajudar.

Bloqueio para empréstimo

Muitos segurados ao receber sua pensão ou aposentadoria e por medida de cautela e segurança solicitam um bloqueio em seus benefícios para empréstimos, e posteriormente se esquecem deste fato.

Caso desejem contratar um empréstimo é bastante simples, basta solicitar o desbloqueio do seu benefício.

Dados Bancários

De acordo com a instrução normativa  INSS/Pres nº 28 de 16 de Maio de 2008, é possível realizar a troca de banco para recebimento de seu beneficio.

Contudo, o INSS leva até 60 dias para atualizar seus dados bancários o que acaba impossibilitando o empréstimo consignado neste período uma vez que deve ser informado para efeito de pagamento do empréstimo a conta onde se recebe seu benefício.

Esta postura do INSS tem com prioridade a sua segurança, devido a fatos relacionados e terceiros a quadrilhas que mudavam a conta de recebimento do segurado para realizar empréstimos e saques a revelia, o INSS resolveu bloquear o benefício para empréstimo durante 60 dias.

Tipo de Benefício

Nem todos os beneficiários do INSS podem realizar empréstimo consignado. No entanto, os benefícios de caráter social e temporário não poderão fazer empréstimo consignado. Contudo, os de caráter social devido a concessão ser realizada para exclusivamente a manutenção do segurando.

Os  benefícios temporários são concedidos a segurados, ou seja, toda pessoa que contribui ao INSS é um segurado, já quem recebe uma pensão ou Aposentadoria é um beneficiário.

Caso deseje maiores informações em nossa pagina de empréstimo consignado INSS, detalhamos todos os benefícios consignáveis e os não consignáveis, para acessar basta clicar aqui.

Inconsistência

Apesar de não realizar consulta junto a órgão de proteção ao crédito as instituições financeiras adotaram como medida de segurança a confirmação de dados.

Muitas vezes o beneficiário não confirma por medo, ou por insegurança ou até mesmo porque não gosta de falar ao telefone, a instituição financeira por sua vez, entende que não confirmado, valor emprestado, plano de financiamento, prazo e alguns dados pessoais, terá seu empréstimo consignado negado.

Documentação Irregular

Por mais incrível que pareça, muita vezes se deparamos com beneficiários sem documentos como RG ou CNH.

Contudo, quando possui CNH ela está vencida, entendendo que se tratando de um empréstimo e deve ser celebrado em contrato a única forma de comparar a assinatura do contrato é um documento com foto válido em todo território nacional.

Recentemente o INSS adotou uma medida de segurança abolindo a carteira de trabalho como documento aceitável para comprovação.

pelos motivos citados acima recomendamos que sempre ao realizar um empréstimo consignado tenha seus documentos válidos e atuais.

Governo Federal

Os servidores federais podem ter seu empréstimo consignado negado por alguns motivos. No entanto, vamos destacar os principais:

  • Margem Excedida
  • Margem Negativa
  • Convenio Inoperante

Margem Excedida

Muitos servidores federais ao receber seu contra-cheque de deparam com a informação de margem dos 30%. Contudo, essa informação remete ao período ao qual foi apurado e por se tratar de um recebimento o período apurado sempre será do mês anterior, o que no ato da contratação pode estar diferente.

Alguns fatos como férias, faltas ou débitos de empresas conveniadas podem reduzir a margem consignada.

Mesmo em posso do seu contra-cheque acusando margem é necessário consultar novamente através do portal consig  a margem atual.

Margem Negativa

Infelizmente a margem pode sim estar negativa, por motivos conforme mencionados acima, ou até mesmo, por mudança de função com remuneração menor, o que impossibilita até mesmo de fazer um refinanciamento ou portabilidade.

Convenio Inoperante

Os servidores federais estão alocados em órgãos, institutos, secretarias entre outras, com controle sobre a folha de forma independente.

Se por exemplo um órgão tiver algum problema relacionado ao repasse das parcelas de empréstimo para o Banco, a instituição poderá suspender aos operações de empréstimo para aquele determinado órgão.

Se você se enquadra nos exemplos citados acima fatalmente terá seu empréstimo consignado negado.

Governo do Estado de São Paulo

O empréstimo consignado do estado de São Paulo é um produto que recentemente foi implantado junto ao Banco BMG ao qual representamos.

Contudo, o que temos notado como principal motivo para ter seu empréstimo consignado negado é falta de margem e exercer uma função ou pertencer a uma categoria não atendida pelo Banco.

Atualmente, o Banco BMG trabalha com os seguintes servidores estaduais:

  • Servidores públicos militares ativos.
  • SPPREV – (Servidores públicos, civis e militares, inativos, reformados e pensionistas da administração direta e autárquica)
  • SEFAZ – (Servidores públicos civis ativos, inativos e pensionistas da administração direta e autárquica).

Prefeitura Municipal de São Paulo

Se você é servidor municipal e teve seu empréstimo consignado negado, atente aos seguintes fatores:

  • Margem consignável excedida
  • Regime de Contratação
  • Convênio

Margem consignável excedida

Contudo, para não ter seu empréstimo consignado negado, é importante antes de tudo, conferir a margem atual. No entanto, fatores como férias e faltas podem interferir em sua marge.

Solicite ao seu agente que antes de tudo confirme no e-consig a margem atual.

Regime de Contratação

Muitos servidores da prefeitura de São Paulo estão em regime de contratação não atendida pelas instituições financeiras, como por exemplo o regime CLT, Cargo de confiança,Contratados e temporários.

Estão aptos a contratar empréstimo consignado os seguintes servidores:

  • Servidores Municipais da Ativa
  • Servidores Municipais Aposentados
  • Servidores Municipais Pensionistas
  • Beneficiários do IPREM

Meu empréstimo consignado negado e está tudo certo

Conferiu todas as possibilidade e continua tendo seu empréstimo consignado negado?

Nestes casos pode ser alguma restrição interna no Banco aonde você está tentando contratar seu empréstimo, é comum quando o cliente tem algum financiamento ou empréstimo ao qual não foi pago criar uma restrição interna para futuras contrataçõe.

Em alguns casos até mesmo processos judiciais podem acarretar em restrição interna, neste caso, a unica saída e solicitar seu empréstimo em outro banco para que não tenha um empréstimo consignado negado.

Você sabia?

Com mais de 17 anos no Mercado de Empréstimo Consignado e com uma equipe treinada para lhe auxiliar na melhor decisão. No entanto, o Portal Consignados trabalha em parceria com diversos bancos para lhe oferecer sempre o melhor negócio.

Idade Máxima para Contratar Empréstimo Consignado

A idade máxima para contratar empréstimo consignado é de até 75 anos e 11 meses. As regras sobre idade fazem parte da política de crédito da instituição financeira e podem ser alteradas sem aviso prévio. Outro fator importânte é que a grande maioria das instituições atual com o perfil de idade até 75 anos, não significa que todas as instituições atuem da mesma forma.

Recomendamos caso tenha idade superior a pesquisar bem, atualmente temos uma rede de correspondentes bancários que talvez possa lhe ajudar nessa pesquisa.

Outro detalhe importânte é que ter idade superior a 75 anos não significa que não possa fazer um empréstimo consignado, na maioria das vezes o que muda é o prazo ao qual poder parcelar seu empréstimo, por exemplo:

  • Até 75 anos – Parcelamento em até 84 meses.
  • Até 76 anos – Parcelamento em até 72 meses.
  • Até 77 anos – Parcelamento em até 60 meses.
  • Até 78 anos – Parcelamento em até 48 meses.

As informações de prazo x idade máxima são apenas um exemplo que geralmente ocorre no mercado de empréstimo consignado e podem variar conforme instituição financeira.

Política de crédito x idade

A política de crédito é um conjunto de regras as quais estão em conformidade com as leis vigentes, obrigações institucionais, normativos internos e convênio.

Na grande maioria das vezes a interferência por parte do convênio é minima, por se tratar de uma condição a qual o próprio banco central deixa de livre escolha as instituições, não há base legal que obrigue um banco por exemplo a emprestar a alguém que não satisfaça suas condições.

O fator idade é considerado conforme espectativa de vida, em média no brasil a espectativa de vida está em torno de 75 anos. Com base nesses dados as instituições financeiras utilizam a chamada régua mutuária, que representa o risco de óbito conforme espectativa de vida, esses dados são utilizados para minimizar o risco operacional. Por isso a limitação na idade máxima para contratar empréstimo consignado.

O que vale nos casos onde a idade máxima já foi atingida é a lei de oferta e procura, com um grande número de instituições financeiras ofertando o mesmo produto não é tão estranho vez por outra alguém flexibilizar as regras e permitir a contratação de empréstimo consignado com idade superior. Fica a dica!

Idade Máxima para Contratar Empréstimo Consignado entenda melhor

Geralmente, o prazo máximo que se pode financiar após os 75 anos pode mudar de acordo com a política de crédito adotada na época. Contudo, atualmente a regra é exemplificada conforme abaixo:

  • 75 anos e 11 Meses – Pode Financiar em até 72 parcelas – valor máximo de R$ 80.000,00
  • 76 anos e 11 Meses – Pode Financiar em até 36 parcelas – valor máximo de R$ 30.000,00

Mas o que diz a lei

A lei que regula o empréstimo consignado é a lei 10.820. Contudo, não existe nenhuma observação sobre a idade máxima ou mínima.

No entanto, a política de crédito adotada é de responsabilidade da instituição financeira para garantir a manutenção da taxa de juros, mantendo a operação de empréstimo consignado sadia.

Um exemplo prático disso é que quanto mais seguro é o empréstimo consignado, mais barato ele fica. Modalidades de crédito como empréstimo pessoal, tem sua taxa de juros elevada devido ao risco da operação ser maior.

Outro critério que condiciona a idade máxima para contratar empréstimo consignado é a legislação vigente que determina que após os 70 anos, o cidadão se torna inimputável.

Ademais, isso significa que não tem como responder por si e pelos seus atos judicialmente.

O que Pensamos sobre o assunto

Nós, do Portal Consignados, acreditamos que cada caso é um caso. Não se pode generalizar. Se a pessoa idosa que está lúcida e consegue responder por seus atos e, após verificação constatar que tem condições de realizar um empréstimo consignado, porque não faze-lo?

Margem de Empréstimo Consignado INSS

A Margem de Empréstimo consignado tem sido algo complicado para você entender? Aprenda em apenas 5 minutos, como fazer o cálculo de Margem.

Para facilitar seu entendimento preparamos um vídeo auto explicativo que irá mostrar o passo a passo de como calcular sua margem junto ao INSS. Assista!

Para calcular sua margem de empréstimo consignado INSS é muito simples, mas fique tranquilo, vamos colocar o passo a passo para você.

No entanto, você não está sozinho nesta dúvida. Ademais, muitas pessoas buscam entender como calcular sua margem de empréstimo consignado.

  • O primeiro passo é entender como buscar a informação. Ademais, no caso do INSS, a informação é pública.
  • O segundo passo é compreender seu detalhamento de crédito, e compreender sua competência.
  • O terceiro passo é estar atualizado em relação a política de margem vigente.

Mãos a Obra – Calculando a Margem de Empréstimo Consignado INSS

Contudo, para acessar seu detalhamento de crédito, basta acessar o site do Dataprev. Contudo, para facilitar, pode clicar aqui!

No entanto, você irá visualizar um detalhamento parecido com a figura abaixo:

A primeira informação que deve ser analisada é a “Competência”. Ademais, nela terá o período ao qual foi gerado a informação.

Contudo, isto é importante porque no caso do INSS temos uma defasagem de quase 30 dias, ou seja, caso tenha realizado algum empréstimo após o fechamento da folha que geralmente ocorre entre a segunda ou terceira semana do mês, pode não conseguir visualizar a parcela contratada e calcular errado.

No entanto, recomendamos que se for seu caso, calcule considerando a parcela mesmo que ela não esteja aparecendo em seu detalhamento.

Contudo, algumas modalidades de empréstimo quando associadas ao seu benefício podem não estar aparecendo em seu detalhamento, mas o fato de terem sido informadas ao INSS deverão ser calculadas, chamamos de “Parcela Oculta”.

No entanto, geralmente empréstimos em caixa eletrônicos ou em bancos como Itaú e Bradesco. Ademais, estes tipos de empréstimos podem interferir em sua margem de empréstimo consignado.

Calculando sua Margem de Empréstimo Consignado

Ademais, a equação utilizada para calcular sua margem é bem simples. No entanto, abaixo estaremos apresentando:

  1. Margem = ((Mensalidade Reajustada) + (créditos a serem somados) – (Débitos Fixos)) * 30% = Margem bruta
  2. Margem = (Margem bruta) – (Empréstimos Consignados)

Complicou? Portanto, vamos explicar melhor:

Mensalidade reajustada é o valor que você recebe de seu benefício. Contudo, no exemplo acima, seria o valor de R$ 884,88 e, apesar do detalhamento apresentar um adicional (Arredondamento) de R$ 0,38, não se soma este adicional a sua renda.

Ademais, existem casos aonde existem crédito de Complemento Acompanhante. Contudo, nestes casos é somado a Mensalidade Reajustada.

Portanto, não confunda “Consignação” com “Consig. Emprest.”. Consignação é  um débito que ocorre geralmente quando é pago algo a mais e o INSS desconta de seu benefício.

Ademais, para lhe auxiliar abaixo, estaremos destacando o que pode considerar como débito fixo e o que pode considerar como crédito a ser somado a sua renda.

Crédito a serem Debitados

  • I.R. ret. Fonte
  • Deb. pens. alim.
  • Consignacao
  • I.R. no exterior
  • Debito dif. I.R.
  • Desconto INSS
  • Contrib. COBAP
  • Contrib. CONTAG
  • Contrib. STFERJ
  • Contrib. ASTRE
  • Contrib. FORCA SIND
  • Contrib. CUT
  • Contrib. UNIDAS
  • Contrib. CGT
  • Contrib. SINDAPB
  • Contrib. ASBAPI

Crédito a serem Somados

  • Mens. Reajustada
  • Compl. da M.R.
  • Salario familia
  • Grat. ex-Comb.
  • RFFSA nao trib.
  • Compl. acompan.
  • Outras Vantagens
  • Plansfer RFFSA
  • Dupla Atividade
  • Grat.Produt. ECT
  • Adic. Talidomida

Passando a Limpo

Alternativas

Calculo sua margem de empréstimo consignado e o valor ficou abaixo do mínimo permitido? Não se preocupe, pois nossos consultores estão preparados para encontrar uma alternativa para você. No entanto, basta solicitar uma analise de Crédito.

Caso você não tenha margem para empréstimo consignado, podemos analisar outras alternativas, como por exemplo: o Refinanciamento ou Portabilidade

No entanto, outra solução é utilizar os 5% de reserva de margem para cartão de crédito, e isso agora é possível. Contudo, conforme a nova regra, agora você pode utilizar 30% para empréstimos e 5% para cartão de crédito.

Contudo, apesar de não ser um empréstimo, o Banco BMG disponibiliza para você um valor de saque emergencial, como o limite de cartão pode chegar até duas vezes o valor da sua renda.

Contudo, muitas vezes o saque mesmo que sendo 30% do seu limite muitas vezes pode ajudar muito.

Ademais, outro fator muito importante é que você pode utilizar seu limite do cartão de crédito para pagar contas e no caso do Banco BMG quanto mais você utiliza seu cartão de crédito mais você tem vantagens, milhas e ainda pode trocar por produtos.

Você sabia?

Com mais de 17 anos no Mercado de Empréstimo Consignado e com uma equipe treinada para lhe auxiliar na melhor decisão, no entanto o Portal Consignados trabalha em parceria com diversos bancos para lhe oferecer sempre o melhor negócio.

Quantos Empréstimos Consignados Poderei Fazer?

Muitos de nossos clientes se esbarram com esta mesma questão, “Quantos empréstimos consignados posso fazer?”. Ademais, apesar da margem consignável, esta é outra questão a que se deve considerar.

Pela regra basicamente é assim: ou *30% de comprometimento de renda ou a quantidade máxima de contratos.

*A margem consignável pode variar dependendo do convênio, na grande maioria o teto máximo de comprometimento de renda é 30%.

Afinal de Contas Quantos empréstimos Consignados Realmente posso fazer?

O esta modalidade de crédito depende de um acordo entre os convênios para determinar quantos empréstimos consignados se pode fazer, dependendo do convênio não existe um limite, em determinado convênio fica limitado a 9 empréstimos e assim por diante.

No entanto, como esta pergunta varia de convênio para convênio, vamos explicar os principais:

  • Empréstimo Consignado INSS
  • Consignado Federal
  • Consignado Municipal
  • Consignado Estadual

Caso seu convênio seja diferente dos informados acima, comente este artigo ou entre contato conosco. Estaremos adicionando sua resposta.

Consignado INSS

Este convênio destina-se a aposentados e pensionistas do INSS e seu limite de empréstimos consignados é de até 6 (seis) por benefício. Contudo, a regra diz que o que vir primeiro, ou 30% de comprometimento de renda ou 9 (nove) contratos de empréstimos consignados.

Portanto é necessário saber quantos empréstimos consignados você já possui.
Existe uma instrução normativa que regulamenta o empréstimo consignado INSS. Contudo, caso deseje verificar na íntegra, pode clicar aqui e ter acesso.

Consignado Federal

Este convênio destina-se a servidores federais da ativa ou aposentados e seus servidores poderão ter quantos contratos quiser. Contudo, não existe uma quantidade máximas de contrato para este convênio.

Consignado Municipal

Este convênio destina-se a servidores públicos da prefeitura de São Paulo. Pode ter até 3 (três) contratos.

Consignado Estadual SP

Este convênio destina-se a servidores públicos do Estado de São Paulo. Seus servidores não tem um limite de contratos máximos permitidos.

Já estourei minha quantidade máxima de Contratos

Caso já tenha contratado sua quantidade máxima de contratos de empréstimo consignado, você ainda tem opções de crédito. Produtos como refinanciamento ou portabilidade são opções para você.

No entanto, devido a não precisar adicionar mais uma parcela, a única exigência é a quantidade de parcelas pagas que não podem ser inferior a 10% do prazo de seu empréstimo.

Vantagens e Desvantagens

Ter vários contratos não é um problema dentro de um contexto de saúde financeira, desde que tenham sido realizados por questões de necessidade, nem uma desvantagem ter 3 (três) ou 1 (um) contrato.

Contudo, apesar de você ter um limite de margem que pode comprometer da sua renda que geralmente está em torno de 30% isso não significa que deva comprometer os 30%, muito pelo contrário!

A reflexão sobre se os 30% é muito ou ideal é sempre sua, muitas pessoas apesar de ter a possibilidade de comprometer os 30% optam por comprometer apenas 20% por entender que os 30% poderia desencadear um descontrole com os demais compromissos financeiros, ou não.

Portanto, o primeiro passo é fazer essa reflexão e poder decidir de forma mais consciência em optar ao fazer um novo empréstimo ou refinanciar um contrato.

Você sabia?

Com mais de 17 anos no Mercado de Empréstimo Consignado e com uma equipe treinada para lhe auxiliar na melhor decisão, no entanto o Portal Consignados trabalha em parceria com diversos bancos para lhe oferecer sempre o melhor negócio.

Juros no Empréstimo Consignado INSS – Descubra!

O juros no Empréstimo consignado INSS pode variar de instituição pra instituição financeira. Atualmente, o Banco BMG tem juros a partir de 1,9% a.m podendo chegar até 2,4% a.m. Contudo, dependendo do prazo de seu empréstimo consignado, a taxa de juros pode variar.

Como identificar qual o juros no empréstimo consignado INSS?

É muito importante comparar taxas para poder tomar a melhor decisão na hora de contratar seu empréstimo consignado INSS. Apesar de atualmente a diferença de instituição para instituição seja pequena, ela existe.

Neste artigo, gostaríamos de lhe ajudar a calcular sozinho, mas para isso existem algumas formas para realizar este cálculo. No entanto, poderíamos lhe explicar uma fórmula matemática ou até mesmo como utilizar uma HP12C para isso. No entanto, acreditamos que necessite desta informação bem rapidamente e, para isso existe um simulador de taxa de juros que foi desenvolvido pelo Banco Central que poderá lhe ajudar com apenas algumas informações a ter a resposta a sua pergunta. Caso deseje simular, basta clicar aqui.

Ao acessar o simulador, informe o valor financiado, prazo e valor de parcela. Em seguida, clique em calcular e pronto, terá sua taxa de juros.

Taxa de Juros x Politica de Crédito

Muita atenção na hora de escolher o banco pelo juros no empréstimo consignado, se atende na instituição como um todo. Muitas vezes, a taxa de juros é bem similar e, por diferença minima, você acaba optando pelo Banco errado. Lembre-se que os prazos de empréstimo consignado INSS poderão chegar até 72 meses, ou seja, terá um relacionamento com o Banco durante este período, seja para obter informações ou para até mesmo quitar seu empréstimo.

Por isso, escolha bancos que consigam ter acessibilidade, ou seja, que tenham alguma expressão nacional e que possam lhe atender próximo de você. Imagine você tendo que se deslocar mais de 3oo km para fazer uma quitação ou resolver um problema, ou tentando refinanciar seu empréstimo e a politica de crédito do banco não possuí essa modalidade, ai a expressão “O barato sai caro”, se aplicará totalmente a você. Por isso, se a diferença for pequena, opte pela acessibilidade.

Você sabia que o Portal Consignados é especialista em empréstimo consignado?

Com mais de 17 anos no Mercado de Empréstimo Consignado e com uma equipe treinada para lhe auxiliar na melhor decisão, no entanto o Portal Consignados trabalha em parceria com diversos bancos para lhe oferecer sempre o melhor negócio.

Prazo na liberação de empréstimo consignado INSS?

Certamente é um dos convênios onde o prazo na liberação de empréstimo consignado é maior. Isso se faz devido a sua estrutura e seu grande volume de solicitações. Podendo levar até 5(cinco) dias úteis para a liberação.

No entanto, para explicar melhor, vamos primeiro entender como funciona passo a passo:

  • Transmissão de dados
  • Conferência
  • Averbação
  • Desaverbação
  • confirmação

Transmissão de dados

Toda proposta de empréstimo consignado INSS é transmitida via sistema para o Dataprev. Contudo, esta transmissão pode ocorrer um vez por dia ou várias vezes por dia dependendo da estrutura do Banco ou instituição financeira que estiver solicitando seu empréstimo.

Contudo, a conferência destes dados é realizada por ordem de chegada. Contudo, não importa quem transmita, vai ficar numa chamada “fila de espera”.

No INSS sua proposta será analisada uma a uma pelos funcionários da Dataprev. Isso faz com que o prazo na liberação de empréstimo consignado INSS seja maior.

Conferencia

Ao ser recepcionada, a proposta passa por um processo de conferencia. Ademais, neste processo são analisados todos os critérios estabelecidos pelo INSS através da portaria de Nº 28. Contudo, deve-se atender a todos o requisitos estabelecidos nela.

Margem consignável também é um fator analisado nesta fase. Ademais, o beneficiário deverá contratar um valor de parcela compatível a sua margem.

Dados bancários é outro fator analisado. Ademais, pela regra só pode ser depositado o crédito na mesma conta aonde o cliente recebe seu benefício, salvo quando o cliente recebe através de “Cartão Magnético”.

Contudo, isso ocorre nos casos onde o cliente não possui uma conta e através de um convênio firmado entre o INSS e alguns Bancos, o cliente recebe um cartão de saque, aonde ele só pode sacar seu benefício.

Contudo, pode ser informado uma outra conta ou o banco indicar uma agência para saque do valor emprestado.

Os dados pessoais também são confrontados, não podendo haver erros de grafia ou dados de documentos.

Averbação

Feita a conferência, é realizada o que chamamos de averbação. Ademais, a averbação nada mais é que a reserva do valor da parcela a favor do banco e a programação do débito para o mês seguinte na folha de pagamento do beneficiário do INSS.

Este processo apesar de rápido exige cuidados. Contudo, é nele onde são estabelecidos, prazo, número de contrato e programação de débito, e é totalmente dependente de sistema, ou seja, não é em qualquer momento que se pode fazer este procedimento.

Em casos onde o INSS está transmitindo dados para a rede bancária este processo para, e só é retomado quando a transmissão acaba, é o chamado período de corte. Isto ocorre uma vez por mês.

A atualização da folha ocorre geralmente entre a segunda ou terceira semana do mês, podendo durar até 5 (cinco) dias.

Desaverbação

Este processo ocorre em casos de portabilidade e de refinanciamento, onde o contrato anterior é baixado ou liquidado e substituído por outro.

No entanto, costuma atrasar em 1(dia) em relação ao processo normal. É extremamente comum atualmente este tipo de procedimento dentro do INSS devido ao grande número de beneficiários que não possuem mais margem para um empréstimo novo.

Isso também é válido em casos onde não se deseja pagar mais uma parcela, por isso, vale a pena esperar.

Confirmação

A confirmação é a parte onde o banco devolve o arquivo enviado pelo banco, com a aprovação ou a negativa com suas justificativas. Nesta fase, internamente no Banco já se tem todo o processo resolvido.

No entanto, quando a confirmação é positiva, o pagamento em conta é praticamente automático. Contudo, essa é a parte mais rápida do processo.

Prazo na liberação de empréstimo consignado x  Vantagens

Apesar de parecer demorado, todo o processo visa a segurança do cliente. No entanto, os cuidados tomados tanto pelo banco quanto pelo INSS vem sendo aprimorados ano a ano.

Contudo, isto tem ajudado muito a manter o produto sadio e disponível a todos como é atualmente.

No entanto, não se aborreça e a boa noticia é que ano a ano o prazo na liberação de empréstimo consignado INSS vem melhorando.

Você sabia?

Com mais de 17 anos no Mercado de Empréstimo Consignado e com uma equipe treinada para lhe auxiliar na melhor decisão, no entanto o Portal Consignados trabalha em parceria com diversos bancos para lhe oferecer sempre o melhor negócio.

Refinanciar Empréstimo Consignado – Quando?

Se deseja refinanciar empréstimo consignado mas ainda tem dúvidas qual o melhor momento de fazer isso, então recomendo que leia atentamente este artigo. No entanto, não se sinta sozinho nesta questão, pois ela é bem comum.

Nós, do Portal Consignados acreditamos que o melhor produto de empréstimo consignado atualmente é o Refinanciamento.

Por isso, parabéns pela sua preferencia. Mas é bom tomar alguns cuidados como de costume.

O refinanciamento é muito indicado para pessoas que possuem um comprometimento alto e não desejam pagar mais uma parcela.

Contudo, também é indicado para pessoas que já têm toda sua margem utilizada em empréstimos.

Não existe o momento certo de você refinanciar seu empréstimo consignado. Tendo mais de 10% de seu contrato pago, você já pode refinanciar.

Contudo, lembre-se que os valores liberados serão sempre proporcionais ao quanto você já pagou de seu empréstimo atual.

Por isso, é muito importante você entender antes de tudo, como funciona a amortização de seu empréstimo consignado em andamento. Para isso, vamos lhe ajudar.

Refinanciar empréstimo consignado – Faça uma projeção

Lembre-se que o valor liberado no refinanciamento é sempre a diferença entre o valor do seu contrato – saldo devedor.

No entanto, para exemplificar melhor, criamos um simulador. Nele, parametrizamos um valor de contrato de R$ 1.000,00 com taxa de juros anual de 29% em um prazo de 5 anos.

Basta pegar os mesmos R$1.000,00 e analisar em que momento seria mais interessante refinanciar seu contrato subtraindo o campo “saldo“.

Caso tenha interesse, pode mudar os valores conforme sua realidade, ou até mesmo pedir nossa ajuda.

Lembrando que para simular um refinanciamento BMG, você precisa solicitar uma pesquisa para nossa equipe.

No entanto, a projeção acima é apenas referência. Portanto, para solicitar uma pesquisa de refinanciamento, basta clicar aqui.

Recomendações sobre Refinanciar Empréstimo Consignado

Nunca faça um empréstimo ou refinanciamento sem necessidade. Apesar de estar sempre a sua disposição, o empréstimo consignado só deve ser utilizado quando tiver real necessidade.

Evite fazer em momentos onde não está realmente precisando. Como pode observar em nosso simulador, quanto mais pagar, mais crédito terá.

Recomendamos que antes de refinanciar empréstimo consignado, leia o manual do crédito consciente.

No entanto, ele é gratuito e está disponível através do site da Febraban. Contudo, se deseja baixar a cartilha agora, basta clicar aqui.

Você sabia?

Com mais de 17 anos no Mercado de Empréstimo Consignado e com uma equipe treinada para lhe auxiliar na melhor decisão, no entanto o Portal Consignados trabalha em parceria com diversos bancos para lhe oferecer sempre o melhor negócio.

Quando acaba meu empréstimo consignado?

Quando acaba meu empréstimo consignado? Uma dúvida bastante comum, devido suas parcelas em desconto em folha, muitas pessoas perdem o controle de quantas parcelas já foram pagas e quando acaba seu empréstimo consignado.

No entanto, isso é mais comum do que você pode imaginar. Contudo, neste artigo iremos lhe ajudar a como encontrar esta informação de forma bem simples e rápida.

Uma forma de obter esta informação é entrando em contato com o banco aonde você tem seu empréstimo consignado.

Contudo, muitas vezes, isso pode se transformar em um pesadelo. Horas e horas ligando e esperando ser atendido e depois sendo transferido pra outro atendente até a ligação cair.

Desta forma, fica bem complicado descobrir quando acaba seu empréstimo consignado não é verdade, mas existem alternativas.

Contudo, não se esqueça que se trata de um empréstimo consignado. Ou sua empresa, órgão, prefeitura e etc, é quem administra os pagamentos para o banco, independente se você é um servidor público ou um aposentado existe um “RH” que cuida dos lançamentos em seu pagamento.

Contudo, entenda que eles lhe devem prestar toda e qualquer informação relacionada ao seu pagamento.

No entanto, como em muitos órgãos, o desconto em folha vem identificando o número de parcelas, como por exemplo “12/60”, ou seja, 12 (doze) parcelas pagas de 60(sessenta).Isso indicaria que ainda lhe restam 48(quarenta e oito) a pagar.

No entanto, vamos nos concentrar em quem não tema informação de quando acaba seu empréstimo consignado em seu contra-cheque, aos quais vamos destacar:

  • Aposentados e Pensionistas do INSS
  • Servidores Federais

Aposentados e Pensionistas do INSS

Quem recebe seu benefício pelo INSS deve entrar em contato através do telefone 135. Neste número, você poderá solicitar quando acaba seu empréstimo consignado.

Mas vai depender muito da boa vontade de quem está do outro lado da linha. No entanto, recomendamos que se dirija a uma das unidades do INSS mais próximas da sua casa e solicite um extrato chamado HISCON (Histórico de Consignações).

Neste extrato, terá os demonstrativos de cada contrato que você paga dos últimos 5 anos, com data inicial, data final, numero de contrato e valor de parcela.

Contudo, é o documento mais detalhado e com as informações mais precisas que você pode encontrar. Isso, além de ser um documento oficial, inclusive para fins de contestações judiciais.

Para lhe ajudar a encontrar um local mais próximo da sua casa, basta clicar aqui.

Servidores Federais

Todo servidor federal está ligado a um órgão ou entidade. As chamadas unidades pagadoras, são responsáveis pelos lançamentos de débito e crédito em seu pagamento, traduzindo é o seu RH.

Contudo, para ter acesso ao telefone e endereço, basta acessar seu portal siapenet. O mesmo aonde você pega seu holerite eletrônico.

Após colocar seu login e senha, basta clicar na opção “Unidades pagadoras” em “Consultas”. Lá terá as informações de endereço, telefone, fax e, em alguns casos, até e-mail.

No entanto, caso tenha alguma dificuldade, foi criado o Alô-SEGEP. É um número de telefone para lhe prestar suporte.

Contudo, caso tenha alguma novidade, basta ligar 0800 978 2328 e informar sua matricula Siape para obter as informações.

No entanto, antes de ligar, tenha seus dados em mãos. Eles poderão lhe informar quando acaba seu empréstimo consignado.

Porque é importante saber quando acaba meu empréstimo consignado?

Um dos principais motivos pelos quais é importante estar atento a quando acaba seu empréstimo consignado é pelo seu comprometimento de renda.

Mesmo que você tenha passado ao longo do tempo por atualizações salariais, isso não significa que você não precise mais do valor da parcela paga ao banco.

Outro fator importante é que quanto mais você paga, mais seu crédito vai voltando também, ou seja, quanto mais próximo do fim seu empréstimo consignado estiver, mais dinheiro você poderá emprestar.

Se você está pensando em quitar alguma dívida ou fazer aquela reforma é bom saber com quanto você poderá contar em um futuro próximo.

Em relação a quando acaba seu empréstimo consignado, fique despreocupado, o término é automatico, no ato da contratação já é informado e a programação de débitos não vai alem do que você assinou em contrato.

No empréstimo consignado não existe renovação automática pode ficar tranquilo.

Mas muita atenção! Caso tenha refinanciado ou portado seu empréstimo, ele volta pro prazo inicial e começa tudo de novo. Por isso é muito importante sempre ficar com uma via de seu contrato de empréstimo consignado.

Solicite que seja enviado uma cópia sempre pro seu e-mail, é a forma mais prática de não perder o controle.

Seu Correspondente Pode te Ajudar

Caso tenha contratado seu empréstimo através de um correspondente autorizado, lembre-se que ele é seu amigo e sua relação com ele é bem diferente do que com um banco ou até mesmo com seu RH.

O correspondente por natureza tem o hábito de acompanhar todos os seus contratos, ou seja, ele tem acesso, nós do portal consignados somos um correspondente autorizado do Banco BMG e temos acesso quando acaba um empréstimo consignado e nossos clientes.

Muitas vezes nos perguntam e nossa motivação e escrever está matéria foi justamente para ajudar as pessoas que não são nossos clientes.

Devido a questões de segurança da informação só temos acesso aos contratos de origem nossa.

Caso contrário teríamos criado um canal exclusivo para você, mas não custa perguntar, e se tiver dúvidas, acesse o nosso fale conosco e deixe um recado. Nossos consultores terão um imenso prazer em lhe atender.

Você sabia?

Com mais de 17 anos no Mercado de Empréstimo Consignado e com uma equipe treinada para lhe auxiliar na melhor decisão, no entanto o Portal Consignados trabalha em parceria com diversos bancos para lhe oferecer sempre o melhor negócio.

Quem pode fazer empréstimo consignado?

Quem pode contratar um empréstimo? Atualmente, muitas pessoas procuram por empréstimo consignado devido a ser uma modalidade de crédito mais barata e com prazos maiores.

No entanto, infelizmente não são todas as pessoas que podem contratar. Contudo, para poder contratar, existe a necessidade de um convênio com a instituição financeira e legislação interna para o desconto em folha.

Como Funciona para quem pode?

Ademais, para quem pode, a empresa, órgão público, fundos de pensão e etc, devem ter uma legislação especifica para estabelecer algumas regras.

Contudo, tais regras devem atender a lei 10.820 que define o empréstimo consignado.

Essas regras deverão ser aprovadas em conselho e estabelecer os seguintes critérios:

  • Limite de Crédito
  • Politica de Concessão
  • Margem Consignável

Limite de Crédito

Ademais, os limites de crédito serão definidos conforme analise do banco e entidade, visando a saúde e manutenção do produto. Contudo, em casos de empresa privada, estabelece um limite que não ultrapasse seu saldo decisório.

No entanto, em casos onde é um servidor público ou até mesmo no INSS, o limite de crédito fica a cargo da instituição financeira.

Politica de Concessão

A politica de concessão geralmente estabelece quais funcionários, servidores ou beneficiários podem fazer empréstimo consignado.

Por exemplo: Em uma empresa privada, quem está no período de experiência não pode contratar. Ou um servidor público cujo regime de contratação seja cargo de confiança ou CLT.

Margem Consignável

A margem consignável é o limite máximo que se pode comprometer da renda, o limite máximo é 30%, mas o calculo para chegar nestes 30% devem ser bem definidos.

Por exemplo:

Alguns servidores municipais recebem adicionais em seu salário, mas para efeito de calculo não somamos a renda para chegar nos 30%.

Quem Pode Fazer Empréstimo Consignado Atualmente

Atualmente, estamos atendendo os seguintes convênios para empréstimo consignado:

  • Empréstimo consignado INSS
  • Empréstimo Consignado Federal
  • Empréstimo Consignado Municipal
  • Empréstimo Consignado Estadual SP

Empréstimo Consignado INSS

Destinado a aposentados e pensionistas do INSS, podendo parcelar em até 72 meses.

Empréstimo Consignado Federal

Destinado a Servidores Federais da ativa, aposentados e pensionistas SIAPE, podendo parcelar em até 96 meses.

Empréstimo consignado Municipal

Destinado a servidores da prefeitura de São Paulo, podendo parcelar em até 96 meses.

Empréstimo Consignado Estadual SP

Destinado a servidores do estado de SP, podendo parcelar em até 60 meses.

Você sabia?

Com mais de 17 anos no Mercado de Empréstimo Consignado e com uma equipe treinada para lhe auxiliar na melhor decisão, no entanto o Portal Consignados trabalha em parceria com diversos bancos para lhe oferecer sempre o melhor negócio.

Recebo Amparo Social – Posso Fazer Empréstimo Consignado?

Quem recebe amparo social não pode fazer empréstimo consignado. Contudo, é um benefício vitalício. Porém, é vetada a concessão de empréstimo consignado para quem recebe este tipo de benefício. Para explicar melhor, vamos entender o porquê se recebe amparo social.

Amparo Social

O Amparo Social é concedido somente para pessoas portadoras de deficiência ou idosos com 67 anos ou mais. Estas deverão comprovar não terem condições de manter sua própria manutenção e nem de obter ajuda de sua família.

Baseado na constituição Federal de 1988  no artigo 203, o INSS juntamente com o governo visando assegurar o direito a saúde, previdência e assistência social, proporciona ao beneficiário uma forma de existência digna. Contudo, é dada a oportunidade de um renda que possa arcar com as suas necessidades básicas.

O INSS, através da lei 8.742, de 03 de Dezembro de 1993, se baseando na constituição, estabeleceu regras para a concessão a chamada LOAS (Lei Orgânica da assistência Social). No entanto, essa estabelece uma renda de 1 (um) salário mínimo. Contudo, o segurado deve comprovar que a soma da renda familiar (caso more com mais pessoas) seja inferior a 1/4 de 1 (um) salário mínimo.

Vale ressaltar que ao solicitar o Amparo Social, o beneficiário se declara incapaz economicamente. A natureza deste benefício o desqualifica para quaisquer operações financeiras.

Apesar de muitas vezes, o segurado após receber seu benefício, passa a ter uma inclusão social e retomar sua economia pessoal. No entanto, os proventos recebidos através do “Amparo Social”, não poderão ser dados como garantia. Isso em uma operação de empréstimo consignado por ser intocável.

Conclusão

Muitos segurados que recebem o amparo social tem como alternativa operações de crédito que não vinculem seu benefício. Por exemplo:

  • crédito pessoal
  • cartão de crédito
  • débito em conta

Contudo, deve se tomar cuidado com tais modalidades de empréstimo devido a sua taxa de juros ser mais elevada e seus prazos para pagar menores. Isso gera em um curto prazo, grande endividamento ao realiza-lo.

Ademais, apesar de acreditar que o empréstimo consignado deveria ser para todos, entendemos que, em casos onde não existem alternativas e são amparadas por leis, devemos respeita-las.

Você sabia que o Portal Consignados é especialista em empréstimo consignado?

Com mais de 17 anos no Mercado de Empréstimo Consignado e com uma equipe treinada para lhe auxiliar na melhor decisão, no entanto o Portal Consignados trabalha em parceria com diversos bancos para lhe oferecer sempre o melhor negócio.

Auxilio Doença pode fazer Empréstimo Consignado?

Quem recebe auxilio doença NÃO pode fazer empréstimo consignado. Por se tratar de um benefício provisório e assistêncial O INSS não autoriza o desconto em folha em benefícios desta natureza.  Quem recebe através de auxilio doença não é beneficiário do INSS e sim segurado. Contudo, existe uma grande diferença entre os dois. Por exemplo:

Segurado do INSS

O segurado do INSS é toda pessoa que contribui mensalmente. Seja com desconto em folha ou pagando diretamente, é um segurado do INSS. Contudo, o INSS é um fundo de pensão oficial que foi criada em 1990 substituindo o INPS, mas permanecendo os direitos aos trabalhadores.

Um dos grandes benefícios de se contribuir junto ao INSS é ter assistência em casos de doença que o impossibilite trabalhar.

Contudo, nestes casos, até que o segurado se recupere, passa a receber o chamado “auxilio doença”. Isso, caso a perícia do INSS constate que a doença que impossibilitou o segurado a trabalhar é irreversível o benefício passa para “Aposentadoria por invalidez previdenciária”.

No caso de aposentadoria por invalidez previdenciária, é permitido empréstimo consignado.

Beneficiário do INSS

O beneficiário do INSS é aquele cuja concessão lhe foi dada em caráter definitivo e amparado nas regras do INSS, bem como nas condições previstas em lei.

Auxilio doença x Empréstimo

Por se tratar de um benefício temporário, o empréstimo consignado não é possível. No entanto, modalidades como empréstimo pessoal e débito em conta poderão ser contratadas. Isso, desde que a comprovação de renda não esteja vinculada ao benefício.

Porém, muito cuidado com a modalidade de empréstimo que você estiver escolhendo. Em caso de empréstimo pessoal, a diferença de taxa é muito grande. No entanto, como não existe um teto máximo, cada instituição financeira cobra o que quer.

É diferente do empréstimo consignado que existe um teto máximo a ser cobrado de juros.

Quem optar por débito em conta, muito mais muito cuidado mesmo. A taxa de juros pode chegar até 23% a.m, é um absurdo de caro, por isso, a primeira opção deve sempre ser o banco aonde você recebe seu benefício.

Geralmente, só pelo fato de ser correntista, você terá uma linha de crédito disponível com condições infinitamente melhores do que uma financeira.

Conclusão

Apesar de não ser um benefício consignável, não significa que não possa utiliza-lo como base para um empréstimo. Outras modalidades de crédito como o empréstimo pessoal, o débito em conta são sim uma opção para quem recebe o auxílio doença.

Tutelado pode realizar empréstimo consignado?

Tutelado não pode realizar empréstimo consignado. No entanto. a resposta é simples. mas gostaríamos de explicar melhor.

Contudo, o primeiro passo é entender melhor o que é tutela e porque o tutelado não pode realizar empréstimo consignado. Para isso, continue lendo.

Qual é a Definição de tutelado?

Tutelado é um representante do segurado do INSS que, por motivos de força maior, não pode tomar decisões sozinho. Contudo, abaixo iremos listar alguns casos onde a tutela é concedida no INSS:

  • Portador de deficiência física
  • Portador de deficiência mental
  • Menores de 18 anos

Nos casos acima citados, o beneficiário não tem condições de se representar. Por isso estabelece um tutor, que geralmente é um parente de maior grau, como pai, mães ou irmãos maiores de 18 anos.

Nestes casos, o tutor através de documentos comprobatórios e decisão judicial passa a receber em seu nome o beneficio do segurado.

Contudo c,om a exclusiva finalidade de cuidar dos interesses cívicos do tutelado, aos quais a própria constituição determina como direitos básicos a moradia, saúde, educação e etc.

Fonte Legal

Através do decreto de  Nº 7.617, de 17 de Novembro de 2011, foi estabelecido as regras bem como os direitos e deveres dos tutelados e seus representantes.

Qual Alternativa para os Tutelados

Entendemos que em muitos casos, o empréstimo consignado nestes casos é justamente para atender a necessidade especial do beneficiário. Contudo, existe um regulamento interno bem como portarias e leis que impedem o banco conceder crédito.

A alternativa seria procurar o Banco aonde se recebe o beneficio e solicitar um crédito pessoal ou empréstimo com débito em conta, mas o contratante será o tutor uma vez que o tutelado não está qualificado legalmente para contratar empréstimos, ter conta em banco ou fazer financiamentos.

Em alguns casos, o beneficiário pode utilizar alguns programas do governo para aquisição de bens. No entanto, vamos destacar abaixo alguns exemplos:

Automóveis

Uma das exigências para ter acesso ao desconto é que o representante não poderá ter dívidas com a receita federal. Ademais, para ter direito ao desconto, deverá comparecer a uma das unidades da receita federal e apresentar os seguintes documentos:

  • Laudo médico que comprova o tipo de deficiência
  • Comprovação de disponibilidade financeira ou patrimonial para fazer frente aos gastos com a aquisição e a manutenção do veículo a ser adquirido
  • Cópia autenticada da Carteira Nacional de Habilitação (CNH)
  • Comprovante de residência
  • Cópia da CNH de todos os condutores autorizados (no máximo três)
  • Documento que comprove a representação legal, se for o caso

Remédios

O governo juntamente com o ministério da Saúde criaram o programa Farmácia Popular que estendeu a redes privadas, com alguns remédios a preços bem baixos e alguns medicamentos sem custo ao consumidor.

Este programa está voltado a pacientes com diabetes ou hipertensos, mas alguns laboratórios aderiram a ideia e com apenas um cadastro via telefone é possível ter descontos de até 80% em alguns medicamentos.

Se programe bem antes:

  • faça uma lista de medicamentos utilizados
  • acesse o portal da farmácia popular
  • Realize seu cadastro
  • Pesquise outros laboratórios
  • Não se esqueça dos genéricos

Reflita

Ademais, muitas vezes a melhor forma de resolver um problema financeiro é fazer uma reflexão muito sincera de seu orçamento familiar, o que inclui pesquisar preços, ajustar contas e buscar novas alternativas. Contudo, sabemos que nem sempre é possível.

No entanto, caso este seja o caso, as opções de crédito pessoal e debito em conta talvez seja a alternativa.

Você sabia que o Portal Consignados é especialista em empréstimo consignado?

Com mais de 17 anos no Mercado de Empréstimo Consignado e com uma equipe treinada para lhe auxiliar na melhor decisão, no entanto o Portal Consignados trabalha em parceria com diversos bancos para lhe oferecer sempre o melhor negócio.

Insalubridade no trabalho pode aumentar o salário no INSS

Quem trabalha sobre condições de insalubridade e contribui mensalmente ao INSS terá uma alternativa de aumentar sua aposentadoria. No entanto, mesmo que não tenha completado o tempo mínimo para ter sua aposentadoria especial.

Contudo, é possível usar os períodos insalubres e aumentar a contagem para o pedido do benefício por tempo de contribuição em que há desconto do fato previdenciário.

Isso diminui o benefício de quem se aposenta cedo. Isso adia seu pedido de aposentadoria por exemplo em 5 (cinco) anos. Contudo, poderá ter uma aumento em seu benefício de até 22,76% (conforme fonte do jornal Agora).

Vamos entender um pouco mais sobre insalubridade?

Atualmente, os brasileiros se aposentam com 53 anos de idade e 35 anos de contribuição. Essa é uma média de defasagem dos últimos 5 anos de contribuição que pode chegar em até 33,42% a menos. No entanto, essa idade é baixa se comparado com países da Europa em que a média é bem maior.

Com o envelhecimento do país e com a má formação profissional das gerações atuais, é cada vez mais presente a necessidade de profissionais com faixa etária maior. Isso devido a sua disciplina e engajamento profissional.

Contudo, já existem empresas brasileiras preocupadas com a falta de profissionais com a experiência de tais profissionais. Por mais que seja esperada a aposentadoria, é muito importante salientar o bem pessoal e a importantíssima contribuição que tais profissionais podem dar a gerações atuais.

Existem estudos que dizem que trabalhar após os 50 ajuda até mesmo na saúde física e mental. Por exemplo: Na Europa, existe uma preocupação com a formação profissional da geração “Y”e “Z”. Essa geração está em média 30% menos capacitada que a geração dos cinquentões.

Por este motivo, repense muito bem em estender sua contribuição para obter um salário mais alto.

Outro reflexo do envelhecimento de nosso país é a decadência do setor da saúde em atender a grande demanda que o espera. Aliás, também com o aumento dos valores pagos a planos de saúde por segurados.

Fonte (Jornal Agora)

Você sabia?

Com mais de 17 anos no Mercado de Empréstimo Consignado e com uma equipe treinada para lhe auxiliar na melhor decisão, no entanto o Portal Consignados trabalha em parceria com diversos bancos para lhe oferecer sempre o melhor negócio.

Aposentados e pensionistas podem sacar benefícios

Os aposentados e pensionistas da Previdência Social que recebem um salário mínimo, começam a retirar nesta terça-feira (24) o benefício do mês de setembro.

Contudo, na próxima semana, serão efetuados os pagamentos para quem recebe acima desse valor.

Aposentados e Pensionistas – chegou a vez de vocês

Segundo a Febraban (Federação Brasileira de Bancos), os saques de benefícios poderão ser feitos pela rede de caixas eletrônicos 24h.

No entanto, também poderão ser feitos saques em caixas eletrônicos dos bancos em locais públicos e de grande circulação, como shoppings, aeroportos, centros comerciais, entre outros.

Os aposentados e pensionistas que não puderem contar com o atendimento prestado pela agência bancária em que têm conta corrente também poderão se dirigir a outra agência, do mesmo banco, que estiver aberta.

Os aposentados com dificuldade de usar o terminal eletrônico deverão ser acompanhados por pessoas conhecidas ou parentes.

No entanto, caso isso não seja possível, quaisquer pedidos de ajuda deverão ser feitos somente a funcionários identificados do banco. Nunca pergunte ou informa nada para pessoas estranhas.

Limites

Existem caixas eletrônicos espalhados dentro e fora das agências bancárias, com limite de saque diurno variável conforme instituição financeira e saques noturnos limitados a R$ 300.

A Federação lembra, ainda, que os terminais de autoatendimento dentro das agências bancárias funcionam até às 22 horas e, em locais de grande circulação, como shoppings e lojas de conveniência, durante 24 horas.

Dicas de segurança

1.    Antes de iniciar a transação, verifique na tela se o equipamento está ativo ou inoperante. Caso esteja inoperante, não insira seu cartão;

2.    Se o caixa eletrônico ou equipamento do banco no comércio estiver inoperante, não aceite oferta de estranhos de passar seu cartão em terminal avulso, mesmo que se apresentem como funcionários do banco. Fraudadores têm utilizado esse golpe para clonar (copiar os dados) cartões e obter senhas;

3.    Ao digitar sua senha, mantenha o corpo próximo à máquina, para evitar que outros possam vê-la ou descobri-la pelo movimento dos dedos no teclado. As pessoas atrás de você devem respeitar as faixas de segurança;

4.    No entanto, prefira utilizar os caixas automáticos instalados em locais de grande movimentação e, se possível, em ambientes internos (shoppings, lojas de conveniência, postos de gasolina etc.);

5.    Sempre que possível, faça seus saques no horário comercial, quando o movimento de pessoas é maior, evitando o período noturno. Quando precisar realmente sacar dinheiro à noite, leve um ou mais acompanhantes adultos para que fiquem fora da cabine, como se estivessem na fila;

6.    Nunca aceite ou solicite ajuda de estranhos, mesmo que não lhe pareçam suspeitos;

Continuação das dicas de segurança

7.    Esteja atento à presença de pessoas suspeitas ou curiosas no interior da cabine ou nas proximidades. Na dúvida, não faça a operação;

8.    Caso não consiga concluir uma operação, aperte a tecla ANULA ou CANCELA;

9.    Contudo, em caso de retenção do cartão no caixa automático, aperte a tecla ANULA ou CANCELA e comunique-se imediatamente com o banco. Tente utilizar o telefone da cabine para comunicar o fato.

Se ele não estiver funcionando, pode ser que haja uma tentativa de golpe. Nesses casos, nunca aceite ajuda de desconhecidos, mesmo que digam trabalhar no banco, nem digite senha alguma na máquina;

10. Cuidado ao utilizar telefones de terceiros desconhecidos, especialmente os celulares, para comunicar-se com o banco, pois os dados de sua conta e senha ficam registrados na memória do aparelho. Além disso, você poderá não estar falando com um representante do banco;

11. Contudo, não se preste a receber créditos de pessoas desconhecidas em sua conta. Propostas desse tipo são feitas por golpistas, nas proximidades de caixas automáticas e de agências;

12. Ademais, desconfie de vantagens financeiras ou dramas familiares que lhe sejam apresentados por desconhecidos na fila do caixa automático, especialmente propostas de utilização de sua conta para transferência de valores.

Fonte R7

Você sabia?

Com mais de 17 anos no Mercado de Empréstimo Consignado e com uma equipe treinada para lhe auxiliar na melhor decisão, no entanto o Portal Consignados trabalha em parceria com diversos bancos para lhe oferecer sempre o melhor negócio.

BMG Empréstimo com desconto em folha

BMG concede empréstimo com desconto em folha. Atualmente, muitas pessoas que procuram por empréstimos se perguntam: Qual a melhor opção em empréstimo?

No entanto, acabam chegando a conclusão que empréstimo com desconto em folha é uma excelente opção pela facilidade na aprovação, taxas de juros menores e prazos maiores, além de ter o conforto do desconto ser feito através da folha de pagamento.

Empréstimo com Desconto em Folha para Você

O grande problema que muitas vezes enfrentam é que este tipo de empréstimo não está disponível a todos. Ademais, os convênios mais comuns atualmente atendem os aposentados e pensionistas do INSS, Servidores Federais e Servidores Municipais

Muitas empresas estão descobrindo as vantagens de oferecer a opção de empréstimo com desconto em folha para seus funcionários.

Contudo, a Empresa procura um Banco de sua preferência, como por exemplo o Banco BMG ou ITAU. Ademais, a empresa se cadastra junto ao Banco para poder proporcionar aos seus funcionários tais benefícios.

Contudo, além do prazo mais flexível, a taxa de juros é infinitamente menor que uma modalidade de crédito pessoal que pode chegar em até 20% ao mês.

Já no empréstimo com desconto em folha, não passa de 2% em média. No entanto, confira as taxas de juros cobrado no mercado consultando o site do Banco central Clicando aqui.

Modalidade de Empréstimo Consignado BMG

  • Empréstimo Novo
  • Refinanciamento
  • Portabilidade

Cartão de Crédito Consignado

O Portal Consignados é um correspondente autorizado do Banco BMG e tem todas as soluções em empréstimo consignado para você. Ademais, descubra qual se encaixa a você.

Através de um sistema moderno e fácil, aqui você pode simular seu empréstimo sem precisar sair de casa. Contudo, nossos analistas estão preparados para realizar pesquisas personalizadas onde avaliamos todas as possibilidades de crédito para você.

Público Atendido

A modalidade de empréstimo consignado do Banco BMG atende aos seguintes públicos:

  • Aposentados e Pensionistas do INSS
  • Servidores Federais
  • Servidores Municipais
  • Servidores Estaduais

Verifique com seu RH se tem convênio com o Banco BMG e desfrute das vantagens de ser um cliente BMG.

Central de Atendimento Personalizado

Através de nosso portal, você realizar simulações e solicitações e tirar suas dúvidas, mas preparamos para você uma central dedicada para quem gosta de um contato mais humano e personalizado. Ligue agora mesmo para (011) 2626-6000.

Você sabia?

Com mais de 17 anos no Mercado de Empréstimo Consignado e com uma equipe treinada para lhe auxiliar na melhor decisão, no entanto o Portal Consignados trabalha em parceria com diversos bancos para lhe oferecer sempre o melhor negócio.

Declaração do IRPF foi entregue somente por 16%

Entregue a declaração do IRPF. Contudo, a multa por atraso de entrega é estipulada em 1% ao mês calendário até 20%. O valor mínimo é R$ 165,74. Um passo a passo com cada etapa da entrega está disponível na página da Receita.

No entanto, basta o usuário clicar em cada ponto para obter mais detalhes. Ademais, o prazo de entrega vai até 30 de abril.

Histórico de Declaração enviadas em 2013

No ano passado, 26.883.633 de contribuintes enviaram a declaração do IRPF até o fim do prazo. O número ficou aquém do esperado pela Receita na ocasião, 27 milhões de formulários.

No entanto, em 2013, 26,1 milhões de pessoas físicas entregaram o documento.

Quanto antes o contribuinte entregar a declaração, com os dados corretos à Receita, mais cedo receberá o valor correspondente à restituição.

Têm prioridade no recebimento pessoas com mais de 60 anos de idade, contribuintes com deficiência física ou mental e os que têm doença grave.

Multas por atraso

A multa por atraso de entrega é estipulada em 1% ao mês calendário até 20%. O valor mínimo é R$ 165,74. Um passo a passo com cada etapa da entrega está disponível na página da Receita.

Basta o usuário clicar em cada ponto para obter mais detalhes. O prazo de entrega vai até 30 de abril.

Restituições

Ao fazer sua declaração de imposto de renda, fique atendo aos prazos de restituições ou pendências em sua declaração, para  isso recomendamos que acesse o site da receita federal e informado os dados de sua declaração terá acesso aos lotes de restituições, caso tenha se esquecido de alguma informação ou dado importante faça a declaração retificadora e fique em dia com o Leão.

Antecipação de Restituições

Contudo, muitos bancos e instituições financeiras oferecem linhas de crédito e com a prerrogativa que irá pagar com a sua restituição do imposto de renda, mas cuidado, muitas vezes é a forma utilizada para atrair mais clientes em um momento que todo mundo está preocupado em receber parte do imposto que foi pago.

Ademais, procure somente os bancos oficiais como caixa econômica federal ou Banco do Brasil e desconfie se alguma financeira lhe oferecer tal proposta, leia atentamente o contrato principalmente o CET (Custo Efetivo total), operações como empréstimo consignado não tem essa possibilidade por isso descarte se lhe for oferecido.

Você sabia?

Com mais de 17 anos no Mercado de Empréstimo Consignado e com uma equipe treinada para lhe auxiliar na melhor decisão, no entanto o Portal Consignados trabalha em parceria com diversos bancos para lhe oferecer sempre o melhor negócio.

Qual o significado de Crédito?

Crédito é uma expressão que conota confiança. Contudo, sob o aspecto financeiro significa dispor a um tomador, recursos financeiros, linhas de financiamento para empréstimo ou limites de cartão de crédito e afins. Aprenda mais sobre crédito e como analisar todas as modalidades de crédito aqui no Portal Consignados.

No entanto, ter limites aprovados em uma instituição financeira significa que tem você foi submetido a uma análise. Também foi constatado que você possui condições em arcar com o compromisso do pagamento de cada parcela contratada.

Contudo, atualmente é comum as pessoas possuírem um cartão de crédito ou cheque especial. No entanto, essas modalidades condicionam o cliente a devolver o crédito por um período pré estabelecido condicionado a juros, conforme modalidade e prazos escolhidos.

Ademais, não se engane com empréstimo fácil. As vezes ele esconde condições de pagamento pouco flexíveis e juros alto. No entanto, para quem precisa de empréstimo, é importante analisar todas as modalidades de crédito disponíveis no mercado e optar pela qual mais se adapta a sua necessidade e menor taxa de juros.

Opções em Crédito

Muitas pessoas procuram por empréstimo, mas entender as modalidade de cada opção em crédito disponíveis atualmente é muito importante. Para isso é bastante simples. Faça à você mesmo as seguintes perguntas:

  • Qual a finalidade do empréstimo que necessito?
  • Qual o valor necessário?
  • Por quanto tempo quero pagar pelo que necessito?

Tais questionamentos vão lhe orientar de forma a ter um ponto de partida. O passo seguinte é entender quais modalidades  existem. Para isso, vamos apresentar as principais:

  • Empréstimo Consignado
  • Empréstimo Pessoal
  • Financiamento Imobiliário
  • Financiamento de Veículos
  • CDC (Crédito Direto ao Consumidor)

Ademais, como podemos notar acima, existem várias modalidades. No entanto, é importante fazer a escolha mais próxima do que você precisa, por exemplo: Se for comprar um imóvel, talvez seja interessante fazer um financiamento imobiliário e não um pessoal. Contudo, agora se for comprar um eletroeletrônico, o CDC talvez tenha um total a prazo menor que um empréstimo consignado por ter uma prazo menor, e assim por diante.

Fazer pesquisa é muito importante para optar por taxas de juros menores. No entanto, o primeiro passo é consultar o Banco Central do Brasil que mantém uma tabela por modalidade e bancos com os juros cobrados. Clique aqui e confira a tabela do Banco Central do Brasil.

Você sabia que o Portal Consignados é especialista em empréstimo consignado?

Com mais de 17 anos no Mercado de Empréstimo Consignado e com uma equipe treinada para lhe auxiliar na melhor decisão, no entanto o Portal Consignados trabalha em parceria com diversos bancos para lhe oferecer sempre o melhor negócio.